Sprout Regeneration of Shrub Willows after Cutting
Abstract
1. Introduction
2. Materials and Methods
2.1. Plant Materials and Field Trial Design
2.2. Measurement of Growth Traits
2.3. Carbon and Nitrogen Content of Stumps
2.4. Data Analysis
3. Results
3.1. Effect of Stump Diameter on Shoot Survival
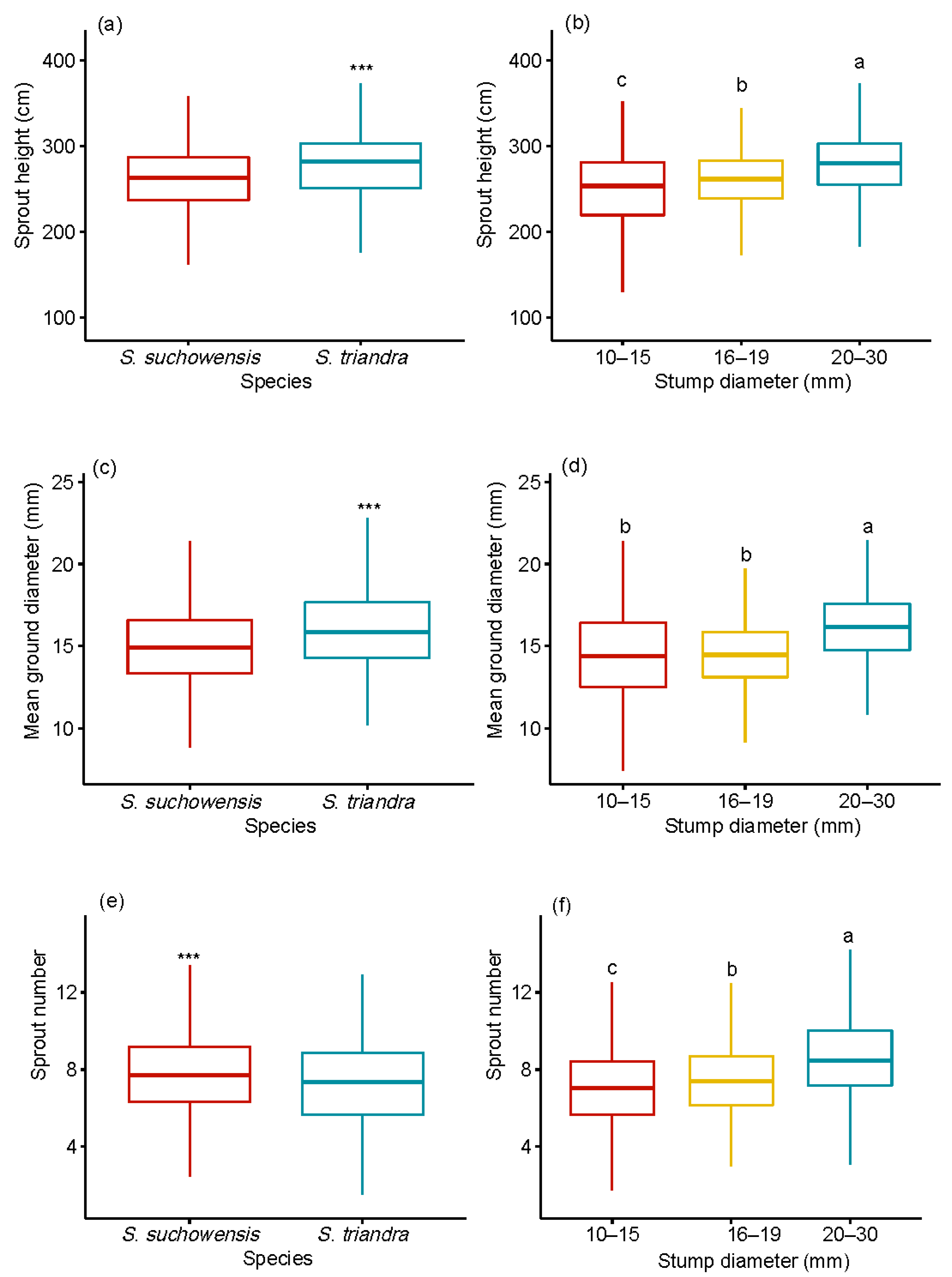
3.2. Effect of Stump Diameter on Shoot Growth Traits
3.3. Effect of Stump Diameter on Leaf Growth Traits
3.4. Effect of Stump Diameters on Leaf Chlorophyll Content
3.5. Effect of Stump Diameters on Biomass
3.6. Carbon and Nitrogen Proportion of the Stumps
3.7. Correlation between Growth Traits
4. Discussion
5. Conclusions
Author Contributions
Funding
Conflicts of Interest
References
- Graham-Rowe, D. Agriculture: Beyond food versus fuel. Nature 2011, 474, S6–S8. [Google Scholar] [CrossRef] [PubMed]
- Pereira, S.; Costa, M. Short rotation coppice for bioenergy: From biomass characterization to establishment–A review. Renew. Sustain. Energy Rev. 2017, 74, 1170–1180. [Google Scholar] [CrossRef]
- Rey, F.; Labonne, S. Resprout and survival of willow (Salix) cuttings on bioengineering structures in actively eroding gullies in marls in a mountainous Mediterranean climate: A large-scale experiment in the Francon catchment (Southern Alps, France). Environ. Manag. 2015, 56, 971–983. [Google Scholar] [CrossRef] [PubMed]
- Wright, L. Worldwide commercial development of bioenergy with a focus on energy crop-based projects. Biomass Bioenergy 2006, 30, 706–714. [Google Scholar] [CrossRef]
- Ceulemans, R.; McDonald, A.; Pereira, J. A comparison among eucalypt, poplar and willow characteristics with particular reference to a coppice, growth-modelling approach. Biomass Bioenergy 1996, 11, 215–231. [Google Scholar] [CrossRef]
- Faaij, A.P. Bio-energy in Europe: Changing technology choices. Energy Policy 2006, 34, 322–342. [Google Scholar] [CrossRef]
- Karp, A.; Shield, I. Bioenergy from plants and the sustainable yield challenge. New Phytol. 2008, 179, 15–32. [Google Scholar] [CrossRef]
- Kuzovkina, Y.A.; Quigley, M.F. Willows beyond wetlands: Uses of Salix L. species for environmental projects. Water Air Soil Pollut. 2005, 162, 183–204. [Google Scholar] [CrossRef]
- Bond, W.J.; Midgley, J.J. Ecology of sprouting in woody plants: The persistence niche. Trends Ecol. Evol. 2001, 16, 45–51. [Google Scholar] [CrossRef]
- Johnson, P.S.; Shifley, S.R.; Rogers, R.; Dey, D.C.; Kabrick, J.M. The Ecology and Silviculture of Oaks Cabi; CABI: New York, NY, USA, 2002; p. 503. [Google Scholar]
- Matula, R.; Svátek, M.; Kůrová, J.; Úradníček, L.; Kadavý, J.; Kneifl, M. The sprouting ability of the main tree species in Central European coppices: Implications for coppice restoration. Eur. J. For. Res. 2012, 131, 1501–1511. [Google Scholar] [CrossRef]
- Šplíchalová, M.; Adamec, Z.; Kadavý, J.; Kneifl, M. Probability model of sessile oak (Quercus petraea (Matt.) Liebl.) stump sprouting in the Czech Republic. Eur. J. For. Res. 2012, 131, 1611–1618. [Google Scholar] [CrossRef]
