Weighted Gene Correlation Network Analysis Reveals Key Regulatory Genes Influencing Selenium Enrichment and Yield with Exogenous Selenite in Tartary Buckwheat
Abstract
1. Introduction
2. Results
2.1. Photosynthetic Pigment Contents
2.2. Sucrose and Starch Contents and GPx Activity in Leaves and Grains
2.3. Agronomic, Yield-Related, and Quality Traits and Se Concentrations in Mature Grains
2.4. Quality Control of the Transcriptome Sequence
2.5. Differentially Expressed Genes (DEGs) and Kyoto Encyclopedia of Genes and Genomes (KEGG) Pathway Analyses
2.6. Weighted Gene Co-Expression Network Analysis (WGCNA) of Filtered Genes
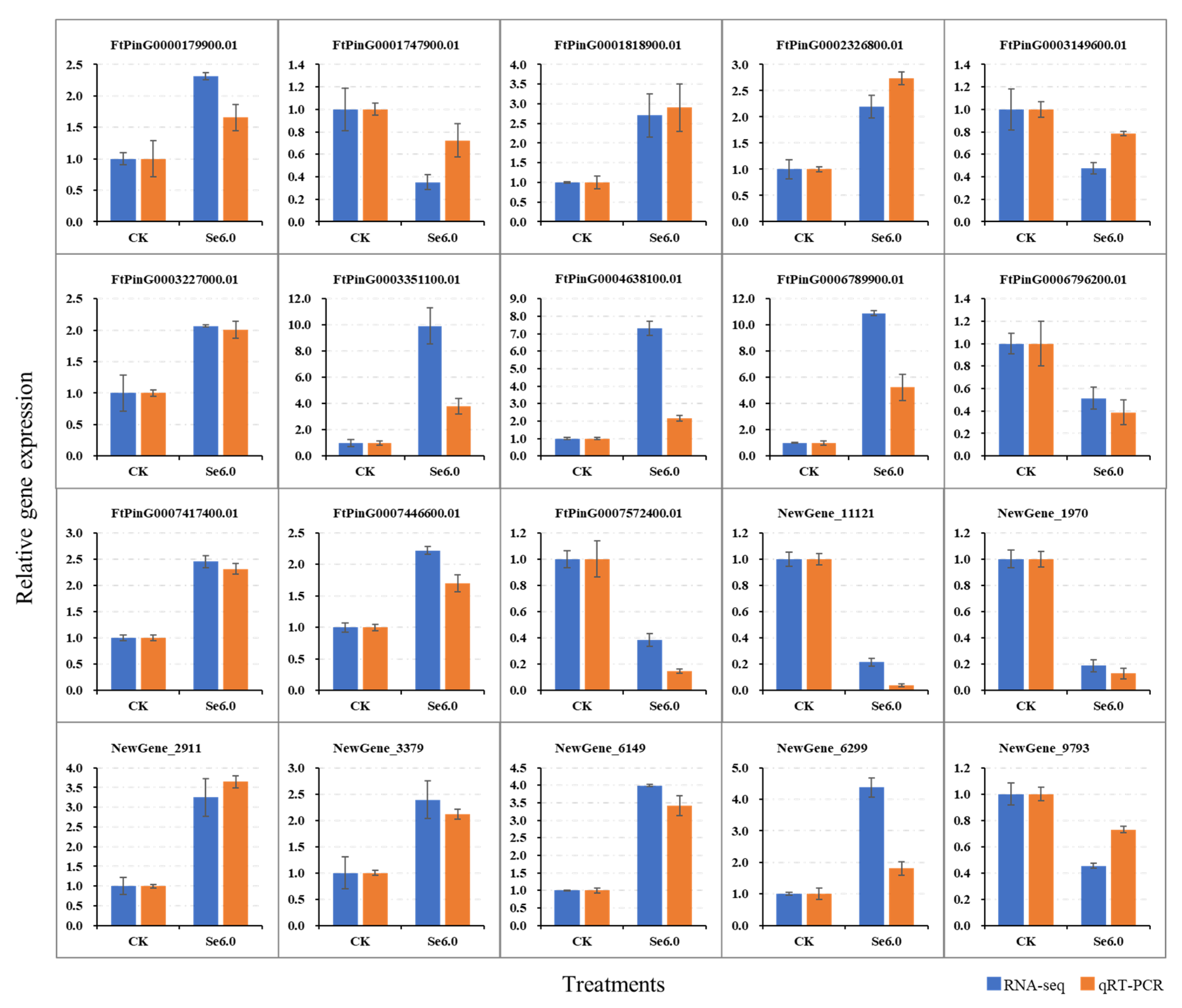
2.7. Real-Time Quantitative Polymerase Chain Reaction (qRT-PCR) Verification of Candidate Genes
3. Discussion
3.1. Exogenous Se Effectively Promotes the Se Contents in Grains of Tartary Buckwheat Grains
3.2. Candidate Genes Involved in the Regulation of Se Absorption, Translocation, and Metabolism
3.3. Physiological Mechanism by Which Se Increases the Yield of Tartary Buckwheat
3.4. A Hypothetical Regulation Model of the Genes Responding to Se in Tartary Buckwheat
4. Materials and Methods
4.1. Plant Materials
4.2. Experimental Design
4.3. Measurement of Photosynthetic Pigment Content
4.4. Identification of Sucrose and Starch Content, and Glutathione Peroxidase Activity
4.5. Investigation of Agronomic and Yield-Related Traits
4.6. Determination of Grain Quality and Se Content
4.7. RNA Isolation and Sequencing
4.8. Transcriptome Assembly, DEGs, and Annotation Analysis
4.9. WGCNA of Physiological Index in Leaves and Grains
4.10. qRT-PCR Validation
4.11. Statistical Analysis
5. Conclusions
Supplementary Materials
Author Contributions
Funding
Data Availability Statement
Conflicts of Interest
References
- Vindry, C.; Ohlmann, T.; Chavatte, L. Selenium metabolism, regulation, and sex differences in mammals. In Selenium; Springer: Berlin, Germany, 2018; pp. 89–107. [Google Scholar]
- Shi, Y.; Yang, W.; Tang, X.; Yan, Q.; Cai, X.; Wu, F. Keshan disease: A potentially fatal endemic cardiomyopathy in remote mountains of China. Front. Pediatr. 2021, 9, 576916. [Google Scholar] [CrossRef] [PubMed]
- Shi, Z.; Pan, P.; Feng, Y.; Kan, Z.; Li, Z.; Wei, F. Environmental water chemistry and possible correlation with Kaschin-Beck Disease (KBD) in northwestern Sichuan, China. Environ. Int. 2017, 99, 282–292. [Google Scholar] [CrossRef] [PubMed]
- Dinh, Q.T.; Cui, Z.; Huang, J.; Tran, T.A.T.; Wang, D.; Yang, W.; Zhou, F.; Wang, M.; Yu, D.; Liang, D. Selenium distribution in the Chinese environment and its relationship with human health: A review. Environ. Int. 2018, 112, 294–309. [Google Scholar] [CrossRef] [PubMed]
- Xie, M.; Sun, X.; Li, P.; Shen, X.; Fang, Y. Selenium in cereals: Insight into species of the element from total amount. Compr. Rev. Food Sci. Food Saf. 2021, 20, 2914–2940. [Google Scholar] [CrossRef]
- Zhang, R.; Wang, Z.; Fei, Y.; Zhou, B.; Zheng, S.; Wang, L.; Huang, L.; Jiang, S.; Liu, Z.; Jiang, J.; et al. The difference in nutrient intakes between Chinese and Mediterranean, Japanese and American diets. Nutrients 2015, 7, 4661–4688. [Google Scholar] [CrossRef] [PubMed]
- El-Ramady, H.; Abdalla, N.; Alshaal, T.; Domokos-Szabolcsy, E.; Elhawat, N.; Prokisch, J.; Sztrik, A.; Fári, M.; El-Marsafawy, S.; Shams, M.S. Selenium in soils under climate change, implication for human health. Environ. Chem. Lett. 2015, 13, 1–19. [Google Scholar] [CrossRef]
- Zou, L.; Wu, D.; Ren, G.; Hu, Y.; Peng, L.; Zhao, J.; Garcia-Perez, P.; Carpena, M.; Prieto, M.A.; Cao, H.; et al. Bioactive compounds, health benefits, and industrial applications of Tartary buckwheat (Fagopyrum tataricum). Crit. Rev. Food Sci. Nutr. 2023, 63, 657–673. [Google Scholar] [CrossRef] [PubMed]
- Hawrylak-Nowak, B.; Hasanuzzaman, M.; Matraszek-Gawron, R. Mechanisms of selenium-induced enhancement of abiotic stress tolerance in plants. In Plant Nutrients and Abiotic Stress Tolerance; Springer: Singapore, 2018; pp. 269–295. [Google Scholar]
