Bulb-Priming Followed by Foliar Magnetite Nanoparticle Applications Improve Growth, Bulb Yield, Antioxidant Activities, and Iron Fortification in Shallot in Semi-Arid Regions
Abstract
1. Introduction
2. Results
2.1. Magnetite Nanoparticle Characterization
2.2. Effects on Leaf Subcellular Structures
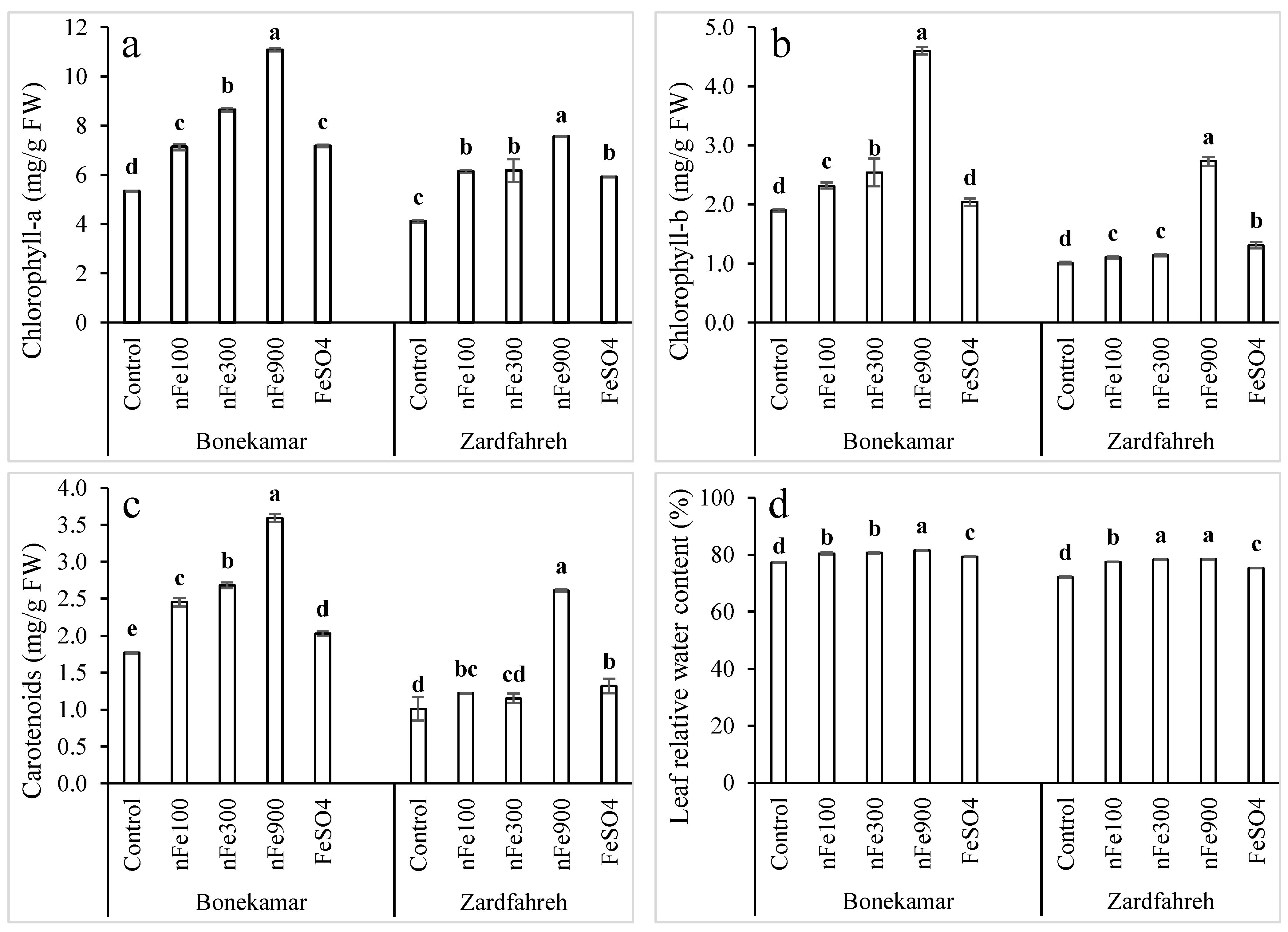
2.3. Effects on Chlorophyll
2.4. Effects on Carotenoids
2.5. Effects on Leaf Relative Water Content
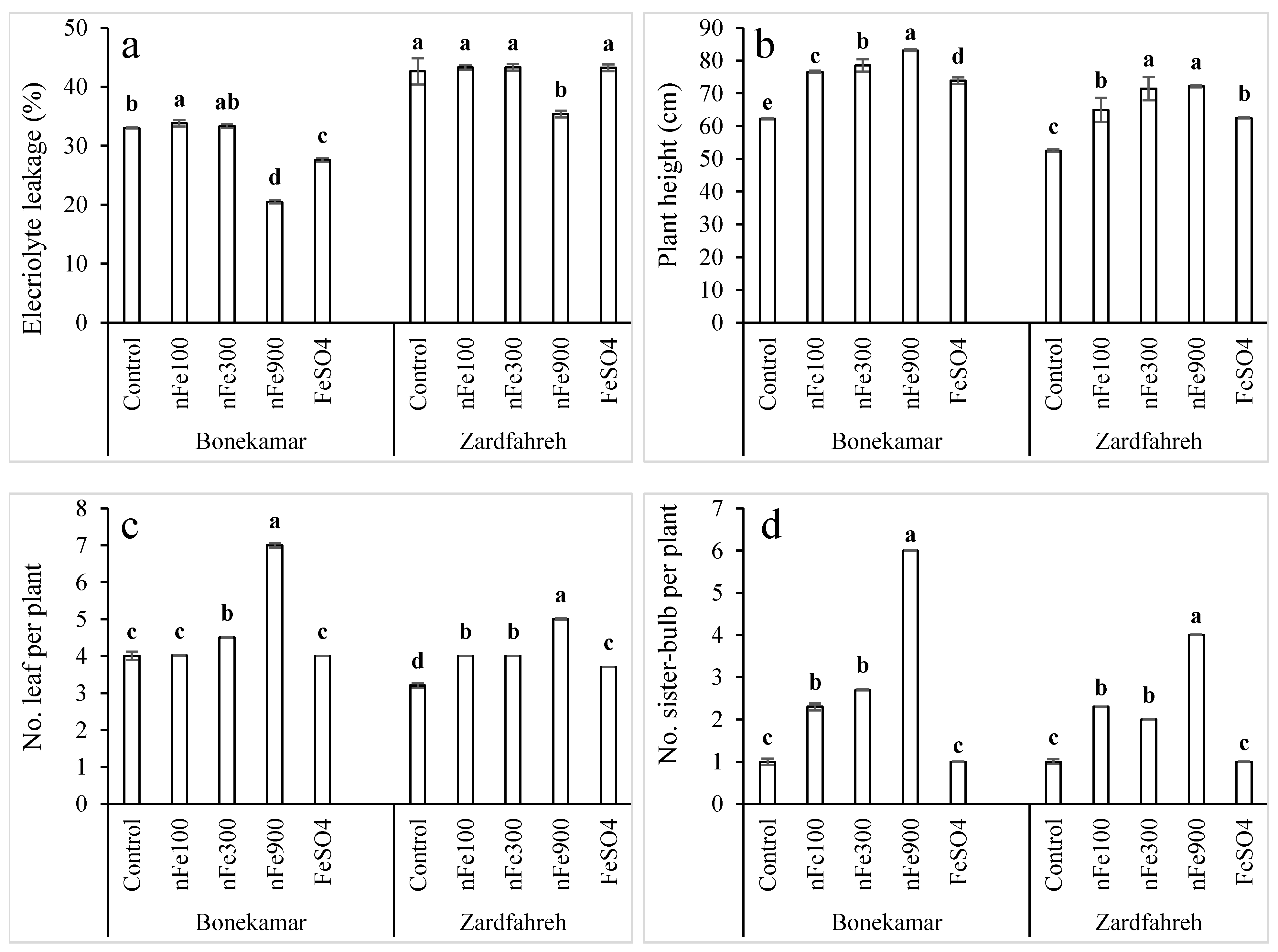
2.6. Effects on Electrolyte Leakage
2.7. Effects on Plant Height
2.8. Effects on Leaf Number
2.9. Effects on Sister Bulb Number
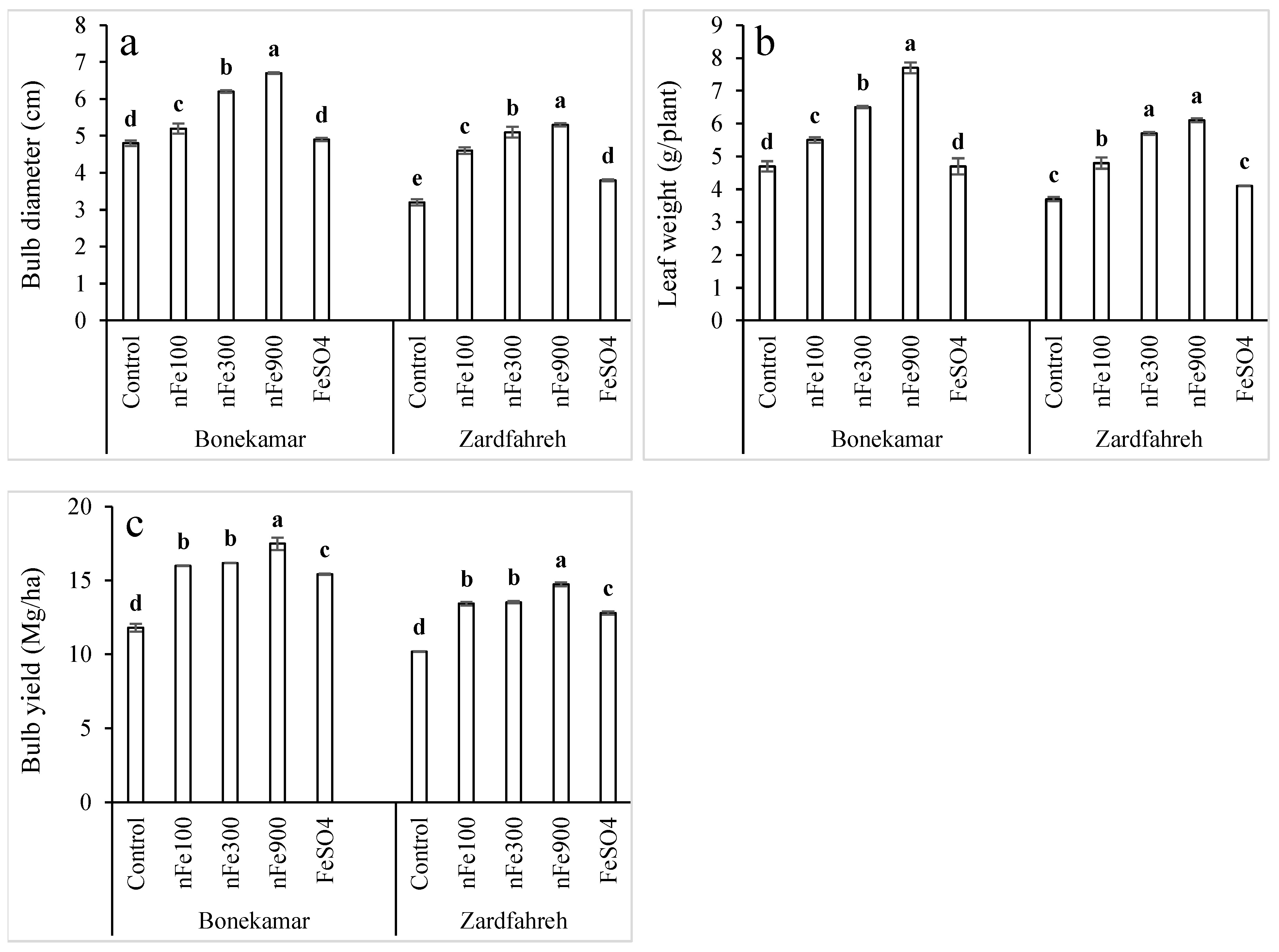
2.10. Effects on Bulb Diameter
2.11. Effects on Leaf Weight
2.12. Effects on Bulb Yield
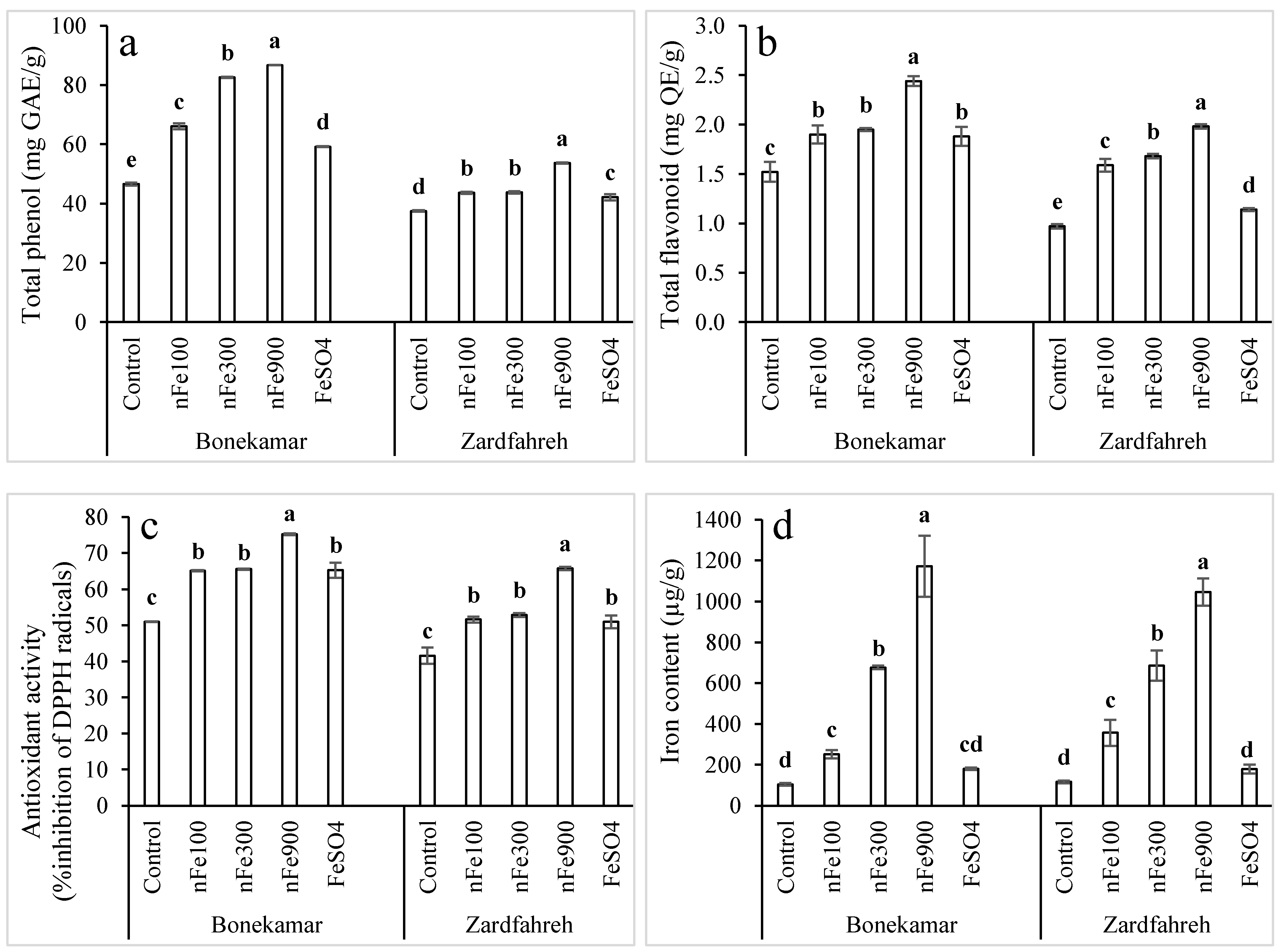
