A Protocol to Shorten Rice Growth Cycle in Plant Factories: An Integrated Study of Light, Planting Density and Phytohormone Regulation
Abstract
1. Introduction
2. Results
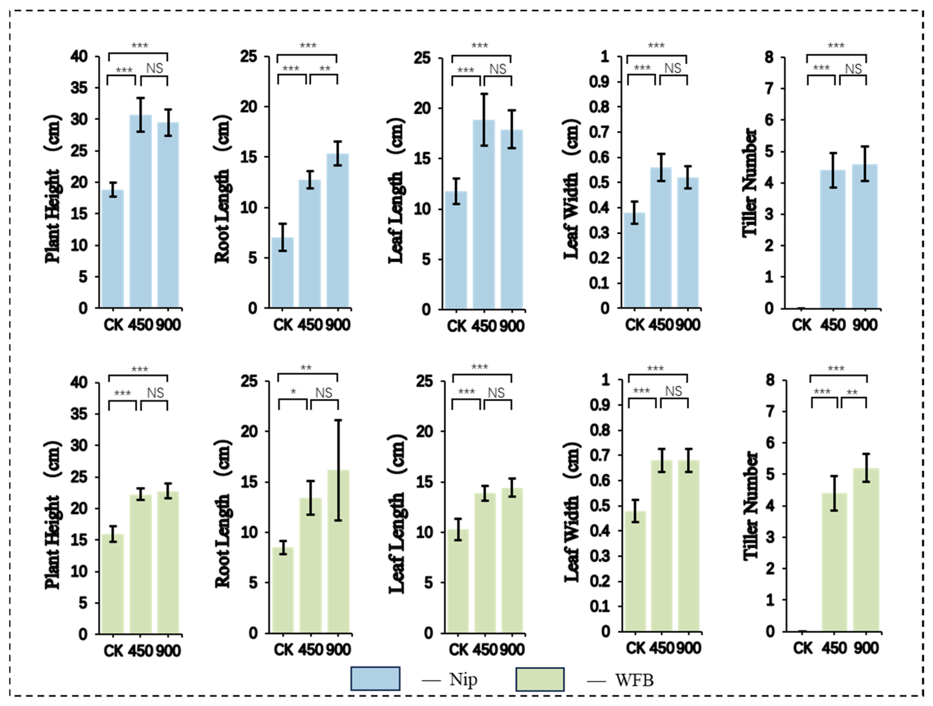
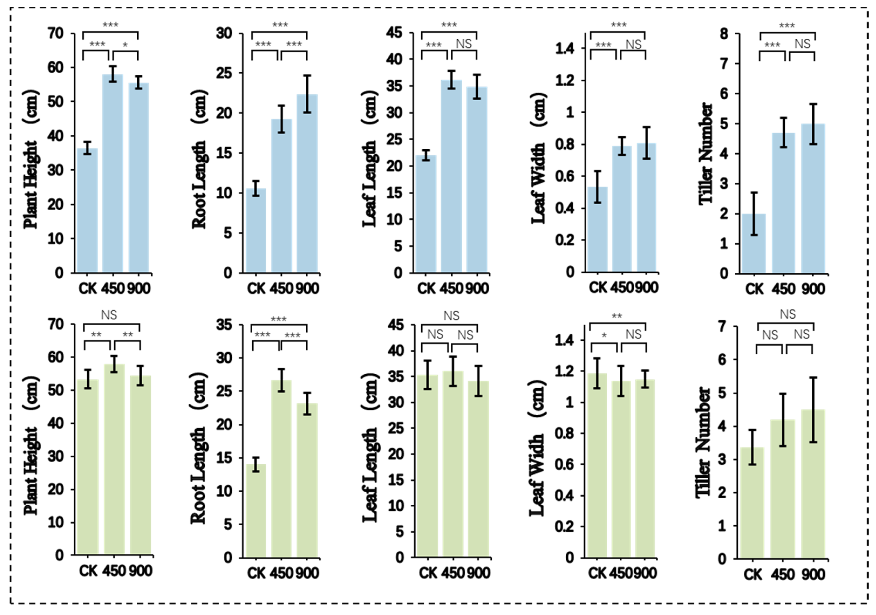
2.1. Effects of LED Light Intensity on Morphogenesis at Different Rice Growth Stages
2.2. Growth Responses of Rice to Different Planting Densities Under the LED-SB Platform
2.3. Variation in Growth Duration of Rice Seedlings at Different Ages Following Short-Day Induction in the LED-SB Platform
2.4. GA3 Treatment Promotes Germination of Early-Harvested Seeds
3. Discussion
3.1. Light Intensity Significantly Regulates Morphogenesis Across Rice Growth Stages
3.2. Rice Seedlings Exhibit Significant Variation in Photoperiod Sensitivity Onset Across Different Ages
3.3. Seedling Tray Planting Density Modulates Rice Growth and Development in the LED-SB Platform
3.4. Integration of Light, Planting Density, and Phytohormone Regulation Significantly Shortens the Total Growth Duration in Rice
3.5. Integration of LED-SB Technology with Molecular Breeding: A Framework for Accelerated Rice Improvement
4. Materials and Methods
4.1. Plant Materials
4.2. Seed Treatment and Transplantation
4.3. Cultivation Management
4.4. Experimental Treatments
4.5. Light Environmental Conditions
4.6. Data Analysis
5. Conclusions
Author Contributions
Funding
Data Availability Statement
Acknowledgments
Conflicts of Interest
References
- Hickey, L.T.; Hafeez, A.N.; Robinson, H.; Jackson, S.A.; Leal-Bertioli, S.C.M.; Tester, M.; Gao, C.; Godwin, I.D.; Hayes, B.J.; Wulff, B.B.H. breeding crops to feed 10 billion. Nat. Biotechnol. 2019, 37, 744–754. [Google Scholar] [CrossRef] [PubMed]
- Watson, A.; Ghosh, S.; Williams, M.J.; Cuddy, W.S.; Simmonds, J.; Rey, M.-D.; Asyraf Md Hatta, M.; Hinchliffe, A.; Steed, A.; Reynolds, D.; et al. Speed breeding is a powerful tool to accelerate crop research and breeding. Nat. Plants 2018, 4, 23–29. [Google Scholar] [CrossRef] [PubMed]
- Liu, Y.; Li, Z.-G.; Cheng, H.; Yang, X.; Li, M.-Y.; Liu, H.-Y.; Gan, R.-Y.; Yang, Q.-C. Plant factory speed breeding significantly shortens rice generation time and enhances metabolic diversity. Engineering 2025, 50, 259–269. [Google Scholar] [CrossRef]
- Dsouza, A.; Newman, L.; Graham, T.; Fraser, E.D.G. Exploring the landscape of controlled environment agriculture research: A systematic scoping review of trends and topics. Agric. Syst. 2023, 209, 103673. [Google Scholar] [CrossRef]