- Yang, H.; Yang, X.; Ning, Z.; Kwon, S.Y.; Li, M.L.; Tack, F.M.; Kwon, E.E.; Rinklebe, J.; Yin, R. The beneficial and hazardous effects of selenium on the health of the soil-plant-human system: An overview. J. Hazard. Mater. 2022, 422, 126876. [Google Scholar] [CrossRef]
- Ramos, D.P.; Chan, G.A.H.; Dias, M.A.R.; Silva, D.V.; Sousa, P.L.R.; Júnior, N.R.M.; Leal, T.H.V.; de Oliveira, W.T.M.; Dias, D.S.; Cavallini, G.S.; et al. Effect of foliar application with selenium on biofortification and physiological attributes of irrigated rice cultivars. J. Food Compos. Anal. 2023, 123, 105534. [Google Scholar] [CrossRef]
- Lara, T.S.; de Lima Lessa, J.H.; de Souza, K.R.D.; Corguinha, A.P.B.; Martins, F.A.D.; Lopes, G.; Guilherme, L.R.G. Selenium biofortification of wheat grain via foliar application and its effect on plant metabolism. J. Food Compos. Anal. 2019, 81, 10–18. [Google Scholar] [CrossRef]
- Chen, P.; Shaghaleh, H.; Hamoud, Y.A.; Wang, J.; Pei, W.; Yuan, X.; Liu, J.; Qiao, C.; Xia, W.; Wang, J. Selenium-containing organic fertilizer application affects yield, quality, and distribution of selenium in wheat. Life 2023, 13, 1849. [Google Scholar] [CrossRef]
- Gao, F.; Wang, L.; Zhao, R.; Wang, Y.; Ma, Y.; Yang, R.; Zhang, Q.; Wang, C. Rational Combination of selenium application rate and planting density to improve selenium uptake, agronomic traits, and yield of dryland maize. Plants 2024, 13, 1327. [Google Scholar] [CrossRef] [PubMed]
- Chen, X.; Li, X.; Zhang, Z.; Wang, C.; Li, Y.; Lu, H.; Ma, K.; Gao, Z.; Yin, X.; Chen, F.; et al. Foliar application of selenium promotes starch content accumulation and quality enhancement in foxtail millet grains. Field Crops Res. 2024, 310, 109352. [Google Scholar] [CrossRef]
- Cunha, M.L.O.; Oliveira, L.C.A.; Silva, V.M.; Agathokleous, E.; Vicente, E.F.; Reis, A.R.D. Selenium promotes hormesis in physiological, biochemical, and biological nitrogen fixation traits in cowpea plants. Plant Soil 2024, 501, 555–572. [Google Scholar] [CrossRef]
- Malik, J.A.; Kumar, S.; Thakur, P.; Sharma, S.; Kaur, N.; Kaur, R.; Pathania, D.; Bhandhari, K.; Kaushal, N.; Singh, K.; et al. Promotion of growth in mungbean (Phaseolus aureus Roxb.) by selenium is associated with stimulation of carbohydrate metabolism. Biol. Trace Elem. Res. 2011, 143, 530–539. [Google Scholar] [CrossRef] [PubMed]
- Liu, P.; Song, L.; Hao, S.; Qin, J.; Yang, C.; Yang, W.; Feng, M.; Zhang, M.; Wang, C.; Song, X. Effects of selenium application concentration, period and method on the selenium content and grain yield of Tartary buckwheat of different varieties. J. Sci. Food Agric. 2022, 102, 6868–6876. [Google Scholar] [CrossRef] [PubMed]
- Golob, A.; Germ, M.; Kreft, I.; Zelnik, I.; Kristan, U.; Stibilj, V. Selenium uptake and Se compounds in Se-treated buckwheat. Acta Bot. Croat. 2016, 75, 17–24. [Google Scholar] [CrossRef][Green Version]
- Ma, H.; Wang, C.; Wu, X.; Lu, J.; Bai, C.; Wu, W.; Wu, Z. Effects of sodium selenite application on photosynthesis and antioxidant enzyme activity of Tartary buckwheat. J. Irrig. Drain. 2023, 42, 1–6. [Google Scholar]
- Cao, C.; Lv, H.; Hao, Z.; Gao, X. The effects of exogenous selenium on photosynthetic characteristics, selenium accumulation in grains, yield and quality of ‘jin tartary buckwheat 5’. China Soil Fert. Sci. 2021, 22, 207–213. [Google Scholar]
- Danso, O.P.; Asante-Badu, B.; Zhang, Z.; Song, J.; Wang, Z.; Yin, X.; Zhu, R. Selenium biofortification: Strategies, progress and challenges. Agriculture 2023, 13, 416. [Google Scholar] [CrossRef]
- Khan, Z.; Thounaojam, T.C.; Chowdhury, D.; Upadhyaya, H. The role of selenium and nano selenium on physiological responses in plant: A review. Plant Growth Regul. 2023, 100, 409–433. [Google Scholar] [CrossRef] [PubMed]
