Response of Photosynthetic Capacity to Nitrogen Addition in Larix gmelinii Trees in Different Crown Classes
Abstract
1. Introduction
2. Results
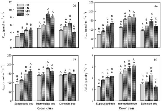
2.1. Comparison of Photosynthetic Characteristics
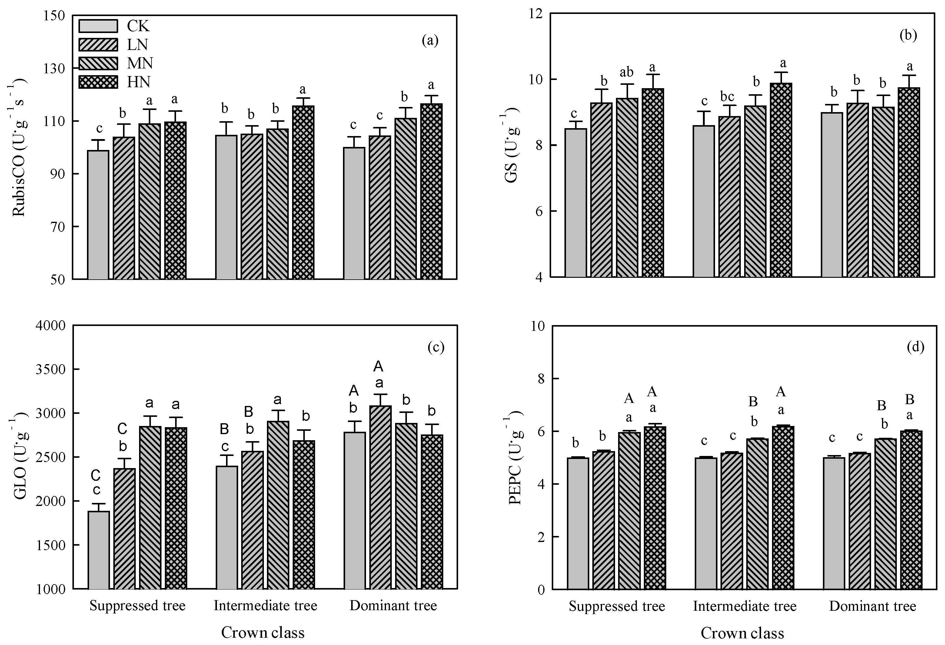
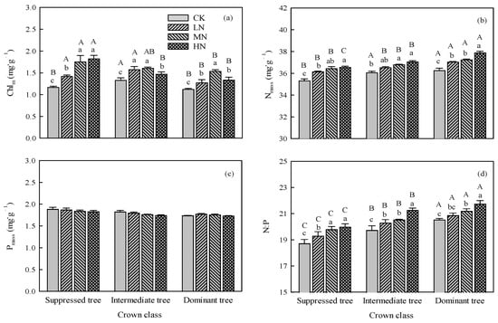
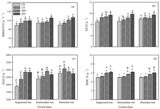
2.2. Comparison of Factors Related to Photosynthetic Capacity
2.3. Relationships Between Photosynthetic Capacity and Its Influencing Factors
3. Discussion
3.1. Effects of N Addition on the Photosynthetic Capacity of Suppressed Trees
3.2. Effects of N Addition on the Photosynthetic Capacity of Dominant and Intermediate Trees
3.3. Differences in Photosynthetic Capacity Among Crown Classes
4. Materials and Methods
4.1. Site Description
4.2. Experimental Design
4.3. Measurements of Leaf Gas Exchange
4.4. Measurements of Leaf Traits
4.5. Data Analyses
5. Conclusions
Author Contributions
Funding
Data Availability Statement
Acknowledgments
Conflicts of Interest
References
- Takashima, T.; Hikosaka, K.; Hirose, T. Photosynthesis or persistence: Nitrogen allocation in leaves of evergreen and deciduous Quercus species. Plant Cell Environ. 2004, 27, 1047–1054. [Google Scholar] [CrossRef]
- Hikosaka, K.; Hanba, Y.; Hirose, T.; Terashima, I. Photosynthetic nitrogen-use efficiency in leaves of woody and herbaceous species. Funct. Ecol. 1998, 12, 896–905. [Google Scholar] [CrossRef]
- Bai, Y.; Wu, J.; Clark, C.M.; Naeem, S.; Pan, Q.; Huang, J.; Zhang, L.; Han, X. Tradeoffs and thresholds in the effects of nitrogen addition on biodiversity and ecosystem functioning: Evidence from inner Mongolia Grasslands. Glob. Change Biol. 2010, 16, 358–372. [Google Scholar] [CrossRef]
- Yu, G.; Jia, Y.; He, N.; Zhu, J.; Chen, Z.; Wang, Q.; Piao, S.; Liu, X.; He, H.; Guo, X. Stabilization of atmospheric nitrogen deposition in China over the past decade. Nat. Geosci. 2019, 12, 424–429. [Google Scholar] [CrossRef]
- Wen, Z.; Xu, W.; Li, Q.; Han, M.; Tang, A.; Zhang, Y.; Luo, X.; Shen, J.; Wang, W.; Li, K. Changes of nitrogen deposition in China from 1980 to 2018. Environ. Int. 2020, 144, 106022. [Google Scholar] [CrossRef]
- Tatarko, A.R.; Knops, J.M. Nitrogen addition and ecosystem functioning: Both species abundances and traits alter community structure and function. Ecosphere 2018, 9, e02087. [Google Scholar] [CrossRef]
- Liang, X.; Zhang, T.; Lu, X.; Ellsworth, D.S.; BassiriRad, H.; You, C.; Wang, D.; He, P.; Deng, Q.; Liu, H. Global response patterns of plant photosynthesis to nitrogen addition: A meta-analysis. Glob. Change Biol. 2020, 26, 3585–3600. [Google Scholar] [CrossRef]
- Sun, L.; Yang, G.; Zhang, Y.; Qin, S.; Dong, J.; Cui, Y.; Liu, X.; Zheng, P.; Wang, R. Leaf functional traits of two species affected by nitrogen addition rate and period not nitrogen compound type in a meadow grassland. Front. Plant Sci. 2022, 13, 841464. [Google Scholar] [CrossRef]