- Jang, I.T.; Lee, J.H.; Shin, E.J.; Nam, S.Y. Evaluation of growth, flowering, and chlorophyll fluorescence responses of Viola cornuta cv. penny red wing according to spectral power distributions. J. People Plants Environ. 2023, 26, 335–349. [Google Scholar] [CrossRef]
- Miao, C.; Yang, S.J.; Xu, J.; Wang, H.; Zhang, Y.X.; Cui, J.W.; Zhang, H.M.; Jin, H.J.; Lu, P.L.; He, L.Z.; et al. Effects of light intensity on growth and quality of lettuce and spinach cultivars in a plant factory. Plants 2023, 12, 3337. [Google Scholar] [CrossRef]
- Kang, J.H.; KrishnaKumar, S.; Atulba, S.L.S.; Jeong, B.R.; Hwang, S.J. Light intensity and photoperiod influence the growth and development of hydroponically grown leaf lettuce in a closed-type plant factory system. Hortic. Environ. Biotechnol. 2013, 54, 501–509. [Google Scholar] [CrossRef]
- Thongtip, A.; Mosaleeyanon, K.; Korinsak, S.; Toojinda, T.; Darwell, C.T.; Chutimanukul, P.; Chutimanukul, P. Promotion of seed germination and early plant growth by KNO3 and light spectra in Ocimum tenuiflorum using a plant factory. Sci. Rep. 2022, 12, 6995. [Google Scholar] [CrossRef]
- Zheng, J.F.; Ji, F.; He, D.X.; Niu, G.H. Effect of light intensity on rooting and growth of hydroponic strawberry runner plants in a led plant factory. Agronomy 2019, 9, 875. [Google Scholar] [CrossRef]
- He, R.; Ju, J.; Liu, K.Z.; Song, J.L.; Zhang, S.C.; Zhang, M.G.; Hu, Y.Z.; Liu, X.J.; Li, Y.M.; Liu, H.C. Technology of plant factory for vegetable crop speed breeding. Front. Plant Sci. 2024, 15, 1414860. [Google Scholar] [CrossRef]
- Song, Y.; Duan, X.; Wang, P.; Li, X.; Yuan, X.; Wang, Z.; Wan, L.; Yang, G.; Hong, D. Comprehensive speed breeding: A high-throughput and rapid generation system for long-day crops. Plant Biotechnol. J. 2021, 20, 13–15. [Google Scholar] [CrossRef] [PubMed]
- Cha, J.-K.; Park, H.; Choi, C.; Kwon, Y.; Lee, S.-M.; Oh, K.-W.; Ko, J.-M.; Kwon, S.-W.; Lee, J.-H. Acceleration of wheat breeding: Enhancing efficiency and practical application of the speed breeding system. Plant Methods 2023, 19, 118. [Google Scholar] [CrossRef] [PubMed]
- Schilling, S.; Melzer, R.; Dowling, C.A.; Shi, J.; Muldoon, S.; McCabe, P.F. A protocol for rapid generation cycling (speed breeding) of hemp (Cannabis sativa) for research and agriculture. Plant J. 2022, 113, 437–445. [Google Scholar] [CrossRef] [PubMed]