- Somagattu, P.; Chinnannan, K.; Yammanuru, H.; Reddy, U.K.; Nimmakayala, P. Selenium dynamics in plants: Uptake, transport, toxicity, and sustainable management strategies. Sci. Total Environ. 2024, 949, 175033. [Google Scholar] [CrossRef]
- Zhao, X.Q.; Mitani, N.; Yamaji, N.; Shen, R.F.; Ma, J.F. Involvement of silicon influx transporter OsNIP2;1 in selenite uptake in rice. Plant Physiol. 2010, 153, 1871–1877. [Google Scholar] [CrossRef] [PubMed]
- Zhang, L.; Hu, B.; Li, W.; Che, R.; Deng, K.; Li, H.; Yu, F.; Ling, H.; Li, Y.; Chu, C. OsPT2, a phosphate transporter, is involved in the active uptake of selenite in rice. New Phytol. 2014, 201, 1183–1191. [Google Scholar] [CrossRef] [PubMed]
- Song, Z.; Shao, H.; Huang, H.; Shen, Y.; Wang, L.; Wu, F.; Han, D.; Song, J.; Jia, H. Overexpression of the phosphate transporter gene OsPT8 improves the Pi and selenium contents in Nicotiana tabacum. Environ. Exp. Bot. 2017, 137, 158–165. [Google Scholar] [CrossRef]
- Cheng, H.; Li, L.; Dong, J.; Wang, S.; Wu, S.; Rao, S.; Li, L.; Cheng, S.; Li, L. Transcriptome and physiological determination reveal the effects of selenite on the growth and selenium metabolism in mung bean sprouts. Food Res. Int. 2023, 169, 112880. [Google Scholar] [CrossRef] [PubMed]
- Barozzi, F.; Papadia, P.; Stefano, G.; Renna, L.; Brandizzi, F.; Migoni, D.; Fanizzi, F.P.; Piro, G.; Di Sansebastiano, G.P. Variation in membrane trafficking linked to SNARE AtSYP51 interaction with aquaporin NIP1; 1. Front. Plant Sci. 2019, 9, 1949. [Google Scholar] [CrossRef] [PubMed]
- Zhang, M.; Liu, R.; Liu, H.; Yang, H.; Li, X.; Wang, P.; Zhu, F.; Xu, R.; Xue, S.; Cheng, Y. Citrus NIP5;1 aquaporin regulates cell membrane water permeability and alters PIPs plasma membrane localization. Plant Mol. Biol. 2021, 106, 449–462. [Google Scholar] [CrossRef]
- Pommerrenig, B.; Diehn, T.A.; Bienert, G.P. Metalloido-porins: Essentiality of Nodulin 26-like intrinsic proteins in metalloid transport. Plant Sci. 2015, 238, 212–227. [Google Scholar] [CrossRef]
- Zhang, L.; Yu, F.; Shi, W.; Li, Y.; Miao, Y. Physiological characteristics of selenite uptake by maize roots in response to different pH levels. J. Plant Nutr. Soil Sci. 2010, 173, 417–422. [Google Scholar] [CrossRef]
- Ayadi, A.; David, P.; Arrighi, J.F.; Chiarenza, S.; Thibaud, M.C.; Nussaume, L.; Marin, E. Reducing the genetic redundancy of Arabidopsis PHOSPHATE TRANSPORTER1 transporters to study phosphate uptake and signaling. Plant Physiol. 2015, 167, 1511–1526. [Google Scholar] [CrossRef] [PubMed]
- Cao, G.H.; Li, Z.D.; Wang, X.F.; Zhang, X.; Zhao, R.H.; Gu, W.; Chen, D.; Yu, J.; He, S. Phosphate transporters, PnPht1;1 and PnPht1;2 from Panax notoginseng enhance phosphate and arsenate acquisition. BMC Plant Biol. 2020, 20, 124. [Google Scholar] [CrossRef] [PubMed]
- Li, H.F.; McGrath, S.P.; Zhao, F.J. Selenium uptake, translocation and speciation in wheat supplied with selenate or selenite. New Phytol. 2008, 178, 92–102. [Google Scholar] [CrossRef] [PubMed]
- Schiavon, M.; Pilon-Smits, E.A. The fascinating facets of plant selenium accumulation–biochemistry, physiology, evolution and ecology. New Phytol. 2017, 213, 1582–1596. [Google Scholar] [CrossRef] [PubMed]
- Jiang, H.; Lin, W.; Jiao, H.; Liu, J.; Chan, L.; Liu, X.; Wang, R.; Chen, T. Uptake, transport, and metabolism of selenium and its protective effects against toxic metals in plants: A review. Metallomics 2021, 13, mfab040. [Google Scholar] [CrossRef]
- Zhang, H.; Hao, X.; Zhang, J.; Wang, L.; Wang, Y.; Li, N.; Guo, L.; Ren, H.; Zeng, J. Genome-wide identification of SULTR genes in tea plant and analysis of their expression in response to sulfur and selenium. Protoplasma 2022, 259, 127–140. [Google Scholar] [CrossRef]
- Zhang, S.; Xue, Y.; Liu, N.; Quzhen, D.; Qiong, D.; Liao, Y.; Zhang, W.; Ye, J.; Wang, Q.; Xu, F. Isolation and characterization of the sulfate transporter gene family and its expression pattern in response to selenium and abiotic stress in walnuts (Juglans regia L.). Forests 2024, 15, 702. [Google Scholar] [CrossRef]
