With Great Ecosystem Services Comes Great Responsibility: Benefits Provided by Urban Vegetation in Brazilian Cities
Abstract
1. Introduction
2. Results
2.1. Land Cover
2.2. Pollutants Removal
2.3. Carbon Sequestration
2.4. Monetary Measurement
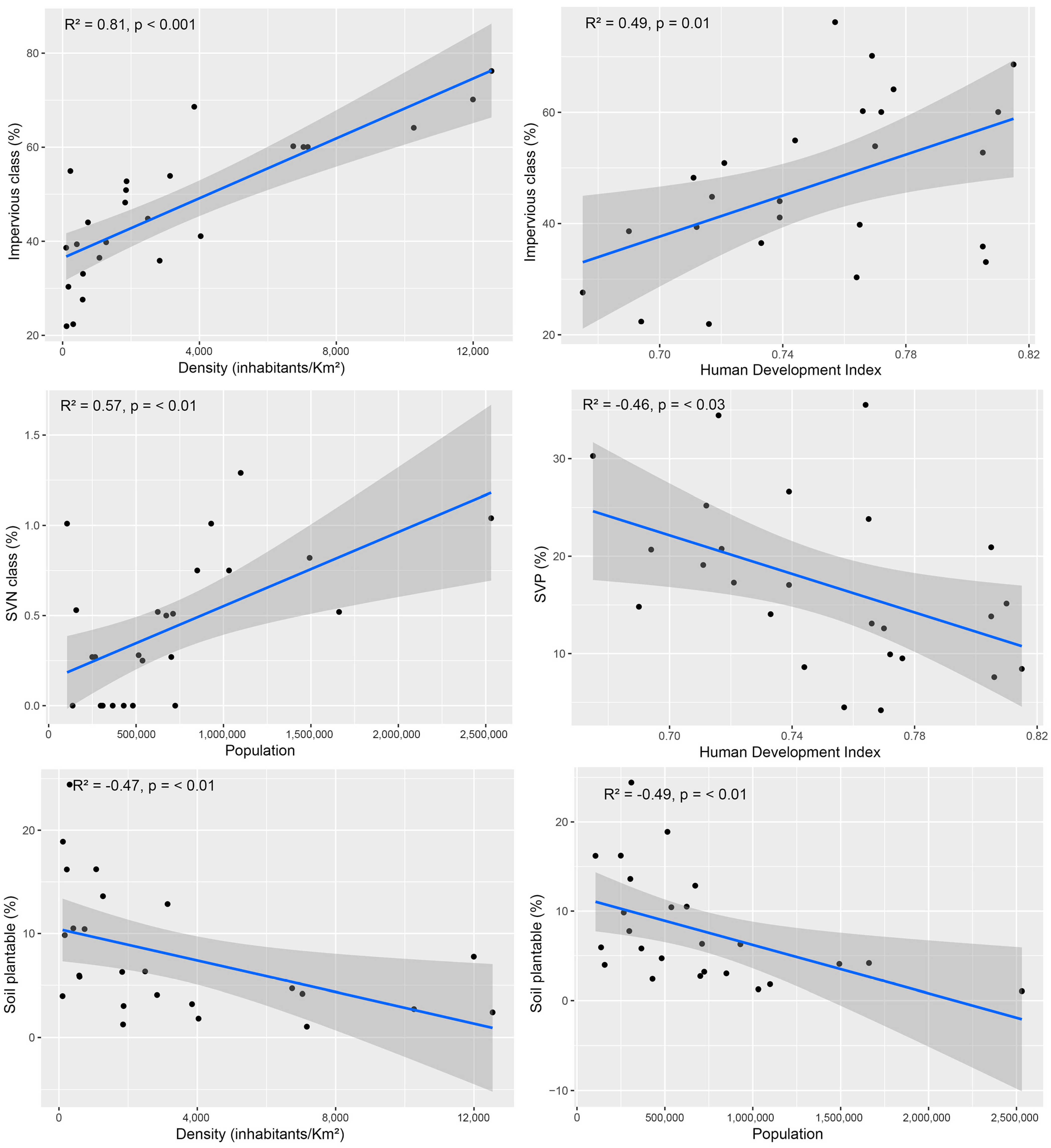
2.5. Variables Correlations
3. Discussion
3.1. Pollutant Sequestration and the Role of Urban Vegetation in Air Quality Improvement
3.2. Economic Potential of Urban Trees Through Carbon Credits
3.3. Land Cover Dynamics
3.4. Urban Development and Ecosystem Services
3.5. Challenges of Urban Greening and Future Directions
4. Materials and Methods
4.1. Study Area

4.2. Tree Cover Assessment
4.3. Ecosystem Services
4.4. Monetary Valuation of Ecosystem Services
4.5. Socioeconomic and Population Data
4.6. Data Analysis
5. Conclusions
Author Contributions
Funding
Data Availability Statement
Acknowledgments
Conflicts of Interest
References
- Sukhdev, P.; Wittmer, H.; Schröter-Schlaack, C.; Nesshöver, C.; Bishop, J.; ten Brink, P.; Gundimeda, H.; Kumar, P.; Simmons, B. The Economics of Ecosystems Biodiversity: Mainstreaming the Economics of Nature: A Synthesis of the Approach Conclusions Recommendations of TEEB; UNEP: Geneva Switzerland, 2010; p. 39. [Google Scholar]
- IPBES. Global Assessment Report of the Intergovernmental Science-Policy Platform on Biodiversity and Ecosystem Services; IPBES Secretariat: Bonn, Germany, 2019; p. 1144. [Google Scholar]
- Nowak, D.J.; Coville, R.; Endreny, T.; Abdi, R.; Van Stan, J.T., II. Valuing Urban Tree Impacts on Precipitation Partitioning. In Precipitation Partitioning by Vegetation; Springer: Berlin/Heidelberg, Germany, 2020; pp. 253–268. [Google Scholar] [CrossRef]
- Wolf, K.L.; Lam, S.T.; McKeen, J.K.; Richardson, G.R.A.; van den Bosch, M.; Bardekjian, A.C. Urban Trees and Human Health: A Scoping Review. Int. J. Environ. Res. Public Health 2020, 17, 4371. [Google Scholar] [CrossRef]
