Diplotaxis tenuifolia (L.) DC. Yield and Quality as Influenced by Cropping Season, Protein Hydrolysates, and Trichoderma Applications
Abstract
1. Introduction
2. Results and Discussion
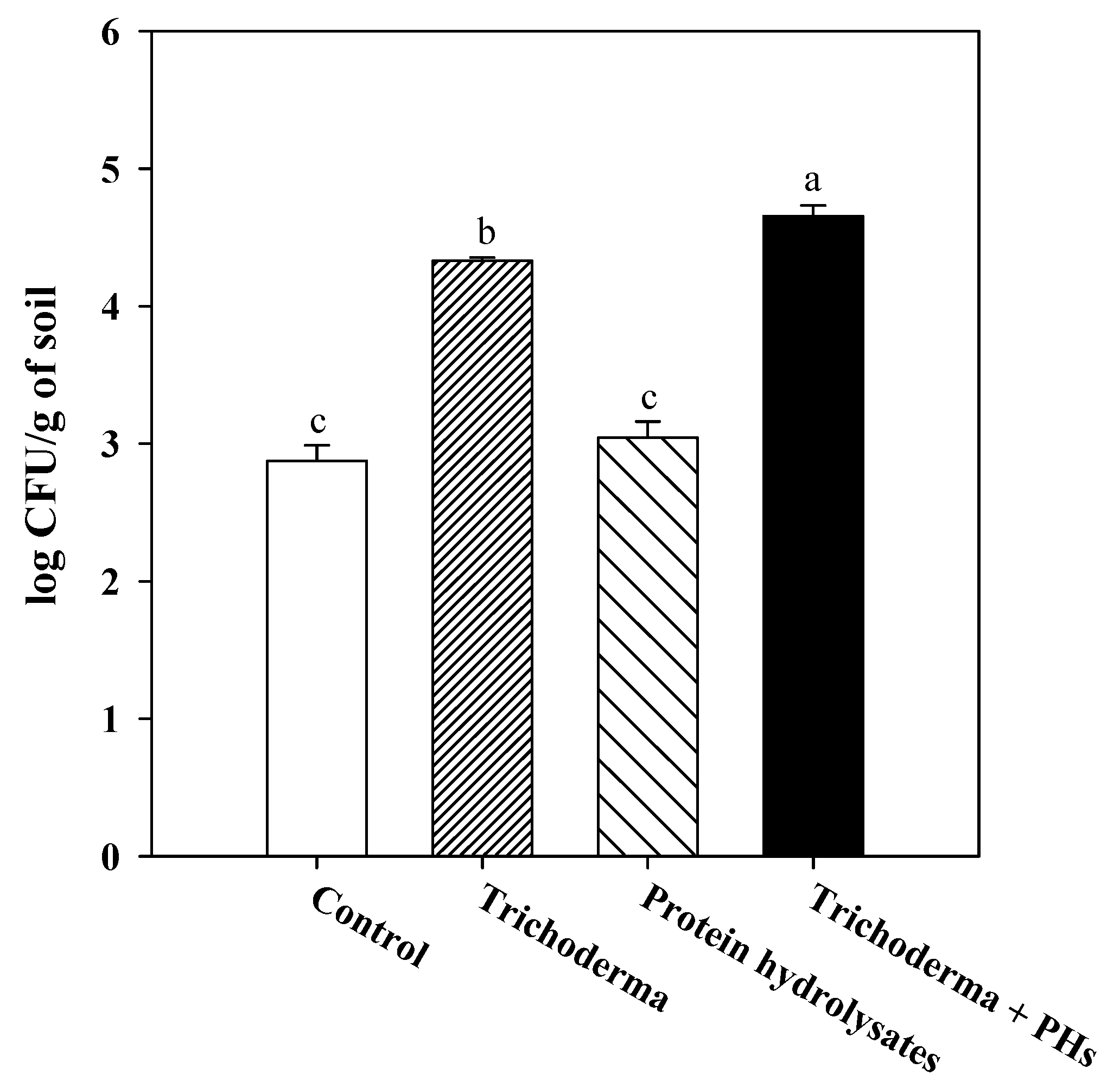
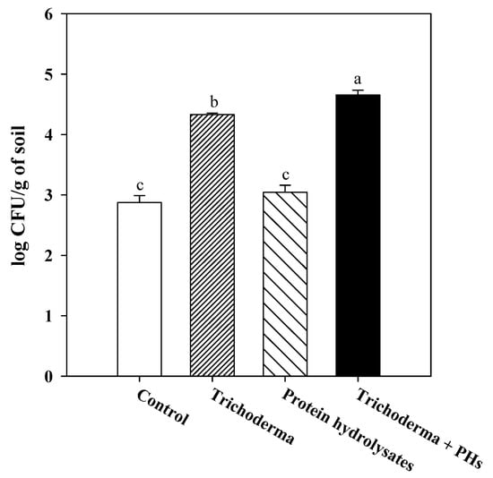
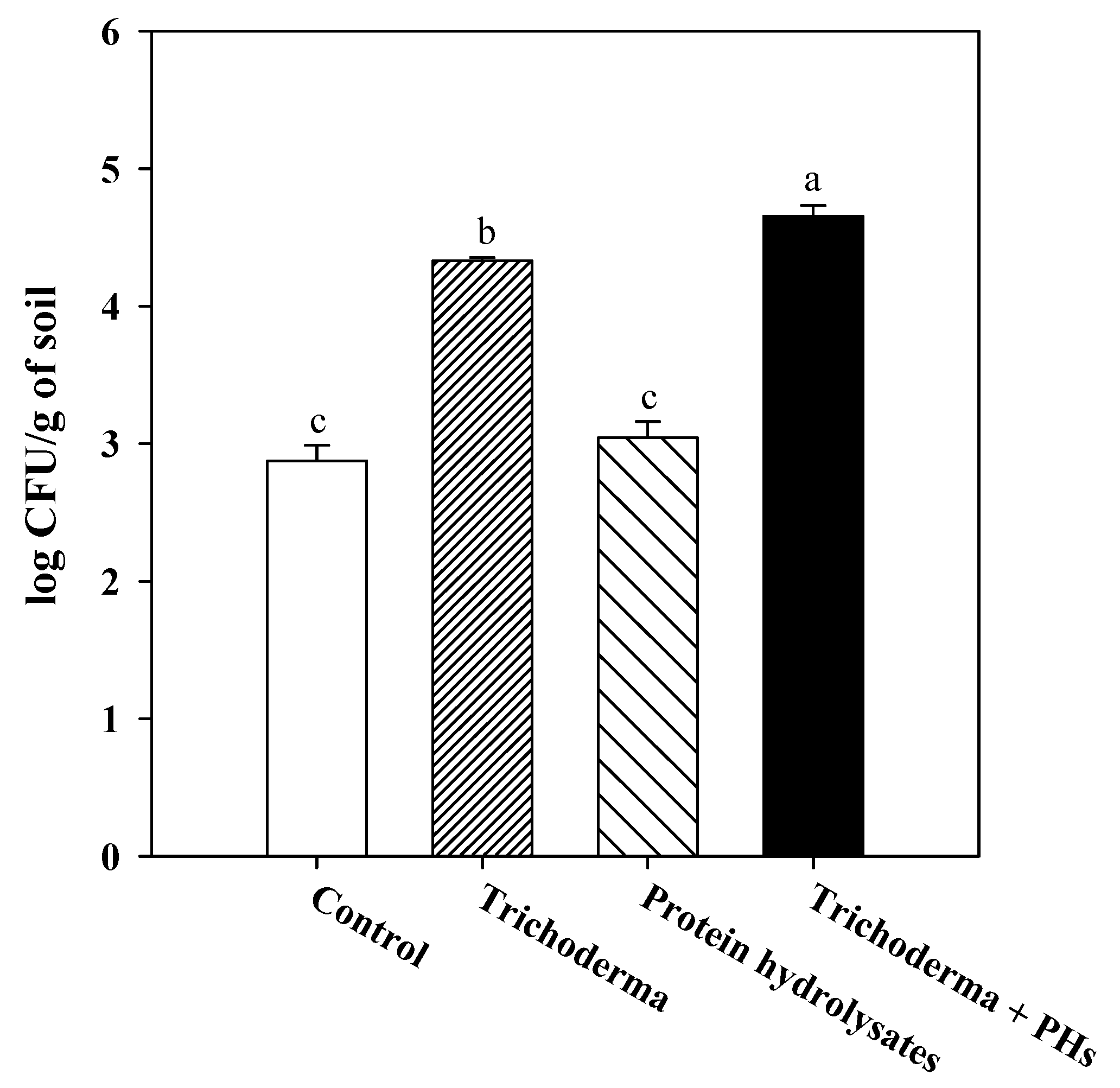
2.1. Trichoderma Harzianum Strain T22 and Protein Hydrolysate Compatibility
2.2. Yield and Dry Weight
2.3. SPAD Index and Leaf Colorimetric Parameters
2.4. Dry Residue and Organic Acid Content
2.5. Mineral Composition
2.6. Antioxidant Compounds and Activity
3. Materials and Methods
3.1. Experimental Location and Conditions
3.2. Experimental Protocol and Treatments
3.3. Sampling and Yield Assessment
3.4. SPAD Index and Colorimetric Components
3.5. Analysis of Total Nitrogen, Nitrate, Mineral Composition, and Organic Acids
3.6. Bioactive Compounds, Phostosynthetic Pigments, and Antioxidant Activities
3.7. Compatibility Tests Between T22 and PHs In Vitro and in the Field
3.8. Statistics
4. Conclusions
Author Contributions
Funding
Acknowledgments
Conflicts of Interest
References
- Caruso, G.; Parrella, G.; Giorgini, M.; Nicoletti, R. Crop Systems, Quality and Protection of Diplotaxis tenuifolia. Agriculture 2018, 8, 55. [Google Scholar] [CrossRef]
- Caruso, G.; de Pascale, S.; Nicoletti, R.; Cozzolino, E.; Rouphael, Y. Productivity, nutritional and functional qualities of perennial wall-rocket: Effects of pre-harvest factors. Folia Hortic. 2019, 31, 71–80. [Google Scholar] [CrossRef]
- Caruso, G.; De Pascale, S.; Cozzolino, E.; Giordano, M.; El-Nakhel, C.; Cuciniello, A.; Cenvinzo, V.; Colla, G.; Rouphael, Y. Protein Hydrolysate or Plant Extract-based Biostimulants Enhanced Yield and Quality Performances of Greenhouse Perennial Wall Rocket Grown in Different Seasons. Plants 2019, 8, 208. [Google Scholar] [CrossRef] [PubMed]
- Colla, G.; Rouphael, Y.; Canaguier, R.; Svecova, E.B.; Cardarelli, M. Biostimulant action of a plant-derived protein hydrolysate produced through enzymatic hydrolysis. Front. Plant Sci. 2014, 5, 448. [Google Scholar] [CrossRef] [PubMed]
- Liu, X.; Ko, K.; Kim, S.; Lee, K.-S. Effect of Amino Acid Fertilization on Nitrate Assimilation of Leafy Radish and Soil Chemical Properties in High Nitrate Soil. Commun. Soil Sci. Plant Anal. 2007, 39, 269–281. [Google Scholar] [CrossRef]
- Ertani, A.; Pizzeghello, D.; Francioso, O.; Sambo, P.; Sanchez-Cortes, S.; Nardi, S. Capsicum chinensis L. growth and nutraceutical properties are enhanced by biostimulants in a long-term period: Chemical and metabolomic approaches. Front. Plant Sci. 2014, 5, 1–12. [Google Scholar] [CrossRef]
- Rouphael, Y.; Colla, G. Synergistic Biostimulatory Action: Designing the Next Generation of Plant Biostimulants for Sustainable Agriculture. Front. Plant Sci. 2018, 9. [Google Scholar] [CrossRef]
- Colla, G.; Švecová, E.; Cardarelli, M.; Rouphael, Y.; Reynaud, H.; Canaguier, R.; Planques, B. Effectiveness of a plant-derived protein hydrolysate to improve crop performances under different growing conditions. Acta Hortic. 2013, 1009, 175–179. [Google Scholar] [CrossRef]