- Weichert, A.; Brinkmann, C.; Komarova, N.Y.; Dietrich, D.; Thor, K.; Meier, S.; Suter Grotemeyer, M.; Rentsch, D. AtPTR4 and AtPTR6 are differentially expressed, tonoplast-localized members of the peptide transporter/nitrate transporter 1 (PTR/NRT1) family. Planta 2012, 235, 311–323. [Google Scholar] [CrossRef] [PubMed]
- Cheng, H.; Chang, S.; Shi, X.; Chen, Y.; Cong, X.; Cheng, S.; Li, L. Molecular mechanisms of the effects of sodium selenite on the growth, nutritional quality, and species of organic selenium in dandelions. Horticulturae 2024, 10, 209. [Google Scholar] [CrossRef]
- Zhang, L.; Hu, B.; Deng, K.; Gao, X.; Sun, G.; Zhang, Z.; Li, P.; Wang, W.; Li, H.; Zhang, Z.; et al. NRT1.1B improves selenium concentrations in rice grains by facilitating selenomethinone translocation. Plant Biotechnol. J. 2019, 17, 1058–1068. [Google Scholar] [CrossRef] [PubMed]
- Zheng, Q.; Guo, L.; Huang, J.; Hao, X.; Li, X.; Li, N.; Wang, Y.; Zhang, K.; Wang, X.; Wang, L.; et al. Comparative transcriptomics provides novel insights into the mechanisms of selenium accumulation and transportation in tea cultivars (Camellia sinensis (L.) O. Kuntze). Front. Plant Sci. 2023, 14, 1268537. [Google Scholar] [CrossRef] [PubMed]
- Goyer, A.; Collakova, E.; Shachar-Hill, Y.; Hanson, A.D. Functional characterization of a methionine γ-lyase in Arabidopsis and its implication in an alternative to the reverse trans-sulfuration pathway. Plant Cell Physiol. 2007, 48, 232–242. [Google Scholar] [CrossRef] [PubMed]
- Joshi, V.; Jander, G. Arabidopsis methionine γ-lyase is regulated according to isoleucine biosynthesis needs but plays a subordinate role to threonine deaminase. Plant Physiol. 2009, 151, 367–378. [Google Scholar] [CrossRef] [PubMed]
- Rao, S.; Yu, T.; Cong, X.; Xu, F.; Lai, X.; Zhang, W.; Liao, Y.; Cheng, S. Integration analysis of PacBio SMRT-and Illumina RNA-seq reveals candidate genes and pathway involved in selenium metabolism in hyperaccumulator Cardamine violifolia. BMC Plant Biol. 2020, 20, 492. [Google Scholar] [CrossRef] [PubMed]
- Ren, Y.; Zhang, Q.; Li, X.; Zhang, T.; Tian, D.; Liu, L.; Dong, X.; Wang, Z.Y.; Chai, M. Effects of selenium content on growth, antioxidant activity, and key selenium-enriched gene expression in alfalfa sprouts. Foods 2024, 13, 2261. [Google Scholar] [CrossRef]
- Dai, Z.H.; Ding, S.; Chen, J.Y.; Han, R.; Cao, Y.; Liu, X.; Tu, S.; Guan, D.X.; Ma, L.Q. Selenate increased plant growth and arsenic uptake in As-hyperaccumulator Pteris vittata via glutathione-enhanced arsenic reduction and translocation. J. Hazard. Mater. 2022, 424, 127581. [Google Scholar] [CrossRef] [PubMed]
- Li, W.; He, S.X.; Zhou, Q.Y.; Dai, Z.H.; Liu, C.J.; Xiao, S.F.; Deng, S.G.; Ma, L.Q. Foliar-selenium enhances plant growth and arsenic accumulation in As-hyperaccumulator Pteris vittata: Critical roles of GSH-GSSG cycle and arsenite antiporters PvACR3. J. Hazard. Mater. 2024, 476, 135154. [Google Scholar] [CrossRef]
- Chen, J.W.; Dodia, C.; Feinstein, S.I.; Jain, M.K.; Fisher, A.B. 1-Cys peroxiredoxin, a bifunctional enzyme with glutathione peroxidase and phospholipase A2 activities. J. Biol. Chem. 2000, 275, 28421–28427. [Google Scholar] [CrossRef] [PubMed]
- Madhu; Sharma, A.; Kaur, A.; Tyagi, S.; Upadhyay, S.K. Glutathione peroxidases in plants: Innumerable role in abiotic stress tolerance and plant development. J. Plant Growth Regul. 2023, 42, 598–613. [Google Scholar] [CrossRef]
- Zhang, M.; Tang, S.; Huang, X.; Zhang, F.; Pang, Y.; Huang, Q.; Yi, Q. Selenium uptake, dynamic changes in selenium content and its influence on photosynthesis and chlorophyll fluorescence in rice (Oryza sativa L.). Environ. Exp. Bot. 2014, 107, 39–45. [Google Scholar] [CrossRef]
- Naseem, M.; Anwar-ul-Haq, M.; Wang, X.; Farooq, N.; Awais, M.; Sattar, H.; Ahmed Malik, H.; Mustafa, A.; Ahmad, J.; El-Esawi, M.A. Influence of selenium on growth, physiology, and antioxidant responses in maize varies in a dose-dependent manner. J. Food Qual. 2021, 1, 6642018. [Google Scholar] [CrossRef]