- Gascon, M.; Triguero-Mas, M.; Martínez, D.; Dadvand, P.; Forns, J.; Plasència, A.; Nieuwenhuijsen, M.J. Mental Health Benefits of Long-Term Exposure to Residential Green and Blue Spaces: A Systematic Review. Int. J. Environ. Res. Public Health 2015, 12, 4354–4379. [Google Scholar] [CrossRef]
- Norton, B.A.; Coutts, A.M.; Livesley, S.J.; Harris, R.J.; Hunter, A.M.; Williams, N.S.G. Planning for cooler cities: A framework to prioritise green infrastructure to mitigate high temperatures in urban landscapes. Landsc. Urban Plan. 2015, 134, 127–138. [Google Scholar] [CrossRef]
- Chazdon, R.L. Tropical forest recovery: Legacies of human impact and natural disturbances. Perspect. Plant Ecol. Evol. Syst. 2003, 6, 51–71. [Google Scholar] [CrossRef]
- Malhi, Y.; Gardner, T.A.; Goldsmith, G.R.; Silman, M.R.; Zelazowski, P. Tropical Forests in the Anthropocene. Annu. Rev. Environ. Resour. 2014, 39, 125–159. [Google Scholar] [CrossRef]
- Arroyo-Rodríguez, V.; Melo, F.P.L.; Martínez-Ramos, M.; Bongers, F.; Chazdon, R.L.; Meave, J.A.; Norden, N.; Santos, B.A.; Leal, I.R.; Tabarelli, M. Multiple successional pathways in human-modified tropical landscapes: New insights from forest succession, forest fragmentation and landscape ecology research. Biol. Rev. 2015, 92, 326–340. [Google Scholar] [CrossRef] [PubMed]
- Curtis, P.G.; Slay, C.M.; Harris, N.L.; Tyukavina, A.; Hansen, M.C. Classifying drivers of global forest loss. Science 2018, 361, 1108–1111. [Google Scholar] [CrossRef]
- Lawrence, D.; Coe, M.; Walker, W.; Verchot, L.; Vandecar, K. The Unseen Effects of Deforestation: Biophysical Effects on Climate. Front. For. Glob. Change 2022, 5, 756115. [Google Scholar] [CrossRef]
- Riley, C.B.; Gardiner, M.M. Examining the distributional equity of urban tree canopy cover and ecosystem services across United States cities. PLoS ONE 2020, 15, e0228499. [Google Scholar] [CrossRef]
- i-Tree. i-Tree Canopy v.7.1. Available online: https://canopy.itreetools.org/ (accessed on 20 January 2021).