- Fan, X.; Gordon-Weeks, R.; Shen, Q.; Miller, A.J. Glutamine transport and feedback regulation of nitrate reductase activity in barley roots leads to changes in cytosolic nitrate pools. J. Exp. Bot. 2006, 57, 1333–1340. [Google Scholar] [CrossRef]
- Miller, A.J.; Fan, X.; Shen, Q.; Smith, S.J. Amino acids, and nitrate as signals for the regulation of nitrogen acquisition. J. Exp. Bot. 2007, 59, 111–119. [Google Scholar] [CrossRef]
- Apone, F.; Tito, A.; Carola, A.; Arciello, S.; Tortora, A.; Filippini, L.; Monoli, I.; Cucchiara, M.; Gibertoni, S.; Chrispeels, M.J.; et al. A mixture of peptides and sugars derived from plant cell walls increases plant defense responses to stress and attenuates ageing-associated molecular changes in cultured skin cells. J. Biotechnol. 2010, 145, 367–376. [Google Scholar] [CrossRef] [PubMed]
- Lucini, L.; Rouphael, Y.; Cardarelli, M.; Canaguier, R.; Kumar, P.; Colla, G. The effect of a plant-derived biostimulant on metabolic profiling and crop performance of lettuce grown under saline conditions. Sci. Hortic. 2015, 182, 124–133. [Google Scholar] [CrossRef]
- Harman, G.E.; Howell, C.R.; Viterbo, A.; Chet, I.; Lorito, M. Trichoderma species opportunistic, avirulent plant symbionts. Nat. Rev. Genet. 2004, 2, 43–56. [Google Scholar] [CrossRef] [PubMed]
- Lorito, M.; Woo, S.L. Trichoderma: A Multi-Purpose Tool for Integrated Pest Management. In Principles of Plant-Microbe Interactions; Springer Science and Business Media LLC: Berlin/Heidelberg, Germany, 2014; pp. 345–353. [Google Scholar]
- Fiorentino, N.; Ventorino, V.; Woo, S.L.; Pepe, O.; de Rosa, A.; Gioia, L.; Romano, I.; Lombardi, N.; Napolitano, M.; Colla, G.; et al. Trichoderma-Based Biostimulants Modulate Rhizosphere Microbial Populations and Improve N Uptake Efficiency, Yield, and Nutritional Quality of Leafy Vegetables. Front. Plant Sci. 2018, 9, 743. [Google Scholar] [CrossRef]
- Woo, S.L.; Pepe, O. Microbial Consortia: Promising Probiotics as Plant Biostimulants for Sustainable Agriculture. Front. Plant Sci. 2018, 9. [Google Scholar] [CrossRef]
- Colla, G.; Nardi, S.; Cardarelli, M.; Ertani, A.; Lucini, L.; Canaguier, R.; Rouphael, Y. Protein hydrolysates as biostimulants in horticulture. Sci. Hortic. 2015, 196, 28–38. [Google Scholar] [CrossRef]
- Caruso, G.; De Pascale, S.; Cozzolino, E.; Cuciniello, A.; Cenvinzo, V.; Bonini, P.; Colla, G.; Rouphael, Y. Yield and Nutritional Quality of Vesuvian Piennolo Tomato PDO as Affected by Farming System and Biostimulant Application. Agronomy 2019, 9, 505. [Google Scholar] [CrossRef]
- Ertani, A.; Schiavon, M.; Muscolo, A.; Nardi, S. Alfalfa plant-derived biostimulant stimulate short-term growth of salt stressed Zea mays L. plants. Plant Soil 2012, 364, 145–158. [Google Scholar] [CrossRef]
- Kulkarni, M.G.; Rengasamy, K.R.; Pendota, S.C.; Gruz, J.; Plačková, L.; Novak, O.; Dolezal, K.; Amoo, S. Bioactive molecules derived from smoke and seaweed Ecklonia maxima showing phytohormone-like activity in Spinacia oleracea L. New Biotechnol. 2019, 48, 83–89. [Google Scholar] [CrossRef]
