Metabolite-Mediated Antioxidant-Rich Bacterial Isolates for the Control of Anthracnose Disease and Enhancement of the Post-Harvest Shelf Life of Mango (Mangifera indica L.)
Abstract
1. Introduction
2. Results
2.1. Bacterial Assessment of 1-Aminocyclopropane-1-Carboxylic Acid Deaminase Activity
2.2. Assessment of Antagonistic Activity of Bacterial Strains
2.3. Inhibitory Effect of the Bacterial Isolates Against Colletotrichum gloeosporioides
2.4. LC-MS-Based Metabolic Profiling of CSR-D44: Chromatographic Analysis and Insights
2.5. Physical Assessment of Banganapalli Fruits Quality
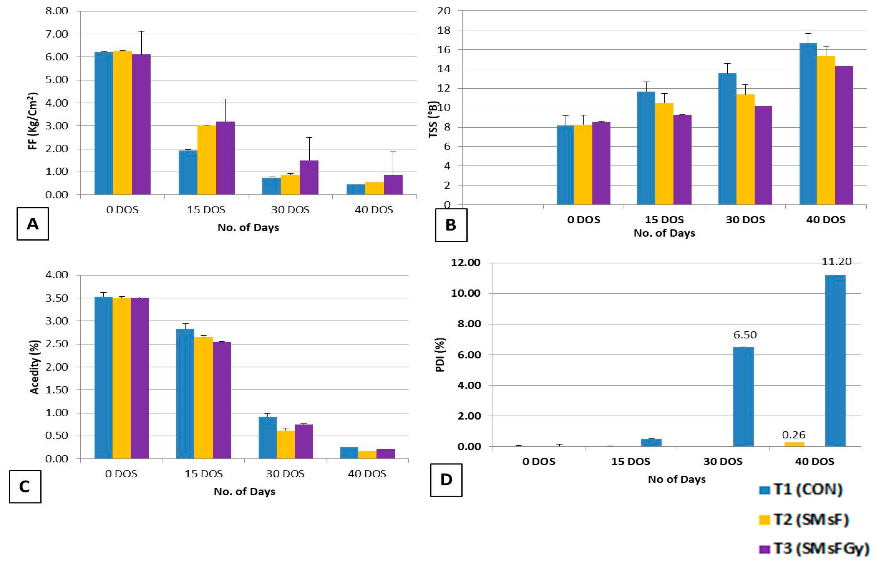
2.6. Biochemical Assessment of Banganapalli Fruit Quality Parameters During Storage in Reefer Container
2.7. Assessment of Post-Harvest Disease (PHD) Incidence in Banganapalli Fruits in Reefer Container
2.8. Impact of SMsF Treatment on Phenolic Compounds in Banganapalli Fruits
2.9. GC-MS Profiling of Crude SMsF: Metabolite Identification and Analysis
3. Discussion
4. Materials and Methods
4.1. Isolation and Characterization of Plant Growth-Promoting Rhizobacteria
4.2. In Vitro Assay on the Bacterial Isolates Against Colletotrichum gloeosporioides
4.3. Preparation of Cell-Free Culture Filtrates and Determination of Inhibitory Concentration of Colletotrichum gloeosporioides
4.4. Qualitative Assessment of 1-Aminocyclopropane-1-Carboxylic Acid Eaminase Activity
4.5. Preparation of Bio-Stimulant and Treatment Protocol in Mango Fruits
4.6. Irradiation Treatment
4.7. Fruit Materials and Post-Harvest Treatments
4.8. Treatment Details
4.9. Effect of SMsF on Physical and Chemical Parameters of Mango
4.10. Qualitative Assessment of Anthracnose Disease
4.11. Extraction and Chromatographic (LC/MS) Profiling of Secondary Metabolites
4.12. Gas Chromatography–Mass Spectrometry Profiling of Volatile Organic Compounds (VOCs)
4.13. Characterization of Phenolic Compounds in Banganapalli Mango Peel and Pulp Under Different Treatments
4.14. Statistical Analysis
5. Conclusions
6. Future Prospects
Supplementary Materials
Author Contributions
Funding
Data Availability Statement
Acknowledgments
Conflicts of Interest
Abbreviations
| HWT | Hot water treatment |
| DAIs | Days after inoculation |
| DOSs | Days of storage |
| ACC Deaminase | 1-aminoicyclopropane-1-carboxylate deaminase |
| TSSs | Total soluble solids |
| FSSAI | Food Safety Standard Authority of India |
| FF | Fruit firmness |
| GAPs | Good agricultural practices |
| FAO | Food and Agriculture Organization |
| PDA | Potato dextrose agar |
| HPLC | High-performance liquid chromatography |
| LCMS | Liquid chromatography–mass spectroscopy |
| SMsF | Secondary metabolites-based formulation |
References
