The Effect of Sethoxydim Herbicide on the Physiological Parameters, Photosynthetic Enzymes and Antioxidant System in Foxtail Millet
Abstract
1. Introduction
2. Materials and Methods
2.1. Plant Materials and Experimental Setup
2.2. Measurement of Plant Height, Leaf Area and Fresh Weight
2.3. Analysis of Photosynthetic Gas Exchange Parameters
2.4. Determination of Chlorophyll Content
2.5. Assay of Chlorophyll Fluorescence and P700 Parameters
2.6. Measurement of Photosynthetic Enzyme Activities
2.7. Measurement of Soluble Sugar and Soluble Protein
2.8. Measurement of Antioxidant Enzyme Activities
2.9. Measurement of H2O2 Content and O2·−Content
2.10. Experimental Verification of Related Gene Expression Level by qRT-PCR
2.11. Statistical Analyses
3. Results
3.1. Effect of Sethoxydim on Agronomic Traits of Foxtail Millet and Phenotypic Schematic Diagram
3.2. Effect of Sethoxydim on Photosynthetic Gas Exchange Parameters of Foxtail Millet
3.3. Effect of Sethoxydim on Photosynthetic Pigment Contents of Foxtail Millet
3.4. Effect of Sethoxydim on Chlorophyll Fluorescence and P700 Parameters of Foxtail Millet
3.5. Effect of Sethoxydim on Photosynthetic Enzyme Activities of Foxtail Millet
3.6. Effect of Sethoxydim on Soluble Sugar and Soluble Protein Contents of Foxtail Millet
3.7. Effect of Sethoxydim on Antioxidant Enzyme Activity of Foxtail Millet
3.8. Effect of Sethoxydim on H2O2 and O2·− Content of Foxtail Millet
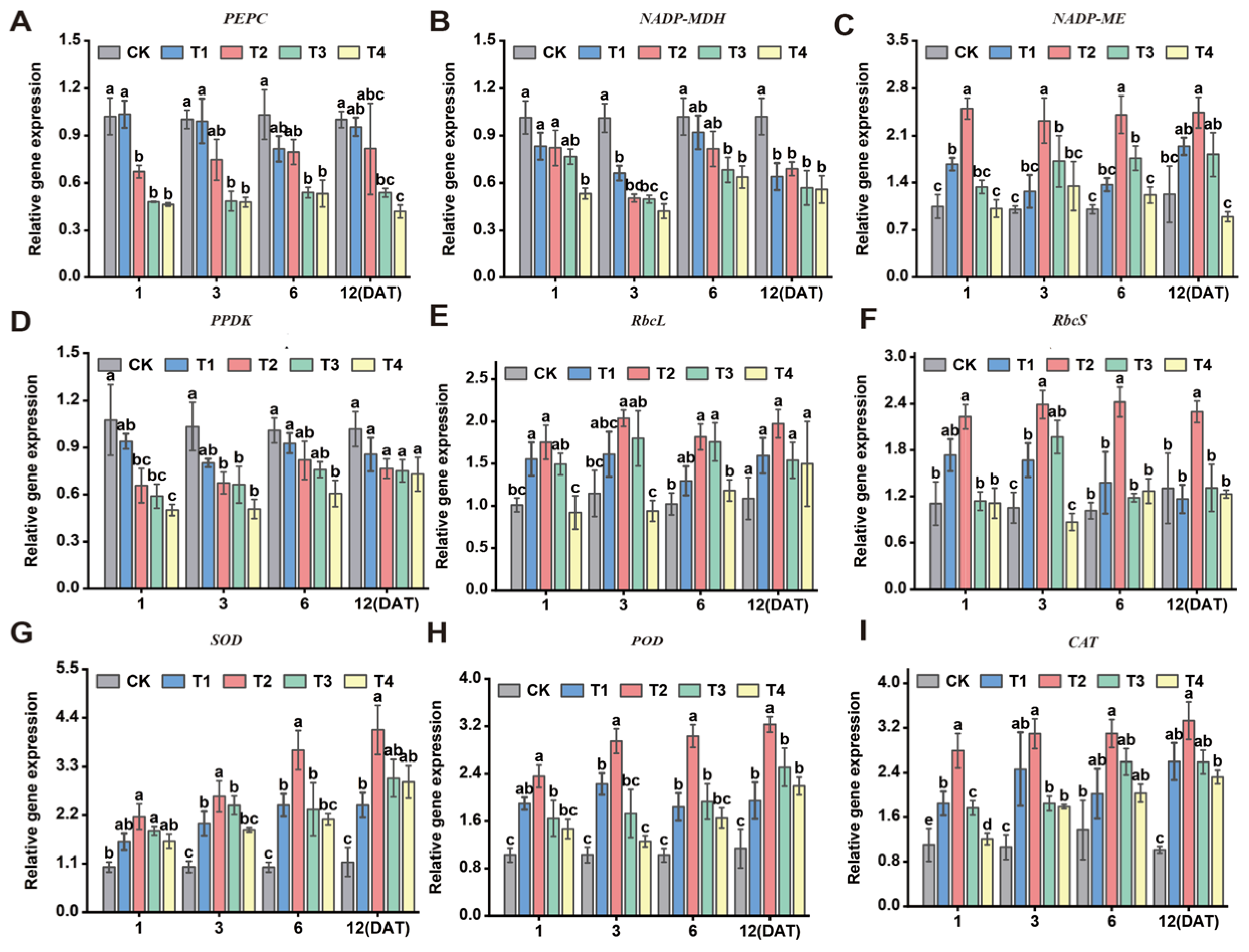
3.9. Effect of Sethoxydim on Expression of Photosynthetic and Antioxidant Genes in Foxtail Millet
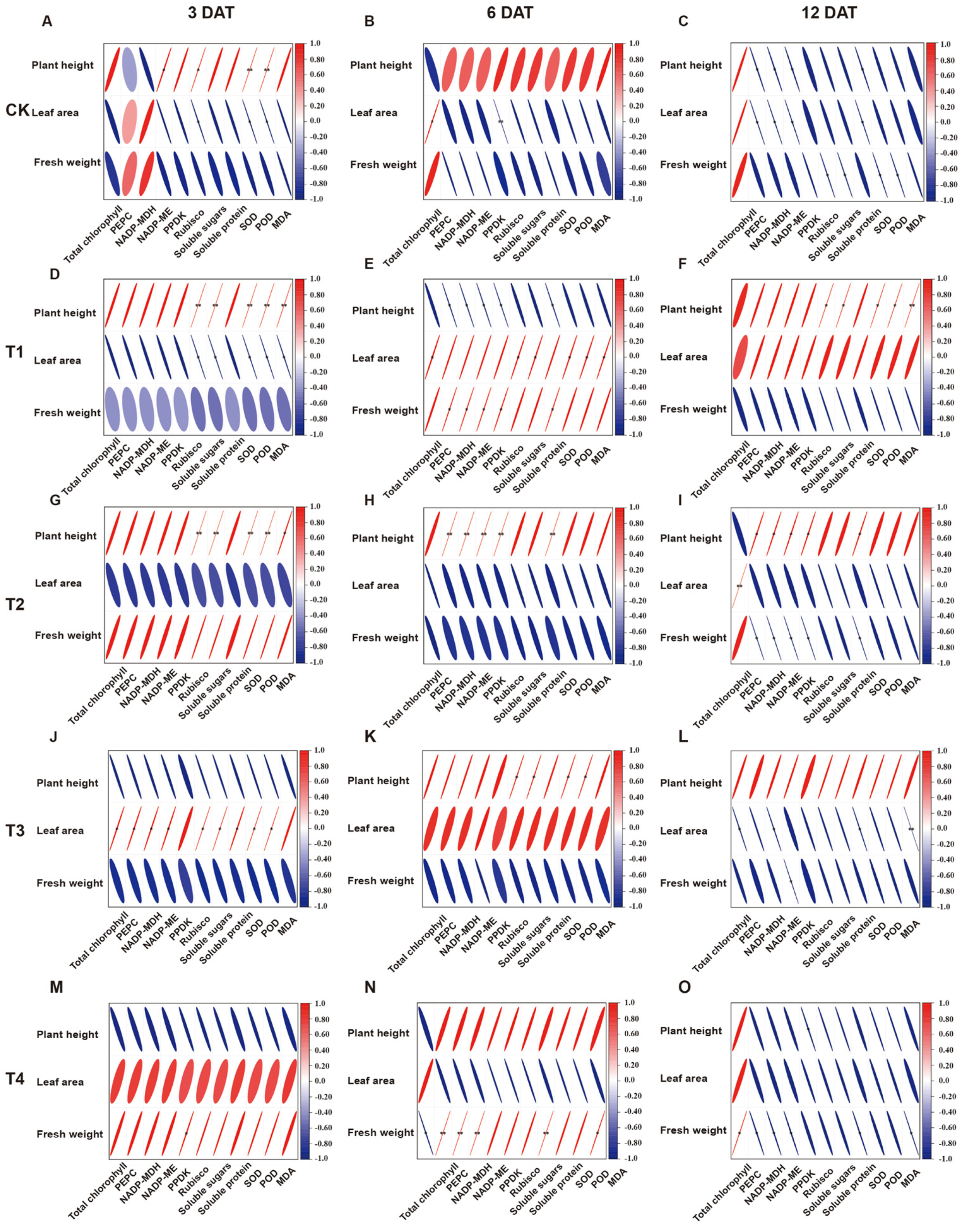
3.10. Correlation Analysis
4. Discussions
5. Conclusions

Author Contributions
Funding
Data Availability Statement
Conflicts of Interest
References
- Diao, X. Production and genetic improvement of minor cereals in China. Crop J. 2017, 5, 103–114. [Google Scholar] [CrossRef]
- Li, K.; Zhang, T.; Sui, Z.; Narayanamoorthy, S.; Jin, C.; Li, S.; Corke, H. Genetic variation in starch physicochemical properties of Chinese foxtail millet (Setaria italica Beauv.). Int. J. Biol. Macromol. 2019, 133, 337–345. [Google Scholar] [CrossRef]
- Yang, Z.; Zhang, H.; Li, X.; Shen, H.; Gao, J.; Hou, S.; Zhang, B.; Mayes, S.; Bennett, M.; Ma, J.; et al. A mini foxtail millet with an Arabidopsis-like life cycle as a C4 model system. Nat. Plants 2020, 6, 1167–1178. [Google Scholar] [CrossRef]
- Liang, K.; Liang, S.; Lu, L.; Zhu, D.; Zhu, H.; Liu, P.; Zhang, M. Metabolic variation and cooking qualities of millet cultivars grown both organically and conventionally. Food Res. Int. 2018, 106, 825–833. [Google Scholar] [CrossRef] [PubMed]
- Opeña, J.L.; Quilty, J.R.; Correa, T.Q.C., Jr.; Chauhan, B.S. Weed population dynamics, herbicide efficacies, and crop performance in a sprinkler-irrigated maize-rice cropping system. Field Crops Res. 2014, 167, 119–130. [Google Scholar] [CrossRef]