- Hu, M.; Wan, S. Effects of fire and nitrogen addition on photosynthesis and growth of three dominant understory plant species in a temperate forest. J. Plant Ecol. 2019, 12, 759–768. [Google Scholar] [CrossRef]
- Zhang, D.; Peng, Y.; Li, F.; Yang, G.; Wang, J.; Yu, J.; Zhou, G.; Yang, Y. Trait identity and functional diversity co-drive response of ecosystem productivity to nitrogen enrichment. J. Ecol. 2019, 107, 2402–2414. [Google Scholar] [CrossRef]
- Song, W.; Loik, M.E.; Cui, H.; Fan, M.; Sun, W. Effect of nitrogen addition on leaf photosynthesis and water use efficiency of the dominant species Leymus chinensis (Trin.) Tzvelev in a semi-arid meadow steppe. Plant Growth Regul. 2022, 98, 91–102. [Google Scholar] [CrossRef]
- Yang, G.; Zhang, Z.; Zhang, G.; Liu, Q.; Zheng, P.; Wang, R. Tipping point of plant functional traits of Leymus chinensis to nitrogen addition in a temperate grassland. Front. Plant Sci. 2022, 13, 982478. [Google Scholar] [CrossRef] [PubMed]
- Nakaji, T.; Takenaga, S.; Kuroha, M.; Izuta, T. Photosynthetic response of Pines densiflora seedlings to high nitrogen load. Environ. Sci. 2002, 9, 269–282. [Google Scholar]
- Liu, H.; Yin, D.; He, P.; Cadotte, M.W.; Ye, Q. Linking plant functional traits to biodiversity under environmental change. Biol. Divers. 2024, 1, 22–28. [Google Scholar] [CrossRef]
- Yu, J.; Shi, P.; Zong, N.; Song, M.; Miao, Y.; Huang, X.; Chen, X.; Hei, H. Responses of Intraspecific and Interspecific Trait Variations to Nitrogen Addition in a Tibetan Alpine Meadow. Plants 2024, 13, 1764. [Google Scholar] [CrossRef]
- Zhang, X.; Li, B.; Peñuelas, J.; Sardans, J.; Cheng, D.; Yu, H.; Zhong, Q. Resource-acquisitive species have greater plasticity in leaf functional traits than resource-conservative species in response to nitrogen addition in subtropical China. Sci. Total Environ. 2023, 903, 166177. [Google Scholar] [CrossRef]
- Chen, S.; Shahi, C.; Chen, H.Y.; McLaren, B. Economic analysis of forest management alternatives: Compositional objectives, rotation ages, and harvest methods in boreal forests. For. Policy Econ. 2017, 85, 124–134. [Google Scholar] [CrossRef]
- Randerson, J.T.; Liu, H.; Flanner, M.G.; Chambers, S.D.; Jin, Y.; Hess, P.G.; Pfister, G.; Mack, M.; Treseder, K.; Welp, L. The impact of boreal forest fire on climate warming. Science 2006, 314, 1130–1132. [Google Scholar] [CrossRef]
- The National Forestry and Grassland Administration. China Forest Resources Report; China Forestry Publishing House: Beijing, China, 2019; pp. 275–365. [Google Scholar]
- Zhao, Q.; Liu, X.; Hu, Y.; Zeng, D. Effects of nitrogen addition on nutrient allocation and nutrient resorption efficiency in Larix gmelinii. Sci. Silvae Sin. 2010, 46, 14–19. [Google Scholar] [CrossRef]