- Sivakumar, D.; Jiang, Y.; Yahia, E.M. Maintaining mango (Mangifera indica L.) fruit quality during the export chain. Food Res. Int. 2011, 44, 1254–1263. [Google Scholar] [CrossRef]
- Liu, B.; Xin, Q.; Zhang, M.; Chen, J.; Lu, Q.; Zhou, X.; Li, X.; Zhang, W.; Feng, W.Y.; Pei, H.; et al. Research progress on mango post-harvest ripening physiology and the regulatory technologies. Foods 2022, 11, 173. [Google Scholar] [CrossRef]
- Ntsoane, M.L.; Opara, U.L.; Fawole, O.A. Quality assessment and post-harvest technology of mango: A review of its current status and future perspectives. Sci. Hortic. 2019, 249, 77–85. [Google Scholar] [CrossRef]
- Jeevanantham, S.; Praveen, A.; Livitha, R.; Balamurugan, K. Post Harvest Anthracnose of Mango Caused by Colletotrichum gloeosporioides: A Review. Arch. Curr. Res. Int. 2024, 24, 106–115. Available online: https://journalacri.com/index.php/ACRI/article/view/637 (accessed on 17 February 2024). [CrossRef]
- Castaño-Tarazona, L.W.; Valbuena-Gaona, L.A.; Ramírez-Gil, J.G. Assessing the impact of epidermal rotting on postharvest mango quality: Utilizing multidimensional parameters and AI-based methods for damage classification. Meas. Food 2025, 20, 100259. [Google Scholar] [CrossRef]
- Kamle, M.; Kumar, P. Colletotrichum gloeosporioides: Pathogen of anthracnose disease in mango (Mangifera indica L.). In Current Trends in Plant Disease Diagnostics and Management Practices; Springer: Cham, Switzerland, 2016; pp. 207–219. [Google Scholar] [CrossRef]
- Corkley, I.; Fraaije, B.; Hawkins, N. Fungicide resistance management: Maximizing the effective life of plant protection products. Plant Pathol. 2022, 71, 150–169. [Google Scholar] [CrossRef]
- Shukla, P.K. Mango fruit diseases management to reduce post-harvest rotting. Indian Hortic. 2021, 66, 50–51. [Google Scholar]
- Kapsea, B.M.; Pawar, V.N. Post-harvest disease management in Mango (Mangifera indica L.) cv. Kesar. In VIII International Mango Symposium; Oosthuyse, S.A., Ed.; Acta Horticulturae; ISHS: Leuven, Belgium, 2009; Volume 820. [Google Scholar]
- Zhang, H.; Mahunu, G.K.; Castoria, R.; Apaliya, M.T.; Yang, Q. Augmentation of bio-control agents with physical methods against post-harvest diseases of fruits and vegetables. Trends Food Sci. Technol. 2017, 69, 36–45. [Google Scholar] [CrossRef]
- Dukare, A.S.; Paul, S.; Nambi, V.E.; Gupta, R.K.; Singh, R.; Sharma, K.; Vishwakarma, R.K. Exploitation of microbial antagonists for the control of postharvest diseases of fruits: A review. Crit. Rev. Food Sci. Nutr. 2019, 59, 1498–1513. [Google Scholar] [CrossRef]
- Damodaran, T.; Rajan, S.; Muthukumar, M.; Gopal, R.; Yadav, K.; Kumar, S.; Jha, S.K. Biological management of banana Fusarium wilt caused by Fusarium oxysporum f. sp. cubense tropical race 4 using antagonistic fungal isolate CSR-T-3 (Trichoderma reesei). Front. Microbiol. 2020, 11, 595845. [Google Scholar] [CrossRef] [PubMed]