- Weber, A.; Fischer, E.; Branitz, H.S.V.; Lüttge, U. The effects of the herbicide sethoxydim on transport processes in sensitive and tolerant grass species II. Effects on membrane-bound redox systems in plant cells. Z. Naturforschung C 2014, 43, 257–263. [Google Scholar] [CrossRef]
- Song, T.; Chu, M.; Zhang, J.; Wen, R.; Lee, J.; Gossen, B.D.; Yu, F.; Peng, G. Transcriptome analysis identified the mechanism of synergy between sethoxydim herbicide and a mycoherbicide on green foxtail. Sci. Rep. 2020, 10, 21690. [Google Scholar] [CrossRef]
- Belkebir, A.; Benhassaine-Kesri, G. Sethoxydim treatment inhibits lipid metabolism and enhances the accumulation of anthocyanins in rape (Brassica napus L.) leaves. Pestic. Biochem. Physiol. 2013, 107, 120–126. [Google Scholar] [CrossRef]
- Belkebir, A.; De Paepe, R.; Trémolières, A.; Aïd, F.; Benhassaine-Kesri, G. Sethoxydim affects lipid synthesis and acetyl-CoA carboxylase activity in soybean. J. Exp. Bot. 2006, 57, 3553–3562. [Google Scholar] [CrossRef] [PubMed][Green Version]
- Laforest, M.; Soufiane, B.; Simard, M.J.; Obeid, K.; Page, E.; Nurse, R.E. Acetyl-CoA carboxylase overexpression in herbicide-resistant large crabgrass (Digitaria sanguinalis). Pest Manag. Sci. 2017, 73, 2227–2235. [Google Scholar] [CrossRef]
- Laplante, J.; Rajcan, I.; Tardif, F.J. Multiple allelic forms of acetohydroxyacid synthase are responsible for herbicide resistance in Setaria viridis. Theor. Appl. Genet. 2009, 119, 577–585. [Google Scholar] [CrossRef]
- Lu, B.; Meng, R.; Wang, Y.; Xiong, W.; Ma, Y.; Gao, P.; Ren, J.; Zhang, L.; Zhao, Z.; Fan, G.; et al. Distinctive physiological and molecular responses of foxtail millet and maize to nicosulfuron. Front. Plant Sci. 2023, 14, 1308584. [Google Scholar] [CrossRef] [PubMed]
- Yuan, X.; Zhang, L.; Huang, L.; Qi, X.; Wen, Y.Y.; Dong, S.; Song, X.; Wang, H.; Guo, P.Y. Photosynthetic and physiological responses of foxtail millet (Setaria italica L.) to low-light stress during grain-filling stage. Photosynthetica 2017, 55, 491–500. [Google Scholar] [CrossRef]
- Guo, M.; Song, X.E.; Shen, J.; Wang, J.; Zhao, X.; Liu, S.; Dong, S.; Yuan, X.; Wen, Y.; Guo, P.; et al. Precision orientation herbicide spraying against weeds in plastic-mulched fields of spring hybrid millet. Emir. J. Food Agric. 2019, 31, 837–846. [Google Scholar] [CrossRef]
- Xie, L.; Guo, P.; Yuan, X. Effect of sethoxydim on physiological characteristics of hybrid millet Zhangzagu 5 seedling. J. Shanxi Agric. Sci. 2014, 42, 223–226. [Google Scholar]
- Ning, N.; Yuan, X.; Dong, S.; Wen, Y.; Gao, Z.; Guo, M.; Guo, P. Grain yield and quality of foxtail millet (Setaria italica L.) in response to tribenuron-methyl. PLoS ONE 2015, 10, e0142557. [Google Scholar] [CrossRef]