2.13. Effects on Bulb Total Phenol Content
2.14. Effects on Bulb Total Flavonoid Content
2.15. Effects on Bulb Antioxidant Activity
2.16. Effects on Bulb Fe Fortification
3. Discussion
4. Materials and Methods
4.1. Material Preparation
4.2. Experimental Design and Treatment
4.3. Measurement of Traits
4.3.1. Subcellular Structure
4.3.2. Vegetative Traits and Yield
4.3.3. Photosynthetic Pigments
4.3.4. Leaf Relative Water Content
4.3.5. Electrolyte Leakage
4.3.6. Antioxidant Activity
4.3.7. Total Phenol
4.3.8. Total Flavonoid
4.3.9. Determination of Bulb Iron Content
4.4. Statistical Analysis
5. Conclusions
Supplementary Materials
Author Contributions
Funding
Data Availability Statement
Acknowledgments
Conflicts of Interest
References
- Yang, Y.; Tilman, D.; Jin, Z.; Smith, P.; Barrett, C.B.; Zhu, Y.G.; Burney, J.; D’Odorico, P.; Fantke, P.; Fargione, J.; et al. Climate change exacerbates the environmental impacts of agriculture. Science 2024, 385, 1058. [Google Scholar] [CrossRef]
- van Dijk, M.; Morley, T.; Rau, M.L.; Saghai, Y. A meta-analysis of projected global food demand and population at risk of hunger for the period 2010–2050. Nat. Food 2021, 2, 494–501. [Google Scholar] [CrossRef]
- Jiao, L.; Cao, X.; Wang, C.; Chen, F.; Zou, H.; Yue, L.; Wang, Z. Crosstalk between in situ root exudates and rhizobacteria to promote rice growth by selenium nanomaterials. Sci. Total Environ. 2023, 878, 163175. [Google Scholar] [CrossRef]
- UNDP. United Nations Development Programme. Available online: https://www.undp.org/sustainable-development-goals/zero-hunger (accessed on 28 November 2025).