- De-Costa, D.M.; Erabadupitiya, H.R.U.T. An integrated method to control postharvest diseases of banana using a member of the Burkholderia cepacia complex. Postharvest Biol. Technol. 2005, 36, 31–39. Available online: https://www.sciencedirect.com/science/article/abs/pii/S0925521404002662 (accessed on 17 February 2024). [CrossRef]
- Janisiewicz, W.J.; Korsten, L. Biological control of post-harvest diseases of fruits. Annu. Rev. Phytopathol. 2002, 40, 411–441. [Google Scholar] [CrossRef]
- Sharma, A.; Sharma, I.M.; Sharma, M.; Sharma, K.; Sharma, A. Effectiveness of fungal, bacterial, and yeast antagonists for management of mango anthracnose (Colletotrichum gloeosporioides). Egypt. J. Biol. Pest Control 2021, 31, 135. [Google Scholar] [CrossRef]
- Koomen, I.; Jeffries, P. Effects of antagonistic microorganisms on the post-harvest development of Colletotrichum gloeosporioides on mango. Plant Pathol. 1993, 42, 230–237. [Google Scholar] [CrossRef]
- Yun, Z.; Gao, H.; Chen, X.; Duan, X.; Jiang, Y. The role of hydrogen water in delaying ripening of banana fruit during postharvest storage. Food Chem. 2022, 373, 131590. [Google Scholar] [CrossRef]
- Calvo, H.; Marco, P.; Blanco, D.; Oria, R.; Venturini, M.E. Potential of a Bacillus strain as a bio-control agent against Alternaria spp. and Penicillium spp. in stone fruit. Postharvest Biol. Technol. 2016, 115, 72–80. [Google Scholar]
- Kumar, R.; Tripathi, P.; Sharma, R. Biological control of post-harvest fruit diseases using microbial antagonists: A comprehensive review. Postharvest Biol. Technol. 2020, 168, 111246. [Google Scholar]
- Veselova, M.A.; Plyuta, V.A.; Khmel, I.A. Volatile compounds of bacterial origin: Structure, biosynthesis, and biological activity. Microbiology 2019, 88, 261–274. [Google Scholar] [CrossRef]
- Schmidt, R.; Cordovez, V.; De-Boer, W.; Raaijmakers, J.; Garbeva, P. Volatile affairs in microbial interactions. ISME J. 2015, 9, 2329–2335. [Google Scholar] [CrossRef]
- Gava, C.A.T.; De-Castro, A.P.C.; Pereira, C.A.; Fernandes-Juunior, P.I. Isolation of fruit colonizer yeasts and screening against mango decay caused by multiple pathogens. Biol. Control 2018, 117, 137–146. [Google Scholar] [CrossRef]
- Zhu, X.; Wang, Q.; Cao, J.; Jiang, W. Effects of chitosan coating on post-harvest quality of mango (Mangifera indica L. cv. Tainong) fruits. J. Food Process. Preserv. 2008, 32, 770. [Google Scholar] [CrossRef]
- Sultana, T.; Maraz, K.M.; Ahmed, A.; Sukltana, S.; Khan, R.A. Effect of Irradiation process on mango. GSC Adv. Res. Rev. 2021, 9, 108–118. [Google Scholar] [CrossRef]
- Tessema, H.; Sintayehu, A.; Teshome, Z.; Alem, T. Evaluation of different spray frequency levels of fungicides against Ascochyta blight (Ascochyta fabae S) diseases of faba bean (Vicia faba L.) in Northwestern Ethiopia. Adv. Agric. 2023, 1, 7508664. [Google Scholar] [CrossRef]
