Stable Isotope and Elemental Characteristics for Origin Identification of Rice from China and Thailand
Abstract
1. Introduction
2. Results
2.1. Stable Isotopes of Thai Rice from Five Different Regions
2.2. Elemental Contents of Thai Rice from Five Different Regions
2.3. Stable Isotope Comparison of Chinese and Thai Rice
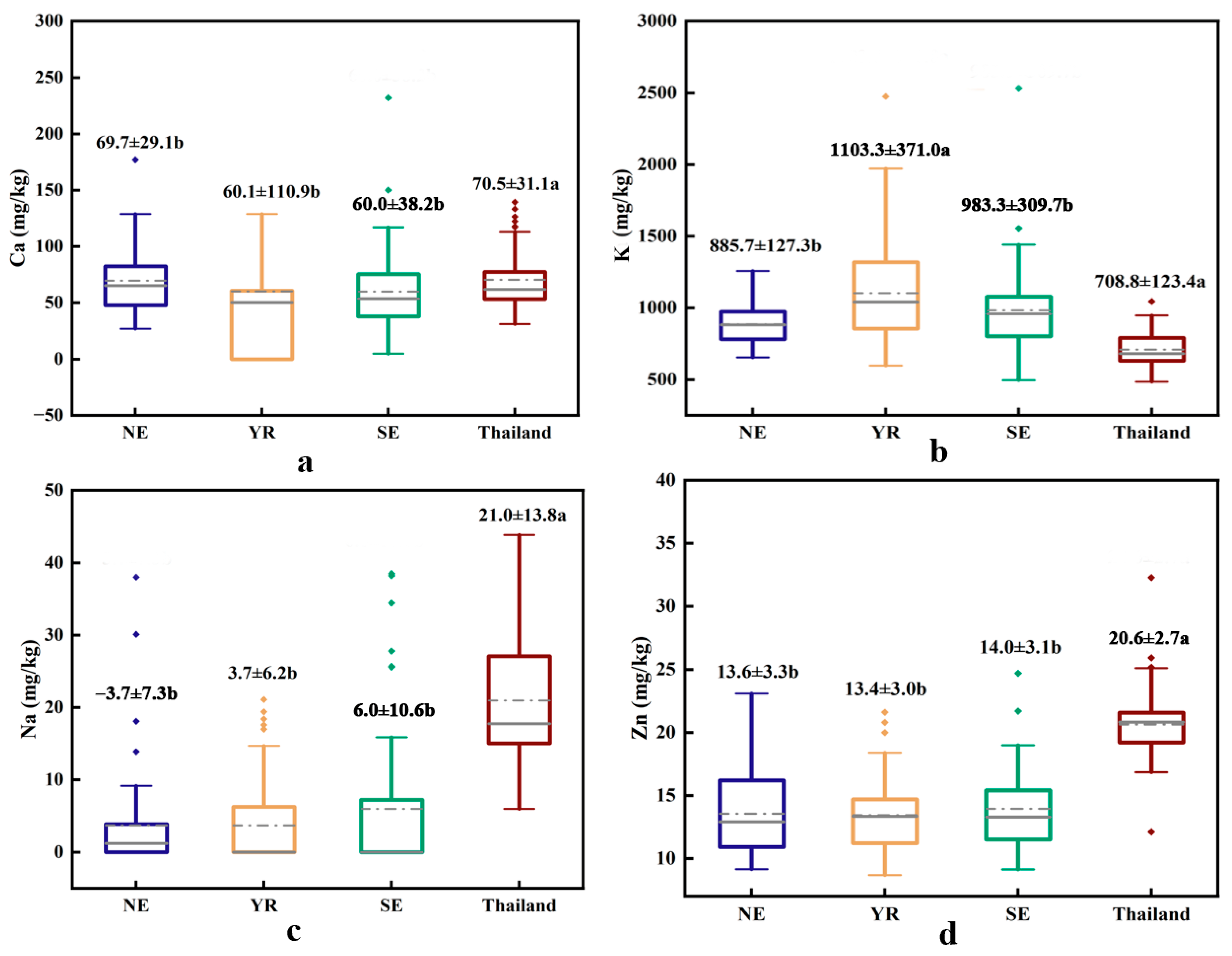
2.4. Elemental Comparison of Chinese and Thai Rice
2.5. Geographical Origin Discrimination of Rice Using PLS-DA
3. Materials and Methods
3.1. Sampling Experiment and Pretreatment
3.2. Stable Isotope Analysis
3.3. Elemental Analysis
3.4. Model Establishment and Evaluation
3.5. Data Analysis
4. Conclusions
Supplementary Materials
Author Contributions
Funding
Data Availability Statement
Acknowledgments
Conflicts of Interest
Abbreviations
| PLS-DA | partial least squares discriminant analysis |
| IRMS | isotope ratio mass spectrometry |
| ICP-MS | inductively coupled plasma mass spectrometry |
| RSD | relative standard deviation |
| VIP | Variable Importance for Projection |
References
- Xu, C.C.; Ji, L.; Chen, Z.D.; Fang, F.P. Analysis of China’s Rice Industry in 2022 and the Outlook for 2023. Rice Sci. 2022, 30, 1–4. [Google Scholar]
- General Administration of Customs of the People’s Republic of China. China Customs Statistical Yearbook; General Administration of Customs of the People’s Republic of China: Beijing, China, 2020; p. 4549. [Google Scholar]
- Xu, C.C.; Ji, L.; Chen, Z.D.; Fang, F.P. Analysis of China’s Rice Industry in 2023 and the Outlook for 2024. Rice Sci. 2023, 30, 1–4. [Google Scholar]
- Chan-in, P.; Jamjod, S.; Prom-u-thai, C.; Rerkasem, B.; Russell, J.; Pusadee, T. Application of Silicon Influencing Grain Yield and Some Grain Quality Features in Thai Fragrant Rice. Plants 2024, 13, 1336. [Google Scholar] [CrossRef] [PubMed]
- CCTV. 3·15 Gala Exposure: The Truth Behind ‘Thai’ Fragrant Rice. China Central Television. Available online: https://tv.cctv.cn/2023/03/15/VIDAmWrH1iEEkbQVz1OW3fJX230315.shtml (accessed on 15 March 2023).
