Genomic Prediction and Genetic Correlation of Agronomic, Blackleg Disease, and Seed Quality Traits in Canola (Brassica napus L.)
Abstract
1. Introduction
2. Results
2.1. Phenotypic Variation and Trait Heritability
2.2. Genomic Data and Population Relatedness
2.3. Correlations within and between Agronomic and Fatty Acid Traits
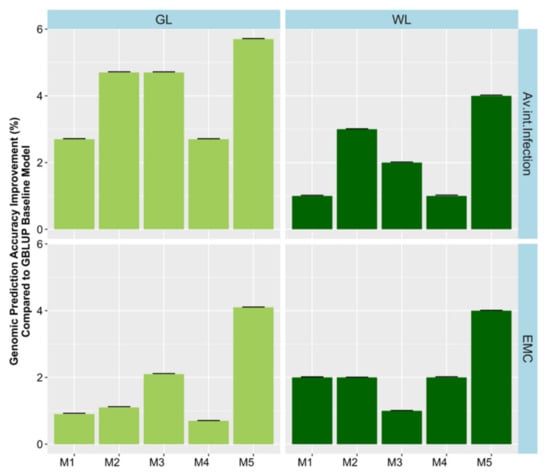
2.4. Genomic Prediction Accuracy within Site and Year
2.5. Environmental Factor Combination in the Models
3. Discussion
3.1. Heritability and Genetic Correlations
3.2. Genomic Prediction with and without G × E Interactions
4. Materials and Methods
4.1. Plant Material and Trial Designs
4.2. Phenotyping and Trait Measurements
4.3. Genotype Data, Quality Control, and Imputation
4.4. Heritability, Genetic Correlations and Genomic Prediction
4.5. Cross-Validation for the Genomic Prediction
5. Conclusions
Supplementary Materials
Author Contributions
Funding
Acknowledgments
Conflicts of Interest
Abbreviations
| BLUEs | best linear unbiased estimates |
| DH | doubled haploid; |
| G × E | genotype-by-environment |
| GBLUP | genomic best linear unbiased prediction |
| GBSt | transcriptome genotype-by-sequencing |
| GEBVs | genomic estimated breeding values |
| GS | genomic selection |
| MET | multi-environment trial |
| NIR | near infrared spectroscopy |
| QTL | quantitative trait loci |
| REML | restricted maximum likelihood |
| SNP | single nucleotide polymorphism |
References
- FAO. Available online: http://www.faostat.fao.org/ (accessed on 26 June 2016).
- Ray, D.K.; Mueller, N.D.; West, P.C.; Foley, J.A. Yield Trends Are Insufficient to Double Global Crop Production by 2050. PLoS ONE 2013, 8, e66428. [Google Scholar] [CrossRef] [PubMed]
- Shi, F.; Tibbits, J.; Pasam, R.K.; Kay, P.; Wong, D.; Petkowski, J.; Forrest, K.L.; Hayes, B.J.; Akhunova, A.; Davies, J.; et al. Exome sequence genotype imputation in globally diverse hexaploid wheat accessions. Theor. Appl. Genet. 2017, 130, 1393–1404. [Google Scholar] [CrossRef] [PubMed]
- Tattaris, M.; Reynolds, M.P.; Chapman, S.C. A Direct Comparison of Remote Sensing Approaches for High-Throughput Phenotyping in Plant Breeding. Front. Plant. Sci. 2016, 7. [Google Scholar] [CrossRef] [PubMed]
- Sakhno, L.O. Variability in the fatty acid composition of rapeseed oil: Classical breeding and biotechnology. Cytol. Genet. 2010, 44, 389–397. [Google Scholar] [CrossRef]
- Khan, S.; Anwar, S.; Kuai, J.; Noman, A.; Shahid, M.; Din, M.; Ali, A.; Zhou, G. Alteration in yield and oil quality traits of winter rapeseed by lodging at different planting density and nitrogen rates. Sci. Rep. 2018, 8, 634. [Google Scholar] [CrossRef]
- Salisbury, P.; Ballinger, D.; Wratten, N.; Plummer, K.; Howlett, B. Blackleg disease on oilseed Brassica in Australia—A review. Aust. J. Exp. Agric. 1995, 35, 665–672. [Google Scholar] [CrossRef]
- Zhao, J.; Dimov, Z.; Becker, H.C.; Ecke, W.; Möllers, C. Mapping QTL controlling fatty acid composition in a doubled haploid rapeseed population segregating for oil content. Mol. Breed. 2008, 21, 115–125. [Google Scholar] [CrossRef]