- Lanza, M.G.D.B.; Dos Reis, A.R. Roles of selenium in mineral plant nutrition: ROS scavenging responses against abiotic stresses. Plant Physiol. Biochem. 2021, 164, 27–43. [Google Scholar] [CrossRef]
- Terry, N.; Zayed, A.M.; De Souza, M.P.; Tarun, A.S. Selenium in higher plants. Annu. Rev. Plant Biol. 2000, 51, 401–432. [Google Scholar] [CrossRef] [PubMed]
- Simkin, A.J.; Kapoor, L.; Doss, C.G.P.; Hofmann, T.A.; Lawson, T.; Ramamoorthy, S. The role of photosynthesis related pigments in light harvesting, photoprotection and enhancement of photosynthetic yield in planta. Photosynth. Res. 2022, 152, 23–42. [Google Scholar] [CrossRef] [PubMed]
- Desoky, E.S.M.; Merwad, A.R.M.; Abo El-Maati, M.F.; Mansour, E.; Arnaout, S.M.; Awad, M.F.; Ramadan, M.F.; Ibrahim, S.A. Physiological and biochemical mechanisms of exogenously applied selenium for alleviating destructive impacts induced by salinity stress in bread wheat. Agronomy 2021, 11, 926. [Google Scholar] [CrossRef]
- Schmid, H.C.; Oster, U.; Kögel, J.; Lenz, S.; Rüdiger, W. Cloning and characterisation of chlorophyll synthase from Avena sativa. Biol. Chem. 2001, 382, 903–911. [Google Scholar] [CrossRef] [PubMed][Green Version]
- Shalygo, N.; Czarnecki, O.; Peter, E.; Grimm, B. Expression of chlorophyll synthase is also involved in feedback-control of chlorophyll biosynthesis. Plant Mol. Biol. 2009, 71, 425–436. [Google Scholar] [CrossRef]
- Adamiec, M.; Misztal, L.; Kasprowicz-Maluśki, A.; Luciński, R. EGY3: Homologue of S2P protease located in chloroplasts. Plant Biol. 2020, 22, 735–743. [Google Scholar] [CrossRef]
- Zhuang, Y.; Wei, M.; Ling, C.; Liu, Y.; Amin, A.K.; Li, P.; Li, P.; Hu, X.; Bao, H.; Huo, H.; et al. EGY3 mediates chloroplastic ROS homeostasis and promotes retrograde signaling in response to salt stress in Arabidopsis. Cell Rep. 2021, 36, 109384. [Google Scholar] [CrossRef] [PubMed]
- Chen, G.; Bi, Y.R.; Li, N. EGY1 encodes a membrane-associated and ATP-independent metalloprotease that is required for chloroplast development. Plant J. 2005, 41, 364–375. [Google Scholar] [CrossRef]
- Adamiec, M.; Misztal, L.; Kosicka, E.; Paluch-Lubawa, E.; Luciński, R. Arabidopsis thaliana egy2 mutants display altered expression level of genes encoding crucial photosystem II proteins. J. Plant Physiol. 2018, 231, 155–167. [Google Scholar] [CrossRef]
- Canaani, O.; Barber, J.; Malkin, S. Evidence that phosphorylation and dephosphorylation regulate the distribution of excitation energy between the two photosystems of photosynthesis in vivo: Photoacoustic and fluorimetric study of an intact leaf. Proc. Nati. Acad. Sci. USA 1984, 81, 1614–1618. [Google Scholar] [CrossRef] [PubMed]
- Pichersky, E.; Bernatzky, R.; Tanksley, S.D.; Breidenbach, R.B.; Kausch, A.P.; Cashmore, A.R. Molecular characterization and genetic mapping of two clusters of genes encoding chlorophyll a/b-binding proteins in Lycopersicon esculentum (tomato). Gene 1985, 40, 247–258. [Google Scholar] [CrossRef]
- Jansson, S. The light-harvesting chlorophyll ab-binding proteins. Biochim. Biophys. Acta-Bioenerg. 1994, 1184, 1–19. [Google Scholar] [CrossRef] [PubMed]
- Timm, S.; Florian, A.; Jahnke, K.; Nunes-Nesi, A.; Fernie, A.R.; Bauwe, H. The hydroxypyruvate-reducing system in Arabidopsis: Multiple enzymes for the same end. Plant Physiol. 2011, 155, 694–705. [Google Scholar] [CrossRef]
- Griffiths, H. Designs on Rubisco. Nature 2006, 441, 940–941. [Google Scholar] [CrossRef] [PubMed]
- Hodges, M.; Dellero, Y.; Keech, O.; Betti, M.; Raghavendra, A.S.; Sage, R.; Zhu, X.G.; Allen, D.K.; Weber, A.P. Perspectives for a better understanding of the metabolic integration of photorespiration within a complex plant primary metabolism network. J. Exp. Bot. 2016, 67, 3015–3026. [Google Scholar] [CrossRef] [PubMed]