- Förster, K.; Sauerland, M.D.; Groth, G. From synthetic small molecules to natural substances: The C(4) photosynthetic pathway as a target for sustainable weed control. Mol. Plant 2026, 19, 9–12. [Google Scholar] [CrossRef]
- Fan, Y.; Noble, D.W.A.; Medlyn, B.E.; Monson, R.K.; Sage, R.F.; Smith, N.G.; Ainsworth, E.A.; Busch, F.A.; Danila, F.R.; Ermakova, M.; et al. Environmental factors have a greater influence on photosynthetic capacity in C(4) plants than biochemical subtypes or growth forms. New Phytol. 2025, 248, 1205–1224. [Google Scholar] [CrossRef] [PubMed]
- Lara, M.V.; Chuong, S.D.; Akhani, H.; Andreo, C.S.; Edwards, G.E. Species having C4 single-cell-type photosynthesis in the Chenopodiaceae family evolved a photosynthetic phosphoenolpyruvate carboxylase like that of Kranz-type C4 species. Plant Physiol. 2006, 142, 673–684. [Google Scholar] [CrossRef] [PubMed]
- Nemat Alla, M.M.; Hassan, N.M.; El-Bastawisy, Z.M. Differential influence of herbicide treatments on activity and kinetic parameters of C4 photosynthetic enzymes from Zea mays. Pestic. Biochem. Physiol. 2007, 89, 198–205. [Google Scholar] [CrossRef]
- Sage, R.F. The evolution of C(4) photosynthesis. New Phytol. 2004, 161, 341–370. [Google Scholar] [CrossRef] [PubMed]
- Jia, S.; Lv, J.; Jiang, S.; Liang, T.; Liu, C.; Jing, Z. Response of wheat ear photosynthesis and photosynthate carbon distribution to water deficit. Photosynthetica 2015, 53, 95–109. [Google Scholar] [CrossRef]
- Zhang, X.; Pu, P.; Tang, Y.; Zhang, L.; Lv, J. C4 photosynthetic enzymes play a key role in wheat spike bracts primary carbon metabolism response under water deficit. Plant Physiol. Biochem. 2019, 142, 163–172. [Google Scholar] [CrossRef]
- Wang, J.; Gao, H.; Guo, Z.; Meng, Y.; Yang, M.; Li, X.; Yang, Q. Adaptation responses in C4 photosynthesis of sweet maize (Zea mays L.) exposed to nicosulfuron. Ecotoxicol. Environ. Saf. 2021, 214, 112096. [Google Scholar] [CrossRef]
- Sher, A.; Mudassir Maqbool, M.; Iqbal, J.; Nadeem, M.; Faiz, S.; Noor, H.; Hamid, Y.; Yuan, X.; Pingyi, G. The growth, physiological and biochemical response of foxtail millet to atrazine herbicide. Saudi J. Biol. Sci. 2021, 28, 6471–6479. [Google Scholar] [CrossRef]
- Singh, D. Juggling with reactive oxygen species and antioxidant defense system—A coping mechanism under salt stress. Plant Stress 2022, 5, 100093. [Google Scholar] [CrossRef]
- Mehrasa, H.; Farnia, A.; Kenarsari, M.J.; Nakhjavan, S. Endophytic bacteria and SA application improve growth, biochemical properties, and nutrient uptake in white beans under drought stress. J. Soil Sci. Plant Nutr. 2022, 22, 3268–3279. [Google Scholar] [CrossRef]