- Kukusamude, C.; Puripunyavanich, V.; Kongsri, S. Combination of light stable isotopic and elemental signatures in Thai Hom Mali rice with chemometric analysis. Food Chem. X 2023, 17, 100613. [Google Scholar] [CrossRef]
- Suzuki, Y. Achieving Food Authenticity and Traceability Using an Analytical Method Focusing on Stable Isotope Analysis. Anal. Sci. Adv. 2022, 37, 189–199. [Google Scholar] [CrossRef]
- Yang, X.T.; Li, Y.L.; Zhao, S.L.; Zhang, P.; Zhao, Y. Geographical origin authentication of agricultural products in the China–EU Geographical Indications Agreement: A comprehensive review of Chinese products. Trends Food Sci. Technol. 2024, 152, 104679. [Google Scholar] [CrossRef]
- Sinkovič, L.; Ogrinc, N.; Potočnik, D.; Meglič, V. Isotope Fingerprints of Common and Tartary Buckwheat Grains and Milling Fractions: A Preliminary Study. Foods 2022, 11, 1414. [Google Scholar] [CrossRef]
- Liu, X.; Liu, Z.; Qian, Q.; Song, W.; Rogers, K.M.; Rao, Q.; Wang, S.; Zhang, Q.; Shao, S.; Tian, M.; et al. Isotope chemometrics determines farming methods and geographical origin of vegetables from Yangtze River Delta Region, China. Food Chem. 2020, 342, 128379. [Google Scholar] [CrossRef]
- Brombin, V.; Mistri, E.; Bianchini, G. Multi stable isotope ratio analysis for the traceability of northern Italian apples. Food Chem. X 2022, 16, 100514. [Google Scholar] [CrossRef]
- Huang, Q.; Xia, H.T.; Zhang, T.C.; Li, S.; Wang, Y.H.; Yu, X.F.; Zhao, H.F. Traceability of Guizhou green tea production areas based on multi-element characteristics combined with biochemical components. Int. J. Food Sci. Technol. 2024, 59, 2860–2872. [Google Scholar] [CrossRef]
- Chung, I.M.; Kim, J.K.; Prabakaran, M.; Yang, J.H.; Kim, S.H. Authenticity of rice (Oryza sativa L.) geographical origin based on analysis of C, N, O and S stable isotope ratios: A preliminary case report in Korea, China and Philippine. J. Sci. Food Agric. 2016, 96, 2433–2439. [Google Scholar] [CrossRef] [PubMed]
- Wadood, S.A.; Li, C.L.; Nie, J.; Rogers, K.M.; Mei, H.Y.; Zhang, Y.Z.; Shah, I.U.; Qamar, A.; Yuan, Y.W. Stable isotopic fingerprinting of authentic basmati rice from Pakistan. Food Control 2024, 157, 110166. [Google Scholar] [CrossRef]