- Gacek, K.; Bayer, P.E.; Bartkowiak-Broda, I.; Szala, L.; Bocianowski, J.; Edwards, D.; Batley, J. Genome-Wide Association Study of Genetic Control of Seed Fatty Acid Biosynthesis in Brassica napus. Front. Plant Sci. 2016, 7, 2062. [Google Scholar] [CrossRef]
- Wouw, A.P.V.D.; Marcroft, S.J.; Howlett, B.J. Blackleg disease of canola in Australia. Crop Pasture Sci. 2016, 67, 273–283. [Google Scholar] [CrossRef]
- Meuwissen, T.H.E.; Hayes, B.J.; Goddard, M.E. Prediction of total genetic value using genome-wide dense marker maps. Genetics 2001, 157. [Google Scholar]
- Golebiowski, T.; Leong, A.; Panozzo, J. Near Infrared spectroscopy of oil in intact canola seed (Brassica napus) Association between principal components and oil content. J. Near Infrared Spectrosc. 2005, 13, 255–264. [Google Scholar] [CrossRef]
- Wurschum, T.; Abel, S.; Zhao, Y.S. Potential of genomic selection in rapeseed (Brassica napus L.) breeding. Plant Breed. 2014, 133, 45–51. [Google Scholar] [CrossRef]
- Jan, H.; Abbadi, A.; Lucke, S.; Nichols, R.; Snowdon, R. Genomic Prediction of Testcross Performance in Canola (Brassica napus). PLoS ONE 2016, 11, e0147769. [Google Scholar] [CrossRef] [PubMed]
- Fikere, M.; Barbulescu, D.M.; Malmberg, M.M.; Shi, F.; Koh, J.C.O.; Slater, A.T.; MacLeod, I.M.; Bowman, P.J.; Salisbury, P.A.; Spangenberg, G.C.; et al. Genomic Prediction Using Prior Quantitative Trait Loci Information Reveals a Large Reservoir of Underutilised Blackleg Resistance in Diverse Canola (Brassica napus L.) Lines. Plant Genome 2018. [Google Scholar] [CrossRef]
- Crossa, J.; Pérez-Rodríguez, P.; Cuevas, J.; Montesinos-López, O.; Jarquín, D.; de los Campos, G.; Burgueño, J.; González-Camacho, J.M.; Pérez-Elizalde, S.; Beyene, Y.; et al. Genomic Selection in Plant Breeding: Methods, Models, and Perspectives. Trends Plant Sci. 2017, 22, 961–975. [Google Scholar] [CrossRef]
- Lehermeier, C.; Teyssèdre, S.; Schön, C.-C. Genetic Gain Increases by Applying the Usefulness Criterion with Improved Variance Prediction in Selection of Crosses. Genetics 2017, 207, 1651–1661. [Google Scholar] [CrossRef]
- Daetwyler, H.D.; Calus, M.P.L.; Pong-Wong, R.; de los Campos, G.; Hickey, J.M. Genomic Prediction in Animals and Plants: Simulation of Data, Validation, Reporting, and Benchmarking. Genetics 2013, 193, 347. [Google Scholar] [CrossRef]
- Jia, Y.; Jannink, J.L. Multiple-trait genomic selection methods increase genetic value prediction accuracy. Genet. Soc. Am. 2012, 192, 1513–1522. [Google Scholar] [CrossRef]
- Céron-Rojas, J.J.; Crossa, J. Linear Selection Indices in Modern Plant Breedingnull; Springer: New York, NY, USA, 2018. [Google Scholar] [CrossRef]
- MacLeod, I.M.; Bowman, P.J.; Vander Jagt, C.J.; Haile-Mariam, M.; Kemper, K.E.; Chamberlain, A.J.; Schrooten, C.; Hayes, B.J.; Goddard, M.E. Exploiting biological priors and sequence variants enhances QTL discovery and genomic prediction of complex traits. BMC Genom. 2016, 17, 144. [Google Scholar] [CrossRef]