- Timm, S.; Florian, A.; Fernie, A.R.; Bauwe, H. The regulatory interplay between photorespiration and photosynthesis. J. Exp. Bot. 2016, 67, 2923–2929. [Google Scholar] [CrossRef] [PubMed]
- Flügel, F.; Timm, S.; Arrivault, S.; Florian, A.; Stitt, M.; Fernie, A.R.; Bauwe, H. The photorespiratory metabolite 2-phosphoglycolate regulates photosynthesis and starch accumulation in Arabidopsis. Plant Cell 2017, 29, 2537–2551. [Google Scholar] [CrossRef] [PubMed]
- Khrouchtchova, A.; Hansson, M.; Paakkarinen, V.; Vainonen, J.P.; Zhang, S.; Jensen, P.E.; Scheller, H.V.; Vener, A.V.; Aro, E.M.; Haldrup, A. A previously found thylakoid membrane protein of 14 kDa (TMP14) is a novel subunit of plant photosystem I and is designated PSI-P. FEBS Lett. 2005, 579, 4808–4812. [Google Scholar] [CrossRef] [PubMed]
- Trotta, A.; Bajwa, A.A.; Mancini, I.; Paakkarinen, V.; Pribil, M.; Aro, E.M. The role of phosphorylation dynamics of CURVATURE THYLAKOID 1B in plant thylakoid membranes. Plant Physiol. 2019, 181, 1615–1631. [Google Scholar] [CrossRef]
- Pribil, M.; Sandoval-Ibáñez, O.; Xu, W.; Sharma, A.; Labs, M.; Liu, Q.; Galgenmüller, C.; Schneider, T.; Wessels, M.; Matsubara, S.; et al. Fine-tuning of photosynthesis requires CURVATURE THYLAKOID1-mediated thylakoid plasticity. Plant Physiol. 2018, 176, 2351–2364. [Google Scholar] [CrossRef]
- Zhang, X.; Myers, A.M.; James, M.G. Mutations affecting starch synthase III in Arabidopsis alter leaf starch structure and increase the rate of starch synthesis. Plant Physiol. 2005, 138, 663–674. [Google Scholar] [CrossRef] [PubMed]
- Fujita, N.; Satoh, R.; Hayashi, A.; Kodama, M.; Itoh, R.; Aihara, S.; Nakamura, Y. Starch biosynthesis in rice endosperm requires the presence of either starch synthase I or IIIa. J. Exp. Bot. 2011, 62, 4819–4831. [Google Scholar] [CrossRef] [PubMed]
- Barratt, D.P.; Derbyshire, P.; Findlay, K.; Pike, M.; Wellner, N.; Lunn, J.; Feil, R.; Simpson, C.; Maule, A.J.; Smith, A.M. Normal growth of Arabidopsis requires cytosolic invertase but not sucrose synthase. Proc. Nati. Acad. Sci. USA 2009, 106, 13124–13129. [Google Scholar] [CrossRef]
- Yao, D.; Gonzales-Vigil, E.; Mansfield, S.D. Arabidopsis sucrose synthase localization indicates a primary role in sucrose translocation in phloem. J. Exp. Bot. 2020, 71, 1858–1869. [Google Scholar] [CrossRef] [PubMed]
- Tang, T.; Xie, H.; Wang, Y.; Lü, B.; Liang, J. The effect of sucrose and abscisic acid interaction on sucrose synthase and its relationship to grain filling of rice (Oryza sativa L.). J. Exp. Bot. 2009, 60, 2641–2652. [Google Scholar] [CrossRef]
- David, L.C.; Lee, S.K.; Bruderer, E.; Abt, M.R.; Fischer-Stettler, M.; Tschopp, M.A.; Solhaug, E.M.; Sanchez, K.; Zeeman, S.C. BETA-AMYLASE9 is a plastidial nonenzymatic regulator of leaf starch degradation. Plant Physiol. 2022, 188, 191–207. [Google Scholar] [CrossRef] [PubMed]
- Liu, J.; Miao, H.; Wang, Y.; Zhang, J.; Zhang, J.; Zhen, Y.; Wang, J.; Jia, C.; Xu, B.; Li, X.; et al. Elucidating the role of MaBAM9b in starch degradation. Plant Sci. 2022, 325, 111497. [Google Scholar] [CrossRef] [PubMed]
- Chen, L.Q.; Qu, X.Q.; Hou, B.H.; Sosso, D.; Osorio, S.; Fernie, A.R.; Frommer, W.B. Sucrose efflux mediated by SWEET proteins as a key step for phloem transport. Science 2012, 335, 207–211. [Google Scholar] [CrossRef]
- Chen, L.Q. SWEET sugar transporters for phloem transport and pathogen nutrition. New Phytol. 2014, 201, 1150–1155. [Google Scholar] [CrossRef] [PubMed]
- Eom, J.S.; Chen, L.Q.; Sosso, D.; Julius, B.T.; Lin, I.W.; Qu, X.Q.; Braun, D.M.; Frommer, W.B. SWEETs, transporters for intracellular and intercellular sugar translocation. Curr. Opin. Plant Biol. 2015, 25, 53–62. [Google Scholar] [CrossRef] [PubMed]
- Niewiadomski, P.; Knappe, S.; Geimer, S.; Fischer, K.; Schulz, B.; Unte, U.S.; Rosso, M.G.; Ache, P.; Flugge, U.I.; Schneider, A. The Arabidopsis plastidic glucose 6-phosphate/phosphate translocator GPT1 is essential for pollen maturation and embryo sac development. Plant Cell 2005, 17, 760–775. [Google Scholar] [CrossRef] [PubMed]
