Quantifying Annual Photon Absorption in 55 Bamboo Species: A Standardized Modeling Approach Using Peak-Season Leaf Optical Traits and Long-Term Radiation Data
Abstract
1. Introduction
2. Materials and Methods
2.1. Study Site Description
2.2. Measurement and Collection of Solar Spectral Data and Meteorological Records
2.3. Plant Material and Sampling
2.4. Measurement of Leaf Optical Properties
2.4.1. Reflectance and Transmittance
2.4.2. Leaf Area
2.5. Modeling Annual Photon Absorption
2.5.1. Intrinsic Leaf Absorptance
2.5.2. Diurnal Photon Flux Integration
2.5.3. Annual Aggregation Model
2.6. Statistical Analysis
3. Results
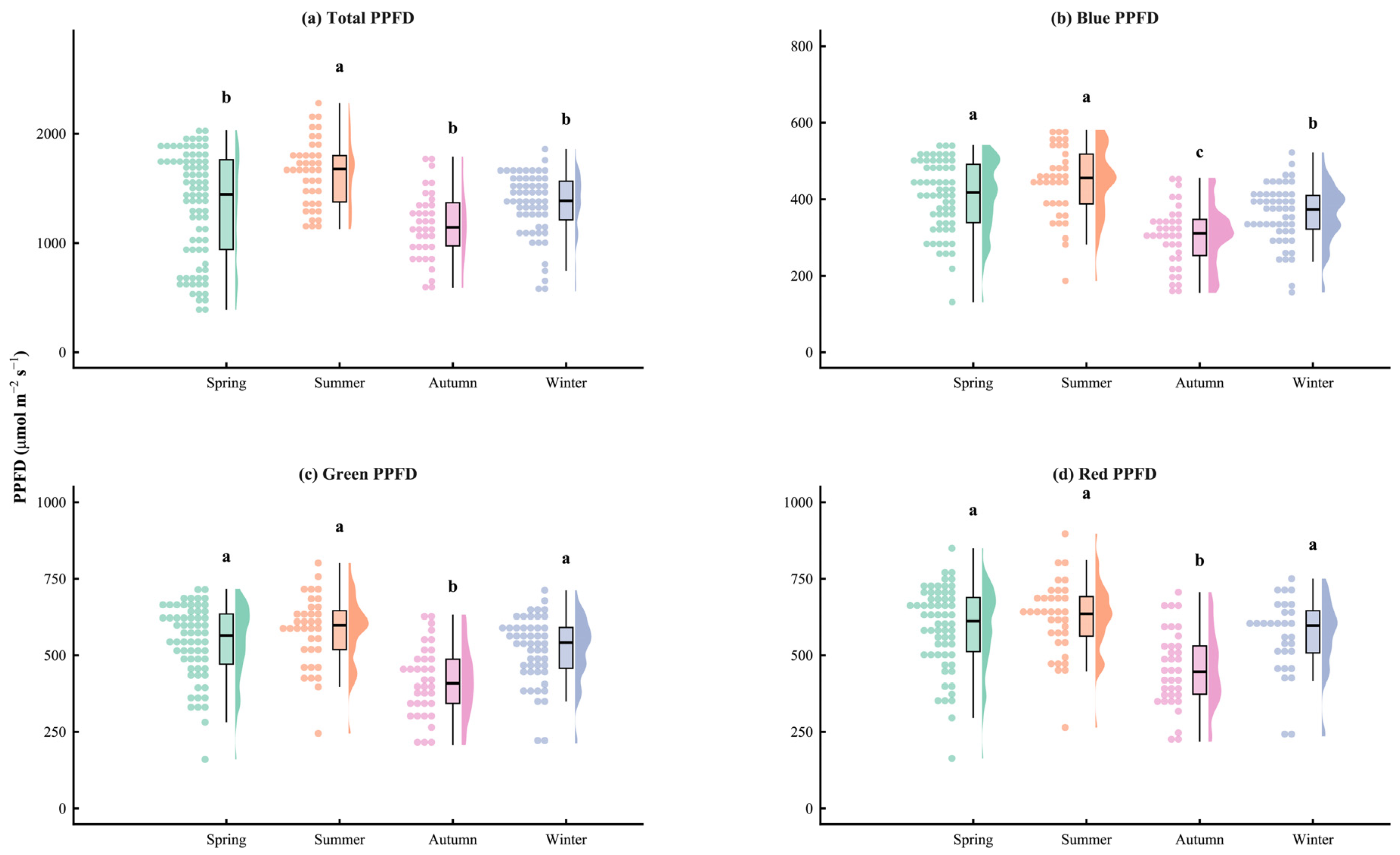
3.1. Seasonal Dynamics of Solar Spectra at the Experimental Site
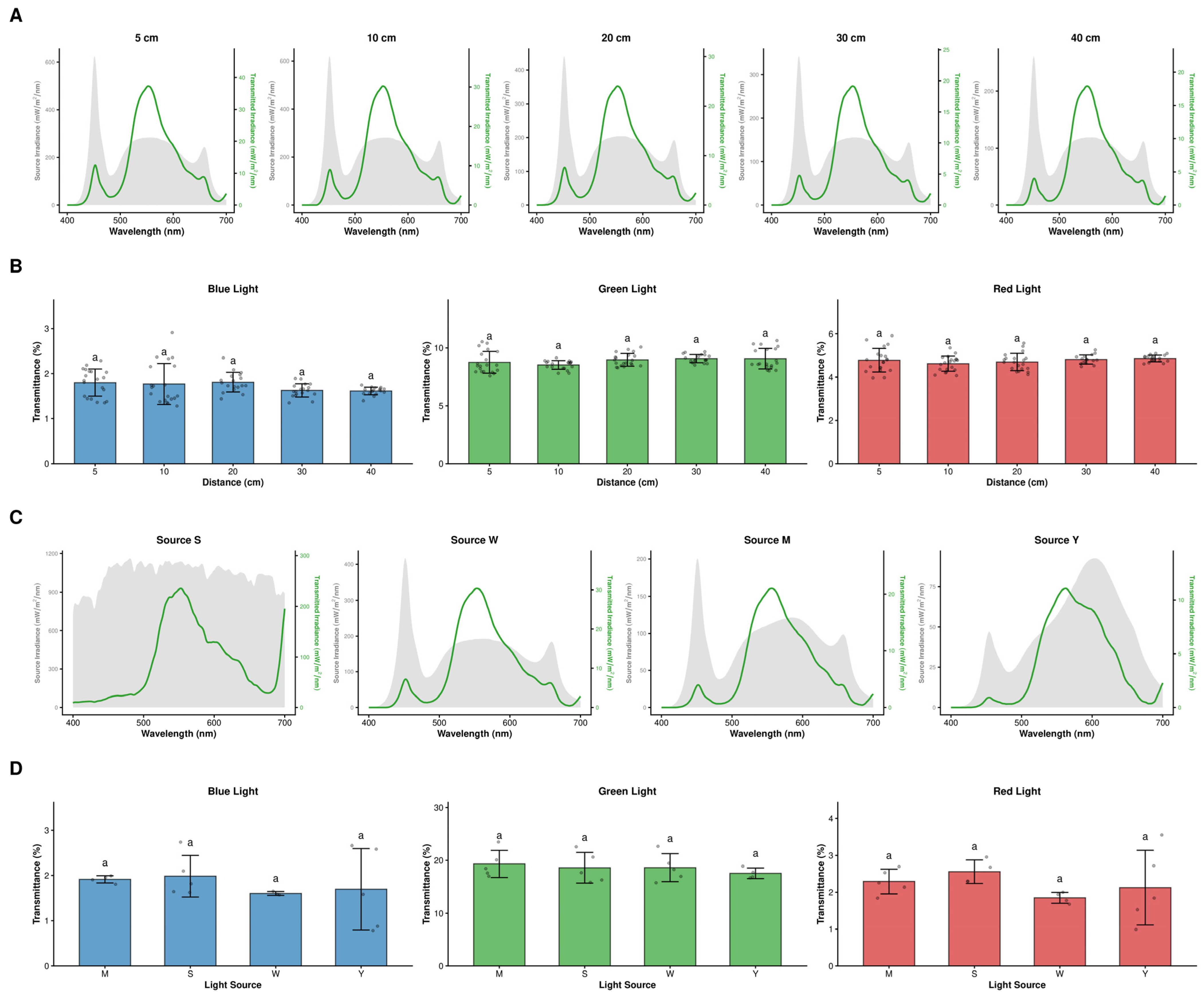
3.2. Measurement Consistency of Leaf Optical Properties
3.3. Interspecific Differences in Leaf Optical Properties
3.4. Annual Photon Capture by Bamboo Leaves
4. Discussion
4.1. Ecological and Physiological Mechanisms of Photon Absorption in Bamboo
4.2. Methodological Limitations and Future Perspectives
5. Conclusions
Supplementary Materials
Author Contributions
Funding
Data Availability Statement
Acknowledgments
Conflicts of Interest
Abbreviations
| Abbreviation/Symbol | Definition/Description | Unit |
| Abbreviations | ||
| PAR | Photosynthetically active radiation (400–700 nm) | – |
| PPFD | Photosynthetic photon flux density | μmol m−2 s−1 |
| VIS | Visible spectrum radiation | – |
| UV | Ultraviolet radiation | – |
| LA | Leaf area | cm2 |
| SLA | Specific leaf area | cm2 g−1 |
| LES | Leaf economics spectrum | – |
| NPQ | Non-photochemical quenching | – |
| AAP | Annual absorbed photons (per single leaf) | μmol leaf−1 year−1 |
| Symbols | ||
| λ | Wavelength of light | nm |
| α | Leaf absorptance (fraction of light absorbed) | % or dimensionless |
| ρ (or r) | Leaf reflectance | % or dimensionless |
| τ (or t) | Leaf transmittance | % or dimensionless |
| AP | Daily absorbed photons | μmol leaf−1 day−1 |
| A | Cumulative daily solar photons per unit area (Area under PPFD curve) | μmol m−2 day−1 |
| D | Number of days in a specific season | days |
| P | Frequency/Probability of a specific weather type | % |
| Subscripts | ||
| b, g, r | Wavebands: Blue (400–500 nm), Green (500–600 nm), Red (600–700 nm) | – |
| s | Season (Spring, Summer, Autumn, Winter) | – |
| w | Weather type (Sunny, Cloudy, Rainy) | – |
| area | Per unit leaf area | – |
References
- Vandenbrink, J.P.; Kiss, J.Z.; Herranz, R.; Medina, F.J. Light and gravity signals synergize in modulating plant development. Front. Plant Sci. 2014, 5, 563. [Google Scholar] [CrossRef]
