Effects of Slope and Strip-Cutting Width on Bamboo Shoot Emergence, Culm Formation, and Understory Vegetation Diversity in Moso Bamboo Forests in China
Abstract
1. Introduction
2. Results
2.1. Species Composition and Importance Value of Understory Vegetation Under Different Strip-Cutting Widths and Slope Gradients
2.2. Effects of Strip-Cutting Width and Slope Gradient on Shoot Emergence and Culm Growth in Moso Bamboo Forests
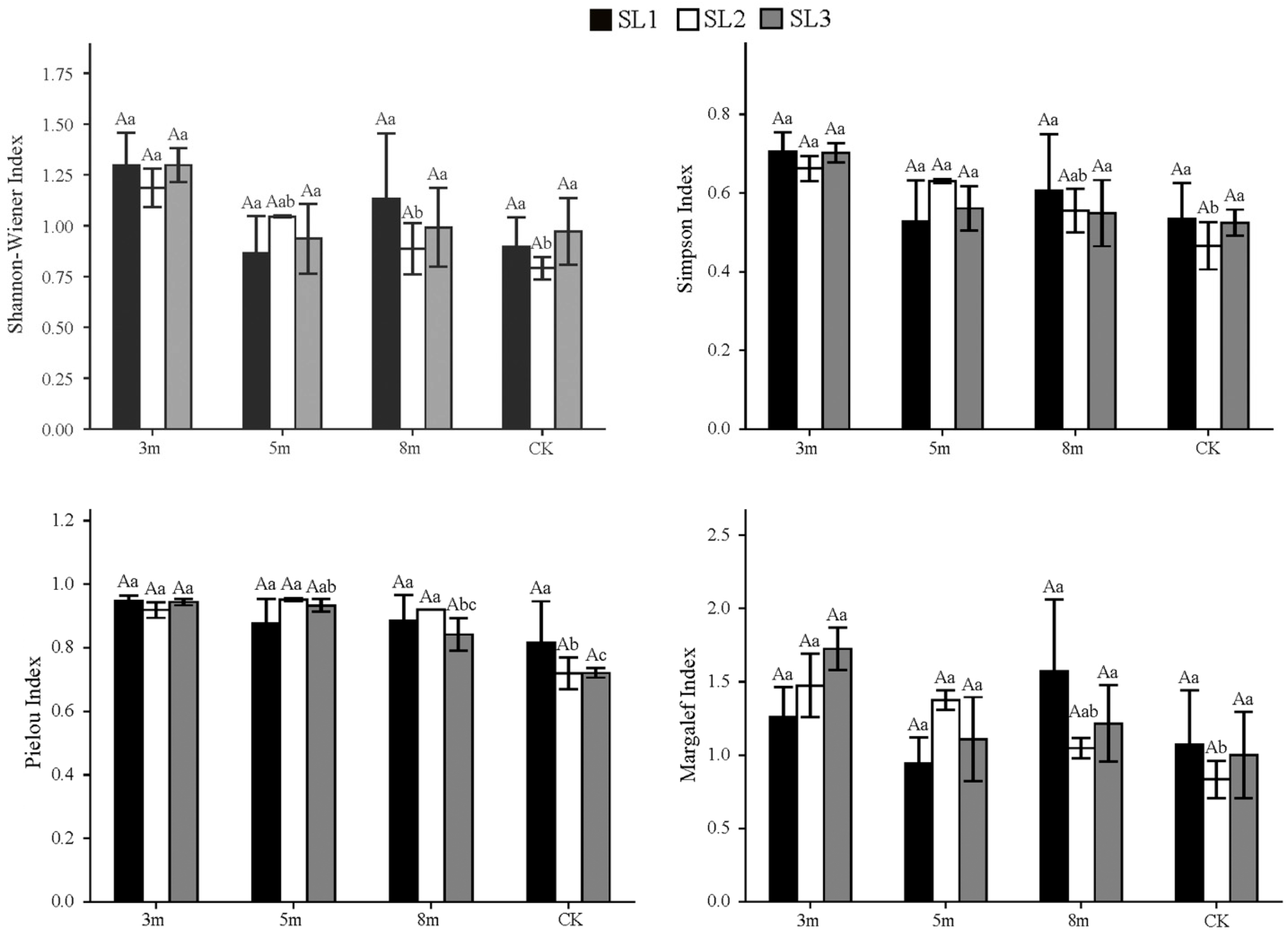
2.3. Impact of Strip-Cutting Width and Slope Gradient on Understory Vegetation Diversity in Moso Bamboo Forests
2.4. Principal Component Analysis of Diversity Indices, Shoot Emergence, and Culm Growth in Strip-Cutting Moso Bamboo Forests
3. Discussion
3.1. Responses of Understory Vegetation Composition and Diversity to Different Strip-Cutting Width and Slope Gradient
3.2. Effects of Different Strip-Cutting Width and Slope Gradient on Moso Bamboo Regeneration
3.3. Ecological and Management Implications of Strip-Cutting in Moso Bamboo Forests
4. Materials and Methods
4.1. Study Area and Experimental Design
4.2. Data Collection and Index Calculation
4.3. Data Analysis
5. Conclusions
Author Contributions
Funding
Data Availability Statement
Acknowledgments
Conflicts of Interest
References
- Zhang, X.C.; Yang, G.D.; Chen, X.; Xiong, Z.R.; Zhao, Y.; Yi, X.G. Plant Community Structure of Baohua Mountain in Jiangsu Province and Its Environmental Interpretation. J. Plant Resour. Environ. 2019, 28, 77–83. [Google Scholar] [CrossRef]
- Li, J.Q. Structural Characteristics and Environmental Interpretation of Typical Shrub Community in Haitan Island. Master’s Thesis, Fujian Agriculture and Forestry University, Fuzhou, China, 2019. [Google Scholar]
- Ren, X.M.; Yang, G.H.; Zhu, Y.; Wang, X.L.; Wang, D.X. Effect of Environmental Variables on Species Composition and Richness of Alpine Vegetation in Taibai Mountain. Acta Ecol. Sin. 2014, 34, 6993–7003. [Google Scholar] [CrossRef][Green Version]
- Li, G. Effects of Topographic Factors on Soil Nutrients in Pinus koraiensis Plantation and Their Evaluation. Master’s Thesis, Northeast Forestry University, Haerbin, China, 2019. [Google Scholar]
- Zhao, P.; Qu, J.J.; Xu, X.Y.; Tang, J.N.; Han, Q.J.; Xie, S.B.; Wang, T.; Lai, J.H. Study on the Characteristics of Sandy Alpine Grasslands and Its Relationship between Plant Distribution and Microtopography in the Source Regions of Yangtze River. Acta Ecol. Sin. 2019, 39, 1030–1040. [Google Scholar] [CrossRef]
- Yuan, T.X.; Zhang, H.P.; Ou, Z.Y.; Tan, Y.B. Effects of Topography on the Diversity and Distribution Pattern of Ground Plants in Karst Montane Forests in Southwest Guangxi, China. Ying Yong Sheng Tai Xue Bao 2014, 25, 2803–2810. [Google Scholar] [CrossRef]