- Hui, X.; Luo, L.; Chen, Y.; Palta, J.A.; Wang, Z. Zinc agronomic biofortification in wheat and its drivers: A global meta-analysis. Nat. Commun. 2025, 16, 3913. [Google Scholar] [CrossRef] [PubMed]
- Zou, C.; Du, Y.; Rashid, A.; Ram, H.; Savasli, E.; Pieterse, P.J.; Ortiz-Monasterio, I.; Yazici, A.; Kaur, C.; Mahmood, K.; et al. Simultaneous biofortification of wheat with zinc, iodine, selenium, and iron through foliar treatment of a micronutrient cocktail in six countries. J. Agric. Food Chem. 2019, 67, 8096–8106. [Google Scholar] [CrossRef] [PubMed]
- Stehling, F.; Büscher, R.; Große-Onnebrink, J.; Hoyer, P.; Mellies, U. Glomerular and tubular renal function after repeated once-daily tobramycin courses in cystic fibrosis patients. Pulm. Med. 2017, 2017, 2602653. [Google Scholar] [CrossRef] [PubMed]
- Guliyeva, A.; Yeğit, C.; Yanaz, M.; Kalyoncu, M.; Selçuk, M.; Karabulut, Ş.; Karadağ, B. Effective pseudomonas aeruginosa eradication in cystic fibrosis: Multicenter study. Clin. Pediatr. 2025, 64, 1581–1588. [Google Scholar] [CrossRef]
- Assael, B.; Pressler, T.; Bilton, D.; Fayon, M.; Fischer, R.; Chiron, R.; Oermann, C. Inhaled aztreonam lysine vs. inhaled tobramycin in cystic fibrosis: A comparative efficacy trial. J. Cyst. Fibros. 2013, 12, 130–140. [Google Scholar] [CrossRef]
- Bakhtiari, S.; Moaveni, P.; Sani, B. The Effect of iron nanoparticles spraying time and concentration on wheat. Biol. Forum 2015, 7, 679–683. [Google Scholar]
- Moradbeygi, H.; Jamei, R.; Heidari, R.; Darvishzadeh, R. Investigating the enzymatic and non-enzymatic antioxidant defense by applying iron oxide nanoparticles in Dracocephalum moldavica L. plant under salinity stress. Sci. Hortic. 2020, 272, 109537. [Google Scholar] [CrossRef]
- Dola, D.B.; Mannan, M.A.; Sarker, U.; Mamun, M.A.A.; Islam, T.; Ercisli, S.; Saleem, M.H.; Ali, B.; Pop, O.L.; Marc, R.A. Nano-iron oxide accelerates growth, yield, and quality of Glycine max seed in water deficits. Front. Plant Sci. 2022, 13, 992535. [Google Scholar] [CrossRef]
- Mahmoud, A.W.M.; Ayad, A.A.; Abdel-Aziz, H.S.M.; Williams, L.L.; El-Shazoly, R.M.; Abdel-Wahab, A.; Abdeldaym, E.A. Foliar application of different iron sources improves morpho-physiological traits and nutritional quality of broad bean grown in sandy soil. Plants 2022, 11, 2599. [Google Scholar] [CrossRef]
- GutiéRrez-Ruelas, N.J.; Palacio-MáRquez, A.; SáNchez, E.; MuñOz-MáRquez, E.; CháVez-Mendoza, C.; Ojeda-Barrios, D.L.; Flores-CóRdova, M.A. Impact of the foliar application of nanoparticles, sulfate and iron chelate on the growth, yield and nitrogen assimilation in green beans. Not. Bot. Horti Agrobot. Cluj-Napoca 2021, 49, 12437. [Google Scholar] [CrossRef]
- Heidarian, F.; Fallah, S.; Pokhrel, L.R.; Rostamnejadi, A. Magnetite nanoparticles (Fe3O4NPs) promote drought tolerance and improve plant health, grain quality and yield in kidney bean (Phaseolus vulgaris L.). Sci. Total Environ. 2025, 964, 178544. [Google Scholar] [CrossRef] [PubMed]
- Khanizadeh, P.; Mumivand, H.; Morshedloo, M.R.; Maggi, F. Application of Fe2O3 nanoparticles improves the growth, antioxidant power, flavonoid content, and essential oil yield and composition of Dracocephalum kotschyi Boiss. Front. Plant Sci. 2024, 15, 1475284. [Google Scholar] [CrossRef] [PubMed]
- Hu, J.; Guo, H.; Li, J.; Wang, Y.; Xiao, L.; Xing, B. Interaction of γ-Fe2O3 nanoparticles with Citrus maxima leaves and the corresponding physiological effects via foliar application. J. Nanobiotechnol. 2017, 15, 51. [Google Scholar] [CrossRef]
- Borhani, M.; Sadeghzadeh, R. Investigation of vegetative characteristics of Allium hirtifolium in Isfahan province using logistic regression. J. Range Watershed Manage. 2019, 72, 1–15. [Google Scholar] [CrossRef]
- Rostami, M.; Mohammadi, H. Exogenous gibberellin and bulb size affect morpho-physiological traits and allicin content of Persian shallot (Allium hirtifolium boiss.). Eur. J. Hortic. Sci. 2022, 87, 3. [Google Scholar] [CrossRef]
- Mohammadiani, E.; Aliakbarlu, J.; Ownagh, A.; Kaboudari, A. Antifungal interactions of Persian shallot (Allium hirtifolium) extracts and potassium sorbate against Aspergillus flavus and Penicillium citrinum. Flavour Fragr. J. 2020, 36, 332–338. [Google Scholar] [CrossRef]