- Colla, G.; Hoagland, L.; Ruzzi, M.; Cardarelli, M.; Bonini, P.; Canaguier, R.; Rouphael, Y. Biostimulant Action of Protein Hydrolysates: Unraveling Their Effects on Plant Physiology and Microbiome. Front. Plant Sci. 2017, 8, 2202. [Google Scholar] [CrossRef]
- du Jardin, P. Plant biostimulants: Definition, concept, main categories, and regulation. Sci. Hortic. 2015, 196, 3–14. [Google Scholar] [CrossRef]
- Fukaki, H.; Tasaka, M. Hormone interactions during lateral root formation. Plant Mol. Boil. 2008, 69, 437–449. [Google Scholar] [CrossRef] [PubMed]
- Overvoorde, P.; Fukaki, H.; Beeckman, T. Auxin Control of Root Development. Cold Spring Harb. Perspect. Boil. 2010, 2, a001537. [Google Scholar] [CrossRef] [PubMed]
- Chang, Y.-C.; Chang, Y.-C.; Baker, R.; Kleifeld, O.; Chet, I. Increased growth of plants in presence of the biological control agent Trichoderma harzianum. Plant Dis. 1986, 70, 145–148. [Google Scholar] [CrossRef]
- Chet, I.; Hadar, Y.; Katan, J.; Henis, Y. Biological control of soil-borne plant pathogens by Trichoderma harzianum. In Soil-Borne Plant Pathogens; Academic Press: Cambridge, MA, USA, 1979; pp. 585–592. [Google Scholar]
- Harman, G.E. Trichoderma hamatum Effects on Seed and Seedling Disease Induced in Radish and Pea by Pythium spp. or Rhizoctonia solani. Phytopathology 1980, 70, 1167. [Google Scholar] [CrossRef]
- Vinale, F.; Sivasithamparam, K.; Ghisalberti, E.L.; Marra, R.; Woo, S.L.; Lorito, M. Trichoderma–plant–pathogen interactions. Soil Boil. Biochem. 2008, 40, 1–10. [Google Scholar] [CrossRef]
- Sofo, A.; Tataranni, G.; Xiloyannis, C.; Dichio, B.; Scopa, A. Direct effects of Trichoderma harzianum strain T-22 on micropropagated shoots of GiSeLa6R (Prunus cerasus × Prunus canescens) rootstock. Environ. Exp. Bot. 2012, 76, 33–38. [Google Scholar] [CrossRef]
- Pelagio-Flores, R.; Esparza-Reynoso, S.; Garnica-Vergara, A.; López-Bucio, J.; Herrera-Estrella, A. Trichoderma-Induced Acidification Is an Early Trigger for Changes in Arabidopsis Root Growth and Determines Fungal Phytostimulation. Front. Plant Sci. 2017, 8, 822. [Google Scholar] [CrossRef]
- Zhang, F.; Chen, C.; Zhang, F.; Gao, L.; Liu, J.; Chen, L.; Fan, X.; Liu, C.; Zhang, K.; He, Y.; et al. Trichoderma harzianum containing 1-aminocyclopropane-1-carboxylate deaminase and chitinase improved growth and diminished adverse effect caused by Fusarium oxysporum in soybean. J. Plant Physiol. 2017, 210, 84–94. [Google Scholar] [CrossRef]
- Skujins, J. History of Abiontic Soil Enzyme Research; Atlantic City Press: Washington, DC, USA, 1987; pp. 1–49. [Google Scholar]
- Mijangos, I.; Perez, R.; Albizu, I.; Garbisu, C. Effects of fertilization and tillage on soil biological parameters. Enzym. Microb. Technology 2006, 40, 100–106. [Google Scholar] [CrossRef]
- Yang, L.; Li, T.; Li, F.; Lemcoff, J.H.; Cohen, S. Fertilization regulates soil enzymatic activity and fertility dynamics in a cucumber field. Sci. Hortic. 2008, 116, 21–26. [Google Scholar] [CrossRef]
- Tucci, M.; Ruocco, M.; de Masi, L.; de Palma, M.; Lorito, M. The beneficial effect of Trichoderma spp. on tomato is modulated by the plant genotype. Mol. Plant Pathol. 2010, 12, 341–354. [Google Scholar] [CrossRef] [PubMed]