- Weigel, D.R.; Peng, C.-Y.J. Predicting stump sprouting and competitive success of five oak species in southern Indiana. Can. J. For. Res. 2002, 32, 703–712. [Google Scholar] [CrossRef]
- Xue, Y.; Zhang, W.; Zhou, J.; Ma, C.; Ma, L. Effects of stump diameter, stump height, and cutting season on Quercus variabilis stump sprouting. Scand. J. For. Res. 2013, 28, 223–231. [Google Scholar] [CrossRef]
- Svatek, M.; Matula, R. Fine-scale spatial patterns in oak sprouting and mortality in a newly restored coppice. For. Ecol. Manag. 2015, 348, 117–123. [Google Scholar] [CrossRef]
- Matula, R.; Šrámek, M.; Kvasnica, J.; Uherková, B.; Slepička, J.; Matoušková, M.; Kutchartt, E.; Svátek, M. Pre-disturbance tree size, sprouting vigour and competition drive the survival and growth of resprouting trees. For. Ecol. Manag. 2019, 446, 71–79. [Google Scholar] [CrossRef]
- Hytönen, J. Stump diameter and age affect coppicing of downy birch (Betula pubescens Ehrh.). Eur. J. For. Res. 2019, 138, 345–352. [Google Scholar] [CrossRef]
- Johansson, T. Sprouting ability and biomass production of downy and silver birch stumps of different diameters. Biomass Bioenergy 2008, 32, 944–951. [Google Scholar] [CrossRef]
- Alice, M.; Sonia, S.; Cyrille, R.; Eric, D.; Claire, D. Comparing the intra-annual wood formation of three European species (Fagus sylvatica, Quercus petraea and Pinus sylvestris) as related to leaf phenology and non-structural carbohydrate dynamics. Tree Physiol. 2012, 32, 1033–1045. [Google Scholar]
- Richardson, A.D.; Carbone, M.S.; Keenan, T.F.; Czimczik, C.I.; Hollinger, D.Y.; Murakami, P.; Schaberg, P.G.; Xu, X. Seasonal dynamics and age of stemwood nonstructural carbohydrates in temperate forest trees. New Phytol. 2013, 197, 850–861. [Google Scholar] [CrossRef]
- Millard, P.; Grelet, G.-A. Nitrogen storage and remobilization by trees: Ecophysiological relevance in a changing world. Tree Physiol. 2010, 30, 1083–1095. [Google Scholar] [CrossRef]
- Chapin, F. The Ecology and Economics of Storage in Plants. Annu. Rev. Ecol. Evol. Syst. 1990, 21, 423–447. [Google Scholar] [CrossRef]
- Barbaroux, C.; Breda, N. Contrasting distribution and seasonal dynamics of carbohydrate reserves in stem wood of adult ring-porous sessile oak and diffuse-porous beech trees. Tree Physiol. 2002, 22, 1201–1210. [Google Scholar] [CrossRef] [PubMed]
- Bazot, S.; Barthes, L.; Blanot, D.; Fresneau, C. Distribution of non-structural nitrogen and carbohydrate compounds in mature oak trees in a temperate forest at four key phenological stages. Trees-Struct Function. 2013, 27, 1023–1034. [Google Scholar] [CrossRef]
- Hoch, G.; Richter, A.; Korner, C. Non-structural carbon compounds in temperate forest trees. Plant Cell Environ. 2003, 26, 1067–1081. [Google Scholar] [CrossRef]