- Liu, Z.; Zhang, W.X.; Zhang, Y.Z.; Chen, T.J.; Shao, S.Z.; Zhou, L.; Yuan, Y.W.; Xie, T.Z.; Rogers, K.M. Assuring food safety and traceability of polished rice from different production regions in China and Southeast Asia using chemometric models. Food Control 2019, 99, 1–10. [Google Scholar] [CrossRef]
- Lin, L.; Wu, J.; Liu, C.; Yu, C.; Liu, Z.; Yuan, Y. Study on hyperspectral identification method of rice origin in Northeast/non-Northeast China based on conjunctive model. Spectrosc. Spectr. Anal. 2020, 40, 905–910. [Google Scholar]
- Wang, J.S.; Chen, T.J.; Zhang, W.X.; Zhao, Y.; Yang, S.M.; Chen, A.L. Tracing the geographical origin of rice by stable isotopic analyses combined with chemometrics. Food Chem. 2020, 313, 126093. [Google Scholar] [CrossRef]
- Liu, W.W.; Chen, Y.; Liao, R.X.; Zhao, J.; Yang, H.; Wang, F.H. Authentication of the geographical origin of Guizhou green tea using stable isotope and mineral element signatures combined with chemometric analysis. Food Control 2021, 125, 107954. [Google Scholar] [CrossRef]
- Jiao, F.; Zhang, D.; Chen, Y.; Wu, J.; Zhang, J. Effects of Long-Term Straw Returning and Nitrogen Fertilizer Reduction on Soil Microbial Diversity in Black Soil in Northeast China. Agronomy 2023, 13, 2036. [Google Scholar] [CrossRef]
- Wang, H.C.; Liu, Z.D.; Ma, L.; Li, D.D.; Liu, K.L.; Huang, Q.H.; Zhao, B.Z.; Zhang, J.B. Denitrification Potential of Paddy and Upland Soils Derived from the Same Parent Material Respond Differently to Long-Term Fertilization. Front. Environ. Sci. 2021, 8, 105. [Google Scholar] [CrossRef]
- Cui, L.L.; Chen, H.; Chen, Z.P.; Yuan, Y.W.; Han, S.L.; Fu, Y.N.; Hou, H.W.; Hu, Q.Y. Geographical origin classification of tobacco by stable isotope and multi-elemental analysis in combination with chemometric methods. Microchem. J. 2023, 193, 109163. [Google Scholar] [CrossRef]
- Zhang, M.L.; Li, C.C.; Liu, Y.M.; Zhang, Y.Z.; Nie, J.; Shao, S.Z.; Mei, H.Y.; Rogers, K.M.; Zhang, W.X.; Yuan, Y.W. Effects of Water Isotope Composition on Stable Isotope Distribution and Fractionation of Rice and Plant Tissues. J. Agric. Food Chem. 2024, 72, 8955−8962. [Google Scholar] [CrossRef]