- Ousley, M.A.; Lynch, J.M.; Whipps, J.M. Potential of Trichoderma spp. as consistent plant growth stimulators. Boil. Fertil. Soils 1994, 17, 85–90. [Google Scholar] [CrossRef]
- Baker, R. Trzchoderma spp. as Plant-Growth Stimulants. Crit. Rev. Biotechnol. 1988, 7, 97–106. [Google Scholar] [CrossRef]
- Chet, I.; Inbar, J.; Hadar, Y. Fungal antagonists and mycoparasites. In The Mycota IV: Environmental and Microbial Relationships; Wicklow, D.T., Söderström, B., Eds.; Springer: Berlin, Grermany, 1997; pp. 165–184. [Google Scholar]
- Cai, F.; Chen, W.; Wei, Z.; Pang, G.; Li, R.; Ran, W.; Shen, Q. Colonization of Trichoderma harzianum strain SQR-T037 on tomato roots and its relationship to plant growth, nutrient availability and soil microflora. Plant Soil 2014, 388, 337–350. [Google Scholar] [CrossRef]
- Ertani, A.; Schiavon, M.; Nardi, S. Transcriptome-Wide Identification of Differentially Expressed Genes in Solanum lycopersicon L. in Response to an Alfalfa-Protein Hydrolysate Using Microarrays. Front. Plant Sci. 2017, 8. [Google Scholar] [CrossRef]
- Bassi, D.; Menossi, M.; Mattiello, L. Nitrogen supply influences photosynthesis establishment along the sugarcane leaf. Sci. Rep. 2018, 8, 2327. [Google Scholar] [CrossRef] [PubMed]
- Roberts, P.; Edwards-Jones, G.; Jones, D.L. Yield Responses of Wheat (Triticum aestivum) To Vermicompost Applications. Compos. Sci. Util. 2007, 15, 6–15. [Google Scholar] [CrossRef]
- Noctor, G.; Novitskaya, L.; Lea, P.J.; Foyer, C.H. Co-ordination of leaf minor amino acid contents in crop species: Significance and interpretation. J. Exp. Bot. 2002, 53, 939–945. [Google Scholar] [CrossRef]
- Luziatelli, F.; Ficca, A.G.; Colla, G.; Svecova, E.B.; Ruzzi, M. Foliar Application of Vegetal-Derived Bioactive Compounds Stimulates the Growth of Beneficial Bacteria and Enhances Microbiome Biodiversity in Lettuce. Front. Plant Sci. 2019, 10, 60. [Google Scholar] [CrossRef] [PubMed]
- Rouphael, Y.; Giordano, M.; Cardarelli, M.; Cozzolino, E.; Mori, M.; Kyriacou, M.C.; Bonini, P.; Colla, G. Plant- and Seaweed-Based Extracts Increase Yield but Differentially Modulate Nutritional Quality of Greenhouse Spinach through Biostimulant Action. Agronomy 2018, 8, 126. [Google Scholar] [CrossRef]
- Russell, L.; Stokes, A.R.; Macdonald, H.; Muscolo, A.; Nardi, S. Stomatal Responses to Humic Substances and Auxin are Sensitive to Inhibitors of Phospholipase A2. Plant Soil 2006, 283, 175–185. [Google Scholar] [CrossRef]
- Boursiac, Y.; Léran, S.; Corratgé-Faillie, C.; Gojon, A.; Krouk, G.; Lacombe, B. ABA transport and transporters. Trends Plant Sci. 2013, 18, 325–333. [Google Scholar] [CrossRef]
- Schiavon, M.; Ertani, A.; Nardi, S. Effects of an Alfalfa Protein Hydrolysate on the Gene Expression and Activity of Enzymes of the Tricarboxylic Acid (TCA) Cycle and Nitrogen Metabolism in Zea mays L. J. Agric. Food Chem. 2008, 56, 11800–11808. [Google Scholar] [CrossRef]
- Colla, G.; Cardarelli, M.; Bonini, P.; Rouphael, Y. Foliar Applications of Protein Hydrolysate, Plant and Seaweed Extracts Increase Yield but Differentially Modulate Fruit Quality of Greenhouse Tomato. Hort. Sci. 2017, 52, 1214–1220. [Google Scholar] [CrossRef]