- Yang, G.; Xu, Q.; Li, W.; Ling, J.H.; Li, X.P.; Yin, T.M. Sex-related differences in growth, herbivory, and defense of two Salix species. Forests 2020, 11, 450. [Google Scholar] [CrossRef]
- Chen, T.W. Uncertainty evaluation of determination of nitrogen, carbon and hydrogen in fir with Elemental Analyzer. Shandong Chem. Ind. 2015, 44, 70–71, (In Chinese with English abstract). [Google Scholar]
- Spinelli, R.; Pari, L.; Aminti, G.; Magagnotti, N.; Giovannelli, A. Mortality, re-sprouting vigor and physiology of coppice stumps after mechanized cutting. Ann. For. Sci. 2017, 74, 5. [Google Scholar] [CrossRef]
- Petrice, T.R.; Haack, R.A. Effects of cutting time, stump height, and herbicide application on ash (Fraxinus spp.) stump sprouting and colonization by emerald ash borer (Agrilus planipennis). North. J. Appl. For. 2011, 28, 79–83. [Google Scholar] [CrossRef]
- Pyttel, P.L.; Fischer, U.F.; Suchomel, C.; Gaertner, S.M.; Bauhus, J. The effect of harvesting on stump mortality and re-sprouting in aged oak coppice forests. For. Ecol. Manag. 2013, 289, 18–27. [Google Scholar] [CrossRef]
- de Souza, D.P.L.; Gallagher, T.; Mitchell, D.; McDonald, T.; Smidt, M. Determining the effects of felling method and season of year on the regeneration of short rotation coppice. Int. J. For. Eng. 2016, 27, 53–65. [Google Scholar] [CrossRef]
- Giudici, F.; Zingg, A. Sprouting ability and mortality of chestnut (Castanea sativa Mill.) after coppicing. A case study. Ann. For. Sci. 2005, 62, 513–523. [Google Scholar] [CrossRef]
- Knapp, B.O.; Olson, M.G.; Dey, D.C. Early stump sprout development after two levels of harvest in a Midwestern bottomland hardwood forest. For. Sci. 2017, 63, 377–387. [Google Scholar] [CrossRef]
- Dinh, T.T.; Kajikawa, C.; Akaji, Y.; Yamada, K.; Matsumoto, T.K.; Makimoto, T.; Miki, N.H.; Hirobe, M.; Sakamoto, K. Stump sprout dynamics of Quercus serrata Thunb. and Q. acutissima Carruth. four years after cutting in an abandoned coppice forest in western Japan. For. Ecol. Manag. 2019, 435, 45–56. [Google Scholar] [CrossRef]
- Hytönen, J. Effect of cutting season, stump height and harvest damage on coppicing and biomass production of willow and birch. Biomass Bioenergy 1994, 6, 349–357. [Google Scholar] [CrossRef]
- Keyser, T.L.; Loftis, D.L. Stump sprouting of 19 upland hardwood species 1 year following initiation of a shelterwood with reserves silvicultural system in the southern Appalachian Mountains, USA. New For. 2015, 46, 449–464. [Google Scholar] [CrossRef]
- Ashish, P.; Latif, K.M.; Kumar, D.A. Effect of stump girth and height on resprouting of Rhododendron arboretum following disturbance in temperate mixed broad leaved forest of Arunachal Pradesh, India. J. For. Res. 2010, 21, 433–438. [Google Scholar] [CrossRef]
- Randall, C.K.; Duryea, M.L.; Vince, S.W. Factors influencing stump sprouting by pondcypress (Taxodium distichum var. nutans (Ait.) Sweet). New For. 2005, 29, 245–260. [Google Scholar] [CrossRef]