- Pajcin, I.; Vlajkov, V.; Roncevic, Z.; Dodic, J.; Grahovac, M.; Ignjatov, M.; Grahovac, J. In vitro potential of Bacillus spp. antagonists for suppression of Xanthomonas euvesicatoria phytopathogens. J. Process. Energy Agric. 2020, 24, 72–76. [Google Scholar] [CrossRef]
- Han, J.H.; Shim, H.; Shin, J.H.; Kim, K.S. Antagonistic activities of Bacillus spp. strains isolated from tidal flat sediment towards anthracnose pathogens Colletotrichum acutatum and Colletotrichum gloeosporioides in South Korea. Plant Pathol. J. 2015, 31, 165–175. [Google Scholar] [CrossRef]
- Salomskiene, J.; Jonkuviene, D.; Macioniene, I.; Abraitiene, A.; Zeime, J.; Repeckiene, J.; Vaiciulyte-Funk, L. Differences in the occurence and efficiency of antimicrobial compounds produced by lactic acid bacteria. Eur. Food Res. Technol. 2019, 245, 569–579. [Google Scholar] [CrossRef]
- Liu, J.M.; Liang, Y.T.; Wang, S.S.; Jin, N.; Sun, J.; Lu, C.; Sun, Y.F.; Li, S.Y.; Fan, B.; Wang, F.Z. Antimicrobial activity and comparative metabolomic analysis of Priestia megaterium strains derived from potato and dendrobium. Sci. Rep. 2023, 13, 5272. [Google Scholar] [CrossRef] [PubMed]
- Torres, M.J.; Perez Brandan, C.; Petroselli, G.; Erra-Balsells, R.; Audisio, M.C. Antagonistic effects of Bacillus subtilis subsp. subtilis and B. amyloliquefaciens against Macrophomina phaseolina: SEM study of fungal changes and UV-MALDI-TOF MS analysis of their bioactive compounds. Microbiol. Res. 2016, 182, 31–39. [Google Scholar] [CrossRef] [PubMed]
- Keerthi, D.; Geethu, C.; Nair, R.A.; Pillai, P. Metabolic Profiling of Zingiber zerumbet Following Pythium myriotylum Infection: Investigations on the Defensive Role of the Principal Secondary Metabolite, Zerumbone. Appl. Biochem. Biotechnol. 2014, 172, 2593–2603. [Google Scholar] [CrossRef]
- Magana, A.A.; Soumyanath, A.; Stevens, J.F.; Maier, C.S. Caffeoylquinic Acids: Chemistry, Biosynthesis, Occurrence, Analytical Challenges, and Bioactivity. Plant J. 2021, 107, 1299–1319. [Google Scholar] [CrossRef]
- Uleberg, E.; Rohloff, J.; Jaakola, L.; Trôst, K.; Junttila, O.; Häggman, H.; Martinussen, I. Effects of Temperature and Photoperiod on Yield and Chemical Composition of Northern and Southern Clones of Bilberry (Vaccinium myrtillus L.). J. Agric. Food Chem. 2012, 60, 10406–10414. [Google Scholar] [CrossRef]
- Drapal, M.; Carvalho, E.B.D.; Rouard, M.; Amah, D.; Sardos, J.; Houwe, I.V.; Brown, A.; Roux, N.; Swennen, R.; Fraser, P.D. Metabolite Profiling Characterises Chemotypes of Musa Diploids and Triploids at Juvenile and Pre-Flowering Growth Stages. Sci. Rep. 2019, 9, 4657. [Google Scholar] [CrossRef]