- Kammerer, B.; Fischer, K.; Hilpert, B.; Schubert, S.; Gutensohn, M.; Weber, A.; Flügge, U.I. Molecular characterization of a carbon transporter in plastids from heterotrophic tissues: The glucose 6-phosphate/phosphate antiporter. Plant Cell 1998, 10, 105–117. [Google Scholar] [CrossRef] [PubMed]
- Wu, Z.; Wang, Z.; Zhang, K. Isolation and functional characterization of a glucose-6-phosphate/phosphate translocator (IbG6PPT1) from sweet potato (Ipomoea batatas (L.) Lam.). BMC Plant Biol. 2021, 21, 595. [Google Scholar] [CrossRef] [PubMed]
- Tao, J.; Leng, J.; Lei, X.; Wan, C.; Li, D.; Wu, Y.; Yang, Q.; Wang, P.; Feng, B.; Gao, J. Effects of selenium (Se) uptake on plant growth and yield in common buckwheat (Fagopyrum esculentum Moench). Field Crops Res. 2023, 302, 109070. [Google Scholar] [CrossRef]
- Wellburn, A.R. The spectral determination of chlorophylls a and b, as well as total carotenoids, using various solvents with spectrophotometers of different resolution. J. Plant Physiol. 1994, 144, 307–313. [Google Scholar] [CrossRef]
- Xiang, D.; Ma, C.; Song, Y.; Wu, Q.; Wu, X.; Sun, Y.; Zhao, G.; Wan, Y. Post-anthesis photosynthetic properties provide insights into yield potential of Tartary buckwheat cultivars. Agronomy 2019, 9, 149. [Google Scholar] [CrossRef]
- Kim, D.; Langmead, B.; Salzberg, S.L. HISAT: A fast spliced aligner with low memory requirements. Nat. Methods 2015, 12, 357–360. [Google Scholar] [CrossRef] [PubMed]
- Pertea, M.; Pertea, G.M.; Antonescu, C.M.; Chang, T.C.; Mendell, J.T.; Salzberg, S.L. StringTie enables improved reconstruction of a transcriptome from RNA-seq reads. Nat. Biotechnol. 2015, 33, 290–295. [Google Scholar] [CrossRef]
- Florea, L.; Song, L.; Salzberg, S.L. Thousands of exon skipping events differentiate among splicing patterns in sixteen human tissues. F1000Research 2013, 2, 188. [Google Scholar] [CrossRef] [PubMed]
- Love, M.I.; Huber, W.; Anders, S. Moderated estimation of fold change and dispersion for RNA-seq data with DESeq2. Genome Biol. 2014, 15, 1–21. [Google Scholar] [CrossRef] [PubMed]
- Mao, X.; Cai, T.; Olyarchuk, J.G.; Wei, L. Automated genome annotation and pathway identification using the KEGG Orthology (KO) as a controlled vocabulary. Bioinformatics 2005, 21, 3787–3793. [Google Scholar] [CrossRef] [PubMed]
- Langfelder, P.; Horvath, S. WGCNA: An R package for weighted correlation network analysis. BMC Bioinform. 2008, 9, 559. [Google Scholar] [CrossRef] [PubMed]
- Li, C.; Zhao, H.; Li, M.; Yao, P.; Li, Q.; Zhao, X.; Wang, A.; Chen, H.; Tang, Z.; Bu, T.; et al. Validation of reference genes for gene expression studies in Tartary buckwheat (Fagopyrum tataricum Gaertn.) using quantitative real-time PCR. PeerJ 2019, 7, e6522. [Google Scholar] [CrossRef]
- Livak, K.J.; Schmittgen, T.D. Analysis of relative gene expression data using real-time quantitative PCR and the 2−ΔΔCT method. Methods 2001, 25, 402–408. [Google Scholar] [CrossRef] [PubMed]







| Gene ID | Log2 (Fold Change) | Gene/Protein Name | Annotation |
|---|---|---|---|
| FtPinG0000179900.01 | 1.114392 | Protein NRT1/PTR FAMILY 4.6, NPF4.6 | Nitrate assimilation; amino acid transport and metabolism. |
| FtPinG0001747900.01 | −1.37391 | Methionine gamma-lyase, MGL | Selenocompound metabolism; cysteine and methionine metabolism. |
| FtPinG0001818900.01 | 1.571489 | Probable zinc metallopeptidase EGY3 | Chloroplast development; response to salt stress. |
| FtPinG0002326800.01 | 1.03773 | Chlorophyll a-b binding protein 3C, CAB3C | Photosynthesis; light harvesting in photosystem I; response to light stimulus. |
| FtPinG0003149600.01 | −1.16556 | Bidirectional sugar transporter SWEET12 | Sucrose transport. |
| FtPinG0003227000.01 | 1.185321 | Starch synthase 3, SS3 | Starch and sucrose metabolism. |