- Guo, S.; Yan, X.; Bai, B.; Yu, S. Effects of nitrogen supply on photosynthesis in larch seedlings. Acta Ecol. Sin. 2005, 25, 1291–1298. [Google Scholar] [CrossRef]
- Liu, G.; Yin, Z.; Yan, G.; Liu, S.; Wang, X.; Xing, Y.; Wang, Q. Effects of long-term nitrogen addition on the δ15N and δ13C of Larix gmelinii and soil in a boreal forest. Ecol. Process. 2022, 11, 37. [Google Scholar] [CrossRef]
- Zhang, X.; Su, J.; Ji, Y.; Zhao, J.; Gao, J. Nitrogen deposition affects the productivity of planted and natural forests by modulating forest climate and community functional traits. For. Ecol. Manag. 2024, 563, 121970. [Google Scholar] [CrossRef]
- Liu, X.; Zhang, Y.; Han, W.; Tang, A.; Shen, J.; Cui, Z.; Vitousek, P.; Erisman, J.W.; Goulding, K.; Christie, P. Enhanced nitrogen deposition over China. Nature 2013, 494, 459–462. [Google Scholar] [CrossRef] [PubMed]
- Huang, W.; Zhou, G.; Liu, J.; Zhang, D.; Xu, Z.; Liu, S. Effects of elevated carbon dioxide and nitrogen addition on foliar stoichiometry of nitrogen and phosphorus of five tree species in subtropical model forest ecosystems. Environ. Pollut. 2012, 168, 113–120. [Google Scholar] [CrossRef] [PubMed]
- Shi, B.; Ling, X.; Cui, H.; Song, W.; Gao, Y.; Sun, W. Response of nutrient resorption of Leymus chinensis to nitrogen and phosphorus addition in a meadow steppe of northeast China. Plant Biol. 2020, 22, 1123–1132. [Google Scholar] [CrossRef]
- Lü, X.T.; Reed, S.; Yu, Q.; He, N.P.; Wang, Z.W.; Han, X.G. Convergent responses of nitrogen and phosphorus resorption to nitrogen inputs in a semiarid grassland. Glob. Change Biol. 2013, 19, 2775–2784. [Google Scholar] [CrossRef]
- Jiang, S.; Wei, L.; Yang, S.; Xiao, D.; Wang, X.; Hou, J. Short term responses of photosynthetic pigments and nonstructural carbohydrates to simulated nitrogen deposition in three provenances of Pinus tabulaeformis Carr. seedlings. Acta Ecol. Sin. 2015, 35, 7061–7070. [Google Scholar] [CrossRef]
- de Ávila Silva, L.; Condori-Apfata, J.A.; Marcelino, M.M.; Tavares, A.C.A.; Raimundi, S.C.J.; Martino, P.B.; Araújo, W.L.; Zsögön, A.; Sulpice, R.; Nunes-Nesi, A. Nitrogen differentially modulates photosynthesis, carbon allocation and yield related traits in two contrasting Capsicum chinense cultivars. Plant Sci. 2019, 283, 224–237. [Google Scholar] [CrossRef]
- Carrión, C.A.; Martínez, D.E.; Costa, M.L.; Guiamet, J.J. Senescence-associated vacuoles, a specific lytic compartment for degradation of chloroplast proteins? Plants 2014, 3, 498–512. [Google Scholar] [CrossRef]
- Wei, X.; Han, L.; Xu, N.; Sun, M.; Yang, X. Nitrate nitrogen enhances the efficiency of photoprotection in Leymus chinensis under drought stress. Front. Plant Sci. 2024, 15, 1348925. [Google Scholar] [CrossRef]
- Evans, J.R.; Clarke, V.C. The nitrogen cost of photosynthesis. J. Exp. Bot. 2019, 70, 7–15. [Google Scholar] [CrossRef] [PubMed]