- Shahrajabian, M.; Sun, W.; Cheng, Q. Chinese onion, and shallot, originated in asia, medicinal plants for healthy daily recipes. Not. Sci. Biol. 2020, 12, 197–207. [Google Scholar] [CrossRef]
- Khaleghi, S. Ethyl acetate fraction of Allium hirtifolium improves functional parameters of isolated hearts of diabetic rats. Anatol. J. Cardiol. 2017, 17, 452–459. [Google Scholar] [CrossRef] [PubMed]
- Nekoukhou, M.; Fallah, S.; Pokhrel, L.R.; Abbasi-Surki, A.; Rostamnejadi, A. Foliar enrichment of copper oxide nanoparticles promotes biomass, photosynthetic pigments, and commercially valuable secondary metabolites and essential oils in dragonhead (Dracocephalum moldavica L.) under semi-arid conditions. Sci. Total Environ. 2023, 863, 160920. [Google Scholar] [CrossRef] [PubMed]
- Vaidya, S.; Deng, C.; Wang, Y.; Zuverza-Mena, N.; Dimkpa, C.; White, J.C. Nanotechnology in agriculture: A solution to global food insecurity in a changing climate? NanoImpact 2024, 34, 100502. [Google Scholar] [CrossRef] [PubMed]
- Fallah, S.; Ghalavand, A.; Raiesi, F. Soil chemical properties and growth and nutrient uptake of maize grown with different combinations of broiler litter and chemical fertilizer in a calcareous soil. Commun. Soil Sci. Plant Anal. 2013, 44, 3120–3136. [Google Scholar] [CrossRef]
- Zuluaga, M.Y.A.; Cardarelli, M.; Rouphael, Y.; Cesco, S.; Youry, P.; Colla, G. Iron nutrition in agriculture: From synthetic chelates to biochelates. Sci. Hortic. 2023, 312, 111833. [Google Scholar] [CrossRef]
- Pradeep, M.; Saxena, M.; Mondal, D.; Franklin, G. Do nanoparticles delivered to roots affect plant secondary metabolism? A comprehensive analysis in float seedling cultures of Hypericum perforatum L. Chemosphere 2024, 356, 141789. [Google Scholar] [CrossRef]
- Garza-Alonso, C.A.; Cadenas-Pliego, G.; Juárez-Maldonado, A.; González-Fuentes, J.A.; Tortella, G.; Benavides-Mendoza, A. Fe2O3 nanoparticles can replace Fe-EDTA fertilizer and boost the productivity and quality of Raphanus sativus in a soilless system. Sci. Hortic. 2023, 321, 112261. [Google Scholar] [CrossRef]
- Yousaf, N.; Sardar, M.F.; Ishfaq, M.; Yu, B.; Zhong, Y.; Zaman, F.; Zou, C. Insights in to iron-based nanoparticles (hematite and magnetite) improving the maize growth (Zea mays L.) and iron nutrition with low environmental impacts. Chemosphere 2024, 362, 142781. [Google Scholar] [CrossRef]
- Yusefi-Tanha, E.; Fallah, S.; Pokhrel, L.R.; Rostamnejadi, A. Addressing global food insecurity: Soil-applied zinc oxide nanoparticles promote yield attributes and seed nutrient quality in Glycine max L. Sci. Total Environ. 2023, 876, 162762. [Google Scholar] [CrossRef]
- Shirvani-Naghani, S.; Fallah, S.; Pokhrel, L.R.; Rostamnejadi, A. Drought stress mitigation and improved yield in Glycine max through foliar application of zinc oxide nanoparticles. Sci. Rep. 2024, 14, 27898. [Google Scholar] [CrossRef]
- Li, X.; Zhang, W.; Niu, D.; Liu, X. Effects of abiotic stress on chlorophyll metabolism. Plant Sci. 2024, 342, 112030. [Google Scholar] [CrossRef]
- Pérez-Gálvez, A.; Viera, I.; Roca, M. Carotenoids and chlorophylls as antioxidants. Antioxidants 2020, 9, 505. [Google Scholar] [CrossRef] [PubMed]
- El-Mogy, M.M.; Salama, A.M.; Mohamed, H.F.Y.; Abdelgawad, K.F.; Abdeldaym, E.A. Responding of long green pepper plants to different sources of foliar potassium fertiliser. Agric. Pol’nohospod. 2019, 65, 59–76. [Google Scholar] [CrossRef]
- Latowski, D.; Kuczyńska, P.; Strzałka, K. Xanthophyll cycle—A mechanism protecting plants against oxidative stress. Redox Rep. 2011, 16, 78–90. [Google Scholar] [CrossRef] [PubMed]
- Li, J.L.; Hu, J.; Xiao, L.; Wang, Y.Q.; Wang, X.L. Interaction mechanisms between a-Fe2O3, Fe2O3 and Fe3O4 nanoparticles and Citrus maxima seedlings. Sci. Total Environ. 2018, 625, 677–685. [Google Scholar] [CrossRef]