| FtPinG0003351100.01 | 3.213713 | Aquaporin NIP1-1 | Facilitates the transport of water and small neutral solutes across cell membranes. |
| FtPinG0004638100.01 | 2.746147 | Sucrose synthase 5, SUS5 | Starch and sucrose metabolism. |
| FtPinG0006789900.01 | 3.461694 | Chlorophyll synthase CHLG | Chlorophyll biosynthetic process; coenzyme transport and metabolism. |
| FtPinG0006796200.01 | −1.05487 | Inactive beta-amylase 9, BAM9 | Polysaccharide catabolic process; starch and sucrose metabolism. |
| FtPinG0007417400.01 | 1.154844 | Inorganic phosphate transporter 1-1, PHT1-1 | Inorganic ion transport and metabolism; carbohydrate transport and metabolism; arsenate ion transmembrane transport. |
| FtPinG0007446600.01 | 1.289527 | 1-Cys peroxiredoxin | Glutathione metabolism; defense mechanisms. |
| FtPinG0007572400.01 | −1.44642 | Sulfate transporter 3.1, SULTR3;1 | Sulfate transport; inorganic ion transport and metabolism. |
| NewGene_11121 | −2.32612 | Bidirectional sugar transporter SWEET1 | Sugar efflux transporter for intercellular exchange. |
| NewGene_1970 | −2.47558 | Glyoxylate/hydroxypyruvate reductase HPR3 | Oxidative photosynthetic carbon pathway; photorespiration. |
| NewGene_2911 | 1.604918 | Probable aquaporin PIP1-5 | Facilitates the transport of water and small neutral solutes across cell membranes. |
| NewGene_3379 | 1.192383 | Protein NRT1/PTR FAMILY 3.1, NPF3.1 | Nitrate assimilation; regulation of nitrite uptake into higher plant chloroplasts; amino acid transport and metabolism. |
| NewGene_6149 | 1.764971 | Glucose-6-phosphate/phosphate translocator 1, GPT1 | Transports Glc6P into plastids of heterotrophic tissues where it can be used as a carbon source for starch biosynthesis. |
| NewGene_6299 | 2.034421 | Protein CURVATURE THYLAKOID 1B, CURT1B | Photosynthetic electron transport in photosystem I. |
| NewGene_9793 | −1.23295 | Probable sulfate transporter 3.4, SULTR3;4 | Phosphate ion transport; sulfate transport; inorganic ion transport and metabolism. |
Disclaimer/Publisher’s Note: The statements, opinions and data contained in all publications are solely those of the individual author(s) and contributor(s) and not of MDPI and/or the editor(s). MDPI and/or the editor(s) disclaim responsibility for any injury to people or property resulting from any ideas, methods, instructions or products referred to in the content. |
© 2025 by the authors. Licensee MDPI, Basel, Switzerland. This article is an open access article distributed under the terms and conditions of the Creative Commons Attribution (CC BY) license (https://creativecommons.org/licenses/by/4.0/).
Share and Cite
Ye, X.; Mei, L.; Gan, Z.; Wang, Z.; Sun, W.; Fan, Y.; Liu, C.; Wu, Q.; Wan, Y.; Wu, X.; et al. Weighted Gene Correlation Network Analysis Reveals Key Regulatory Genes Influencing Selenium Enrichment and Yield with Exogenous Selenite in Tartary Buckwheat. Plants 2025, 14, 423. https://doi.org/10.3390/plants14030423
Ye X, Mei L, Gan Z, Wang Z, Sun W, Fan Y, Liu C, Wu Q, Wan Y, Wu X, et al. Weighted Gene Correlation Network Analysis Reveals Key Regulatory Genes Influencing Selenium Enrichment and Yield with Exogenous Selenite in Tartary Buckwheat. Plants. 2025; 14(3):423. https://doi.org/10.3390/plants14030423
Chicago/Turabian StyleYe, Xueling, Linsen Mei, Zhen Gan, Zhiqiang Wang, Wenjun Sun, Yu Fan, Changying Liu, Qi Wu, Yan Wan, Xiaoyong Wu, and et al. 2025. "Weighted Gene Correlation Network Analysis Reveals Key Regulatory Genes Influencing Selenium Enrichment and Yield with Exogenous Selenite in Tartary Buckwheat" Plants 14, no. 3: 423. https://doi.org/10.3390/plants14030423
APA StyleYe, X., Mei, L., Gan, Z., Wang, Z., Sun, W., Fan, Y., Liu, C., Wu, Q., Wan, Y., Wu, X., & Xiang, D. (2025). Weighted Gene Correlation Network Analysis Reveals Key Regulatory Genes Influencing Selenium Enrichment and Yield with Exogenous Selenite in Tartary Buckwheat. Plants, 14(3), 423. https://doi.org/10.3390/plants14030423