- Liu, B.; Gao, D.; Chang, Q.; Liu, Z.; Fan, X.; Meng, D.; Bai, E. Leaf enzyme plays a more important role in leaf nitrogen resorption efficiency than soil properties along an elevation gradient. J. Ecol. 2022, 110, 2603–2614. [Google Scholar] [CrossRef]
- Evans, J.R. Photosynthesis and nitrogen relationships in leaves of C3 plants. Oecologia 1989, 78, 9–19. [Google Scholar] [CrossRef]
- Chandler, J.; Dale, J. Nitrogen deficiency and fertilization effects on needle growth and photosynthesis in Sitka spruce (Picea sitchensis). Tree Physiol. 1995, 15, 813–817. [Google Scholar] [CrossRef][Green Version]
- Foyer, C.H.; Bloom, A.J.; Queval, G.; Noctor, G. Photorespiratory metabolism: Genes, mutants, energetics, and redox signaling. Annu. Rev. Plant Biol. 2009, 60, 455–484. [Google Scholar] [CrossRef] [PubMed]
- Li, X.; Chen, L.; Zeng, X.; Wu, K.; Huang, J.; Liao, M.; Xi, Y.; Zhu, G.; Zeng, X.; Hou, X. Wounding induces a peroxisomal H2O2 decrease via glycolate oxidase-catalase switch dependent on glutamate receptor-like channel-supported Ca2+ signaling in plants. Plant J. 2023, 116, 1325–1341. [Google Scholar] [CrossRef]
- Leng, X.; Wang, H.; Cao, L.; Chang, R.; Zhang, S.; Xu, C.; Yu, J.; Xu, X.; Qu, C.; Xu, Z. Overexpressing GLUTAMINE SYNTHETASE 1; 2 maintains carbon and nitrogen balance under high-ammonium conditions and results in increased tolerance to ammonium toxicity in hybrid poplar. J. Exp. Bot. 2024, 75, 4052–4073. [Google Scholar] [CrossRef]
- Pei, H.; Gao, W.; Fang, J.; Ye, K.; Zhu, Y.; Huang, F.; Li, Q. Effects of simulated nitrogen deposition on growth and photosynthetic characteristics of one-year-old Toona sinensis seedlings. Chin. J. Eco-Agric. 2019, 27, 1546–1552. [Google Scholar] [CrossRef]
- Lu, X.; Mo, J.; Peng, S.; Fang, Y.; Li, D.; Lin, Q. Effects of simulated N deposition on free amino acids and soluble protein of three dominant understory species in a monsoon evergreen broad-leaved forest of subtropical China. Acta Ecol. Sin. 2006, 26, 743–753. [Google Scholar]
- van Dijk, H.F.; Roelofs, J.G. Effects of excessive ammonium deposition on the nutritional status and condition of pine needles. Physiol. Plant. 1988, 73, 494–501. [Google Scholar] [CrossRef]
- Zou, A.-L.; Li, X.-P.; Ni, X.-F.; Ji, C.-J. Responses of tree growth to nitrogen addition in Quercus wutaishanica forests in mount Dongling, Beijing, China. Chin. J. Plant Ecol. 2019, 43, 783–792. [Google Scholar] [CrossRef]
- Zhang, G.; Zhang, L.; Wen, D. Photosynthesis of subtropical forest species from different successional status in relation to foliar nutrients and phosphorus fractions. Sci. Rep. 2018, 8, 10455. [Google Scholar] [CrossRef]
- Li, L.; Liu, B.; Gao, X.; Li, X.; Li, C. Nitrogen and phosphorus addition differentially affect plant ecological stoichiometry in desert grassland. Sci. Rep. 2019, 9, 18673. [Google Scholar] [CrossRef]