- Tombuloglu, G.; Tombuloglu, H.; Slimani, Y.; Almessiere, M.A.; Baykal, A.; Bostancioglu, S.M.; Kirat, G.; Ercan, I. Effects of foliar iron oxide nanoparticles (Fe3O4) application on photosynthetic parameters, distribution of mineral elements, magnetic behaviour, and photosynthetic genes in tomato (Solanum lycopersicum var. cerasiforme) plants. Plant Physiol. Biochem. 2024, 210, 108616. [Google Scholar] [CrossRef]
- Shahzad, R.; Koerniati, S.; Harlina, P.W.; Hastilestari, B.R.; Djalovic, I.; Prasad, P.V.V. Iron oxide nanoparticles enhance alkaline stress resilience in bell pepper by modulating photosynthetic capacity, membrane integrity, carbohydrate metabolism, and cellular antioxidant defense. BMC Plant Biol. 2025, 25, 170. [Google Scholar] [CrossRef]
- Gama, J.P.S.; Campos, F.G.; Riccardi, C.d.S.; Boaro, C.S.F. Iron oxide nanoparticles for photosynthetic recovery in iron-deficient ‘micro-tom’ tomato plants. Environments 2025, 12, 346. [Google Scholar] [CrossRef]
- Wang, H.; Kou, X.; Pei, Z.; Xiao, J.Q.; Shan, X.; Xing, B. Physiological effects of magnetite (Fe3O4) nanoparticles on perennial ryegrass (Lolium perenne L.) and pumpkin (Cucurbita mixta) plants. Nanotoxicology 2011, 5, 30–42. [Google Scholar] [CrossRef]
- Konate, A.; Wang, Y.Y.; He, X.; Adeel, M.; Zhang, P.; Ma, Y.H.; Ding, Y.Y.; Zhang, J.Z.; Yang, J.; Kiztio, S.; et al. Comparative effects of nano and bulk-Fe3O4 on the growth of cucumber (Cucumis sativus). Ecotoxicol. Environ. Saf. 2018, 165, 547–554. [Google Scholar] [CrossRef]
- Dong, J.; Jiang, Y.; Lyu, M.; Cao, C.; Li, X.; Xiong, X.; Lin, W.; Yang, Z.; Chen, G.; Yang, Y.; et al. Drought changes the trade-off strategy of root and arbuscular mycorrhizal fungi growth in a Subtropical Chinese Fir Plantation. Forests 2023, 14, 114. [Google Scholar] [CrossRef]
- Guo, Y.; Gan, Y.; White, J.C.; Zhang, X.; Wei, D.; Liang, J.; Song, C. Fe2O3 nanoparticles enhance soybean resistance to root rot by modulating metabolic pathways and defense response. Pestic. Biochem. Physiol. 2024, 208, 106252. [Google Scholar] [CrossRef] [PubMed]
- Ahmed, M.A.; Shafiei-Masouleh, S.S.; Mohsin, R.M.; Khalf Salih, Z.K. Foliar Application of iron oxide nanoparticles promotes growth, mineral contents, and medicinal qualities of Solidago virgaurea L. J. Soil Sci. Plant Nutr. 2023, 23, 2610–2624. [Google Scholar] [CrossRef]
- Ibrahem, N.; Latif, H.H.; Seif, M.; Mogazy, A.M. Impact of different crystal sizes of nano-iron oxide as fertilizer on wheat plants photosynthetic pigments content. Egypt. J. Chem. 2021, 64, 4635–4639. [Google Scholar] [CrossRef]
- Feng, Y.; Kreslavski, V.D.; Shmarev, A.N.; Ivanov, A.A.; Zharmukhamedov, S.K.; Kosobryukhov, A.; Yu, M.; Allakhverdiev, S.I.; Shabala, S. Effects of iron oxide nanoparticles (Fe3O4) on growth, photosynthesis, antioxidant activity and distribution of mineral elements in wheat (Triticum aestivum) plants. Plants 2022, 11, 1894. [Google Scholar] [CrossRef] [PubMed]
- Liu, H.; Yang, L.; Li, N.; Zhou, C.; Feng, H.; Yang, J.; Han, X. Cadmium toxicity reduction in rice (Oryza sativa L.) through iron addition during primary reaction of photosynthesis. Ecotoxicol. Environ. Saf. 2020, 200, 110746. [Google Scholar] [CrossRef]
- Dhaliwal, S.S.; Sharma, V.; Shukla, A.K.; Verma, V.; Behera, S.K.; Singh, P.; Alotaibi, S.S.; Gaber, A.; Hossain, A. Comparative efficiency of mineral, chelated and nano forms of zinc and iron for improvement of zinc and iron in chickpea (Cicer arietinum L.) through biofortification. Agronomy 2021, 11, 2436. [Google Scholar] [CrossRef]
- Mahmoud, A.M.; Esmail, S.E.A.; El-Attar, A.B.; Othman, E.Z.; El-Bahbohy, R.M. Prospective practice for compound stress tolerance in thyme plants using nanoparticles and biochar for photosynthesis and biochemical ingredient stability. Agronomy 2022, 12, 1069. [Google Scholar] [CrossRef]
- Lasmini, S.A.; Kusuma, Z.; Santoso, M.; Abadi, A.L. Application of organic and inorganic fertilizer improving the quantity and quality of shallot yield on dry land. Int. J. Sci. Technol. Res. 2015, 4, 243–246. [Google Scholar]
- Rahayu, R.; Syamsiyah, J.; Cahyani, V.R.; Fauziah, S.K. The effects of biochar and compost on different cultivars of shallots (Allium ascalonicum L.) growth and nutrient uptake in sandy soil under saline water. ST-JSSA 2019, 16, 216–228. [Google Scholar] [CrossRef]