- Choi, S.H.; Shin, W.J.; Bong, Y.S.; Lee, K.S. Effects of climate factors on spatiotemporal variation in carbon and oxygen isotope ratios in Korean rice. J. Food Compos. Anal. 2022, 108, 104416. [Google Scholar] [CrossRef]
- Sheng, M.L.; Zhang, W.L.; Nie, J.; Li, C.L.; Zhu, A.X.; Hu, H.; Lou, W.D.; Deng, X.F.; Lyu, X.N.; Ren, Z.Q.; et al. Predicting isoscapes based on an environmental similarity model for the geographical origin of Chinese rice. Food Chem. 2022, 397, 133744. [Google Scholar] [CrossRef] [PubMed]
- Chinese Nutrition Society. Dietary Guidelines for Chinese Residents; People’s Medical Publishing House: Beijing, China, 2022. [Google Scholar]
- Lin, C.Q.; Huang, H.B.; Hu, G.R.; Yu, R.L.; Hao, C.L.; Lin, Y. Assessment of the Speciation and Pollution of Heavy Metals in Paddy Soils from the Jiulong River Basin. Environ. Sci. 2019, 40, 453–460. [Google Scholar]
- Prakongkep, N.; Suddhiprakarn, A.; Kheoruenromne, I.; Smirk, M.; Gilkes, R.J. The geochemistry of Thai paddy soils. Geoderma 2008, 144, 310–324. [Google Scholar] [CrossRef]
- Zheng, S.; Xu, C.; Lv, G.H.; Shuai, H.; Zhang, Q.; Zhu, Q.H.; Zhu, H.H.; Huang, D.Y. Foliar zinc reduced Cd accumulation in grains by inhibiting Cd mobility in the xylem and increasing Cd retention ability in roots. Environ. Pollut. 2023, 333, 122046. [Google Scholar] [CrossRef] [PubMed]
- Zhang, Z.H.; Dai, H.M.; Song, Y.H. Geochemical characteristics of some soil trace elements in the Wuyuer River Basin, Heilongjiang Province. Geophys. Geochem. Explor. 2022, 46, 1097–1104. [Google Scholar]
- Wong, S.C.; Li, X.D.; Zhang, G.; Qi, S.H.; Min, Y.S. Heavy metals in agricultural soils of the Pearl River Delta, South China. Environ. Pollut. 2002, 119, 33–44. [Google Scholar] [CrossRef]
- GB 2762-2022; National Food Safety Standard for Contaminants in Foods. National Health Commission of the People’s Republic of Chian: Beijing, China; State Administration for Market Regulation: Beijing, China, 2022.