- Ma, K.; Zhang, W.; Zhang, L.; He, X.; Fan, Y.; Alam, S.; Yuan, X. Effect of pyrazosulfuron-methyl on the photosynthetic characteristics and antioxidant systems of foxtail millet. Front. Plant Sci. 2021, 21, 696169. [Google Scholar] [CrossRef] [PubMed]
- Guo, M.; Wang, Y.; Dong, S.; Wen, Y.; Song, X.; Guo, P. Photochemical changes and oxidative damage in four foxtail millet varieties following exposure to sethoxydim. Photosynthetica 2018, 56, 820–831. [Google Scholar] [CrossRef]
- Guo, M.; Shen, J.; Song, X.; Dong, S.; Wen, Y.; Yuan, X.; Guo, P. Comprehensive evaluation of fluroxypyr herbicide on physiological parameters of spring hybrid millet. PeerJ 2019, 7, e7794. [Google Scholar] [CrossRef]
- Shimakawa, G.; Miyake, C. Changing frequency of fluctuating light reveals the molecular mechanism for P700 oxidation in plant leaves. Plant Direct 2018, 2, e00073. [Google Scholar] [CrossRef]
- Lilley, R.M.; Walker, D.A. An improved spectrophotometric assay for ribulosebisphosphate carboxylase. Biochim. Biophys. Acta—Enzymol. 1974, 358, 226–229. [Google Scholar] [CrossRef]
- Chen, L.; Khan, S.; Long, X.; Shao, F.; Huang, J.; Yin, L. Effects of the ammonium stress on photosynthesis and ammonium assimilation in submerged leaves of Ottelia cordata—An endangered aquatic plant. Aquat. Toxicol. 2023, 261, 106606. [Google Scholar] [CrossRef]
- Sayre, R.; Kennedy, R. Photosynthetic enzyme activities and localization in mollugo verticillata populations differing in the levels of C3 and C4 cycle operation. Plant Physiol. 1979, 64, 293–299. [Google Scholar] [CrossRef] [PubMed]
- Ting, I.P.; Osmond, C.B. Photosynthetic phosphoenolpyruvate carboxylases: Characteristics of alloenzymes from leaves of C3 and C4 Plants. Plant Physiol. 1973, 51, 439–447. [Google Scholar] [CrossRef] [PubMed]
- Yemm, E.W.; Willis, A.J. The estimation of carbohydrates in plant extracts by anthrone. Biochem. J. 1954, 57, 508–514. [Google Scholar] [CrossRef]
- Pedrol, N.; Tamayo, P. Protein content quantification by bradford method. In Handbook of Plant Ecophysiology Techniques; Springer: Berlin/Heidelberg, Germany, 2001; pp. 283–295. [Google Scholar]
- Giannopolitis, C.N.; Ries, S.K. Superoxide dismutases: I. Occurrence in higher plants. Plant Physiol. 1977, 59, 309–314. [Google Scholar] [CrossRef]
- Hammerschmidt, R.; Nuckles, E.M.; Kuć, J. Association of enhanced peroxidase activity with induced systemic resistance of cucumber to Colletotrichum lagenarium. Physiol. Plant Pathol. 1982, 20, 73–82. [Google Scholar] [CrossRef]
- Wang, A.; Luo, H. Quantitative relation between the reaction of hydroxylamine and superoxide anion radicals in plants. Plant Physiol. Commun. 1990, 84, 2895–2898. [Google Scholar]
- Zhao, J.; Yu, A.; Du, Y.; Wang, G.; Li, Y.; Zhao, G.; Wang, X.; Zhang, W.; Cheng, K.; Liu, X.; et al. Foxtail millet (Setaria italica (L.) P. Beauv) CIPKs are responsive to ABA and abiotic stresses. PLoS ONE 2019, 14, e0225091. [Google Scholar] [CrossRef]