- Wang, X.; Zhou, H.; Wen, R.; Chen, J.; He, Q.; Jiang, Y. Research on energy-saving effects of highway tunnel shading canopies based on a multi-factor control model: Revealing the influence mechanism of external luminance and optimization pathways for light environment regulation. Energy Build. 2025, 347, 116266. [Google Scholar] [CrossRef]
- Désilets, P.; Houle, G. Effects of resource availability and heterogeneity on the slope of the species-area curve along a floodplain-upland gradient. J. Veg. Sci. 2005, 16, 487–496. [Google Scholar] [CrossRef]
- Baker, N.R.; McKiernan, M. Modifications to the photosynthetic apparatus of higher plants in response to changes in the light environment. Biol. J. Linn. Soc. 1988, 34, 193–203. [Google Scholar] [CrossRef]
- Dai, X.; Hu, J.; Zhang, X.; Sun, G. Adaptive mechanism of photosynthetic apparatus of plants to light environment: State transition. Yingyong Shengtai Xuebao 2016, 27, 1674–1682. (In Chinese) [Google Scholar] [CrossRef]
- Tikkanen, M.; Grieco, M.; Nurmi, M.; Rantala, M.; Suorsa, M.; Aro, E.-M. Regulation of the photosynthetic apparatus under fluctuating growth light. Philos. Trans. R. Soc. B Biol. Sci. 2012, 367, 3486–3493. [Google Scholar] [CrossRef]
- Ahmad, N.; Irfan, A.; Ahmad, H.R.; Salma, H.; Tahir, M.; Tamimi, S.A.; Sajid, Z.; Liaquat, G.; Nadeem, M.; Ali, M.; et al. Impact of changing abiotic environment on photosynthetic adaptation in plants. In New Frontiers in Plant-Environment Interactions: Innovative Technologies and Developments; Aftab, T., Ed.; Springer Nature Switzerland: Cham, Switzerland, 2023; pp. 385–423. [Google Scholar] [CrossRef]
- Ali, V.; Vyas, D. A transplantation study in the high-altitude ecosystem of Ladakh suggests site-specific microenvironment is key for physiological adaptation than altitude. Plant Physiol. Biochem. 2025, 220, 109532. [Google Scholar] [CrossRef] [PubMed]
- Qiao, M.Y.; Zhang, Y.J.; Liu, L.A.; Shi, L.; Ma, Q.; Chow, W.S.; Jiang, C.D. Do rapid photosynthetic responses protect maize leaves against photoinhibition under fluctuating light? Photosynth. Res. 2021, 149, 57–68. [Google Scholar] [CrossRef]
- Schöttler, M.A.; Tóth, S.Z. Photosynthetic complex stoichiometry dynamics in higher plants: Environmental acclimation and photosynthetic flux control. Front. Plant Sci. 2014, 5, 188. [Google Scholar] [CrossRef]
- Hu, C.; Liang, X.E.; Wang, H.X.; Xu, C.; Zhou, Z.Y.; Zhu, L.N.; Huang, H.N.; Zhang, R.M.; Wen, G.S. Diurnal variation of Phyllostachys edulis photosynthesis and transpiration during its rapid growth period. J. Zhejiang A&F Univ. 2018, 35, 277–283. (In Chinese) [Google Scholar] [CrossRef]