- Rutkoski, J.; Benson, J.; Jia, Y.; Brown-Guedira, G.; Jannink, J.-L.; Sorrells, M. Evaluation of Genomic Prediction Methods for Fusarium Head Blight Resistance in Wheat. Plant Genome 2012, 5, 51–61. [Google Scholar] [CrossRef]
- Crossa, J.; De Los Campos, G.; Pérez, P.; Gianola, D.; Burgueño, J.; Araus, J.L.; Braun, H. Prediction of genetic values of quantitative traits in plant breeding using pedigree and molecular markers. Genetics 2010, 186, 713–724. [Google Scholar] [CrossRef] [PubMed]
- Perez-Enciso, M.; Rincon, J.C.; Legarra, A. Sequence- vs. chip-assisted genomic selection: Accurate biological information is advised. Genet. Sel. Evol. 2015, 47. [Google Scholar] [CrossRef] [PubMed]
- Snowdon, R.J.; Luy, F.L.I. Potential to improve oilseed rape and canola breeding in the genomics era. Plant Breed. 2012, 131, 351–360. [Google Scholar] [CrossRef]
- Sukumaran, S.; Jarquin, D.; Crossa, J.; Reynolds, M. Genomic-enabled Prediction Accuracies Increased by Modeling Genotype × Environment Interaction in Durum Wheat. Plant Genome 2018. [Google Scholar] [CrossRef]
- Gillberg, J.; Marttinen, P.; Mamitsuka, H.; Kaski, S. Modelling G×E with historical weather information improves genomic prediction in new environments. bioRxiv 2017, 35, 4045–4052. [Google Scholar] [CrossRef]
- Burgueño, J.; de los Campos, G.; Weigel, K.; Crossa, J. Genomic Prediction of Breeding Values when Modeling Genotype × Environment Interaction using Pedigree and Dense Molecular Markers. Crop Sci. 2012, 52, 707–719. [Google Scholar] [CrossRef]
- Jarquín, D.; Crossa, J.; Lacaze, X.; Du Cheyron, P.; Daucourt, J.; Lorgeou, J.; Piraux, F.; Guerreiro, L.; Pérez, P.; Calus, M.; et al. A reaction norm model for genomic selection using high-dimensional genomic and environmental data. Theor. Appl. Genet. 2014, 127, 595–607. [Google Scholar] [CrossRef]
- Lyra, D.H.; Granato, Í.S.C.; Morais, P.P.P.; Alves, F.C.; dos Santos, A.R.M.; Yu, X.; Guo, T.; Yu, J.; Fritsche-Neto, R. Controlling population structure in the genomic prediction of tropical maize hybrids. Mol. Breed. 2018, 38, 126. [Google Scholar] [CrossRef]
- Porta-Puglia, A.; Bretag, T.W.; Brouwer, J.B.; Haware, M.P.; Khalil, S.A. Direct and indirect influences of morphological variations on diseases, yield and quality. In Linking Research and Marketing Opportunities for Pulses in the 21st Century: Proceedings of the Third International Food Legumes Research Conference; Knight, R., Ed.; Springer: Dordrecht, The Netherlands, 2000; pp. 199–220. [Google Scholar] [CrossRef]
- Hatzig, S.V.; Frisch, M.; Breuer, F.; Nesi, N.; Ducoumau, S.; Wagner, M.H.; Leckband, G.; Abbadi, A.; Snowdon, R.J. Genome-wide association mapping unravels the genetic control of seed germination and vigor in Brassica napus. Front. Plant Sci. 2015, 6. [Google Scholar] [CrossRef]