- Yuan, X.; Guo, P.; Qi, X.; Ning, N.; Wang, H.; Wang, H.; Wang, X.; Yang, Y. Safety of herbicide Sigma Broad on radix Isatidis (Isatis indigotica Fort.) seedlings and their photosynthetic physiological responses. Pestic. Biochem. Physiol. 2013, 106, 45–50. [Google Scholar] [CrossRef]
- Langaro, A.C.; Agostinetto, D.; Oliveira, C.; Silva, J.D.G.; Bruno, M.S. Biochemical and physiological changes in rice plants due to the application of herbicides1. Planta Daninha 2016, 34, 277–290. [Google Scholar] [CrossRef]
- Wang, Q.; Wu, Y.; Ge, J.; Xu, X.; Lei, X.; Wang, J.; Wan, C.; Wang, P.; Gao, X.; Gao, J. Soil enzyme activities, physiological indicators, agronomic traits and yield of common buckwheat under herbicide combined with safeners. Sci. Total Environ. 2023, 903, 166261. [Google Scholar] [CrossRef] [PubMed]
- Luo, J.; Pan, Y.; Xu, L.; Zhang, Y.; Zhang, H.; Chen, R.; Que, Y. Photosynthetic and canopy characteristics of different varieties at the early elongation stage and their relationships with the cane yield in sugarcane. Sci. World J. 2014, 2014, 707095. [Google Scholar] [CrossRef] [PubMed]
- Farquhar, G.D.; Sharkey, T.D. Stomatal conductance and photosynthesis. Annu. Rev. Plant Biol. 1982, 31, 317–345. [Google Scholar] [CrossRef]
- Pinho, C.; Schock, A.; Farias, M.; Bacarin, M. Photosynthesis of soybean under the action of a photosystem II-inhibiting herbicide. Acta Physiol. Plant. 2014, 36, 3051–3062. [Google Scholar] [CrossRef]
- Fan, L.; Li, B.; Han, Y.; Chen, L.; He, T.; Zheng, Y.; Rong, J. Lower light intensities increase shoot germination with improved leaf biosynthesis in ma bamboo (Dendrocalamus latiflorus Munro). Forests 2022, 13, 1723. [Google Scholar] [CrossRef]
- Xu, P.; Chukhutsina, V.U.; Nawrocki, W.J.; Schansker, G.; Bielczynski, L.W.; Lu, Y.; Karcher, D.; Bock, R.; Croce, R. Photosynthesis without β-carotene. eLife 2020, 9, e58984. [Google Scholar] [CrossRef] [PubMed]
- Soares, C.; Pereira, R.; Martins, M.; Tamagnini, P.; Serôdio, J.; Moutinho-Pereira, J.; Cunha, A.; Fidalgo, F. Glyphosate-dependent effects on photosynthesis of Solanum lycopersicum L.—An ecophysiological, ultrastructural and molecular approach. J. Hazard. Mater. 2020, 398, 122871. [Google Scholar] [CrossRef]
- Grizza, L.H.E.; Contesoto, I.C.; Mendonça, A.; Comar, A.C.; Boromelo, A.P.; Ferro, A.P.; Constantin, R.P.; Dos Santos, W.D.; Marchiosi, R.; Ferrarese-Filho, O. Assessment of 3-cyanobenzoic acid as a possible herbicide candidate: Effects on maize growth and photosynthesis. Plants 2024, 14, 1. [Google Scholar] [CrossRef]