- Li, Q.; Rong, L.; Wang, M. Effects of Topography on Diversity and Distribution Pattern of Plant Species in Karst Mountains Area. Bull. Soil Water Conserv. 2019, 39, 27–34. [Google Scholar] [CrossRef]
- Kong, L.W.; Chen, X.W.; Lu, S.W.; Li, S.N.; Chen, B.; Gao, C.; Shi, Y.; Yang, X.Y. Relationships among Growth of Larix Principis-rupprechtii, Herbaceous Plants Diversity and Landform. Bull. Soil Water Conserv. 2014, 34, 60–66. [Google Scholar] [CrossRef]
- Xiong, B.M.; Lei, Y.; Wang, Z.X.; Li, T.T.; Xiong, X.H.; Li, Z.Q.; Zhang, E.; Peng, Z.L. Effect of Topography on Plant Species Richness and Distribution in Qizimei Mountains Nature Reserve. Acta Bot. Boreal.-Occident. Sin. 2016, 36, 2307–2313. [Google Scholar] [CrossRef]
- Liu, C.Y. Study on the Stand Growth—Environmental Relationships of Larix Plantation at Saihanba of Hebei Province. Ph.D. Thesis, Beijing Forestry University, Beijing, China, 2010. [Google Scholar]
- Liu, G.C.; Huang, Y.X.; Wang, Q.G.; Xing, Y.J. Effects of Environmental Factors on Plant Species Diversity: Research Progress. Chin. Agric. Sci. Bull. 2018, 34, 83–89. [Google Scholar] [CrossRef]
- National Forestry and Grassland Administration. China Forest Resources Report(2014–2018); China Forestry Publishing House: Beijing, China, 2019; ISBN 978-7-5038-9982-9. [Google Scholar]
- Wang, S.; Epron, D.; Kobayashi, K.; Takanashi, S.; Dannoura, M. Sources of Carbon Supporting the Fast Growth of Developing Immature Moso Bamboo (Phyllostachys edulis) Culms: Inference from Carbon Isotopes and Anatomy. AoB Plants 2023, 15, plad046. [Google Scholar] [CrossRef] [PubMed]
- Ouyang, M.; Eziz, A.; Xiao, S.; Fang, W.; Cai, Q.; Ma, S.; Zhu, J.; Yang, Q.; Hu, J.; Tang, Z.; et al. Effects of Bamboo Invasion on Forest Structures and Diameter–Height Allometries. For. Ecosyst. 2025, 12, 100256. [Google Scholar] [CrossRef]
- Lv, H.; Leng, L.S.; Yang, Y.Y.; Shen, S.Y.; Zhou, Y.; Huang, X.L.; Zhang, J. Current Situation and Countermeasures of Bamboo Primary Processing Industry in Anji County, Zhejiang Province. World Bamboo Rattan 2020, 18, 66–68. [Google Scholar] [CrossRef]
- Zhou, F.C. Bamboo Silviculture; China Forestry Publishing House: Beijing, China, 1998; ISBN 7-5038-1725-9. [Google Scholar]
- Du, H.Q.; Mao, F.J.; Li, X.J.; Zhou, G.M.; Xu, X.J.; Han, N.; Sun, S.B.; Gao, G.L.; Cui, L.; Li, Y.G.; et al. Mapping Global Bamboo Forest Distribution Using Multisource Remote Sensing Data. IEEE J. Sel. Top. Appl. Earth Obs. Remote Sens. 2018, 11, 1458–1471. [Google Scholar] [CrossRef]
- Pancel, L.; Köhl, M. (Eds.) Tropical Forestry Handbook, 2nd ed.; Springer: Berlin/Heidelberg, Germany, 2016; ISBN 978-3-642-54600-6. [Google Scholar]
