Post-Silking Shading Stress Affects Leaf Nitrogen Metabolism of Spring Maize in Southern China
Abstract
1. Introduction
2. Materials and Methods
2.1. Plant Growth and Experimental Design
2.2. Yield Determination
2.3. Dry Matter Accumulation
2.4. Relative Chlorophyll Content
2.5. Leaf Soluble Protein Content
2.6. Assay of NR, GS and GOGAT Activities
2.7. Statistical Analysis
3. Results
3.1. Post-Silking Weather
3.2. Grain Yield
3.3. Post-Silking Dry Matter Accumulation and Translocation
3.4. Leaf SPAD Value
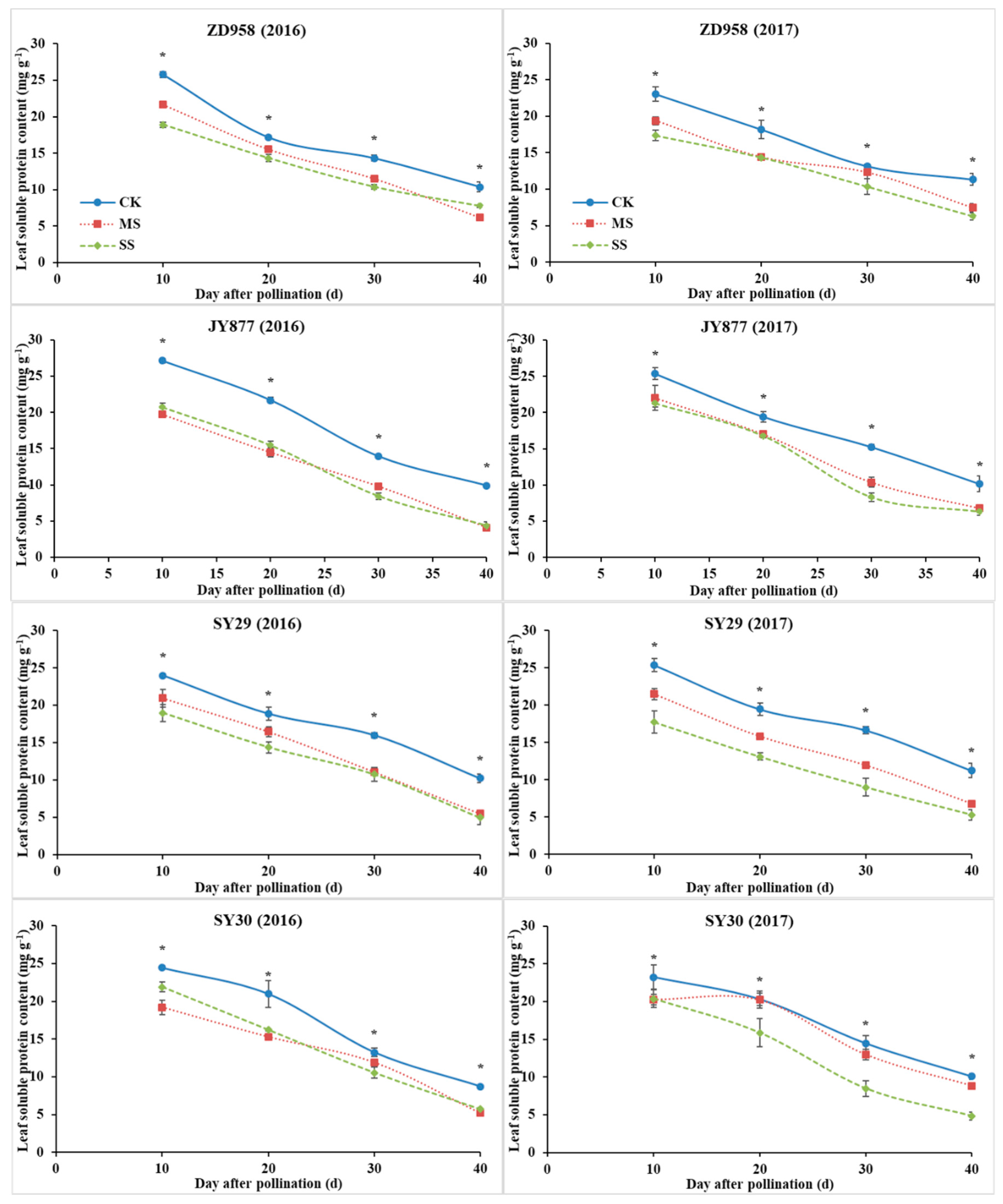
3.5. Leaf Soluble Protein Content
3.6. GOGAT, GS and NR Activities
4. Discussion
5. Conclusions
Author Contributions
Funding
Conflicts of Interest
References
- Bellasio, C.; Griffiths, H. Acclimation of C4 metabolism to low light in mature maize leaves could limit energetic losses during progressive shading in a crop canopy. J. Exp. Bot. 2014, 65, 3725–3736. [Google Scholar] [CrossRef]
- Yuan, L.Z.; Tang, J.H.; Liu, J.Y.; Song, H.; Zhang, M.B.; Li, H.P.; Li, C.H. Differential miRNA expression in maize ear subjected to shading tolerance. Acta Physiol. Plant 2016, 38. [Google Scholar] [CrossRef]
- Yuan, F.H.; Guan, D.X.; Wang, A.Z.; Wu, J.B.; Jin, C.J. Effects of long-term shade on maize (Zea mays L.) growth and yield in west of Liaoning province, Northeastern China. J. Food Agric. Environ. 2012, 10, 357–361. [Google Scholar]
- Cui, H.Y.; Camberato, J.J.; Jin, L.B.; Zhang, J.W. Effects of shading on spike differentiation and grain yield formation of summer maize in the field. Int. J. Biometeorol. 2015, 59, 1189–1200. [Google Scholar] [CrossRef]
- Hiyane, R.; Hiyane, S.; Tang, A.C.; Boyer, J.S. Sucrose feeding reverses shade-induced kernel losses in maize. Ann. Bot. Lond. 2010, 106, 395–403. [Google Scholar] [CrossRef]
- Cerrudo, A.; Di Matteo, J.; Fernandez, E.; Robles, M.; Pico, L.O.; Andrade, F.H. Yield components of maize as affected by short shading periods and thinning. Crop Pasture Sci. 2013, 64, 580–587. [Google Scholar] [CrossRef]
- Setter, T.L.; Flannigan, B.A.; Melkonian, J. Loss of kernel set due to water deficit and shade in maize: Carbohydrate supplies, abscisic acid, and cytokinins. Crop Sci. 2001, 41, 1530–1540. [Google Scholar] [CrossRef]
- Ren, B.Z.; Cui, H.Y.; Camberato, J.J.; Dong, S.T.; Liu, P.; Zhao, B.; Zhang, J.W. Effects of shading on the photosynthetic characteristics and mesophyll cell ultrastructure of summer maize. Sci. Nat. Heidelb. 2016, 103, 67. [Google Scholar] [CrossRef]
- Gao, J.; Shi, J.; Dong, S.; Liu, P.; Zhao, B.; Zhang, J. Grain yield and root characteristics of summer maize (Zea mays L.) under shade stress conditions. J. Agron. Crop Sci. 2017, 203, 562–573. [Google Scholar] [CrossRef]