- Al-Tawalbeh, D.; Alkhawaldeh, Y.; Sawan, H.M.; Al-Mamoori, F.; Al-Samydai, A.; Mayyas, A. Assessment of Carvacrol–Antibiotic Combinations Antimicrobial Activity against Methicillin-Resistant Staphylococcus aureus. Front. Microbiol. 2024, 14, 1349550. [Google Scholar] [CrossRef]
- Liu, P.; Xu, N.; Liu, R.; Liu, J.; Peng, Y.; Wang, Q. Exogenous proline treatment inhibiting enzymatic browning of fresh-cut potatoes during cold storage. Postharvest Biol. Technol. 2022, 184, 111754. [Google Scholar] [CrossRef]
- Guo, Y.; Ghirardo, A.; Weber, B.; Schnitzler, J.-P.; Benz, J.P.; Rosenkranz, M. Trichoderma Species Differ in Their Volatile Profiles and in Antagonism toward Ectomycorrhiza Laccaria bicolor. Front. Microbiol. 2019, 10, 891. [Google Scholar] [CrossRef]
- Song, C.; Zhang, Y.; Zhao, Q.; Chen, M.; Zhang, Y.; Gao, C.; Jia, Z.; Song, S.; Guan, J.; Shang, Z. Volatile Organic Compounds Produced by Bacillus aryabhattai AYG1023 Against Penicillium expansum Causing Blue Mold on the Huangguan Pear. Microbiol. Res. 2024, 278, 127531. [Google Scholar] [CrossRef] [PubMed]
- Romero, J.; Albertos, I.; Díez-Méndez, A.; Poveda, J. Control of postharvest diseases in berries through edible coatings and bacterial probiotics. Sci. Hortic. 2022, 304, 111326. [Google Scholar] [CrossRef]
- Ling, L.; Feng, L.; Li, Y.; Yue, R.; Wang, Y.; Zhou, Y. Endophytic Fungi Volatile Organic Compounds as Crucial Biocontrol Agents Used for Controlling Fruit and Vegetable Postharvest Diseases. J. Fungi 2024, 10, 332. [Google Scholar] [CrossRef] [PubMed]
- Lam, T.T.N.; Quang, H.T.; Hoangvu, N.Q.; Nguyen, P.T.T.; Thi, T.N.M.; Phuong, T.T.B.; Thi, P.T.D. Isolation of Bacteria Displaying Potent Antagonistic Activity Against Fungi Causing Anthracnose Disease in Chili. Biodiversitas 2023, 24, 4919–4926. [Google Scholar] [CrossRef]
- Grahovac, J.; Pajčin, I.; Vlajkov, V. Bacillus VOCs in the Context of Biological Control. Antibiotics 2023, 12, 581. [Google Scholar] [CrossRef] [PubMed]
- Orozco-Mosqueda, M.C.; Glick, B.R.; Santoyo, G. ACC Deaminase in Plant Growth-Promoting Bacteria (PGPB): An Efficient Mechanism to Counter Salt Stress in Crops. Microbiol. Res. 2020, 235, 126439. [Google Scholar] [CrossRef]
- Iqbal, N.; Khan, N.A.; Ferrante, A.; Trivellini, A.; Francini, A.; Khan, M.I.R. Ethylene Role in Plant Growth, Development and Senescence: Interaction with Other Phytohormones. Front. Plant Sci. 2017, 8, 475. [Google Scholar] [CrossRef] [PubMed]
- Dubois, M.; Van den Broeck, L.; Claeys, H.; Van Vlierberghe, K.; Matsui, M.; Inze, D. The Ethylene Response Factors ERF6 and ERF11 Antagonistically Regulate Mannitol-Induced Growth Inhibition in Arabidopsis. Plant Physiol. 2015, 169, 166–179. [Google Scholar] [CrossRef]