- Larkan, N.J.; Raman, H.; Lydiate, D.J.; Robinson, S.J.; Yu, F.; Barbulescu, D.M.; Raman, R.; Luckett, D.J.; Burton, W.; Wratten, N.; et al. Multi-environment QTL studies suggest a role for cysteine-rich protein kinase genes in quantitative resistance to blackleg disease in Brassica napus. BMC Plant Biol. 2016, 16, 183. [Google Scholar] [CrossRef]
- Sharafi, Y.; Majidi, M.M.; Goli, S.A.H.; Rashidi, F. Oil Content and Fatty Acids Composition in Brassica Species. Int. J. Food Prop. 2015, 18, 2145–2154. [Google Scholar] [CrossRef]
- Oakey, H.; Cullis, B.; Thompson, R.; Comadran, J.; Halpin, C.; Waugh, R. Genomic Selection in Multi-environment Crop Trials. G3 Genes Genomes Genet 2016, 6, 1313. [Google Scholar] [CrossRef] [PubMed]
- Raman, H.; Raman, R.; Kilian, A.; Detering, F.; Carling, J.; Coombes, N.; Diffey, S.; Kadkol, G.; Edwards, D.; McCully, M.; et al. Genome-Wide Delineation of Natural Variation for Pod Shatter Resistance in Brassica napus. PLoS ONE 2014, 9, e101673. [Google Scholar] [CrossRef] [PubMed]
- GRDC. Spring Blackleg Management Guide. Available online: http://www.nvtonline.com.au/wp-content/uploads/2015/12/Blackleg-Management-Guide-Spring-2015-All-site-info (accessed on 15 May 2017).
- Wang, L.; Ruan, Y.-L. New Insights into Roles of Cell Wall Invertase in Early Seed Development Revealed by Comprehensive Spatial and Temporal Expression Patterns of GhCWIN1 in Cotton. Plant Physiol. 2012, 160, 777. [Google Scholar] [CrossRef]
- Katavic, V.; Friesen, W.; Barton, D.L.; Gossen, K.K.; Giblin, E.M.; Luciw, T.; An, J.; Zou, J.; MacKenzie, S.L.; Keller, W.A.; et al. Improving Erucic Acid Content in Rapeseed through Biotechnology. Crop Sci. 2001, 41, 739–747. [Google Scholar] [CrossRef]
- Tan, H.; Yang, X.; Zhang, F.; Zheng, X.; Qu, C.; Mu, J.; Fu, F.; Li, J.; Guan, R.; Zhang, H.; et al. Enhanced Seed Oil Production in Canola by Conditional Expression of Brassica napus LEAFY COTYLEDON1 and LEC1-LIKE in Developing Seeds. Plant Physiol. 2011, 156, 1577–1588. [Google Scholar] [CrossRef]
- Krzymanski, J.; Downey, R.K. Inheritance of fatty acid composition in winter forms of rapeseed, Brassica napus. Can. J. Plant Sci. 1969, 49, 313–319. [Google Scholar] [CrossRef]
- Würschum, T.; Liu, W.; Maurer, H.P.; Abel, S.; Reif, J.C. Dissecting the genetic architecture of agronomic traits in multiple segregating populations in rapeseed (Brassica napus L.). Theor. Appl. Genet. 2012, 124, 153–161. [Google Scholar] [CrossRef]
- Cummins, D.G.; Marion, J.E.; Craigmiles, J.P.; Burns, R.E. Oil content, fatty acid composition, and other agronomic characteristics of sunflower introductions. J. Am. Oil Chem. Soc. 1967, 44, 581–582. [Google Scholar] [CrossRef]
- Holland, J.B.; Frey, K.J.; Hammond, E.G. Correlated responses of fatty acid composition, grain quality, and agronomic traits to nine cycles of recurrent selection for increased oil content in oat. Euphytica 2001, 122, 69–79. [Google Scholar] [CrossRef]
- Lee, J.D.; Kim, M.; Kulkarni, K.P.; Song, J.T. Agronomic Traits and Fatty Acid Composition of High—Oleic Acid Cultivar Hosim. Plant Breed. Biotechnol. 2018, 6, 44–50. [Google Scholar]