- Wang, Z.; Wang, J.; Wu, H.; Yang, T.; An, Y.; Zhang, Y.; Bian, J.; Li, Y.; Ren, H.; Lkhagva, A. Nitrogen addition alters aboveground C:N:P stoichiometry of plants but not for belowground in an Inner Mongolia grassland. J. Plant Ecol. 2024, 17, rtad041. [Google Scholar] [CrossRef]
- Menge, D.N.; Field, C.B. Simulated global changes alter phosphorus demand in annual grassland. Glob. Change Biol. 2007, 13, 2582–2591. [Google Scholar] [CrossRef]
- Chen, F.-S.; Niklas, K.J.; Liu, Y.; Fang, X.-M.; Wan, S.-Z.; Wang, H. Nitrogen and phosphorus additions alter nutrient dynamics but not resorption efficiencies of Chinese fir leaves and twigs differing in age. Tree Physiol. 2015, 35, 1106–1117. [Google Scholar] [CrossRef]
- Dusenge, M.E.; Duarte, A.G.; Way, D.A. Plant carbon metabolism and climate change: Elevated CO2 and temperature impacts on photosynthesis, photorespiration and respiration. New Phytol. 2019, 221, 32–49. [Google Scholar] [CrossRef]
- Ye, X.; Bu, W.; Hu, X.; Liu, B.; Liang, K.; Chen, F. Species divergence in seedling leaf traits and tree growth response to nitrogen and phosphorus additions in an evergreen broadleaved forest of subtropical China. J. For. Res. 2023, 34, 137–150. [Google Scholar] [CrossRef]
- Elvir, J.A.; Wiersma, G.B.; Day, M.E.; Greenwood, M.S.; Fernandez, I.J. Effects of enhanced nitrogen deposition on foliar chemistry and physiological processes of forest trees at the Bear Brook Watershed in Maine. For. Ecol. Manag. 2006, 221, 207–214. [Google Scholar] [CrossRef]
- Liu, N.; Zhang, S.; Huang, Y.; Wang, J.; Cai, H. Canopy and understory additions of nitrogen change the chemical composition, construction cost, and payback time of dominant woody species in an evergreen broadleaved forest. Sci. Total Environ. 2020, 727, 138738. [Google Scholar] [CrossRef]
- Xing, H.; Zhou, W.; Wang, C.; Li, L.; Li, X.; Cui, N.; Hao, W.; Liu, F.; Wang, Y. Excessive nitrogen application under moderate soil water deficit decreases photosynthesis, respiration, carbon gain and water use efficiency of maize. Plant Physiol. Biochem. 2021, 166, 1065–1075. [Google Scholar] [CrossRef] [PubMed]
- Sperling, O.; Karunakaran, R.; Erel, R.; Yasuor, H.; Klipcan, L.; Yermiyahu, U. Excessive nitrogen impairs hydraulics, limits photosynthesis, and alters the metabolic composition of almond trees. Plant Physiol. Biochem. 2019, 143, 265–274. [Google Scholar] [CrossRef] [PubMed]
- Liu, G.; Yan, G.; Chang, M.; Huang, B.; Sun, X.; Han, S.; Xing, Y.; Wang, Q. Long-term nitrogen addition further increased carbon sequestration in a boreal forest. Eur. J. For. Res. 2021, 140, 1113–1126. [Google Scholar] [CrossRef]
- Sharkey, T.D. What gas exchange data can tell us about photosynthesis. Plant Cell Environ. 2015, 39, 1161–1163. [Google Scholar] [CrossRef]