- Sun, J.; Li, J.; Koyama, K.; Hu, D.; Zhong, Q.; Cheng, D. The morphology and nutrient content drive the leaf carbon capture and economic trait variations in subtropical bamboo forest. Front. Plant Sci. 2023, 14, 1137487. [Google Scholar] [CrossRef]
- Bao, Y.; Liu, X.; Feng, C.-H.; Niu, M.-X.; Liu, C.; Wang, H.-L.; Yin, W.; Xia, X. Light and light signals regulate growth and development in woody plants. Forests 2024, 15, 523. [Google Scholar] [CrossRef]
- Wu, Z.; Du, X.; Xiong, D.; Wang, S.; Zhou, Y.; Zhou, Y. A comparative study on photosynthetic characteristics of different types of bamboos. Ecol. Environ. 2013, 22, 1523–1527. (In Chinese) [Google Scholar]
- Xie, Y.; Zheng, H.; Bai, Y.; Xu, J.; Song, H.; Cao, Z.; Wu, C.; Mu, C.; Jiang, J.; Gao, J. Photosynthesis in culms of non-foliar organs and effect of light on culm development of Moso bamboo (Phyllostachys edulis). Environ. Exp. Bot. 2024, 220, 105672. [Google Scholar] [CrossRef]
- Vogelmann, T.C.; Gorton, H.L. Leaf: Light capture in the photosynthetic organ. In The Structural Basis of Biological Energy Generation; Hohmann-Marriott, M.F., Ed.; Springer: Dordrecht, The Netherlands, 2014; pp. 363–377. [Google Scholar]
- Hanba, Y.; Nishida, K.; Tsutsui, Y.; Matsumoto, M.; Yasui, Y.; Sizhe, Y.; Matuura, T.; Akitsu, T.; Kume, A. Leaf optical properties and photosynthesis of fern species with a wide range of divergence time in relation to mesophyll anatomy. Ann. Bot. 2023, 131, mcad025. [Google Scholar] [CrossRef]
- Atherton, J.; Olascoaga, B.; Alonso, L.; Porcar-Castell, A. Spatial variation of leaf optical properties in a boreal forest is influenced by species and light environment. Front. Plant Sci. 2017, 8, 309. [Google Scholar] [CrossRef] [PubMed]
- Gitelson, A.; Solovchenko, A.; Viña, A. Foliar absorption coefficient derived from reflectance spectra: A gauge of the efficiency of in situ light-capture by different pigment groups. J. Plant Physiol. 2020, 254, 153277. [Google Scholar] [CrossRef]
- Al-Najjar, M.A.; de Beer, D.; Kühl, M.; Polerecky, L. Light utilization efficiency in photosynthetic microbial mats. Environ. Microbiol. 2012, 14, 982–992. [Google Scholar] [CrossRef]
- Pau, S.; Slapikas, R.; Ho, C.; Bayliss, S.L.J.; Donnelly, R.C.; Abdullahi, A.; Helliker, B.R.; Nippert, J.B.; Riley, W.J.; Still, C.J.; et al. Hyperspectral leaf reflectance of grasses varies with evolutionary lineage more than with site. Ecosphere 2025, 16, e70257. [Google Scholar] [CrossRef]