- Oeller, P.W.; Min-Wong, L.; Taylor, L.P.; Pike, D.A.; Theologis, A. Reversible Inhibition of Tomato Fruit Senescence by Antisense RNA. Science 1991, 254, 437–439. [Google Scholar] [CrossRef] [PubMed]
- Hamilton, A.J.; Lycett, G.W.; Grierson, D. Antisense gene that inhibits synthesis of the hormone ethylene in transgenic plants. Nature 1990, 346, 284–287. [Google Scholar] [CrossRef]
- Glick, B.R. Modulation of Plant Ethylene Levels by the Bacterial Enzyme ACC Deaminase. FEMS Microbiol. Lett. 2005, 251, 1–7. [Google Scholar] [CrossRef]
- Liu, N.; Zhang, N.; Zhang, S.; Zhang, L.; Liu, Q. Phloretin Inhibited the Pathogenicity and Virulence Factors Against Candida albicans. Bioengineered 2021, 12, 2420–2431. [Google Scholar] [CrossRef]
- Ma, K.; Kou, J.; Rahman, M.K.U.; Du, W.; Liang, X.; Wu, F.; Li, W.; Pan, K. Palmitic Acid Mediated Change of Rhizosphere and Alleviation of Fusarium Wilt Disease in Watermelon. Saudi J. Biol. Sci. 2021, 28, 3616–3623. [Google Scholar] [CrossRef] [PubMed]
- Cheemanapalli, S.; Mopuri, R.; Golla, R.; Anuradha, C.M.; Chitta, S.K. Syringic Acid: A Review of Its Occurrence, Biosynthesis, Pharmacological, and Industrial Importance. Biomed. Pharmacother. 2018, 108, 547–557. [Google Scholar]
- Singh, P.; Arif, Y.; Bajguz, A.; Hayat, S. The Role of Quercetin in Plants. Plant Physiol. Biochem. 2021, 166, 10–19. [Google Scholar] [CrossRef]
- El Omari, N.; Jaouadi, I.; Lahyaoui, M.; Benali, T.; Taha, D.; Bakrim, S.; El Menyiy, N.; El Kamari, F.; Zengin, G.; Bangar, S.P.; et al. Natural Sources, Pharmacological Properties, and Health Benefits of Daucosterol: Versatility of Actions. Appl. Sci. 2022, 12, 5779. [Google Scholar] [CrossRef]
- Kachroo, A.; Fu, D.Q.; Havens, W.; Navarre, D.; Kachroo, P.; Ghabrial, S.A. An Oleic Acid-Mediated pathway induces constitutive defense signaling and enhanced resistance to multiple pathogens in soybean. Mol. Plant Microbe Interact. 2008, 21, 564–575. [Google Scholar] [CrossRef] [PubMed]
- Damodaran, T.; Jha, S.K.; Kumari, S.; Gupta, G.; Mishra, V.K.; Sharma, P.C.; Gopal, R.; Singh, A.; Jat, H.S. Development of halotolerant microbial consortia for salt stress mitigation and sustainable Tomato production in sodic soils: An enzyme mechanism approach. Sustainability 2023, 15, 5186. [Google Scholar] [CrossRef]
- Gonzalez-Gutierrez, K.N.; Ragazzo-Sanchez, J.A.; Calderon-Santoyo, M. Bioformulation of Yamadazyma mexicana LPa14 by Electrospraying Process: Anthracnose Control and Effect on Post-Harvest Quality of Avocado Fruit. Biol. Control 2024, 190, 105449. [Google Scholar] [CrossRef]
- Din, A.; Chughtai, M.F.J.; Mehmood, T.; Khaliq, A.; Nadeem, M.; Ahsan, S.; Amir, R.M.; Abrar, M.; Saeed, K.; Manzoor, M.S. Shelf life extension of mango fruit by using non-preservative technique. Int. J. Fruit Sci. 2021, 21, 232–241. [Google Scholar] [CrossRef]