- Zhu, W.; Wang, B.; Shen, Q.; Zhu, Z.J.; Wu, J.M.; Ji, W.W.; Yu, T.T.; Zhang, X.Q. Practices and Benefits of Different Management Types in Moso Bamboo Forests. For. Sci. Technol. 2015, 21–25. [Google Scholar] [CrossRef]
- Cao, X.L. Study on the Relationship Between Input and Output and Economic Benefit of Different Places Moso Bamboo (Phyllostachy pubescens) Plantation—Base on the Surveyed Date of Fujian, Zhejiang and Jiangxi. Master’s Thesis, Zhejiang A&F University, Hangzhou, China, 2015. [Google Scholar]
- Ma, Q. Bamboo Farmers Operating Mode Selection and Its Influencing Factors—Take Anji as an Example. Master’s Thesis, Zhejiang A&F University, Hangzhou, China, 2011. [Google Scholar]
- Zeng, X.L.; Su, W.H.; Fan, S.H.; Jin, Y. Qualitative Recovery Characteristics of Moso Bamboo Forests under Strip Clearcutting. Acta Bot. Boreal.-Occident. Sin. 2019, 39, 917–924. [Google Scholar] [CrossRef]
- Su, W.H.; Zeng, X.L.; Fan, S.H.; Ni, H.J. Effects of Strip Clear-Cutting on the Allocation of Non-structural Carbohydrates and Aboveground Biomass of Phyllostachys edulis. Chin. J. Ecol. 2019, 38, 2934–2940. [Google Scholar] [CrossRef]
- Zeng, X.L.; Su, W.H.; Fan, S.H.; Jing, X.; Chu, H.Y. Assessment of Soil Quality in Moso Bamboo Forests under Different Strip Clearcuttings. Chin. J. Ecol. 2019, 38, 3015–3023. [Google Scholar] [CrossRef]
- Zhang, Y.Y.; Fan, L.L.; Wang, M.; He, T.Y.; Rong, J.D.; Zheng, Y.S. Effects of Strip Clear Cutting in Phyllostachys edulis Forests on Soil Physical and Chemical Properties and Enzyme Activities. J. For. Environ. 2020, 40, 234–242. [Google Scholar] [CrossRef]
- Li, C.J.; Guan, F.Y.; Zheng, Y.X.; Zhou, X. Effects of Proportioned Fertilization on Understory Vegetation Diversity in Strip-Harvested Phyllostachys edulis Forests. Chin. J. Ecol. 2023, 42, 796–803. [Google Scholar] [CrossRef]
- Zhang, Y.Y.; Fan, L.L.; Xu, W.D.; Abulaiti, D.; Rong, J.D.; Zheng, Y.S. Restoration Characteristics and Soil Nutrient Content of Phyllostachys edulis Forests after Strip Clear Cutting. Acta Bot. Boreal.-Occident. Sin. 2020, 40, 1407–1413. [Google Scholar] [CrossRef]
- Li, R.; Yu, N.; Bi, H.M.; Zhou, M.J. Research Status of Clearcutting in Strips and Tending Technology of Bamboo Forests. J. Bamboo Res. 2021, 40, 84–88. [Google Scholar] [CrossRef]
- Bai, S.B.; Wang, Y.X.; Conant, R.T.; Zhou, G.M.; Xu, Y.; Wang, N.; Fang, F.Y.; Chen, J. Can Native Clonal Moso Bamboo Encroach on Adjacent Natural Forest without Human Intervention? Sci. Rep. 2016, 6, 31504. [Google Scholar] [CrossRef] [PubMed]