- Liu, X.; Zhou, S.; Hu, J.; Zou, X.; Tie, L.; Li, Y.; Cui, X.; Huang, C.; Sardans, J.; Peñuelas, J. Variations and trade-offs in leaf and culm functional traits among 77 woody bamboo species. BMC Plant Biol. 2024, 24, 387. [Google Scholar] [CrossRef]
- Ustin, S.L.; Jacquemoud, S. How the optical properties of leaves modify the absorption and scattering of energy and enhance leaf functionality. In Remote Sensing of Plant Biodiversity; Cavender-Bares, J., Gamon, J.A., Townsend, P.A., Eds.; Springer: Cham, Switzerland, 2020; pp. 349–384. [Google Scholar] [CrossRef]
- Ruban, A.V. Nonphotochemical chlorophyll fluorescence quenching: Mechanism and effectiveness in protecting plants from photodamage. Plant Physiol. 2016, 170, 1903–1916. [Google Scholar] [CrossRef]
- Brodersen, C.R.; Vogelmann, T.C. Do changes in light direction affect absorption profiles in leaves? Funct. Plant Biol. 2010, 37, 403–412. [Google Scholar] [CrossRef]
- Liang, Y.; Kang, C.; Kaiser, E.; Kuang, Y.; Yang, Q.; Li, T. Red/blue light ratios induce morphology and physiology alterations differently in cucumber and tomato. Sci. Hortic. 2021, 281, 109995. [Google Scholar] [CrossRef]
- Ma, Y.; Xu, A.; Cheng, Z.-M. Effects of light emitting diode lights on plant growth, development and traits a meta-analysis. Hortic. Plant J. 2021, 7, 552–564. [Google Scholar] [CrossRef]
- Lee, H.R.; Kim, H.M.; Jeong, H.W.; Hwang, S.J. Growth and bioactive compounds of Salvia plebeia R. Br. grown under various ratios of red and blue light. Horticulturae 2020, 6, 35. [Google Scholar] [CrossRef]
- Terashima, I.; Fujita, T.; Inoue, T.; Chow, W.S.; Oguchi, R. Green light drives leaf photosynthesis more efficiently than red light in strong white light: Revisiting the enigmatic question of why leaves are green. Plant Cell Physiol. 2009, 50, 684–697. [Google Scholar] [CrossRef] [PubMed]
- Jokic, L.; Pappert, I.; Khanh, T.Q.; Kaldenhoff, R. Effect of light intensity and light spectrum of LED light sources on photosynthesis and secondary metabolite synthesis in Ocimum basilicum. Plants 2025, 14, 1334. [Google Scholar] [CrossRef]
- Pearcy, R.W. Sunflecks and photosynthesis in plant canopies. Annu. Rev. Plant Physiol. Plant Mol. Biol. 1990, 41, 421–453. [Google Scholar] [CrossRef]
- Retkute, R.; Smith-Unna, S.E.; Smith, R.W.; Burgess, A.J.; Jensen, O.E.; Johnson, G.N.; Preston, S.P.; Murchie, E.H. Exploiting heterogeneous environments: Does photosynthetic acclimation optimize carbon gain in fluctuating light? J. Exp. Bot. 2015, 66, 2437–2447. [Google Scholar] [CrossRef]