- Fang, Y.; Lu, H.; Chen, S.; Zhu, K.; Song, H.; Qian, H. Leaf proteome analysis provides insights into the molecular mechanisms of bentazon detoxification in rice. Pestic. Biochem. Physiol. 2015, 125, 45–52. [Google Scholar] [CrossRef]
- Korres, N.E.; Froud-Williams, R.J.; Moss, S.R. Chlorophyll fluorescence technique as a rapid diagnostic test of the effects of the photosynthetic inhibitor chlorotoluron on two winter wheat cultivars. Ann. Appl. Biol. 2003, 143, 53–56. [Google Scholar] [CrossRef]
- Sun, W.; Ubierna, N.; Ma, J.Y.; Walker, B.J.; Kramer, D.M.; Cousins, A.B. The coordination of C4 photosynthesis and the CO2-concentrating mechanism in maize and Miscanthus × giganteus in response to transient changes in light quality. Plant Physiol. 2014, 164, 1283–1292. [Google Scholar] [CrossRef]
- Hibberd, J.M.; Sheehy, J.E.; Langdale, J.A. Using C4 photosynthesis to increase the yield of rice—Rationale and feasibility. Curr. Opin. Plant Biol. 2008, 11, 228–231. [Google Scholar] [CrossRef]
- Murchie, E.H.; Pinto, M.; Horton, P. Agriculture and the new challenges for photosynthesis research. New Phytol. 2009, 181, 532–552. [Google Scholar] [CrossRef]
- Hu, L.; Li, Y.; Xu, W.; Zhang, Q.; Zhang, L.; Qi, X.; Dong, H. Improvement of the photosynthetic characteristics of transgenic wheat plants by transformation with the maize C4 phosphoenolpyruvate carboxylase gene. Plant Breed. 2012, 131, 385–391. [Google Scholar] [CrossRef]
- Zhang, H.; Xu, W.; Wang, H.; Hu, L.; Li, Y.; Qi, X.; Zhang, L.; Li, C.; Hua, X. Pyramiding expression of maize genes encoding phosphoenolpyruvate carboxylase (PEPC) and pyruvate orthophosphate dikinase (PPDK) synergistically improve the photosynthetic characteristics of transgenic wheat. Protoplasma 2014, 251, 1163–1173. [Google Scholar] [CrossRef] [PubMed]
- Allam, K.S.M.; Magdy, M.; El-Aal, A.M.A.; Khalil, N.S.; Rashed, M.A.; Atta, A.H.; AbdelHamid, R.I. Molecular docking and differential rbcl gene expression reveal variation in glyphosate herbicide tolerance of sugarcane varieties. Mol. Biol. Rep. 2025, 52, 168. [Google Scholar] [CrossRef] [PubMed]
- Guo, M.; Wang, Y.; Yuan, X.; Dong, S.; Wen, Y.; Song, X.; Guo, P. Responses of the antioxidant system to fluroxypyr in foxtail millet (Setaria italica L.) at the seedling stage. J. Integr. Agric. 2018, 17, 554–565. [Google Scholar] [CrossRef]
- Wen, Z.; Zhang, M. Possible involvement of phosphoenolpyruvate carboxylase and NAD-malic enzyme in response to drought stress. A case study: A succulent nature of the C4-NAD-ME type desert plant, Salsola lanata (Chenopodiaceae). Funct. Plant Biol. 2017, 44, 1219–1228. [Google Scholar] [CrossRef]
- Makino, A.; Mae, T.; Ohira, K. Photosynthesis and ribulose 1,5-bisphosphate carboxylase in rice leaves: Changes in photosynthesis and enzymes involved in carbon assimilation from leaf development through senescence. Plant Physiol. 1983, 73, 1002–1007. [Google Scholar] [CrossRef]