- Shen, J.X.; Fan, S.H.; Liu, G.L.; Chen, B.X.; Wu, C.M.; Cao, B.F. Spatiotemporal Distribution Characteristics of Temperature on the Surface Layer of Cutting Gap of Phyllostachys edulis Forest. Chin. J. Ecol. 2020, 39, 3549–3557. [Google Scholar] [CrossRef]
- Chen, J.H.; Zhang, X.; Yin, J.; Cen, X.J.; Cui, Y.C.; Mu, Y.Q.; Liu, Y.H. Effect of Combination Measures of Tending and Cutting on Productivity of Moso Bamboo Forest. J. Anhui Agric. Sci. 2010, 38, 2152. [Google Scholar] [CrossRef]
- Tan, H.C.; Tan, R.Q.; Zhang, Y.F. Effect of Three Clear-Cutting Patterns on the Regeneration and Growth of Phyllostachys pubescens. World Bamboo Rattan 2017, 15, 52–55. [Google Scholar] [CrossRef]
- Liu, S.D.; Xie, Q.W. Growth Characteristics of Moso Bamboo and Harvesting in Bamboo Forests. Hunan For. 2009, 26–27. [Google Scholar] [CrossRef]
- Wang, L.F.; Fan, C.F.; Liang, K.; Fan, Y.; Yang, G.Y.; Zhang, L.; Shi, J.M. An Approach to a Labor-Saving Cutting Model for Bamboo Forest Management, a Study Based on Clonal Integration. J. Jiangxi Agric. Univ. 2016, 38, 1110–1118. [Google Scholar] [CrossRef]
- Wang, S.M.; Wang, B.; Fan, S.H.; Xiao, X.; Xia, W.; Guan, F.Y. Influence of Strip Cutting Management on Soil Bacterial Community Structure and Diversity in Phyllostachys edulis Stands. J. Nanjing For. Univ. (Nat. Sci. Ed.) 2021, 45, 60–68. [Google Scholar] [CrossRef]
- Xie, F.; Liang, J. The Relationship between Species Diversity of Mixed Bamboo Stands and the Disease Index of Ceratosphaeria phyllostachydis Zhang. J. Hunan Agric. Univ. (Nat. Sci.) 2018, 44, 520–523. [Google Scholar] [CrossRef]
- Chen, Y.; Wang, X.J. Plant Diversity under Phyllostachys pubescens Forests in Hilly Area of Northwest Fujian Province. J. Cent. South Univ. For. Technol. 2014, 34, 84–88. [Google Scholar] [CrossRef]
- Fang, R.Y.; Wu, W.; Lu, X.; Zhou, L.J.; Zhong, Y.; Gui, R.Y. Effects of Different Artificial Disturbances Intensities on Plant Diversity in Moso Bamboo Forest. World Bamboo Rattan 2017, 15, 1–5. [Google Scholar] [CrossRef]
- Beckage, B.; Stout, I.J. Effects of Repeated Burning on Species Richness in a Florida Pine savanna: A Test of the Intermediate Disturbance Hypothesis. J. Veg. Sci. 2000, 11, 113–122. [Google Scholar] [CrossRef]
- Du, Y.X.; Liu, W.; Wang, J.F.; You, G.B.; Ye, H.J.; Lian, F.L.; He, X.Y. Early Effects of Forest Harvesting Gap on Understory Plant Diversity of Three Different Plantations in Baiyun Mountain, China. Ying Yong Sheng Tai Xue Bao 2018, 29, 2121–2128. [Google Scholar] [CrossRef]
- Wen, P.Y.; Jin, G.Z. Effects of Topography on Species Diversity in a Typical Mixed Broadleaved-Korean Pine Forest. Acta Ecol. Sin. 2019, 39, 945–956. [Google Scholar] [CrossRef]