- Gao, J.; Zhao, B.; Dong, S.T.; Liu, P.; Ren, B.Z.; Zhang, J.W. Response of summer maize photosynthate accumulation and distribution to shading stress assessed by using (CO2)C13 stable isotope tracer in the field. Front. Plant Sci. 2017, 8, 1821. [Google Scholar] [CrossRef]
- Zhong, X.M.; Shi, Z.S.; Li, F.H.; Huang, H.J. Photosynthesis and chlorophyll fluorescence of infertile and fertile stalks of paired near-isogenic lines in maize (Zea mays L.) under shade conditions. Photosynthetica 2014, 52, 597–603. [Google Scholar] [CrossRef]
- Sharwood, R.E.; Sonawane, B.V.; Ghannoum, O. Photosynthetic flexibility in maize exposed to salinity and shade. J. Exp. Bot. 2014, 65, 3715–3724. [Google Scholar] [CrossRef]
- Jia, S.F.; Li, C.F.; Dong, S.T.; Zhang, J.W. Effects of shading at different stages after anthesis on maize grain weight and quality at cytology level. Agric. Sci. China 2011, 10, 58–69. [Google Scholar] [CrossRef]
- Prasad, P.V.V.; Staggenborg, S.A.; Ristic, Z. Impacts of drought and/or heat stress on physiological, developmental, growth, and yield processes of crop plants. Adv. Agric. Syst. Model 2008, 1, 301–355. [Google Scholar] [CrossRef]
- Majlath, I.; Darko, E.; Palla, B.; Nagy, Z.; Janda, T.; Szalai, G. Reduced light and moderate water deficiency sustain nitrogen assimilation and sucrose degradation at low temperature in durum wheat. J. Plant Physiol. 2016, 191, 149–158. [Google Scholar] [CrossRef]
- Yu, S.; Wang, Y.; Zhou, Z.; Lv, F.; Liu, J.; Ma, Y.; Chen, J.; Abudukeyoumu, A. Effect of shade on nitrogen metabolism and its mechanism in cotton plant at flowering andboll-forming stage. Acta Agron. Sin. 2011, 37, 1879–1887. [Google Scholar] [CrossRef]
- Bertamini, M.; Nedunchezhian, N. Decline of photosynthetic pigments, ribulose-1,5-bisphosphate carboxylase and soluble protein contents, nitrate reductase and photosynthetic activities, and changes in thylakoid membrane protein pattern in canopy shade grapevine (Vitis vinifera L. cv. Moscato giallo) leaves. Photosynthetica 2001, 39, 529–537. [Google Scholar] [CrossRef]
- Shu, S.; Tang, Y.Y.; Yuan, Y.H.; Sun, J.; Zhong, M.; Guo, S.R. The role of 24-epibrassinolide in the regulation of photosynthetic characteristics and nitrogen metabolism of tomato seedlings under a combined low temperature and weak light stress. Plant Physiol. Biochem. 2016, 107, 344–353. [Google Scholar] [CrossRef]
- Tabatabaei, S.J.; Yusefi, M.; Hajiloo, J. Effects of shading and NO3: NH4 ratio on the yield, quality and N metabolism in strawberry. Sci. Hortic. Amst. 2008, 116, 264–272. [Google Scholar] [CrossRef]
- Lu, D.L.; Sun, X.L.; Wang, X.; Yan, F.B.; Lu, W.P. Effect of shading during grain filling on the physicochemical properties of fresh waxy maize. J. Integr. Agric. 2013, 12, 1560–1567. [Google Scholar] [CrossRef]
- Yang, H.; Shi, Y.L.; Xu, R.C.; Lu, D.L.; Lu, W.P. Effects of shading after pollination on kernel filling and physicochemical quality traits of waxy maize. Crop J. 2016, 4, 235–245. [Google Scholar] [CrossRef]