- Lucini, L.; Rouphael, Y.; Cardarelli, M.; Bonini, P.; Baffi, C.; Colla, G. A Vegetal Biopolymer-Based Biostimulant Promoted Root Growth in Melon While Triggering Brassinosteroids and Stress-Related Compounds. Front. Plant Sci. 2018, 9, 472. [Google Scholar] [CrossRef]
- Ertani, A.; Nardi, S.; Francioso, O.; Pizzeghello, D.; Tinti, A.; Schiavon, M. Metabolite-Targeted Analysis and Physiological Traits of Zea mays L. in Response to Application of a Leonardite-Humate and Lignosulfonate-Based Products for Their Evaluation as Potential Biostimulants. Agronomy 2019, 9, 445. [Google Scholar] [CrossRef]
- Sestili, F.; Rouphael, Y.; Cardarelli, M.; Pucci, A.; Bonini, P.; Canaguier, R.; Colla, G. Protein Hydrolysate Stimulates Growth in Tomato Coupled With N-Dependent Gene Expression Involved in N Assimilation. Front. Plant Sci. 2018, 9, 9. [Google Scholar] [CrossRef]
- Caruso, G.; Conti, S.; La Rocca, G. Influence of crop cycle and nitrogen fertilizer form on yield and nitrate content in different species of vegetables. Adv. Hortic. Sci. 2011, 25, 81–89. [Google Scholar]
- Vernieri, P.; Borghesi, E.; Ferrante, A.; Magnani, G. Application of biostimulants in floating system for improving rocket quality. J. Food Agric. Environ. 2005, 3, 86–88. [Google Scholar]
- Amr, A.; Hadidi, N. Effect of cultivar and harvest data on nitrate (NO3) and nitrite (NO2) content of selected vegetables gown under open field and greenhouse conditions in Jordan. J. Food Compos. Anal. 2001, 14, 59–67. [Google Scholar] [CrossRef]
- Liu, X.-Q.; Lee, K.-S. Effect of Mixed Amino Acids on Crop Growth. Agricul. Sci. 2012, 119–158. [Google Scholar] [CrossRef]
- Wang, H.-J.; Wu, L.-H.; Wang, M.-Y.; Zhu, Y.-H.; Tao, Q.-N.; Zhang, F.-S. Effects of Amino Acids Replacing Nitrate on Growth, Nitrate Accumulation, and Macroelement Concentrations in Pak-choi (Brassica chinensis L.). Pedosphere 2007, 17, 595–600. [Google Scholar] [CrossRef]
- Cai, F.; Yu, G.-H.; Wang, P.; Wei, Z.; Fu, L.; Shen, Q.; Chen, W. Harzianolide, a novel plant growth regulator and systemic resistance elicitor from Trichoderma harzianum. Plant Physiol. Biochem. 2013, 73, 106–113. [Google Scholar] [CrossRef]
- Altomare, C.; Norvell, W.A.; Björkman, T.; Harman, G.E. Solubilization of Phosphates and Micronutrients by the Plant-Growth-Promoting and Biocontrol Fungus Trichoderma harzianum Rifai 1295-22. Appl. Environ. Microbiol. 1999, 65, 2926–2933. [Google Scholar] [CrossRef]
- Deubel, A.; Merbach, W. Influence of Microorganisms on Phosphorus Bioavailability in Soils. Biocont. Lepidopteran Pests 2005, 3, 177–191. [Google Scholar]
- Li, R.-X.; Cai, F.; Pang, G.; Shen, Q.-R.; Li, R.; Chen, W. Solubilisation of Phosphate and Micronutrients by Trichoderma harzianum and Its Relationship with the Promotion of Tomato Plant Growth. PLoS ONE 2015, 10, e0130081. [Google Scholar] [CrossRef]
- Rouphael, Y.; Colla, G.; Giordano, M.; El-Nakhel, C.; Kyriacou, M.C.; De Pascale, S. Foliar applications of a legume-derived protein hydrolysate elicit dose-dependent increases of growth, leaf mineral composition, yield and fruit quality in two greenhouse tomato cultivars. Sci. Hortic. 2017, 226, 353–360. [Google Scholar] [CrossRef]