- Marini, L.; Scotton, M.; Klimek, S.; Isselstein, J.; Pecile, A. Effects of Local Factors on Plant Species Richness and Composition of Alpine Meadows. Agric. Ecosyst. Environ. 2007, 119, 281–288. [Google Scholar] [CrossRef]
- Zhang, C.S.; Xie, G.D.; Bao, W.K.; Chen, L.; Pei, X.; Fan, N. Effects of Topographic Factors on the Plant Species Richness and Distribution Pattern of Alpine Meadow in Source Region of Lancang River, Southwest China. Chin. J. Ecol. 2012, 31, 2767–2774. [Google Scholar] [CrossRef]
- Zhang, Z.L.; Yu, F.; Wang, D.X. Effects of Environmental Factors on the Species Composition of Three Typical Secondary Forests in Qinling Mountains. J. Northwe. A&F Univ. (Nat. Sci. Ed.) 2014, 42, 69–78. [Google Scholar] [CrossRef]
- Huo, H.; Feng, Q.; Su, Y. Shrub Communities and Environmental Variables Responsible for Species Distribution Patterns in an Alpine Zone of the Qilian Mountains, Northwest China. J. Mt. Sci. 2015, 12, 166–176. [Google Scholar] [CrossRef]
- Huang, R.X.; Xu, M.F.; Liu, T.; Wu, Z.L.; Su, Z.Y. Environmental Interpretation and Species Diversity of Understory Vegetation in 5 Subtropical Forest Types. J. Southwest For. Univ. (Nat. Sci.) 2020, 40, 53–62. [Google Scholar] [CrossRef]
- Hai, L.; Zeng, N.; Liu, Y.; Zhang, X.Q.; Lin, K.C.; Jin, T. Characteristics of Herbaceous Plant Communities and Soil Nutrients under Different Afforestation Modes. Ecol. Environ. Sci. 2019, 28, 2141–2148. [Google Scholar] [CrossRef]
- Yao, Y.; Liu, J.M.; Liu, Z.L.; Wen, A.T.; Lv, Y.D. Comparison on Armeniaca sibirica Natural Forest Growth and Soil Physicochemical Properties in Different Slope Position. For. Eng. 2019, 35, 36–41, 54. [Google Scholar] [CrossRef]
- Liu, J.G.; Xue, J.H. Impacts of Slope Gradient on the Characteristics of Vetiveria zizanioides Community in Early-Stage. Grassl. Turf. 2010, 30, 56–61. [Google Scholar] [CrossRef]
- Huang, X.H.; Lan, G.Y.; Yang, C.; Tao, Z.L. Understory Species Composition and Shrub-Grass Species Diversity of Rubber (Hevea brasiliensis) Plantations in Guangdong Province. J. South. Agric. 2016, 47, 1914–1920. [Google Scholar] [CrossRef]
- Wu, Y.F.; Cheng, X.L.; Cao, X.J.; Zhang, X.P.; You, J.Y.; Gan, S.X.; Zhang, H.; Yang, Y.L. Site Classification and Site Quality Evaluation of Dendrocalamus farinosus in Sichuan. Sichuan For. Sci. Technol. 2017, 38, 8–12. [Google Scholar] [CrossRef]
- Xiao, X.; Zhou, Y.; Wang, S.M.; Zheng, Y.X.; Guan, F.Y. Effects of Strip Cutting on Spatial Structure and Stability of New Bamboo (Phyllostachys edulis). J. Nanjing For. Univ. (Nat. Sci. Ed.) 2023, 47, 139–147. [Google Scholar] [CrossRef]
- Zhang, Z.T. Study on the Species Diversity of Plant Community in Manghe Nature Reserve in Shanxi. Master’s Thesis, Shanxi Normal University, Taiyuan, China, 2018. [Google Scholar]