- Shi, K.; Gu, X.T.; Lu, W.P.; Lu, D.L. Effects of weak-light stress during grain filling on the physicochemical properties of normal maize starch. Carbohydr. Polym. 2018, 202, 47–55. [Google Scholar] [CrossRef]
- Chen, Y.L.; Xiao, C.X.; Wu, D.L.; Xia, T.T.; Chen, Q.W.; Chen, F.J.; Yuan, L.X.; Mi, G.H. Effects of nitrogen application rate on grain yield and grain nitrogen concentration in two maize hybrids with contrasting nitrogen remobilization efficiency. Eur. J. Agron. 2015, 62, 79–89. [Google Scholar] [CrossRef]
- Ciampitti, I.A.; Vyn, T.J. Physiological perspectives of changes over time in maize yield dependency on nitrogen uptake and associated nitrogen efficiencies: A review. Field Crop Res. 2012, 133, 48–67. [Google Scholar] [CrossRef]
- Yang, H.; Huang, T.Q.; Ding, M.Q.; Lu, D.L.; Lu, W.P. High temperature during grain filling impacts on leaf senescence in waxy maize. Agron. J. 2017, 109, 906–916. [Google Scholar] [CrossRef]
- Bradford, M.M. A rapid and sensitive method for the quantitation of microgram quantities of protein utilizing the principle of protein-dye binding. Anal. Biochem. 1976, 72, 248–254. [Google Scholar] [CrossRef]
- Liang, C.G.; Chen, L.P.; Wang, Y.X.; Liu, J.; Xu, G.L.; Li, T. High temperature at grain filling stage affects nitrogen metabolism enzyme acivities in grains and grain nutritional quality in rice. Rice Sci. 2011, 18, 210–216. [Google Scholar] [CrossRef]
- Tang, Q.Y.; Feng, M.G. Data Processing System: Experimental Design, Statistical Analysis and Data Mining; Science Press: Beijing, China, 2007. [Google Scholar]
- Barnabas, B.; Jager, K.; Feher, A. The effect of drought and heat stress on reproductive processes in cereals. Plant Cell Environ. 2008, 31, 11–38. [Google Scholar] [CrossRef]
- Farooq, M.; Bramley, H.; Palta, J.A.; Siddique, K.H.M. Heat stress in wheat during reproductive and grain-filling phases. Crit. Rev. Plant Sci. 2011, 30, 491–507. [Google Scholar] [CrossRef]
- Tollenaar, M.; Daynard, T.B. Effect of source-sink ratio on dry matter accumulation and leaf senescence of maize. Can. J. Plant Sci. 1982, 62, 855–860. [Google Scholar] [CrossRef]
- Wang, L.; Deng, F.; Ren, W.J. Shading tolerance in rice is related to better light harvesting and use efficiency and grain filling rate during grain filling period. Field Crop Res. 2015, 180, 54–62. [Google Scholar] [CrossRef]
- Pan, S.G.; Liu, H.D.; Mo, Z.W.; Patterson, B.; Duan, M.Y.; Tian, H.; Hu, S.J.; Tang, X.R. Effects of nitrogen and shading on root morphologies, nutrient accumulation, and photosynthetic parameters in different rice genotypes. Sci. Rep. UK 2016, 6, 32148. [Google Scholar] [CrossRef] [PubMed]