- Bowen, B.J.; Pate, J.S. The significance of root starch in post-fire shoot recovery of the resprouter Stirlingia latifolia R. Br. (Proteaceae). Ann. Bot. 1993, 72, 7–16. [Google Scholar] [CrossRef]
- Kays, J.S.; Canham, C.D. Effects of time and frequency of cutting on hardwood root reserves and sprout growth. For. Sci. 1991, 37, 524–539. [Google Scholar]
- Miura, M.; Yamamoto, S.-I. Structure and dynamics of a Castanopsis cuspidata var. sieboldii population in an old-growth, evergreen, broad-leaved forest: The importance of sprout regeneration. Ecol. Res. 2003, 18, 115–129. [Google Scholar] [CrossRef]
- Yamada, T.; Suzuki, E. Ecological role of vegetative sprouting in the regeneration of Dryobalanops rappa, an emergent species in a Bornean tropical wetland forest. J. Trop. Ecol. 2004, 20, 377–384. [Google Scholar] [CrossRef]
- Johansson, T. Development of stump suckers by Betula pubescens at different light intensities. Scand. J. For. Res. 1987, 2, 77–83. [Google Scholar] [CrossRef]
- Pellis, A.; Laureysens, I.; Ceulemans, R. Growth and production of a short rotation coppice culture of poplar I. Clonal differences in leaf characteristics in relation to biomass production. Biomass Bioenergy 2004, 27, 9–19. [Google Scholar] [CrossRef]
- Gifford, R.M.; Thorne, J.; Hitz, W.; Giaquinta, R.T. Crop productivity and photoassimilate partitioning. Science 1984, 225, 801–808. [Google Scholar] [CrossRef] [PubMed]
- Koester, R.P.; Skoneczka, J.A.; Cary, T.R.; Diers, B.W.; Ainsworth, E.A. Historical gains in soybean (Glycine max Merr.) seed yield are driven by linear increases in light interception, energy conversion, and partitioning efficiencies. J. Exp. Bot. 2014, 65, 3311–3321. [Google Scholar] [CrossRef] [PubMed]
- Du, T.Q.; Yang, J.Z.; Hao, J.P.; Miao, G.Y. Influences of multiple stress by Cd, Pb and Cr on physiological-biochemical characters of wheat seedlings. Acta Ecol. Sin. 2009, 29, 4475–4482, (In Chinese with English abstract). [Google Scholar]




| Species | Stump Diameter Classes | Stump Number | Survival Rate (%) |
|---|---|---|---|
| S. suchowensis | 10–15 | 1215 | 96.13 |
| 16–19 | 1476 | 96.50 | |
| 20–30 | 1209 | 98.84 | |
| total | 3900 | 96.51 | |
| S. triandra | 10–15 | 165 | 94.29 |
| 16–19 | 267 | 94.68 | |
| 20–30 | 348 | 98.58 | |
| total | 780 | 96.15 |
| Fixed Effects | Random Effects | ||||
|---|---|---|---|---|---|
| Trait | Species | Diameter Class | Interaction | Block | Error |
| (df = 1) | (df = 2) | (df = 2) | σ2 (%) | σ2 (%) | |
| Sprout height | 21.84 *** | 20.68 *** | 3.48 * | 3.10 | 96.90 |
| Basal diameter | 25.82 *** | 24.19 *** | 1.41 | 16.10 | 83.90 |
| Sprout number | 18.52 *** | 40.25 *** | 1.21 | 1.40 | 98.60 |
| Leaf width | 359.30 *** | 5.85 ** | 1.52 | 3.47 | 96.53 |
| Leaf length | 635.09 *** | 3.24 * | 0.69 | 0 | 100.00 |
| Leaf area | 347.53 *** | 0.38 | 0.40 | 0.10 | 99.90 |
| Leaf chlorophyll | 618.16 *** | 11.98 *** | 0.45 | 8.89 | 91.11 |