- Rana, M.M.; Takamatsu, T.; Baslam, M.; Kaneko, K.; Itoh, K.; Harada, N.; Sugiyama, T.; Ohnishi, T.; Kinoshita, T.; Takagi, H.; et al. Salt tolerance improvement in rice through efficient SNP marker-assisted selection coupled with speed-breeding. Int. J. Mol. Sci. 2019, 20, 2585. [Google Scholar] [CrossRef]
- Kabade, P.G.; Dixit, S.; Singh, U.M.; Alam, S.; Bhosale, S.; Kumar, S.; Singh, S.K.; Badri, J.; Varma, N.R.G.; Chetia, S.; et al. SpeedFlower: A comprehensive speed breeding protocol for indica and japonica rice. Plant Biotechnol. J. 2023, 22, 1051–1066. [Google Scholar] [CrossRef]
- Sandhu, N.; Singh, J.; Pruthi, G.; Verma, V.K.; Raigar, O.P.; Bains, N.S.; Chhuneja, P.; Kumar, A. SpeedyPaddy: A revolutionized cost-effective protocol for large scale offseason advancement of rice germplasm. Plant Methods 2024, 20, 109. [Google Scholar] [CrossRef]
- Jähne, F.; Hahn, V.; Würschum, T.; Leiser, W.L. Speed breeding short-day crops by LED-controlled light schemes. Theor. Appl. Genet. 2020, 133, 2335–2342. [Google Scholar] [CrossRef]
- Shafiq, I.; Hussain, S.; Raza, M.A.; Iqbal, N.; Asghar, M.A.; Raza, A.; Fan, Y.-f.; Mumtaz, M.; Shoaib, M.; Ansar, M.; et al. Crop photosynthetic response to light quality and light intensity. J. Integr. Agric. 2021, 20, 4–23. [Google Scholar] [CrossRef]
- Vicentini, G.; Biancucci, M.; Mineri, L.; Chirivì, D.; Giaume, F.; Miao, Y.; Kyozuka, J.; Brambilla, V.; Betti, C.; Fornara, F. Environmental control of rice flowering time. Plant Commun. 2023, 4, 100610. [Google Scholar] [CrossRef]
- Yamori, W. Photosynthetic response to fluctuating environments and photoprotective strategies under abiotic stress. J. Plant Res. 2016, 129, 379–395. [Google Scholar] [CrossRef]
- Huber, M.; Nieuwendijk, N.M.; Pantazopoulou, C.K.; Pierik, R. Light signalling shapes plant–plant interactions in dense canopies. Plant Cell Environ. 2020, 44, 1014–1029. [Google Scholar] [CrossRef]
- Ghosh, S.; Watson, A.; Gonzalez-Navarro, O.E.; Ramirez-Gonzalez, R.H.; Yanes, L.; Mendoza-Suárez, M.; Simmonds, J.; Wells, R.; Rayner, T.; Green, P.; et al. Speed breeding in growth chambers and glasshouses for crop breeding and model plant research. Nat. Protoc. 2018, 13, 2944–2963. [Google Scholar] [CrossRef]
- Lan, T.; Du, L.; Wang, X.; Zhan, X.; Liu, Q.; Wei, G.; Lyu, C.; Liu, F.; Gao, J.; Feng, D.; et al. Synergistic effects of planting density and nitrogen fertilization on chlorophyll degradation and leaf senescence after silking in maize. Crop J. 2024, 12, 605–613. [Google Scholar] [CrossRef]