- Shen, C.H.; Krishnamurthy, R.; Yeh, K.W. Decreased L-ascorbate content mediating bolting is mainly regulated by the galacturonate pathway in Oncidium. Plant Cell Physiol. 2009, 50, 935–946. [Google Scholar] [CrossRef]
- Farghali, K.; Quronfulah, A. Role of lead on chlorophylls and soluble proteins in some cultivars of Triticum aestivum L. under osmotic potential. Open Access Libr. J. 2014, 1, 1–12. [Google Scholar] [CrossRef]
- Franck, N.; Vaast, P.; Génard, M.; Dauzat, J. Soluble sugars mediate sink feedback down-regulation of leaf photosynthesis in field-grown Coffea arabica. Tree Physiol. 2006, 26, 517–525. [Google Scholar] [CrossRef]
- Morales, M.; Munné-Bosch, S. Malondialdehyde: Facts and Artifacts. Plant Physiol. 2019, 180, 1246–1250. [Google Scholar] [CrossRef]
- Viveiros, J.; Moretti, L.G.; Pacola, M.; Jacomassi, L.M.; de Souza, F.M.; Rodrigues, V.A.; Bossolani, J.W.; Portugal, J.R.; Carbonari, C.A.; Crusciol, C.A.C. Foliar application of phosphoric acid mitigates oxidative stress induced by herbicides in soybean, maize, and cotton crops. Plant Stress 2024, 13, 100543. [Google Scholar] [CrossRef]
- Jalal, A.; Oliveira Junior, J.C.d.; Ribeiro, J.S.; Fernandes, G.C.; Mariano, G.G.; Trindade, V.D.R.; Reis, A.R.d. Hormesis in plants: Physiological and biochemical responses. Ecotoxicol. Environ. Saf. 2021, 207, 111225. [Google Scholar] [CrossRef]
- Gaafar, R.M.; Osman, M.E.-A.H.; Abo-Shady, A.M.; Almohisen, I.A.A.; Badawy, G.A.; El-Nagar, M.M.F.; Ismail, G.A. Role of Antioxidant Enzymes and Glutathione S-Transferase in Bromoxynil Herbicide Stress Tolerance in Wheat Plants. Plants 2022, 11, 2679. [Google Scholar] [CrossRef] [PubMed]
- Agostinetto, D.; Benemann, D.P.; Cechin, J.; Nohatto, M.A.; Langaro, A.C.; Piasecki, C.; Vargas, L. Gene expression related to oxidative stress induced by herbicides in rice. Agron. J. 2019, 111, 1239–1246. [Google Scholar] [CrossRef]
- Zhang, Q.; Li, Y.; Xu, W.; Zhang, Y.; Qi, X.; Fang, Y.; Peng, C. Joint expression of Zmpepc, Zmppdk, and Zmnadp-me is more efficient than expression of one or two of those genes in improving the photosynthesis of Arabidopsis. Plant Physiol. Biochem. 2021, 158, 410–419. [Google Scholar] [CrossRef]
- Arias Baldrich, C.; de la Osa, C.; Bosch, N.; Ruiz-Ballesta, I.; Monreal, J.A.; García-Mauriño, S. Enzymatic activity, gene expression and posttranslational modifications of photosynthetic and non-photosynthetic phosphoenolpyruvate carboxylase in ammonium-stressed sorghum plants. J. Plant Physiol. 2017, 214, 39–47. [Google Scholar] [CrossRef] [PubMed]
- Wu, Z.X.; Xu, N.W.; Yang, M.; Li, X.L.; Han, J.L.; Lin, X.H.; Yang, Q.; Lv, G.H.; Wang, J. Responses of photosynthesis, antioxidant enzymes, and related gene expression to nicosulfuron stress in sweet maize (Zea mays L.). Environ. Sci. Pollut. Res. 2022, 29, 37248–37265. [Google Scholar] [CrossRef] [PubMed]