- Zhu, X.; Tian, S.; Cai, Z. Toxicity assessment of iron oxide nanoparticles in zebrafish (Danio rerio) early life stages. PLoS ONE 2012, 7, e46286. [Google Scholar] [CrossRef] [PubMed]
- Karlsson, H.; Cronholm, P.; Gustafsson, J.; Möller, L. Copper oxide nanoparticles are highly toxic: A comparison between metal oxide nanoparticles and carbon nanotubes. Chem. Res. Toxicol. 2008, 21, 1726–1732. [Google Scholar] [CrossRef] [PubMed]
- Coccini, T.; Simone, U.; Roccio, M.; Croce, S.; Lenta, E.; Zecca, M.; Spinillo, A.; Avanzini, M.A. In vitro toxicity screening of magnetite nanoparticles by applying mesenchymal stem cells derived from human umbilical cord lining. J. Appl. Toxicol. 2019, 39, 1320–1336. [Google Scholar] [CrossRef] [PubMed]
- Lichtenthaler, H.K.; Buschmann, C. Chlorophylls and carotenoids: Measurement and characterization by UV-VIS spectroscopy. In Current Protocols in Food Analytical Chemistry; Wrolstad, R.E., Ed.; Jhon Wiley and Sons, Inc.: New York, NY, USA, 2001; pp. 529–537. [Google Scholar]
- Martinez, J.P.; Silva, H.; Ledent, J.F.; Pinto, M. Effect of drought stress on the osmotic adjustment, cell wall elasticity and cell volume of six cultivars of common beans (Phaseolus vulgaris L.). Eur. J. Agron. 2007, 26, 30–38. [Google Scholar] [CrossRef]
- Dionisio-Sese, M.L.; Tobita, S. Antioxidant responses of rice seedlings to salinity stress. Plant Sci. 1998, 135, 1–9. [Google Scholar] [CrossRef]
- Gasmi, A.; Benabderrahim, M.A.; Guasmi, F.; Elfalleh, E.; Triki, T.; Zammouri, T.; Ferchichi, A. Phenolic profiling, sugar composition and antioxidant capacity of arta (Calligonum comosum L.), a wild Tunisian desert plant. Ind. Crops Prod. 2019, 130, 436–442. [Google Scholar] [CrossRef]
- Ebrahimzadeh, M.A.; Pourmorad, F.; Bekhradnia, A.R. Iron chelating activity, phenol and flavonoid content of some medicinal plants from Iran. Afr. J. Biotechnol. 2008, 7, 3188–3192. [Google Scholar]
- Marinova, D.; Ribarova, F.; Atanassova, M. Total phenolics and flavonoids in Bulgarian fruits and vegetables. J. Chem. Technol. Metall. 2005, 40, 255–260. [Google Scholar] [CrossRef]
- Ghasemi Siani, N.; Fallah, S.; Pokhrel, L.R.; Rostamnejadi, A. Natural amelioration of zinc oxide nanoparticles toxicity in fenugreek (Trigonella foenum-gracum) by arbuscular mycorrhizal (Glomus intraradices) secretion of glomalin. Plant Physiol. Biochem. 2017, 112, 227–238. [Google Scholar] [CrossRef]







| Cha | Chb | Car | RWC | EL | PH | LN | SN | BD | LW | BY | TP | TF | AA | IC | |
|---|---|---|---|---|---|---|---|---|---|---|---|---|---|---|---|
| Cha | 0.92 ** | 0.97 ** | 0.88 ** | −0.75 ** | 0.90 ** | 0.90 ** | 0.92 ** | 0.93 ** | 0.95 ** | 0.87 ** | 0.94 ** | 0.95 ** | 0.92 ** | 0.96 ** | |
| Chb | 0.76 ** | 0.9 ** | 0.73 ** | −0.83 ** | 0.73 ** | 0.99 ** | 0.97 ** | 0.87 ** | 0.92 ** | 0.68 ** | 0.77 ** | 0.89 ** | 0.79 ** | 0.92 ** | |
| Car | 0.77 ** | 0.99 ** | 0.88 ** | −0.67 ** | 0.87 ** | 0.92 ** | 0.97 ** | 0.94 ** | 0.98 ** | 0.83 ** | 0.92 ** | 0.93 *** | 0.87 ** | 0.96 ** | |
| RWC | 0.89 ** | 0.47 ns | 0.51 ns | −0.47 ns | 0.97 ** | 0.65 ** | 0.78 ** | 0.79 ** | 0.82 ** | 0.96 ** | 0.92 ** | 0.88 ** | 0.94 ** | 0.76 ** | |
| EL | −0.61 * | −0.94 ** | −0.91 ** | −0.35 ns | −0.54 * | −0.86 ** | −0.72 ** | −0.56 * | −0.62 * | −0.53 * | −0.47 ns | −0.78 ** | −0.70 ** | −0.70 ** | |
| PH | 0.87 ** | 0.52 * | 0.52 * | 0.89 ** | −0.41 ns | 0.66 ** | 0.76 ** | 0.78 ** | 0.81 ** | 0.99 ** | 0.92 ** | 0.89 ** | 0.96 ** | 0.79 ** | |
| LN | 0.95 ** | 0.88 ** | 0.89 ** | 0.83 ** | −0.79 ** | 0.80 ** | 0.95 ** | 0.85 ** | 0.90 ** | 0.61 * | 0.73 ** | 0.87 ** | 0.79 ** | 0.93 ** | |
| SN | 0.82 ** | 0.83 ** | 0.84 ** | 0.72 ** | −0.80 ** | 0.68 ** | 0.94 ** | 0.90 ** | 0.94 ** | 0.71 ** | 0.82 ** | 0.90 ** | 0.79 ** | 0.94 ** | |
| BD | 0.87 ** | 0.57 * | 0.59 * | 0.96 ** | −0.48 ns | 0.90 ** | 0.87 ** | 0.82 ** | 0.98 ** | 0.72 ** | 0.94 ** | 0.82 ** | 0.74 ** | 0.97 ** | |
| LW | 0.64 * | 0. 50 ns | 0.47 ns | 0.68 ** | −0.54 * | 0.62 * | 0.68 ** | 0.63 * | 0.69 ** | 0.76 ** | 0.93 ** | 0.87 ** | 0.79 ** | 0.97 ** | |
| BY | 0.97 ** | 0.65 * | 0.68 ** | 0.95 ** | −0.51 ns | 0.88 ** | 0.91 ** | 0.78 ** | 0.91 ** | 0.67 * | 0.89 ** | 0.88 ** | 0.96 ** | 0.73 ** | |