- Qin, J.; Yue, X.; Fang, S.; Qian, M.; Zhou, S.; Shang, X.; Yang, W. Responses of nitrogen metabolism, photosynthetic parameter and growth to nitrogen fertilization in Cyclocarya paliurus. For. Ecol. Manag. 2021, 502, 119715. [Google Scholar] [CrossRef]
- Ritchie, R.J. Consistent sets of spectrophotometric chlorophyll equations for acetone, methanol and ethanol solvents. Photosynth. Res. 2006, 89, 27–41. [Google Scholar] [CrossRef]






| Variable | Crown Class | Nitrogen Addition | Crown Class × Nitrogen Addition | |||
|---|---|---|---|---|---|---|
| F | p | F | p | F | p | |
| Pmax | 50.85 | <0.01 | 17.37 | <0.01 | 6.67 | <0.01 |
| Vcmax | 32.63 | <0.01 | 14.93 | <0.01 | 3.26 | <0.01 |
| Jmax | 8.96 | <0.01 | 9.14 | <0.01 | 2.48 | 0.04 |
| Nmass | 8.31 | <0.01 | 17.79 | <0.01 | 3.92 | <0.01 |
| Pmass | 17.44 | <0.01 | 1.64 | 0.19 | 0.79 | 0.58 |
| N:P | 28.00 | <0.01 | 6.78 | <0.01 | 2.32 | 0.05 |
| PNUE | 56.84 | <0.01 | 9.17 | <0.01 | 4.12 | <0.01 |
| Chlm | 11.54 | <0.01 | 15.97 | <0.01 | 3.37 | <0.01 |
| SLA | 47.50 | <0.01 | 1.84 | 0.15 | 6.18 | <0.01 |
| RubisCO | 6.38 | <0.01 | 59.42 | <0.01 | 2.69 | 0.02 |
| GS | 1.72 | 0.13 | 41.97 | <0.01 | 3.99 | 0.02 |
| GLO | 5.29 | 0.10 | 1.72 | 0.18 | 2.30 | 0.05 |
| PEPC | 7.95 | <0.01 | 199.04 | <0.01 | 3.41 | <0.01 |
Disclaimer/Publisher’s Note: The statements, opinions and data contained in all publications are solely those of the individual author(s) and contributor(s) and not of MDPI and/or the editor(s). MDPI and/or the editor(s) disclaim responsibility for any injury to people or property resulting from any ideas, methods, instructions or products referred to in the content. |
© 2025 by the authors. Licensee MDPI, Basel, Switzerland. This article is an open access article distributed under the terms and conditions of the Creative Commons Attribution (CC BY) license (https://creativecommons.org/licenses/by/4.0/).
Share and Cite
Cai, R.; Wang, J.; Zhang, R.; Wang, Q.; Wang, C.; Quan, X. Response of Photosynthetic Capacity to Nitrogen Addition in Larix gmelinii Trees in Different Crown Classes. Plants 2025, 14, 1056. https://doi.org/10.3390/plants14071056
Cai R, Wang J, Zhang R, Wang Q, Wang C, Quan X. Response of Photosynthetic Capacity to Nitrogen Addition in Larix gmelinii Trees in Different Crown Classes. Plants. 2025; 14(7):1056. https://doi.org/10.3390/plants14071056
Chicago/Turabian StyleCai, Ruijia, Jingjing Wang, Rui Zhang, Qinggui Wang, Chuankuan Wang, and Xiankui Quan. 2025. "Response of Photosynthetic Capacity to Nitrogen Addition in Larix gmelinii Trees in Different Crown Classes" Plants 14, no. 7: 1056. https://doi.org/10.3390/plants14071056
APA StyleCai, R., Wang, J., Zhang, R., Wang, Q., Wang, C., & Quan, X. (2025). Response of Photosynthetic Capacity to Nitrogen Addition in Larix gmelinii Trees in Different Crown Classes. Plants, 14(7), 1056. https://doi.org/10.3390/plants14071056