- Rajendran, A.; Ramlal, A.; Raju, D.; Saini, M.; Bishnoi, P.; Subramaniam, S. Photoperiod-mediated rapid generation advancement in soybean (Glycine max (L.) Merr.). Photosynth. Res. 2025, 163, 24. [Google Scholar] [CrossRef]
- Taku, M.; Saini, M.; Kumar, R.; Debbarma, P.; Rathod, N.K.K.; Onteddu, R.; Sharma, D.; Pandey, R.; Gaikwad, K.; Lal, S.K.; et al. Modified speed breeding approach reduced breeding cycle to less than half in vegetable soybean [Glycine max (L.) Merr.]. Physiol. Mol. Biol. Plants 2024, 30, 1463–1473. [Google Scholar] [CrossRef]
- Wang, G.; Sun, Z.; Yang, J.; Ma, Q.; Wang, X.; Ke, H.; Huang, X.; Zhang, L.; Wang, G.; Gu, Q.; et al. The speed breeding technology of five generations per year in cotton. Theor. Appl. Genet. 2025, 138, 79. [Google Scholar] [CrossRef]
- Pierroz, G. Need for speed: A breakthrough speed breeding protocol for hemp. Plant J. 2023, 113, 435–436. [Google Scholar] [CrossRef]









| Traits | Planting Density (PD) | p-Value | |||
|---|---|---|---|---|---|
| PD-25 | PD-30 | PD-50 | PD-100 | ||
| Plant height (cm, PH) | 75.16 ± 1.48 a | 66.24 ± 3.46 b | 62.48 ± 3.11 c | 61.16 ± 3.73 c | *** |
| Panicle length (cm, PL) | 21.87 ± 0.59 a | 20.88 ± 1.96 ab | 20.42 ± 1.24 b | 18.50 ± 1.82 c | *** |
| Panicle exsertion (cm, PE) | 3.55 ± 2.42 a | 1.95 ± 2.34 ab | −2.16 ± 1.96 b | 0.42 ± 1.17 c | *** |
| Panicle number (PN) | 3.4 ± 0.97 a | 1.9 ± 0.74 b | 1.7 ± 0.48 b | 1.00±0 c | *** |
| Tiller number (TN) | 5.30 ± 0.95 a | 3.70 ± 0.82 b | 3.20 ± 0.79 b | 1.60 ± 0.70 c | *** |
| Heading date (HD) | 70.70 ± 2.58 c | 81.44 ± 1.33 a | 77.89 ± 1.76 b | 81.30 ± 1.89 a | *** |
| Spikelets per panicle (SPP) | 145.80 ± 21.07 a | 128.67 ± 15.13 a | 99.11 ± 14.02 b | 95.40 ± 21.18 b | *** |
| Number of filled grains (NOFG) | 129.10 ± 21.62 a | 109.67 ± 16.05 b | 74.67 ± 11.02 c | 59.80 ± 12.88 c | *** |
| Number of empty grains (NOEG) | 16.70 ± 7.32 b | 19.00 ± 10.64 b | 24.44 ± 13.99 ab | 35.60 ± 16.80 a | * |
| Seed setting rate (%, SSR) | 0.88 ± 0.05 a | 0.85 ± 0.08 a | 0.76 ± 0.11 b | 0.64 ± 0.11 c | *** |
| Grain yield per plant (g, GYPP) | 2.22 ± 0.36 a | 1.48 ± 0.22 b | 0.82 ± 0.20 c | 0.46 ± 0.12 d | *** |
| Thousand-grain weight (g, TGW) | 21.18 ± 0.93 a | 20.62 ± 0.25 a | 18.00 ± 0.44 b | 17.06 ± 0.65 b | *** |
| Group | SG | Vegetative Phase | Heading Days | One Generation in Field and LED-SB | |