- Stoutjesdijk, P.A.; Hurlestone, C.; Singh, S.P.; Green, A.G. High-oleic acid Australian Brassica napus and B. juncea varieties produced by co-suppression of endogenous Δ12-desaturases. Biochem. Soc. Trans. 2000, 28, 938. [Google Scholar] [CrossRef]
- Kachroo, P.; Shanklin, J.; Shah, J.; Whittle, E.J.; Klessig, D.F. A fatty acid desaturase modulates the activation of defense signaling pathways in plants. Proc. Nat. Acad. Sci. USA 2001, 98, 9448–9453. [Google Scholar] [CrossRef] [PubMed]
- Hura, K.; Hura, T.; Dziurka, K.; Dziurka, M. Carbohydrate, phenolic and antioxidant level in relation to chlorophyll a content in oilseed winter rape (Brassica napus L.) inoculated with Leptosphaeria maculans. Eur. J. Plant Pathol. 2015, 143, 291–303. [Google Scholar] [CrossRef]
- Cohen, Y.; Gisi, U.; Mosinger, E. Systemic resistance of potato plants against Phytophthora infestans induced by unsaturated fatty acids. Physiol. Mol. Plant Pathol. 1991, 38, 255–263. [Google Scholar] [CrossRef]
- Xing, J.; Chin, C.-K. Modification of fatty acids in eggplant affects its resistance to Verticilliumdahliae. Physiol. Mol. Plant Pathol. 2000, 56, 217–225. [Google Scholar] [CrossRef]
- Xue, H.Q.; Upchurch, R.G.; Kwanyuen, P. Relationships Between Oleic and Linoleic Acid Content and Seed Colonization by Cercospora kikuchii and Diaporthe phaseolorum. Plant Dis. 2008, 92, 1038–1042. [Google Scholar] [CrossRef] [PubMed]
- Delourme, R.; Falentin, C.; Huteau, V.; Clouet, V.; Horvais, R.; Gandon, B.; Specel, S.; Hanneton, L.; Dheu, J.E.; Deschamps, M.; et al. Genetic control of oil content in oilseed rape (Brassica napus L.). Theor. Appl. Genet. 2006, 113, 1331–1345. [Google Scholar] [CrossRef]
- Heslot, N.; Akdemir, D.; Sorrells, M.E.; Jannink, J.-L. Integrating environmental covariates and crop modeling into the genomic selection framework to predict genotype by environment interactions. Theor. Appl. Genet. 2014, 127, 463–480. [Google Scholar] [CrossRef]
- Smith, A.B.; Ganesalingam, A.; Kuchel, H.; Cullis, B.R. Factor analytic mixed models for the provision of grower information from national crop variety testing programs. Theor. Appl. Genet. 2015, 128, 55–72. [Google Scholar] [CrossRef]
- American Oil Chemists Society. Determination of oil, Moisture and Volatile Matter and Protein by Near Infrared Reflectance. In Official Methods and Recommended Practices of the AOCS; American Oil Chemists Society: Champaign, IL, USA, 2017. [Google Scholar]
- Mailer, R.J.; Vonarx, M.M. Errors in the determination of glucosinolate in rapeseed using glucose oxidase-peroxidase. Analyst 1989, 114, 1507–1508. [Google Scholar] [CrossRef]
- Daun, J.K.; Mazur, P.B. Use of Gas Liqyuid Chromatography for Monitoring the Fatty Acid Composition of Canadian Rapeseed. J. Am. Oilseed Chem. Soc. 1983, 1751–1754. [Google Scholar] [CrossRef]
- Gilmour, A.R.; Cullis, B.R.; Gogel, B.J.; Welham, S.J.; Thompson, R. ASReml User Guide Release 2.0; VSN International Ltd.: Hemel Hempstead, UK, 2005. [Google Scholar]