- Cimburova, Z.; Barton, D.N. The potential of geospatial analysis and Bayesian networks to enable i-Tree Eco assessment of existing tree inventories. Urban For. Urban Green. 2020, 55, 126801. [Google Scholar] [CrossRef]
- Agliardi, E.; Agliardi, R.; Spanjers, W. The Economic Value of Biodiversity Preservation. Environ. Resour. Econ. 2024, 87, 1593–1610. [Google Scholar] [CrossRef]
- Investing. Carbon Emissions Futures—Apr 23 (CFI2Z1). Available online: https://www.investing.com/commodities/carbon-emissions-advanced-chart (accessed on 19 April 2023).
- Silva-Junior, V.; Souza, D.G.; Queiroz, R.T.; Souza, L.G.R.; Ribeiro, E.M.S.; Santos, B.A. Landscape urbanization threatens plant phylogenetic diversity in the Brazilian Atlantic Forest. Urban Ecosyst. 2018, 21, 625–634. [Google Scholar] [CrossRef]
- Leão, T.C.C.; Reinhardt, J.R.; Nic Lughadha, E.; Reich, P.B. Projected impacts of climate and land use changes on the habitat of Atlantic Forest plants in Brazil. Glob. Ecol. Biogeogr. 2021, 30, 2016–2028. [Google Scholar] [CrossRef]
- Robinson, J.M.; Cando-Dumancela, C.; Antwis, R.E.; Cameron, R.; Liddicoat, C.; Poudel, R.; Weinstein, P.; Breed, M.F. Exposure to airborne bacteria depends upon vertical stratification and vegetation complexity. Sci. Rep. 2021, 11, 9516. [Google Scholar] [CrossRef]
- Alpaidze, L.; Salukvadze, J. Green in the City: Estimating the Ecosystem Services Provided by Urban and Peri-Urban Forests of Tbilisi Municipality, Georgia. Forests 2023, 14, 121. [Google Scholar] [CrossRef]
- Costemalle, V.B.; Candido, H.M.N.; Carvalho, F.A. An estimation of ecosystem services provided by urban and peri-urban forests: A case study in Juiz de Fora, Brazil. Cienc. Rural. 2023, 53, e20210208. [Google Scholar] [CrossRef]
- Demuzere, M.; Orru, K.; Heidrich, O.; Olazabal, E.; Geneletti, D.; Orru, H.; Bhave, A.G.; Mittal, N.; Feliu, E.; Faehnle, M. Mitigating and adapting to climate change: Multi-functional and multi-scale assessment of green urban infrastructure. J. Environ. Manag. 2014, 146, 107–115. [Google Scholar] [CrossRef] [PubMed]
- Gómez-Villarino, M.T.; Villarino, M.G.; Ruiz-Garcia, L. Implementation of Urban Green Infrastructures in Peri-Urban Areas: A Case Study of Climate Change Mitigation in Madrid. Agronomy 2020, 11, 31. [Google Scholar] [CrossRef]
- Wang, Y.; Chang, Q.; Li, X. Promoting sustainable carbon sequestration of plants in urban greenspace by planting design: A case study in parks of Beijing. Urban For. Urban Green. 2021, 64, 127291. [Google Scholar] [CrossRef]
- Liu, Y.; Xia, C.; Ou, X.; Lv, Y.; Ai, X.; Pan, R.; Zhang, Y.; Shi, M.; Zheng, X. Quantitative structure and spatial pattern optimization of urban green space from the perspective of carbon balance: A case study in Beijing, China. Ecol. Indic. 2023, 148, 110034. [Google Scholar] [CrossRef]
- Kolimenakis, A.; Solomou, A.D.; Proutsos, N.; Avramidou, E.V.; Korakaki, E.; Karetsos, G.; Maroulis, G.; Papagiannis, E.; Tsagkari, K. The Socioeconomic Welfare of Urban Green Areas and Parks; A Literature Review of Available Evidence. Sustainability 2021, 13, 7863. [Google Scholar] [CrossRef]