- Zhan, M.C.; Guan, F.Y.; Yan, Y.J.; Zhang, M.M.; Zheng, Y.X. Effects of Strip Harvesting on Species Diversity of Undergrowth in Bamboo (Phyllostachys edulis) Forest. Acta Ecol. Sin. 2020, 40, 4169–4179. [Google Scholar] [CrossRef]






| Species | Importance Values/% | |||||||||||||
|---|---|---|---|---|---|---|---|---|---|---|---|---|---|---|
| 3M SL1 | 3M SL2 | 3M SL3 | 5M SL1 | 5M SL2 | 5M SL3 | 8M SL1 | 8M SL2 | 8M SL3 | Average | CK SL1 | CK SL2 | CK SL3 | ||
| Herbaceous layer | Parathelypteris glanduligera | 36.3 | 26.3 | 36.0 | 46.9 | 14.3 | 13.7 | 43.1 | 35.8 | 43.3 | 32.8 | - | 46.0 | 52.3 |
| Wisteria sinensis | - | - | 26.4 | 36.6 | - | - | - | 33.6 | - | 32.2 | - | 37.1 | - | |
| Lophatherum gracile | 21.9 | 17.6 | 13.9 | - | 34.1 | 47.6 | - | 33.5 | 31.2 | 28.5 | 33.0 | - | 22.8 | |
| Dioscorea polystachya | 23.7 | - | - | 57.0 | 52.3 | 11.5 | 22.0 | 19.8 | 12.5 | 28.4 | - | - | - | |
| Gardneria multiflora | - | - | 12.4 | - | 39.5 | 46.7 | - | - | 11.9 | 27.6 | - | - | - | |
| Carex breviculmis | 24.3 | 39.5 | 24.9 | 26.5 | 24.7 | 28.5 | 28.9 | 29.3 | 20.6 | 27.5 | 21.2 | 24.0 | 14.0 | |
| Syneilesis aconitifolia | - | - | - | - | - | - | - | 26.6 | - | 26.6 | - | 46.6 | 13.3 | |
| Sceptridium ternatum | - | 30.0 | 14.5 | - | 20.0 | - | - | - | - | 21.5 | 57.6 | - | - | |
| Shrub layer | Camellia sinensis | - | 31.7 | 18.1 | - | 26.1 | 25.1 | 35.1 | 31.1 | 16.8 | 26.3 | - | 17.9 | 30.8 |
| Loropetalum chinense | 47.4 | - | 20.0 | 13.6 | 29.5 | 26.2 | 14.1 | 14.5 | 25.3 | 23.8 | - | - | 7.0 | |
| Camellia japonica | - | 30.1 | 37.2 | - | 10.6 | 20.9 | 28.5 | 13.9 | 19.9 | 23.0 | 21.0 | 34.0 | 11.9 | |
| Smilax china | 26.3 | 12.7 | 21.9 | 33.3 | 9.1 | 19.5 | 23.2 | 10.1 | 11.8 | 18.7 | 34.4 | 16.4 | - | |
| Rubus corchorifolius | 43.7 | 15.7 | 12.4 | - | - | 7.4 | 9.8 | 15.6 | 7.7 | 16.0 | - | 14.1 | 24.6 | |
| Quercus × leana | - | - | 10.0 | 12.1 | 13.5 | 17.1 | - | 17.2 | 9.9 | 13.3 | 57.5 | 12.5 | - | |
| Rhododendron simsii | - | 15.0 | 18.0 | - | 9.1 | 9.6 | 13.5 | 6.5 | 18.7 | 12.9 | - | - | 6.3 | |
| Ardisia japonica | - | - | 20.1 | 14.5 | 6.4 | 7.2 | 12.0 | - | - | 12.0 | - | 21.3 | - | |
| Factor | Shoots (Culms·ha−1) | New Bamboo (Culms·ha−1) | Density (Culms·ha−1) | DBH (cm) | Canopy Closure | |
|---|---|---|---|---|---|---|
| Width | Slope | |||||
| 3M | SL1 | 3888.89 ± 433.90 Aa | 2111.11 ± 111.11 Aa | 2111.11 ± 277.78 Ab | 7.76 ± 0.26 Bb | 0.71 ± 0.01 ABab |
| SL2 | 3222.22 ± 529.97 Aa | 2333.33 ± 509.18 Aa | 2333.33 ± 419.44 Ab | 7.04 ± 0.22 Cab | 0.68 ± 0.02 Bb | |
| SL3 | 4300.00 ± 409.61 Aa | 2666.67 ± 252.76 Aab | 2666.67 ± 197.20 Abc | 8.51 ± 0.22 Ab | 0.75 ± 0.02 Aa | |