- Marappan, K.; Arumugam, V.A.; Khanchana, K. Improvement of shelf life and quality of mango (Mangifera indica) by edible coatings. Res. J. Agric. Sci. 2024, 15, 781–784. [Google Scholar]
- Passafiume, R.; Tinebra, I.; Gaglio, R.; Settanni, L.; Sortino, G.; Allegra, A.; Farina, V. Fresh-cut Mangoes: How to increase shelf life by using neem oil edible coating. Coatings 2022, 12, 664. [Google Scholar] [CrossRef]
- Mahesha, H.S.; Ravichandra, N.G.; Rao, M.S.; Narasegowda, N.C. Bio-efficacy of different strains of Bacillus spp. against Meloidogyne incognita under in vitro. Int. J. Curr. Microbiol. Appl. Sci. 2017, 6, 2511–2517. [Google Scholar] [CrossRef]
- Isaacson, P.J.; Webster, J.M. Antimicrobial activity of Xenorhabdus sp. RIO (Enterobacteriaceae), symbiont of the entomopathogenic nematode, Steinernema riobrave (Rhabditida:Steinernematidae). J. Invertebr. Pathol. 2002, 79, 146–153. [Google Scholar] [CrossRef]
- Maheshwari, R.; Bhutani, N.; Suneja, P. Isolation and characterization of ACC Deaminase producing endophytic Bacillus mojavensis PRN2 from Pisum sativum. Iran. J. Biotechnol. 2020, 18, 11–20. [Google Scholar] [CrossRef]
- Rahman, M.M.; Roy, T.S.; Chowdhury, I.F.; Haque, M.N.; Afroj, M.; Ahmed, S. Bio-chemical composition of different potato varieties for processing industry in Bangladesh. Agric. Sci. Pract. 2016, 1–2, 81–89. [Google Scholar]
- Kafkaletou, M.; Velliou, A.; Christopoulos, M.V.; Ouzounidou, G.; Tsantili, E. Impact of Cold Storage Temperature and Shelf Life on Ripening Physiology, Quality Attributes, and Nutritional Value in Apricots—Implication of Cultivar. Plants 2023, 12, 2875. [Google Scholar] [CrossRef] [PubMed]
- Bhandari, M.; Bhandari, N.; Dhital, M. Effect of fungicide and essential oils amended wax coating on quality and shelf life of sweet orange (Citrus sinensis Osbeck). J. Hortic. Sci. 2021, 16, 77–90. [Google Scholar] [CrossRef]
- Mckinney, H.H. Influence of soil temperature and moisture on infection of wheat seedling by Helminthosporium sativum. J. Agric. Res. 1923, 26, 195–217. [Google Scholar]






| S. No. | Treatment | Radial Growth of C. gloeosporioides After 5 Days (in mm) | Percent Inhibition (PI) of Radial Growth of C. gloeosporioides |
|---|---|---|---|
| 1. | C. gloeosporioides (control) | 3.633 ± 0.088 a # | - |
| 2. | CSR-D44 | 1.600 ± 0.208 d | 65.79 |
| 3. | CSR-D41 | 2.500 ± 0.1 c | 39.47 |
| 4. | CSR-A11 | 2.800 ± 0.058 bc | 28.94 |
| 5. | CSR-D4 | 3.033 ± 0.145 b | 21.05 |
| Treatment Details | Gallic Acid | Chlorogenic Acid | Catechin Acid | Epi-Catechin Acid | Caffeic Acid | Ellagic Acid | p-Coumaric Acid | |
|---|---|---|---|---|---|---|---|---|
| Mango peel | T1 (CON) | 307.39 ± 1.47 a # | 737.65 ± 0.85 a | 128.30 ± 0.58 b | 451.16 ± 1.93 a | 189.63 ± 0.48 a | 192.05 ± 1.42 c | 49.37 ± 1.08 b |