- Osnas, J.L.D.; Lichstein, J.W.; Reich, P.B.; Pacala, S.W. Global leaf trait relationships: Mass, area, and the leaf economics spectrum. Science 2013, 340, 741–744. [Google Scholar] [CrossRef]
- Wright, I.J.; Reich, P.B.; Westoby, M.; Ackerly, D.D.; Baruch, Z.; Bongers, F.; Cavender-Bares, J.; Chapin, T.; Cornelissen, J.H.C.; Diemer, M.; et al. The worldwide leaf economics spectrum. Nature 2004, 428, 821–827. [Google Scholar] [CrossRef]
- Reich, P.B. The world-wide ‘fast–slow’ plant economics spectrum: A traits manifesto. J. Ecol. 2014, 102, 275–301. [Google Scholar] [CrossRef]
- Yang, S.J.; Sun, M.; Zhang, Y.J.; Zhang, J.L.; Cao, K.F. Strong leaf morphological, anatomical, and physiological responses of a subtropical woody bamboo (Sinarundinaria nitida) to contrasting light environments. Plant Ecol. 2014, 215, 97–109. [Google Scholar] [CrossRef]
- Vieira, R.C.; Gomes, D.M.; Sarahyba, L.S.; Arruda, R.C. Leaf anatomy of three herbaceous bamboo species. Braz. J. Biol. 2002, 62, 907–922. [Google Scholar] [CrossRef] [PubMed]
- Wu, H.; Fan, Y.; Yu, F.; Shen, Z.; Song, Q.; Zhang, Z.; Hu, S.; Chen, Y.; Shi, J. Leaf anatomical plasticity of Phyllostachys glauca McClure in limestone mountains was associated with both soil water and soil nutrients. Forests 2022, 13, 493. [Google Scholar] [CrossRef]
- Poorter, H.; Niinemets, Ü.; Poorter, L.; Wright, I.J.; Villar, R. Causes and consequences of variation in leaf mass per area (LMA): A meta-analysis. New Phytol. 2009, 182, 565–588. [Google Scholar] [CrossRef]
- Wang, Y.; Bai, S.; Binkley, D.; Zhou, G.; Fang, F. The independence of clonal shoot’s growth from light availability supports moso bamboo invasion of closed-canopy forest. For. Ecol. Manag. 2016, 368, 105–110. [Google Scholar] [CrossRef]
- Demmig-Adams, B.; Adams, W.W., III. Photoprotection in an ecological context: The remarkable complexity of thermal energy dissipation. New Phytol. 2006, 172, 11–21. [Google Scholar] [CrossRef]
- Sun, H.; Lou, Y.; Li, H.; Di, X.; Gao, Z. Unveiling the intrinsic mechanism of photoprotection in bamboo under high light. Ind. Crops Prod. 2024, 209, 118049. [Google Scholar] [CrossRef]
- Karabourniotis, G.; Liakopoulos, G.; Bresta, P.; Nikolopoulos, D. The optical properties of leaf structural elements and their contribution to photosynthetic performance and photoprotection. Plants 2021, 10, 1455. [Google Scholar] [CrossRef] [PubMed]
- Aschan, G.; Pfanz, H. Non-foliar photosynthesis—A strategy of additional carbon acquisition. Flora 2003, 198, 81–97. [Google Scholar] [CrossRef]