- Kabata-Pendias, A. Soil–plant transfer of trace elements—An environmental issue. Geoderma 2004, 122, 143–149. [Google Scholar] [CrossRef]
- Min, F.F.; Wang, X.Y.; Li, L.; Xin, Z.J.; Li, X.H.; Zhang, T.; Sun, X.Y.; You, H.L. Effects of silicate stabilizers on cadmium reduction and the quality of rice grains in acidic paddy soil. Sci. Rep. 2024, 14, 20551. [Google Scholar] [CrossRef]
- Bilgin, A.K.; Cenbiz, M.F.; Karakaş-Budak, B.; Gümüs, C.; Alırız Kılıç, S.; Perinçek, F.; Basançelebi, O.; Sezik, E.; Certel, M. Elemental compositions and stable isotope signatures for determining the geographical origin of salep orchids collected from different regions. J. Appl. Res. Med. Aromat. Plants 2023, 37, 100505. [Google Scholar] [CrossRef]
- Jing, K.; Shi, W.; Liu, L.; Wang, Y. Assessment of nitrogen fertilization in cotton/soybean intercropping using the 15N isotope dilution method. Soil Use Manag. 2023, 39, 1570–1582. [Google Scholar] [CrossRef]




| Amnat Charoen (n = 12) | Ubon Ratchathani (n = 12) | Surin (n = 12) | Roi Et (n = 10) | Maha Sarakham (n = 18) | ||
|---|---|---|---|---|---|---|
| Stable Isotopes (‰) | δ13C | −26.4 ± 0.6 ab | −26.8 ± 0.2 b | −26.6 ± 0.4 ab | −26.1 ± 0.2 a | −26.3 ± 0.3 ab |
| δ15N | 3.0 ± 0.5 a | 3.2 ± 0.9 a | 4.01 ± 0.7 a | 3.8 ± 0.7 a | 3.7 ± 0.9 a | |
| δ2H | −55.9 ± 4.3 ab | −56.4 ± 5.5 ab | −62.79 ± 6.6 b | −58.4 ± 4.4 ab | −53.3 ± 3.4 a | |
| δ18O | 26.7 ± 0.9 a | 25.1 ± 0.8 a | 25.98 ± 1.0 a | 25.4 ± 0.5 a | 26.2 ± 1.3 a | |
| Elements (mg/kg) | Na (mg/kg) | 23.0 ± 9.3 a | 16.6 ± 2.4 a | 15.4 ± 2.3 a | 15.3 ± 3.5 a | 29.4 ± 23.0 a |
| Mg (mg/kg) | 205.8 ± 51.6 ab | 166.4 ± 40.9 ab | 234.9 ± 86.4 a | 190.8 ± 20.5 ab | 139.2 ± 32.6 b | |
| Al (mg/kg) | 8.4 ± 1.7 a | 6.9 ± 0.9 a | 6.7 ± 1.5 a | 6.7 ± 1.6 a | 7.5 ± 1.3 a | |
| K (mg/kg) | 798.9 ± 114.3 a | 700.6 ± 92.0 ab | 765.1 ± 169.6 ab | 731.0 ± 71.0 ab | 604.2 ± 62.3 b | |
| Ca (mg/kg) | 64.9 ± 8.8 a | 85.2 ± 37.9 a | 93.4 ± 52.8 a | 61.2 ± 9.9 a | 54.2 ± 8.4 a | |
| Cr (mg/kg) | 1.9 ± 1.8 a | 2.9 ± 2.4 a | 1.3 ± 1.4 a | 1.7 ± 2.7 a | 1.3 ± 1.7 a | |
| Mn (mg/kg) | 11.8 ± 2.2 ab | 10.0 ± 1.8 ab | 12.9 ± 2.4 a | 10.0 ± 2.7 ab | 9.0 ± 1.8 b | |
| Fe (mg/kg) | 11.1 ± 4.6 a | 11.3 ± 4.4 a | 35.0 ± 65.3 a | 9.4 ± 8.3 a | 5.8 ± 2.6 a | |
| Ni (mg/kg) | 0.3 ± 0.2 a | 0.2 ± 0.1 a | 0.3 ± 0.1 a | 0.2 ± 0.0 a | 1.4 ± 3.5 a | |