| TP | 0.93 ** | 0.92 ** | 0.93 ** | 0.77 ** | −0.82 ** | 0.77 ** | 0.99 ** | 0.92 ** | 0.82 ** | 0.65 * | 0.88 ** | 0.85 ** | 0.86 ** | 0.90 ** | |
| TF | 0.87 ** | 0.89 ** | 0.70 ** | 0.93 ** | −0.60 * | 0.85 ** | 0.93 ** | 0.92 ** | 0.97 ** | 0.71 ** | 0.90 ** | 0.89 ** | 0.93 ** | 0.88 ** | |
| AA | 0.95 ** | 0.88 ** | 0.88 ** | 0.80 ** | −0.78 ** | 0.80 ** | 0.98 ** | 0.89 ** | 0.84 ** | 0.67 ** | 0.91 ** | 0.98 ** | 0.88 ** | 0.79 ** | |
| IC | 0.82 ** | 0.80 ** | 0.80 ** | 0.79 ** | −0.76 ** | 0.78 ** | 0.92 ** | 0.90 ** | 0.90 ** | 0.72 ** | 0.80 ** | 0.91 ** | 0.93 ** | 0.89 ** |
| Air Temperature (°C) | Relative Humidity (%) | Rainfall (mm) | ||||||||
|---|---|---|---|---|---|---|---|---|---|---|
| Month | Min. | Max. | Mean | |||||||
| B | Z | B | Z | B | Z | B | Z | B | Z | |
| October | 8.8 | 9.2 | 21.2 | 21.6 | 15.0 | 15.4 | 31.5 | 33.5 | 3.8 | 5.3 |
| November | 3.8 | 2.8 | 15.3 | 15.1 | 9.4 | 9.0 | 46.5 | 51.0 | 52.9 | 68.8 |
| December | −0.4 | −1.1 | 11.5 | 11.8 | 5.6 | 5.4 | 35.0 | 39.0 | 16.1 | 18.5 |
| January | −0.9 | −2.2 | 8.4 | 8.7 | 3.8 | 3.3 | 43.5 | 50.0 | 6.5 | 10.5 |
| February | −3.6 | −4.7 | 5.7 | 7.0 | 1.0 | 1.2 | 51.5 | 56.5 | 90.0 | 129 |
| March | −3.5 | −4.0 | 6.3 | 7.9 | 1.4 | 2.0 | 52.5 | 56.0 | 133 | 75.7 |
| April | 1.5 | 1.1 | 12.9 | 13.0 | 7.2 | 7.05 | 46.0 | 52.5 | 90.4 | 154 |
| May | 6.2 | 5.4 | 16.7 | 17.2 | 11.4 | 11.3 | 49.5 | 53.5 | 96.1 | 86.2 |
| June | 10.9 | 10.1 | 25.6 | 25.8 | 18.2 | 17.95 | 34.0 | 38.0 | 7.1 | 10.6 |
| July | 15.4 | 14.3 | 30.9 | 30.4 | 23.2 | 22.35 | 25.0 | 26.5 | 0.6 | 0.0 |
| August | 17.7 | 16.4 | 32.9 | 32.8 | 25.3 | 24.6 | 22.5 | 24.5 | 1.7 | 0.0 |
| September | 12.9 | 13.1 | 28.3 | 29.4 | 20.6 | 21.25 | 22.5 | 24.0 | 0.5 | 0.0 |
| October | 8.9 | 8.5 | 22.3 | 22.7 | 15.6 | 15.6 | 29.0 | 31.5 | 3.0 | 0.0 |
| November | 4.3 | 3.6 | 13.8 | 13.9 | 9.0 | 8.75 | 47.0 | 51.0 | 32.7 | 62.9 |
| Parameter | Unit | Bonekamar | Zardfahreh |
|---|---|---|---|
| Texture | Clay loam | Sandy loam | |
| EC | µS/cm | 600 | 1200 |
| pH | - | 7.8 | 8.2 |
| Total nitrogen | g/kg | 1.3 | 0.5 |
| Phosphorus # | mg/kg | 12 | 6.0 |
| Potassium # | mg/kg | 220 | 180 |
| OC | g/kg | 12 | 5.0 |
| Iron # | mg/kg | 3.5 | 2.8 |
| Zinc # | mg/kg | 0.25 | 0.18 |
| Copper # | mg/kg | 0.8 | 0.5 |
| Manganese # | mg/kg | 4.5 | 3.2 |
Disclaimer/Publisher’s Note: The statements, opinions and data contained in all publications are solely those of the individual author(s) and contributor(s) and not of MDPI and/or the editor(s). MDPI and/or the editor(s) disclaim responsibility for any injury to people or property resulting from any ideas, methods, instructions or products referred to in the content. |
© 2026 by the authors. Licensee MDPI, Basel, Switzerland. This article is an open access article distributed under the terms and conditions of the Creative Commons Attribution (CC BY) license.
Share and Cite
Moguee, S.; Fallah, S.; Pokhrel, L.R.; Adavi, Z. Bulb-Priming Followed by Foliar Magnetite Nanoparticle Applications Improve Growth, Bulb Yield, Antioxidant Activities, and Iron Fortification in Shallot in Semi-Arid Regions. Plants 2026, 15, 279. https://doi.org/10.3390/plants15020279
Moguee S, Fallah S, Pokhrel LR, Adavi Z. Bulb-Priming Followed by Foliar Magnetite Nanoparticle Applications Improve Growth, Bulb Yield, Antioxidant Activities, and Iron Fortification in Shallot in Semi-Arid Regions. Plants. 2026; 15(2):279. https://doi.org/10.3390/plants15020279
Chicago/Turabian StyleMoguee, Soroush, Sina Fallah, Lok R. Pokhrel, and Zohrab Adavi. 2026. "Bulb-Priming Followed by Foliar Magnetite Nanoparticle Applications Improve Growth, Bulb Yield, Antioxidant Activities, and Iron Fortification in Shallot in Semi-Arid Regions" Plants 15, no. 2: 279. https://doi.org/10.3390/plants15020279
APA StyleMoguee, S., Fallah, S., Pokhrel, L. R., & Adavi, Z. (2026). Bulb-Priming Followed by Foliar Magnetite Nanoparticle Applications Improve Growth, Bulb Yield, Antioxidant Activities, and Iron Fortification in Shallot in Semi-Arid Regions. Plants, 15(2), 279. https://doi.org/10.3390/plants15020279