- Xing, Y.; Deng, S.; Bai, Y.; Wu, Z.; Luo, J. Leaf functional traits and their influencing factors in six typical vegetation communities. Plants 2024, 13, 2423. [Google Scholar] [CrossRef]
- García-Plazaola, J.I.; Rojas, R.; Christie, D.A.; Coopman, R.E. Photosynthetic responses of trees in high-elevation forests: Comparing evergreen species along an elevation gradient in the Central Andes. AoB Plants 2015, 7, plv058. [Google Scholar] [CrossRef] [PubMed]
- Falster, D.S.; Westoby, M. Leaf size and angle vary widely across species: What consequences for light interception? New Phytol. 2003, 158, 509–525. [Google Scholar] [CrossRef] [PubMed]






| Weather | Spring | Summer | Autumn | Winter |
|---|---|---|---|---|
| Sunny | 20.29% | 12.68% | 34.43% | 34.69% |
| Cloudy | 26.45% | 28.99% | 23.81% | 22.51% |
| Rainy | 53.26% | 58.33% | 41.76% | 42.80% |
Disclaimer/Publisher’s Note: The statements, opinions and data contained in all publications are solely those of the individual author(s) and contributor(s) and not of MDPI and/or the editor(s). MDPI and/or the editor(s) disclaim responsibility for any injury to people or property resulting from any ideas, methods, instructions or products referred to in the content. |
© 2026 by the authors. Licensee MDPI, Basel, Switzerland. This article is an open access article distributed under the terms and conditions of the Creative Commons Attribution (CC BY) license.
Share and Cite
Liu, C.; Wang, M.; He, F.; Shi, Z.; Zhang, J.; Liu, G. Quantifying Annual Photon Absorption in 55 Bamboo Species: A Standardized Modeling Approach Using Peak-Season Leaf Optical Traits and Long-Term Radiation Data. Plants 2026, 15, 1105. https://doi.org/10.3390/plants15071105
Liu C, Wang M, He F, Shi Z, Zhang J, Liu G. Quantifying Annual Photon Absorption in 55 Bamboo Species: A Standardized Modeling Approach Using Peak-Season Leaf Optical Traits and Long-Term Radiation Data. Plants. 2026; 15(7):1105. https://doi.org/10.3390/plants15071105
Chicago/Turabian StyleLiu, Changlai, Mengxiao Wang, Fanfan He, Zhaoming Shi, Jianjun Zhang, and Guohua Liu. 2026. "Quantifying Annual Photon Absorption in 55 Bamboo Species: A Standardized Modeling Approach Using Peak-Season Leaf Optical Traits and Long-Term Radiation Data" Plants 15, no. 7: 1105. https://doi.org/10.3390/plants15071105
APA StyleLiu, C., Wang, M., He, F., Shi, Z., Zhang, J., & Liu, G. (2026). Quantifying Annual Photon Absorption in 55 Bamboo Species: A Standardized Modeling Approach Using Peak-Season Leaf Optical Traits and Long-Term Radiation Data. Plants, 15(7), 1105. https://doi.org/10.3390/plants15071105