| Cu (mg/kg) | 1.7 ± 0.5 a | 1.7 ± 0.8 a | 2.1 ± 0.6 a | 2.1 ± 0.4 a | 1.5 ± 0.7 a | |
| Zn (mg/kg) | 20.7 ± 1.1 a | 22.2 ± 5.2 a | 21.0 ± 1.0 a | 20.9 ± 1.8 a | 19.2 ± 1.8 a | |
| Ga (mg/g) | 3.0 ± 2.0 a | 3.0 ± 1.0 a | 4.0 ± 1.0 a | 2.0 ± 1.0 a | 3.0 ± 1.0 a | |
| Rb (mg/kg) | 7.5 ± 3.1 a | 4.1 ± 1.4 ab | 5.5 ± 3.3 ab | 3.4 ± 1.1 b | 3.5 ± 1.2 b | |
| Sr (mg/kg) | 0.1 ± 0.0 a | 0.2 ± 0.1 a | 0.2 ± 0.0 a | 0.2 ± 0.1 a | 0.1 ± 0.0 a | |
| Mo (mg/g) | 50.0 ± 10.0 a | 50.0 ± 20.0 a | 40.0 ± 10.0 a | 50.0 ± 10.0 a | 40.0 ± 20.0 a | |
| Cd (mg/g) | 2.0 ± 1.0 a | 1.0 ± 1.0 a | 1.0 ± 0.0 a | 1.0 ± 1.0 a | 2.0 ± 3.0 a | |
| Ba (mg/g) | 80.0 ± 50.0 a | 60.0 ± 10.0 ab | 50.0 ± 10.0 ab | 30.0 ± 20.0 b | 30.0 ± 10.0 b | |
| Pb (mg/g) | 40.0 ± 10.0 a | 40.0 ± 10.0 a | 60.0 ± 30.0 a | 40.0 ± 10.0 a | 40.0 ± 10.0 a |
| Parameters | China | Thailand (n = 64) | |||
|---|---|---|---|---|---|
| Northeast (n = 50) | Yangtze River Basin (n = 50) | Southeast (n = 50) | |||
| Stable Isotopes (‰) | δ13C | −26.8 ± 0.6 b | −28.5 ± 0.4 d | −27.6 ± 0.8 c | −26.4 ± 0.4 a |
| δ15N | 5.9 ± 1.2 a | 4.5 ± 1.6 b | 4.2 ± 1.0 bc | 3.5 ± 0.8 c | |
| δ2H | −57.4 ± 8.7 ab | −60.6 ± 8.7 b | −54.3 ± 3.9 a | −57.0 ± 5.6 ab | |
| δ18O | 20.6 ± 1.6 b | 18. 8 ± 2.4 c | 19.7 ± 1. 6 ab | 25.9 ± 1.1 a | |
| Elements | Na (mg/kg) | 3.7 ± 7.3 b | 3.7 ± 6.2 b | 6.0 ± 10.6 b | 21.0 ± 13.8 a |
| Mg (mg/kg) | 224.9 ± 99.9 ab | 287.2 ± 190.8 a | 229.6 ± 119.0 ab | 182.8 ± 58.9 b | |
| Al (mg/kg) | 4.1 ± 8.1 a | 4.5 ± 17.1 a | 3.0 ± 6.1 a | 7.3 ± 1.5 a | |
| K (mg/kg) | 885.7 ± 127.3 b | 1103.3 ± 371.0 a | 983.3 ± 309.7 b | 708.8 ± 123.4 c | |
| Ca (mg/kg) | 69.7 ± 29.1 a | 60.1 ± 110.9 a | 60.0 ± 38.2 a | 70.5 ± 31.1 a | |
| Cr (mg/kg) | 0.4 ± 0.3 b | 0.8 ± 1.1 b | 0.4 ± 0.3 b | 1. 8 ± 2.0 a | |
| Mn (mg/kg) | 13.6 ± 3.3 a | 10.5 ± 4.0 b | 11.3 ± 3.6 b | 10.6 ± 2.5 b | |
| Fe (mg/kg) | 8.6 ± 10.5 a | 13.6 ± 19.2 a | 9.9 ± 10.5 a | 13.9 ± 28.6 a | |
| Ni (mg/kg) | 0.7 ± 0.7 a | 0.8 ± 0.6 a | 0.8 ± 0.5 a | 0.6 ± 1.9 a | |
| Cu (mg/kg) | 1.9 ± 0.4 b | 3.0 ± 1.7 a | 2.6 ± 0.5 a | 1.8 ± 0.6 b | |
| Zn (mg/kg) | 13.6 ± 3.3 b | 13.4 ± 3.0 b | 14.0 ± 3.1 b | 20.6 ± 2.7 a | |
| Ga (mg/g) | 28.0 ± 28.0 b | 97.0 ± 62.0 a | 35.0 ± 35.0 b | 3.0 ± 1.0 c | |
| Rb (mg/kg) | 1.9 ± 1.0 bc | 2.9 ± 2.4 b | 1. 5 ± 1.2 c | 4.7 ± 2. 6 a | |
| Sr (mg/kg) | 0.1 ± 0.2 b | 0.1 ± 0.1 b | 0.1 ± 0.1 b | 0.2 ± 0.1 a | |