- Rouphael, Y.; Carillo, P.; Colla, G.; Fiorentino, N.; Sabatino, L.; El-Nakhel, C.; Giordano, M.; Pannico, A.; Cirillo, V.; Shabani, E.; et al. Appraisal of Combined Applications of Trichoderma virens and a Biopolymer-Based Biostimulant on Lettuce Agronomical, Physiological, and Qualitative Properties under Variable N Regimes. Agronomy 2020, 10, 196. [Google Scholar] [CrossRef]
- Kim, E.-H.; Li, X.-P.; Razeghifard, R.; Anderson, J.M.; Niyogi, K.K.; Pogson, B.J.; Chow, W.S. The multiple roles of light-harvesting chlorophyll a/b-protein complexes define structure and optimize function of Arabidopsis chloroplasts: A study using two chlorophyll b-less mutants. Biochim. Biophys. Acta Gen. Subj. 2009, 1787, 973–984. [Google Scholar] [CrossRef] [PubMed]
- Müller, P.; Li, X.-P.; Niyogi, K.K. Non-Photochemical Quenching. A Response to Excess Light Energy. Plant Physiol. 2001, 125, 1558–1566. [Google Scholar] [CrossRef] [PubMed]
- Miflin, B.; Habash, D.Z. The role of glutamine synthetase and glutamate dehydrogenase in nitrogen assimilation and possibilities for improvement in the nitrogen utilization of crops. J. Exp. Bot. 2002, 53, 979–987. [Google Scholar] [CrossRef] [PubMed]
- Diaz, C.; Saliba-Colombani, V.; Loudet, O.; Belluomo, P.; Moreau, L.; Daniel-Vedele, F.; Morot-Gaudry, J.-F.; Masclaux-Daubresse, C. Leaf Yellowing and Anthocyanin Accumulation are Two Genetically Independent Strategies in Response to Nitrogen Limitation in Arabidopsis thaliana. Plant Cell Physiol. 2006, 47, 74–83. [Google Scholar] [CrossRef] [PubMed]
- Jędrszczyk, E.; Kopeć, A.; Bucki, P.; Ambroszczyk, A.M.; Skowera, B. The Enhancing Effect of Plants Growth Biostimulants in Garlic Cultivation on the Chemical Composition and Level of Bioactive Compounds in the Garlic Leaves, Stems and Bulbs. Not. Bot. Horti. Agrobot. Cluj Napoca 2018, 47, 81–91. [Google Scholar] [CrossRef]
- Vasantharaja, R.; Abraham, L.S.; Inbakandan, D.; Thirugnanasambandam, R.; Senthilvelan, T.; Jabeen, S.A.; Prakash, P. Influence of seaweed extracts on growth, phytochemical contents, and antioxidant capacity of cowpea (Vigna unguiculata L. Walp). Biocatal. Agric. Biotechnol. 2019, 17, 589–594. [Google Scholar] [CrossRef]
- Hyun, M.W.; Yun, Y.H.; Kim, J.Y.; Kim, S.H. Fungal and Plant Phenylalanine Ammonia-lyase. Mycobiology 2011, 39, 257–265. [Google Scholar] [CrossRef]
- Caruso, G.; Stoleru, V.; De Pascale, S.; Cozzolino, E.; Pannico, A.; Giordano, M.; Teliban, G.C.; Cuciniello, A.; Rouphael, Y. Production, Leaf Quality and Antioxidants of Perennial Wall Rocket as Affected by Crop Cycle and Mulching Type. Agronomy 2019, 9, 194. [Google Scholar] [CrossRef]
- Bremner, J.M. Total nitrogen. In Methods of Soil Analysis 1965, 1149–1178; Agronomy Monograph, No 9, Part 2; Black, C.A., Evans, D.D., White, I.L., Ensminger, L.E., Clark, F.E., Eds.; American Society of Agronomy, Inc.: Madison, WI, USA, 1965. [Google Scholar]
- Kampfenkel, K.; Vanmontagu, M.; Inzé, D. Extraction and Determination of Ascorbate and Dehydroascorbate from Plant Tissue. Anal. Biochem. 1995, 225, 165–167. [Google Scholar] [CrossRef]