| Enzyme Name | Primer (5′-3′) | |
|---|---|---|
| Seita.7G294000 | β-Actin-F | CAGTGGACGCACAACAGGTAT |
| β-Actin-R | AGCAAGGTCAAGACGGAG AAT | |
| Seita.4G175200 | PEPC-F PEPC-R | TGCGTGCTGGAATGAGTTACT CCAATAAGCATACATCCCGTG |
| Seita.2G137100.1 | NADP-MDH-F NADP-MDH-R | ACGGCAAGCCAGCGAAAC AGTCGCCATCGCCCTTTG |
| Seita.2G322000.1 | NADP-ME-F NADP-ME-R | GAGAGCTCTGTTTGCTATTTCG TCAAGGCTGCTTGCTTTATAAC |
| Seita.3G247900.1 | PPDK-F | TCTCGAACGGCACGATGACC |
| PPDK-R | CGGACTCGGAGCGAACCAC | |
| Seita.J020800.1 | Rubisco(rbcL)-F | TTGAAGAGGGTTCTGTTAC |
| Rubisco(rbcL)-R | ACTTGGATACCGTGAGGC | |
| Seita.3G312200.1 | Rubisco(RBCS)-F | CACCTCCGTCGCTCCATT |
| Rubisco(RBCS)-R | CGAACCCAACCTTGCTGAAC | |
| Seita.4G031200.1 | SOD-F | AGGGTGGTCTGTCTCGTA |
| SOD-R | CCTGTGCTGCATTGTTAT | |
| Seita.1G022400.1 | POD-F | ACCTTGTTCACCGTCCCACC |
| POD-R | CGTCCGTGTTGATGTCCAGAA | |
| Seita.1G117500.1 | CAT-F | ACTCCGACGACAAGATGCTGC |
| CAT-R | GCGAACCTCCTCACGAACC |
Disclaimer/Publisher’s Note: The statements, opinions and data contained in all publications are solely those of the individual author(s) and contributor(s) and not of MDPI and/or the editor(s). MDPI and/or the editor(s) disclaim responsibility for any injury to people or property resulting from any ideas, methods, instructions or products referred to in the content. |
© 2026 by the authors. Licensee MDPI, Basel, Switzerland. This article is an open access article distributed under the terms and conditions of the Creative Commons Attribution (CC BY) license.
Share and Cite
Li, L.; Jing, T.; Lin, X.; Zhuang, Y.; Wang, Y.; Liu, D.; Du, H.; Li, X. The Effect of Sethoxydim Herbicide on the Physiological Parameters, Photosynthetic Enzymes and Antioxidant System in Foxtail Millet. Plants 2026, 15, 511. https://doi.org/10.3390/plants15030511
Li L, Jing T, Lin X, Zhuang Y, Wang Y, Liu D, Du H, Li X. The Effect of Sethoxydim Herbicide on the Physiological Parameters, Photosynthetic Enzymes and Antioxidant System in Foxtail Millet. Plants. 2026; 15(3):511. https://doi.org/10.3390/plants15030511
Chicago/Turabian StyleLi, Lizhi, Tao Jing, Xikai Lin, Yue Zhuang, Yiru Wang, Dan Liu, Huiling Du, and Xiaorui Li. 2026. "The Effect of Sethoxydim Herbicide on the Physiological Parameters, Photosynthetic Enzymes and Antioxidant System in Foxtail Millet" Plants 15, no. 3: 511. https://doi.org/10.3390/plants15030511
APA StyleLi, L., Jing, T., Lin, X., Zhuang, Y., Wang, Y., Liu, D., Du, H., & Li, X. (2026). The Effect of Sethoxydim Herbicide on the Physiological Parameters, Photosynthetic Enzymes and Antioxidant System in Foxtail Millet. Plants, 15(3), 511. https://doi.org/10.3390/plants15030511