- Li, H.W.; Jiang, D.; Wollenweber, B.; Dai, T.B.; Cao, W.X. Effects of shading on morphology, physiology and grain yield of winter wheat. Eur. J. Agron. 2010, 33, 267–275. [Google Scholar] [CrossRef]
- Xu, C.L.; Tao, H.B.; Wang, P.; Wang, Z.L. Slight shading after anthesis increases photosynthetic productivity and grain yield of winter wheat (Triticum aestivum L.) due to the delaying of leaf senescence. J. Integr. Agric. 2016, 15, 63–75. [Google Scholar] [CrossRef]
- Sinclair, T.R.; Pinter, P.J.; Kimball, B.A.; Adamsen, F.J.; LaMorte, R.L.; Wall, G.W.; Hunsaker, D.J.; Adam, N.; Brooks, T.J.; Garcia, R.L.; et al. Leaf nitrogen concentration of wheat subjected to elevated CO2 and either water or N deficits. Agric. Ecosyst. Environ. 2000, 79, 53–60. [Google Scholar] [CrossRef]
- Spundova, M.; Sloukova, K.; Hunkova, M.; Naus, J. Plant shading increases lipid peroxidation and intensifies senescence-induced changes in photosynthesis and activities of ascorbate peroxidase and glutathione reductase in wheat. Photosynthetica 2005, 43, 403–409. [Google Scholar] [CrossRef]
- Setien, I.; Fuertes-Mendizabal, T.; Gonzalez, A.; Aparicio-Tejo, P.M.; Gonzalez-Murua, C.; Gonzalez-Moro, M.B.; Estavillo, J.M. High irradiance improves ammonium tolerance in wheat plants by increasing N assimilation. J. Plant Physiol. 2013, 170, 758–771. [Google Scholar] [CrossRef]









| Treatment | Air Temperature (°C) | Relative Humidity (%) | CO2 Concentration (µmol mol−1) | Light Intensity (µmol m−2 s−1) | ||||
|---|---|---|---|---|---|---|---|---|
| 2016 | 2017 | 2016 | 2017 | 2016 | 2017 | 2016 | 2017 | |
| CK | 34.3 | 36.0 | 58.2 | 60.0 | 382.8 | 384.5 | 1084.8 a | 1161.0 a |
| MS | 34.2 | 35.9 | 58.2 | 59.3 | 390.0 | 386.3 | 704.0 b | 762.8 b |
| SS | 34.3 | 35.9 | 57.2 | 59.6 | 392.8 | 391.8 | 458.5 c | 632.5 c |
© 2020 by the authors. Licensee MDPI, Basel, Switzerland. This article is an open access article distributed under the terms and conditions of the Creative Commons Attribution (CC BY) license (http://creativecommons.org/licenses/by/4.0/).
Share and Cite
Wang, J.; Shi, K.; Lu, W.; Lu, D. Post-Silking Shading Stress Affects Leaf Nitrogen Metabolism of Spring Maize in Southern China. Plants 2020, 9, 210. https://doi.org/10.3390/plants9020210
Wang J, Shi K, Lu W, Lu D. Post-Silking Shading Stress Affects Leaf Nitrogen Metabolism of Spring Maize in Southern China. Plants. 2020; 9(2):210. https://doi.org/10.3390/plants9020210
Chicago/Turabian StyleWang, Jue, Kai Shi, Weiping Lu, and Dalei Lu. 2020. "Post-Silking Shading Stress Affects Leaf Nitrogen Metabolism of Spring Maize in Southern China" Plants 9, no. 2: 210. https://doi.org/10.3390/plants9020210
APA StyleWang, J., Shi, K., Lu, W., & Lu, D. (2020). Post-Silking Shading Stress Affects Leaf Nitrogen Metabolism of Spring Maize in Southern China. Plants, 9(2), 210. https://doi.org/10.3390/plants9020210