- Arnon, D.I. Copper enzymes in isolated chloroplasts, polyphenoxidase in Beta vulgaris. Plant Physiol. 1949, 24, 1–15. [Google Scholar] [CrossRef]
- Lichtenthaler, H.K. Chlorophylls and carotenoids: Pigments of photosynthetic biomembranes. In Methods in Enzymology; Elsevier BV: Amsteradm, The Netherlands, 1987; pp. 350–382. [Google Scholar]
- Singleton, V.L.; Orthofer, R.; Lamuela-Raventós, R.M. Analysis of total phenols and other oxidation substrates and antioxidants by means of folin-ciocalteu reagent. Methods Enzymol. 1999, 299, 152–178. [Google Scholar] [CrossRef]
- Re, R.; Pellegrini, N.; Proteggente, A.; Pannala, A.; Yang, M.; Rice-Evans, C. Antioxidant activity applying an improved ABTS radical cation decolorization assay. Free. Radic. Boil. Med. 1999, 26, 1231–1237. [Google Scholar] [CrossRef]
- Fogliano, V.; Verde, V.; Randazzo, G.; Ritieni, A. Method for measuring antioxidant activity and its application to monitoring the antioxidant capacity of wines. J. Agric. Food Chem. 1999, 47, 1035–1040. [Google Scholar] [CrossRef] [PubMed]

| Source of Variation | Crop Cycle | Marketable Leaves | Plant Dry Weight (g m−2) | ||
|---|---|---|---|---|---|
| Duration (days) | Yield (t ha−1) | Number per Rosette | Mean Weight (g) | ||
| Cropping season | |||||
| Autumn–winter | 69 a | 9.3 c | 118.7 b | 0.55 b | 105.48 c |
| Winter | 55 b | 19.1 a | 213.9 a | 0.69 a | 171.51 a |
| Winter–spring | 29 c | 15.6 b | 202.1 a | 0.55 b | 140.33 b |
| Biostimulant treatment | |||||
| Trichoderma | 51 | 15.2 a | 183.1 a | 0.63 a | 137.8 b |
| Protein hydrolysates (PHs) | 51 | 14.9 a | 191.5 a | 0.57 c | 156.1 a |
| Trichoderma + PHs | 50 | 15.7 a | 189.5 a | 0.61 ab | 146.6 ab |
| Untreated control | 52 | 12.9 b | 148.8 b | 0.59 b | 115.9 c |
| n.s. | |||||
| Source of Variation | SPAD Index | Leaf Colorimetric Parameters | ||
|---|---|---|---|---|
| L * | a * | b * | ||
| Cropping season | ||||
| Winter | 36.4 | 39.1 | −13.5 | 19.3 |
| Winter–spring | 46.8 | 40.6 | −14.1 | 20.8 |
| * | n.s. | * | * | |
| Biostimulant treatment | ||||
| Trichoderma | 42.7 ab | 39.9 ab | −13.7 b | 20.1 ab |
| Protein hydrolysates (PHs) | 41.2 b | 39.6 ab | −13.8 b | 20.0 ab |
| Trichoderma + PHs | 43.5 a | 41.2 a | −14.6 a | 21.1 a |
| Untreated control | 39.1 c | 38.7 b | −13.2 b | 19.1 b |
| Source of Variation | Dry Residue (%) | Malate (g kg−1 dw) | Tartrate (g kg−1 dw) | Oxalate (g kg−1 dw) | Citrate (g kg−1 dw) |
|---|---|---|---|---|---|
| Cropping season | |||||
| Winter | 9.0 | 18.68 | 0.08 | 0.70 | 17.33 |
| Winter–spring | 8.8 | 14.85 | 0.12 | 0.87 | 20.36 |
| n.s. | * | * | * | * | |
| Biostimulant treatment | |||||
| Trichoderma | 8.9 | 17.65 | 0.10 | 0.79 ab | 20.30 |
| Protein hydrolysates (PHs) | 9.0 | 16.95 | 0.11 | 0.78 ab | 17.56 |
| Trichoderma + PHs | 9.0 | 16.47 | 0.11 | 0.82 a | 19.63 |
| Untreated control | 8.8 | 15.99 | 0.09 | 0.75 b | 17.91 |
| n.s. | n.s. | n.s. | n.s. |
| Source of Variation | Nitrate (mg·kg−1 fw) | Total N (%) | PO4 | K | SO4 | Ca (g·kg−1 dw) | Mg | Na |
|---|---|---|---|---|---|---|---|---|
| Cropping season | ||||||||