| Mo (mg/g) | 320.0 ± 110.0 b | 510.0 ± 190.0 a | 480.0 ± 220.0 a | 50.0 ± 10.0 c | |
| Cd (mg/g) | 11.0 ± 26.0 b | 243.0 ± 356.0 a | 46.0 ± 45.0 b | 1.0 ± 2.0 b | |
| Ba (mg/g) | 120.0 ± 110.0 b | 300.0 ± 220.0 a | 100.0 ± 120.0 b | 50.0 ± 30.0 b | |
| Pb (mg/g) | 30.0 ± 40.0 a | 10.0 ± 20.0 a | 80.1 ± 280.0 a | 40.0 ± 20.0 a | |
| Sample Set | Origin | Sample Number | Accuracy |
|---|---|---|---|
| Training set (70%) | Chinese indica rice (Sensitivity) | 42 | 95.3% |
| Thai rice (Specificity) | 45 | 99.3% | |
| All | 87 | 97.3% | |
| Testing set (30%) | Chinese indica rice (Sensitivity) | 13 | 90.0% |
| Thai rice (Specificity) | 23 | 100.0% | |
| All | 36 | 95.0% | |
| External Validation | 10 | 100% | |
Disclaimer/Publisher’s Note: The statements, opinions and data contained in all publications are solely those of the individual author(s) and contributor(s) and not of MDPI and/or the editor(s). MDPI and/or the editor(s) disclaim responsibility for any injury to people or property resulting from any ideas, methods, instructions or products referred to in the content. |
© 2025 by the authors. Licensee MDPI, Basel, Switzerland. This article is an open access article distributed under the terms and conditions of the Creative Commons Attribution (CC BY) license.
Share and Cite
Xing, X.; Sun, F.; Zhang, W.; Zhang, W.; Zhang, Y.; Rogers, K.M.; Li, C.; Yuan, Y. Stable Isotope and Elemental Characteristics for Origin Identification of Rice from China and Thailand. Plants 2026, 15, 42. https://doi.org/10.3390/plants15010042
Xing X, Sun F, Zhang W, Zhang W, Zhang Y, Rogers KM, Li C, Yuan Y. Stable Isotope and Elemental Characteristics for Origin Identification of Rice from China and Thailand. Plants. 2026; 15(1):42. https://doi.org/10.3390/plants15010042
Chicago/Turabian StyleXing, Xiaofan, Fengmei Sun, Weigui Zhang, Weixing Zhang, Yongzhi Zhang, Karyne M. Rogers, Chunlin Li, and Yuwei Yuan. 2026. "Stable Isotope and Elemental Characteristics for Origin Identification of Rice from China and Thailand" Plants 15, no. 1: 42. https://doi.org/10.3390/plants15010042
APA StyleXing, X., Sun, F., Zhang, W., Zhang, W., Zhang, Y., Rogers, K. M., Li, C., & Yuan, Y. (2026). Stable Isotope and Elemental Characteristics for Origin Identification of Rice from China and Thailand. Plants, 15(1), 42. https://doi.org/10.3390/plants15010042