- Malmberg, M.M.; Pembleton, L.W.; Baillie, R.C.; Drayton, M.C.; Sudheesh, S.; Kaur, S.; Shinozuka, H.; Verma, P.; Spangenberg, G.C.; Daetwyler, H.D.; et al. Genotyping-by-sequencing through transcriptomics: Implementation in a range of crop species with varying reproductive habits and ploidy levels. Plant Biotechnol. J. 2018, 16, 877–889. [Google Scholar] [CrossRef] [PubMed]
- Browning, S.R.; Browning, B.L. Rapid and accurate haplotype phasing and missing-data inference for whole-genome association studies by use of localized haplotype clustering. Am. J. Hum. Genet. 2007, 81. [Google Scholar] [CrossRef]
- Malmberg, M.M.; Shi, F.; Spangenberg, G.C.; Daetwyler, H.D.; Cogan, N.O.I. Diversity and Genome Analysis of Australian and Global Oilseed Brassica napus L. Germplasm Using Transcriptomics and Whole Genome Re-sequencing. Front. Plant Sci. 2018, 9. [Google Scholar] [CrossRef]
- Holland James, B.; Nyquist Wyman, E.; Cervantes-Martínez Cuauhtemoc, T. Estimating and Interpreting Heritability for Plant Breeding. In Plant Breeding Reviews; Janick, J., Ed.; John Wuley & Sons. Inc.: Hoboken, NJ, USA. [CrossRef]
- Yang, J.; Benyamin, B.; McEvoy, B.P.; Gordon, S.; Henders, A.K.; Nyholt, D.R. Common SNPs explain a large proportion of the heritability for human height. Nat. Genet. 2010, 42, 565–569. [Google Scholar] [CrossRef]








© 2020 by the authors. Licensee MDPI, Basel, Switzerland. This article is an open access article distributed under the terms and conditions of the Creative Commons Attribution (CC BY) license (http://creativecommons.org/licenses/by/4.0/).
Share and Cite
Fikere, M.; Barbulescu, D.M.; Malmberg, M.M.; Maharjan, P.; Salisbury, P.A.; Kant, S.; Panozzo, J.; Norton, S.; Spangenberg, G.C.; Cogan, N.O.I.; et al. Genomic Prediction and Genetic Correlation of Agronomic, Blackleg Disease, and Seed Quality Traits in Canola (Brassica napus L.). Plants 2020, 9, 719. https://doi.org/10.3390/plants9060719
Fikere M, Barbulescu DM, Malmberg MM, Maharjan P, Salisbury PA, Kant S, Panozzo J, Norton S, Spangenberg GC, Cogan NOI, et al. Genomic Prediction and Genetic Correlation of Agronomic, Blackleg Disease, and Seed Quality Traits in Canola (Brassica napus L.). Plants. 2020; 9(6):719. https://doi.org/10.3390/plants9060719
Chicago/Turabian StyleFikere, Mulusew, Denise M. Barbulescu, M. Michelle Malmberg, Pankaj Maharjan, Phillip A. Salisbury, Surya Kant, Joe Panozzo, Sally Norton, German C. Spangenberg, Noel O. I. Cogan, and et al. 2020. "Genomic Prediction and Genetic Correlation of Agronomic, Blackleg Disease, and Seed Quality Traits in Canola (Brassica napus L.)" Plants 9, no. 6: 719. https://doi.org/10.3390/plants9060719
APA StyleFikere, M., Barbulescu, D. M., Malmberg, M. M., Maharjan, P., Salisbury, P. A., Kant, S., Panozzo, J., Norton, S., Spangenberg, G. C., Cogan, N. O. I., & Daetwyler, H. D. (2020). Genomic Prediction and Genetic Correlation of Agronomic, Blackleg Disease, and Seed Quality Traits in Canola (Brassica napus L.). Plants, 9(6), 719. https://doi.org/10.3390/plants9060719