| Winter | 6237 | 5.03 | 7.43 | 51.02 | 25.37 | 26.70 | 3.52 | 3.24 |
| Winter–spring | 6790 | 5.02 | 8.76 | 49.22 | 29.90 | 29.27 | 3.50 | 3.43 |
| * | n.s. | * | n.s. | * | * | n.s. | n.s. | |
| Biostimulant treatment | ||||||||
| Trichoderma | 6634 a | 4.96 c | 8.22 b | 53.84 a | 28.63 | 28.48 ab | 3.57 b | 3.43 b |
| Protein hydrolysates | 6916 a | 5.11 b | 8.19 b | 48.77 b | 27.61 | 27.30 ab | 3.39 b | 3.22 b |
| Trichoderma + PHs | 7127 a | 5.25 a | 9.05 a | 54.04 a | 28.21 | 30.54 a | 3.97 a | 3.89 a |
| Untreated control | 5487 b | 4.78 d | 7.66 c | 43.83 c | 27.28 | 25.63 b | 3.11 c | 2.80 c |
| n.s. |
| Source of Variation | Lipophilic Antioxidant Activity (mmol Trolox eq.100 g−1 fw) | Hydrophilic Antioxidant Activity (mmol Ascorbic Acid eq.100 g−1 fw) | Total Phenols (mg Gallic Acid eq.100 g−1 fw) | Total Ascorbic Acid (mg 100 g−1 fw) | Chlorophyll a (mg g−1 fw) | Chlorophyll b (mg g−1 fw) | Chlorophyll a + b (mg g−1 fw) | Carotenoids (mg g−1 fw) |
|---|---|---|---|---|---|---|---|---|
| Cropping season | ||||||||
| Winter | 2.11 | 0.098 | 34.3 | 20.07 | 0.89 | 0.54 | 1.43 | 0.33 |
| Winter–spring | 1.80 | 0.129 | 33.8 | 20.33 | 0.85 | 0.50 | 1.35 | 0.34 |
| * | * | n.s. | n.s. | n.s. | n.s. | n.s. | n.s. | |
| Biostimulant treatment | ||||||||
| Trichoderma | 2.14 a | 0.119 a | 33.7 | 21.22 a | 0.86 | 0.52 a | 1.38 | 0.34 |
| Protein hydrolysates | 1.85 b | 0.113 a | 33.8 | 18.27 b | 0.89 | 0.55 a | 1.43 | 0.33 |
| Trichoderma + PHs | 2.17 a | 0.125 a | 36.5 | 23.28 a | 0.87 | 0.55 a | 1.42 | 0.34 |
| Untreated control | 1.64 c | 0.099 b | 32.5 | 18.04 b | 0.85 | 0.47 b | 1.32 | 0.34 |
| n.s. | n.s. | n.s. | n.s. |
© 2020 by the authors. Licensee MDPI, Basel, Switzerland. This article is an open access article distributed under the terms and conditions of the Creative Commons Attribution (CC BY) license (http://creativecommons.org/licenses/by/4.0/).
Share and Cite
Caruso, G.; El-Nakhel, C.; Rouphael, Y.; Comite, E.; Lombardi, N.; Cuciniello, A.; Woo, S.L. Diplotaxis tenuifolia (L.) DC. Yield and Quality as Influenced by Cropping Season, Protein Hydrolysates, and Trichoderma Applications. Plants 2020, 9, 697. https://doi.org/10.3390/plants9060697
Caruso G, El-Nakhel C, Rouphael Y, Comite E, Lombardi N, Cuciniello A, Woo SL. Diplotaxis tenuifolia (L.) DC. Yield and Quality as Influenced by Cropping Season, Protein Hydrolysates, and Trichoderma Applications. Plants. 2020; 9(6):697. https://doi.org/10.3390/plants9060697
Chicago/Turabian StyleCaruso, Gianluca, Christophe El-Nakhel, Youssef Rouphael, Ernesto Comite, Nadia Lombardi, Antonio Cuciniello, and Sheridan Lois Woo. 2020. "Diplotaxis tenuifolia (L.) DC. Yield and Quality as Influenced by Cropping Season, Protein Hydrolysates, and Trichoderma Applications" Plants 9, no. 6: 697. https://doi.org/10.3390/plants9060697
APA StyleCaruso, G., El-Nakhel, C., Rouphael, Y., Comite, E., Lombardi, N., Cuciniello, A., & Woo, S. L. (2020). Diplotaxis tenuifolia (L.) DC. Yield and Quality as Influenced by Cropping Season, Protein Hydrolysates, and Trichoderma Applications. Plants, 9(6), 697. https://doi.org/10.3390/plants9060697