| T2 (SMsF) | 181.79 ± 3.58 c | 29.77 ± 0.91 c | 204.49 ± 0.64 a | 376.35 ±1.67 c | 114.59 ±1.22 b | 1012.23 ±2.95 b | 74.28 ± 0.64 a | |
| T3 (SMsFGy) | 225.31 ± 3.56 b | 521.99 ± 1.28 b | 52.53 ± 0.61 c | 428.22 ± 1.24 b | 104.74 ± 1.25 c | 1877.41 ± 2.15 a | 13.51 ± 0.59 c | |
| Mango pulp | T1 (CON) | 27.47 ± 0.69 c | 1.08 ± 0.11 b | 8.39 ± 0.55 b | 5.38 ± 0.69 a | 3.37 ± 0.15 a | 56.54 ± 1.38 c | ND |
| T2 (SMsF) | 40.31 ± 0.47 b | 2.07 ± 0.16 a | 5.29 ± 0.61 b | 2.13 ± 0.40 c | 0.45 ± 0.07 b | 151.92 ± 1.36 b | ND | |
| T3 (SMsFGy) | 67.35 ± 0.52 a | 0.80 ± 0.01 c | 24.53 ± 0.45 a | 4.17 ± 0.14 b | 3.07 ± 0.25 a | 172.70 ± 1.23 a | ND |
| Grade | 0 | 1 | 2 | 3 | 4 | 5 |
|---|---|---|---|---|---|---|
| Percentage of infection on fruits | No infection | Up to 5 | 6–10 | 11–20 | 21–50 | >50 |
Disclaimer/Publisher’s Note: The statements, opinions and data contained in all publications are solely those of the individual author(s) and contributor(s) and not of MDPI and/or the editor(s). MDPI and/or the editor(s) disclaim responsibility for any injury to people or property resulting from any ideas, methods, instructions or products referred to in the content. |
© 2026 by the authors. Licensee MDPI, Basel, Switzerland. This article is an open access article distributed under the terms and conditions of the Creative Commons Attribution (CC BY) license.
Share and Cite
Damodaran, T.; Beer, K.; Debnath, P.; Soni, S.K.; Mishra, M.; Muthukumar, M.; Sulakhe, N.; Shukla, P.K. Metabolite-Mediated Antioxidant-Rich Bacterial Isolates for the Control of Anthracnose Disease and Enhancement of the Post-Harvest Shelf Life of Mango (Mangifera indica L.). Plants 2026, 15, 1130. https://doi.org/10.3390/plants15071130
Damodaran T, Beer K, Debnath P, Soni SK, Mishra M, Muthukumar M, Sulakhe N, Shukla PK. Metabolite-Mediated Antioxidant-Rich Bacterial Isolates for the Control of Anthracnose Disease and Enhancement of the Post-Harvest Shelf Life of Mango (Mangifera indica L.). Plants. 2026; 15(7):1130. https://doi.org/10.3390/plants15071130
Chicago/Turabian StyleDamodaran, T., Karma Beer, Prasenjit Debnath, Sumit K. Soni, Maneesh Mishra, M. Muthukumar, Nisha Sulakhe, and Prabhat Kumar Shukla. 2026. "Metabolite-Mediated Antioxidant-Rich Bacterial Isolates for the Control of Anthracnose Disease and Enhancement of the Post-Harvest Shelf Life of Mango (Mangifera indica L.)" Plants 15, no. 7: 1130. https://doi.org/10.3390/plants15071130
APA StyleDamodaran, T., Beer, K., Debnath, P., Soni, S. K., Mishra, M., Muthukumar, M., Sulakhe, N., & Shukla, P. K. (2026). Metabolite-Mediated Antioxidant-Rich Bacterial Isolates for the Control of Anthracnose Disease and Enhancement of the Post-Harvest Shelf Life of Mango (Mangifera indica L.). Plants, 15(7), 1130. https://doi.org/10.3390/plants15071130