| Dry weight | 100.92 *** | 18.13 *** | 0.19 | 0 | 100.00 |
| Carbon content of stump | 3.30 * | 30.93 *** | 0.46 | 3.50 | 96.50 |
| Nitrogen content of stump | 0.14 | 0.81 | 0.84 | 10.20 | 89.80 |
| Growth Traits | S. suchowensis | S. triandra |
|---|---|---|
| Stump Diameter | ||
| Sprout height | 0.46 ** | 0.11 |
| Basal diameter | 0.40 ** | 0.22 |
| Sprout number | 0.36 ** | 0.35 ** |
| Leaf width | 0.27 | 0.20 |
| Leaf length | 0.15 | 0.01 |
| Leaf area | 0.27 | 0.13 |
| Leaf chlorophyll | 0.19 ** | 0.16 ** |
| Dry weight | 0.31 * | 0.32 ** |
| Carbon content of stump | 0.63 ** | 0.16 * |
| Nitrogen content of stump | 0.03 | 0.06 |
| Species | Stump Diameter (mm) | Leaf Width (mm) | Leaf Length (mm) | Leaf Area (mm2) |
|---|---|---|---|---|
| S. suchowensis | 10–15 | 11.20 ± 0.28 | 54.11 ± 2.52 | 633.31 ±15.58 |
| 16–19 | 11.56 ± 0.21 | 50.36 ± 2.64 | 610.05 ± 16.75 | |
| 20–30 | 11.78 ± 0.40 | 53.94 ± 2.60 | 607.30 ± 12.22 | |
| Mean | 11.52 ± 0.24 | 52.64 ± 2.97 | 616.11 ± 14.59 | |
| S. triandra | 10–15 | 16.59 ± 0.26 | 81.35 ± 4.08 | 962.94 ± 13.12 |
| 16–19 | 16.40 ± 0.39 | 81.01 ± 4.53 | 964.92 ± 19.77 | |
| 20–30 | 16.87 ± 0.38 | 84.29 ± 4.32 | 968.05 ± 16.89 | |
| Mean | 16.65 ± 0.35 | 82.55 ± 4.17 | 965.31 ± 14.95 |
| Growth Traits | Height | Basal Diameter | Sprout Number | Leaf Width | Leaf Length | Leaf Area | Dry Weight | Leaf Chlorophyll |
|---|---|---|---|---|---|---|---|---|
| Height | 1.00 | |||||||
| Basal diameter | 0.81 ** | 1.00 | ||||||
| Branch number | 0.51 ** | 0.50 ** | 1.00 | |||||
| Leaf width | 0.26 ** | 0.21 ** | 0.03 | 1.00 | ||||
| Leaf length | 0.21 ** | 0.22 ** | 0.07 | 0.64 ** | 1.00 | |||
| Leaf area | 0.25 ** | 0.21 ** | 0.03 | 0.82 ** | 0.88 ** | 1.00 | ||
| Dry weight | 0.42 ** | 0.33 ** | 0.13 | 0.32 ** | 0.26 ** | 0.35 ** | 1.00 | |
| Leaf chlorophyll | 0.16 ** | 0.16 ** | 0.41 ** | −0.29 ** | −0.23 ** | −0.20 ** | −0.24 ** | 1.00 |
Publisher’s Note: MDPI stays neutral with regard to jurisdictional claims in published maps and institutional affiliations. |
© 2020 by the authors. Licensee MDPI, Basel, Switzerland. This article is an open access article distributed under the terms and conditions of the Creative Commons Attribution (CC BY) license (http://creativecommons.org/licenses/by/4.0/).
Share and Cite
Zou, Y.; Li, X.; Yang, G. Sprout Regeneration of Shrub Willows after Cutting. Plants 2020, 9, 1684. https://doi.org/10.3390/plants9121684
Zou Y, Li X, Yang G. Sprout Regeneration of Shrub Willows after Cutting. Plants. 2020; 9(12):1684. https://doi.org/10.3390/plants9121684
Chicago/Turabian StyleZou, Yang, Xiaoping Li, and Guo Yang. 2020. "Sprout Regeneration of Shrub Willows after Cutting" Plants 9, no. 12: 1684. https://doi.org/10.3390/plants9121684
APA StyleZou, Y., Li, X., & Yang, G. (2020). Sprout Regeneration of Shrub Willows after Cutting. Plants, 9(12), 1684. https://doi.org/10.3390/plants9121684