| 5M | SL1 | 2366.67 ± 176.38 Bb | 1633.33 ± 260.34 Ba | 1633.33 ± 202.76 Bb | 7.81 ± 0.25 Ab | 0.70 ± 0.01 Bab |
| SL2 | 4100.00 ± 1137.25 ABa | 3233.33 ± 864.74 ABa | 2600.00 ± 702.38 ABb | 6.67 ± 0.18 Bb | 0.75 ± 0.02 Aa | |
| SL3 | 4320.00 ± 241.66 Aa | 3380.00 ± 231.08 Aa | 3400.00 ± 219.09 Ab | 7.13 ± 0.16 Bc | 0.65 ± 0.01 Cb | |
| 8M | SL1 | 3208.33 ± 342.96 Aab | 2458.33 ± 433.51 Aa | 1875.00 ± 72.17 Bb | 7.91 ± 0.18 Ab | 0.75 ± 0.00 Aa |
| SL2 | 3604.17 ± 240.26 Aa | 2875.00 ± 165.36 Aa | 2645.83 ± 126.72 Ab | 6.76 ± 0.18 Bb | 0.74 ± 0.00 Aab | |
| SL3 | 3412.50 ± 232.68 Aab | 2725.00 ± 264.13 Aab | 2350.00 ± 235.19 ABc | 7.22 ± 0.14 Bc | 0.76 ± 0.01 Aa | |
| CK | SL1 | 2558.33 ± 96.10 Ab | 1566.67 ± 230.19 Aa | 4558.33 ± 282.97 Aa | 9.31 ± 0.23 Aa | 0.70 ± 0.03 Ab |
| SL2 | 3000.00 ± 350.30 Aa | 2166.67 ± 289.16 Aa | 4291.67 ± 210.32 Aa | 7.72 ± 0.27 Ba | 0.74 ± 0.02 Aa | |
| SL3 | 2941.67 ± 572.70 Ab | 2050.00 ± 355.61 Ab | 4708.33 ± 729.20 Aa | 9.72 ± 0.19 Aa | 0.74 ± 0.02 Aa | |
| Variable | Principal Component | Weight | ||
|---|---|---|---|---|
| 1 | 2 | 3 | ||
| DBH (cm) | 0.576 | −0.412 | 0.322 | 0.053 |
| Shoots (Culms·ha−1) | 0.346 | 0.910 | −0.086 | 0.080 |
| Aborted shoots (Culms·ha−1) | −0.928 | −0.164 | 0.083 | 0.093 |
| New bamboo (Culms·ha−1) | −0.298 | 0.933 | −0.038 | 0.080 |
| Density (Culms·ha−1) | −0.101 | 0.879 | −0.359 | 0.069 |
| Canopy closure | −0.051 | 0.051 | 0.880 | 0.031 |
| Shrub layer Shannon–Wiener Diversity Index: H’ | −0.816 | 0.507 | 0.258 | 0.093 |
| Shrub layer Simpson Diversity Index: D | 0.531 | −0.747 | −0.262 | 0.077 |
| Shrub layer Pielou’s Evenness Index: J | 0.554 | 0.546 | 0.062 | 0.057 |
| Shrub layer Margalef Richness Index: R | −0.725 | 0.200 | 0.476 | 0.067 |
| Herbaceous layer Shannon–Wiener Diversity Index: H’ | 0.904 | 0.151 | 0.323 | 0.092 |
| Herbaceous layer Simpson Diversity Index: D | −0.904 | −0.233 | −0.172 | 0.091 |
| Herbaceous layer Pielou’s Evenness Index: J | 0.572 | 0.489 | −0.399 | 0.060 |
| Herbaceous layer Margalef Richness Index: R | 0.573 | 0.287 | 0.630 | 0.057 |
| Eigenvalue | 5.485 | 4.224 | 2.078 | |
| Proportion of Variance/% | 39.176 | 30.172 | 14.842 | |
| Cumulative Variance Explained/% | 39.176 | 69.348 | 84.191 | |
| Plot | Full-Factor Weighted Scoring | |
|---|---|---|
| Score | Rank | |
| 5MSL2 | 0.649 | 1 |
| 5MSL3 | 0.626 | 2 |
| 3MSL3 | 0.624 | 3 |
| 8MSL3 | 0.596 | 4 |
| 8MSL1 | 0.561 | 5 |
| 8MSL2 | 0.544 | 6 |
| 3MSL2 | 0.520 | 7 |
| 3MSL1 | 0.440 | 8 |
| 5MSL1 | 0.398 | 9 |
| Plot | Longitude | Latitude | Area/m2 | Slope/(°) | Altitude/m | Aspect | Density/(stems∙hm−2) | Average DBH/cm |