|---|---|---|---|---|---|
| BVP | PSP | ||||
| CK-Nip | 2 | Natural Light | 65.73 ± 1.03 a | 100.73 | |
| 450-Nip | 2 | 15 (450 PPFD) | 15 DAS–HD (900 PPFD) | 51.40 ± 0.74 b | 65.4 |
| 450–900-Nip | 2 | 15 (450 PPFD) | 15 DAS–HD (900 PPFD) | 50.80 ± 0.68 b | 64.8 |
| CK-WFB | 2 | Natural Light | 78.20 ± 1.26 a | 113.2 | |
| 450-WFB | 2 | 15 (450 PPFD) | 15 DAS–HD (900 PPFD) | 55.53 ± 0.83 b | 69.53 |
| 450–900-WFB | 2 | 15 (450 PPFD) | 15 DAS–HD (900 PPFD) | 55.20 ± 0.94 b | 69.2 |
| NL-900-Nip | 2 | 9-NL | 9 DAS–HD (900 PPFD) | 39.8 ± 1.30 | 53.8 |
Disclaimer/Publisher’s Note: The statements, opinions and data contained in all publications are solely those of the individual author(s) and contributor(s) and not of MDPI and/or the editor(s). MDPI and/or the editor(s) disclaim responsibility for any injury to people or property resulting from any ideas, methods, instructions or products referred to in the content. |
© 2026 by the authors. Licensee MDPI, Basel, Switzerland. This article is an open access article distributed under the terms and conditions of the Creative Commons Attribution (CC BY) license.
Share and Cite
Fu, G.; Zheng, P.; Wang, F.; Li, J.; Huo, X.; Xiao, Y.; Liao, Y.; Zhu, M.; Fu, C.; Zeng, X.; et al. A Protocol to Shorten Rice Growth Cycle in Plant Factories: An Integrated Study of Light, Planting Density and Phytohormone Regulation. Plants 2026, 15, 343. https://doi.org/10.3390/plants15030343
Fu G, Zheng P, Wang F, Li J, Huo X, Xiao Y, Liao Y, Zhu M, Fu C, Zeng X, et al. A Protocol to Shorten Rice Growth Cycle in Plant Factories: An Integrated Study of Light, Planting Density and Phytohormone Regulation. Plants. 2026; 15(3):343. https://doi.org/10.3390/plants15030343
Chicago/Turabian StyleFu, Gongzhen, Pengtao Zheng, Feng Wang, Jinhua Li, Xing Huo, Yanxia Xiao, Yilong Liao, Manshan Zhu, Chongyun Fu, Xueqin Zeng, and et al. 2026. "A Protocol to Shorten Rice Growth Cycle in Plant Factories: An Integrated Study of Light, Planting Density and Phytohormone Regulation" Plants 15, no. 3: 343. https://doi.org/10.3390/plants15030343
APA StyleFu, G., Zheng, P., Wang, F., Li, J., Huo, X., Xiao, Y., Liao, Y., Zhu, M., Fu, C., Zeng, X., Ma, X., Kong, L., Chen, L., Hou, X., Liu, W., & Liu, D. (2026). A Protocol to Shorten Rice Growth Cycle in Plant Factories: An Integrated Study of Light, Planting Density and Phytohormone Regulation. Plants, 15(3), 343. https://doi.org/10.3390/plants15030343