|---|---|---|---|---|---|---|---|---|
| 3MSL1 | 119°30′3″ E | 30°29′31″ N | 60 | 14 | 466 | SW | 2111 | 7.76 |
| 5MSL1 | 119°30′2″ E | 30°29′31″ N | 100 | 13 | 470 | S | 1633 | 7.81 |
| 8MSL1 | 119°30′1″ E | 30°29′31″ N | 160 | 13 | 470 | S | 1875 | 7.91 |
| 3MSL2 | 119°30′3″ E | 30°29′34″ N | 60 | 24 | 500 | SE | 2333 | 7.04 |
| 5MSL2 | 119°30′1″ E | 30°29′35″ N | 100 | 23 | 472 | S | 2600 | 6.67 |
| 8MSL2 | 119°29′43″ E | 30°29′38″ N | 160 | 23 | 395 | SE | 2645 | 6.76 |
| 3MSL3 | 119°29′59″ E | 30°29′38″ N | 60 | 31 | 504 | S | 2666 | 7.91 |
| 5MSL3 | 119°30′0″ E | 30°29′35″ N | 100 | 33 | 503 | SW | 3400 | 6.76 |
| 8MSL3 | 119°29′58″ E | 30°29′36″ N | 160 | 33 | 505 | SE | 2350 | 7.22 |
| CKSL1 | 119°30′3″ E | 30°29′30″ N | 400 | 13 | 466 | SE | 4558 | 9.31 |
| CKSL2 | 119°29′42″ E | 30°29′39″ N | 400 | 22 | 399 | SW | 4291 | 7.72 |
| CKSL3 | 119°29′58″ E | 30°29′35″ N | 400 | 30 | 475 | SW | 4708 | 9.72 |
Disclaimer/Publisher’s Note: The statements, opinions and data contained in all publications are solely those of the individual author(s) and contributor(s) and not of MDPI and/or the editor(s). MDPI and/or the editor(s) disclaim responsibility for any injury to people or property resulting from any ideas, methods, instructions or products referred to in the content. |
© 2026 by the authors. Licensee MDPI, Basel, Switzerland. This article is an open access article distributed under the terms and conditions of the Creative Commons Attribution (CC BY) license.
Share and Cite
Fu, D.; Guan, F.; Li, Z.; Li, M.; Lu, Y.; Zhou, X.; Zhang, X. Effects of Slope and Strip-Cutting Width on Bamboo Shoot Emergence, Culm Formation, and Understory Vegetation Diversity in Moso Bamboo Forests in China. Plants 2026, 15, 258. https://doi.org/10.3390/plants15020258
Fu D, Guan F, Li Z, Li M, Lu Y, Zhou X, Zhang X. Effects of Slope and Strip-Cutting Width on Bamboo Shoot Emergence, Culm Formation, and Understory Vegetation Diversity in Moso Bamboo Forests in China. Plants. 2026; 15(2):258. https://doi.org/10.3390/plants15020258
Chicago/Turabian StyleFu, Dawei, Fengying Guan, Zhen Li, Minkai Li, Yifan Lu, Xiao Zhou, and Xuan Zhang. 2026. "Effects of Slope and Strip-Cutting Width on Bamboo Shoot Emergence, Culm Formation, and Understory Vegetation Diversity in Moso Bamboo Forests in China" Plants 15, no. 2: 258. https://doi.org/10.3390/plants15020258
APA StyleFu, D., Guan, F., Li, Z., Li, M., Lu, Y., Zhou, X., & Zhang, X. (2026). Effects of Slope and Strip-Cutting Width on Bamboo Shoot Emergence, Culm Formation, and Understory Vegetation Diversity in Moso Bamboo Forests in China. Plants, 15(2), 258. https://doi.org/10.3390/plants15020258