- Prefeitura Municipal de Porto Alegre. Plano Diretor de Arborização Urbana; Prefeitura Municipal de Porto Alegre: Porto Alegre, Brazil, 2007. [Google Scholar]
- Kwiatkowski, S.; Polat, M.; Yu, W.; Johnson, M.S. Industrial Emissions Control Technologies: Introduction. In Air Pollution Sources, Statistics and Health Effects; Goodsite, M.E., Johnson, M.S., Hertel, O., Eds.; Springer US: New York, NY, USA, 2021; pp. 477–511. [Google Scholar] [CrossRef]
- Jarvis, D.J.; Adamkiewicz, G.; Heroux, M.-E.; Rapp, R.; Kelly, F.J. WHO Guidelines for Indoor Air Quality: Selected Pollutants; World Health Organization: Geneva, Switzerland, 2010. [Google Scholar]
- Restrepo, C.E. Nitrogen Dioxide, Greenhouse Gas Emissions and Transportation in Urban Areas: Lessons From the COVID-19 Pandemic. Front. Environ. Sci. 2021, 9, 689985. [Google Scholar] [CrossRef]
- Finlayson–Pitts, B.J.; Pitts, J.N. Chemistry of the Upper and Lower Atmosphere: Theory, Experiments, and Applications; Academic Press: Cambridge, MA, USA, 2000. [Google Scholar]
- Notario, A.; Bravo, I.; Adame, J.A.; Díaz-De-Mera, Y.; Aranda, A.; Rodríguez, A.; Rodríguez, D. Analysis of NO, NO2, NOx, O3 and oxidant (OX=O3+NO2) levels measured in a metropolitan area in the southwest of Iberian Peninsula. Atmos. Res. 2012, 104–105, 217–226. [Google Scholar] [CrossRef]
- Han, D.; Shen, H.; Duan, W.; Chen, L. A review on particulate matter removal capacity by urban forests at different scales. Urban For. Urban Green. 2019, 48, 126565. [Google Scholar] [CrossRef]
- Kim, K.-H.; Kabir, E.; Kabir, S. A review on the human health impact of airborne particulate matter. Environ. Int. 2015, 74, 136–143. [Google Scholar] [CrossRef]
- Beckett, K.P.; Freer-Smith, P.H.; Taylor, G. Urban woodlands: Their role in reducing the effects of particulate pollution. Environ. Pollut. 1998, 99, 347–360. [Google Scholar] [CrossRef]
- Diener, A.; Mudu, P. How can vegetation protect us from air pollution? A critical review on green spaces’ mitigation abilities for air-borne particles from a public health perspective-with implications for urban planning. Sci. Total. Environ. 2021, 796, 148605. [Google Scholar] [CrossRef]
- Li, Y.; Wang, Y.; Wang, B.; Wang, Y.; Yu, W. The Response of Plant Photosynthesis and Stomatal Conductance to Fine Particulate Matter (PM2.5) based on Leaf Factors Analyzing. J. Plant Biol. 2019, 62, 120–128. [Google Scholar] [CrossRef]
- Li, Y.; Zhang, X.; Li, M.; Yin, S.; Zhang, Z.; Zhang, T.; Meng, H.; Gong, J.; Zhang, W. Particle resuspension from leaf surfaces: Effect of species, leaf traits and wind speed. Urban For. Urban Green. 2022, 77, 127740. [Google Scholar] [CrossRef]
- Shan, Y.; Wang, X.; Wang, Z.; Liang, L.; Li, J.; Sun, J. The pattern and mechanism of air pollution in developed coastal areas of China: From the perspective of urban agglomeration. PLoS ONE 2020, 15, e0237863. [Google Scholar] [CrossRef] [PubMed]
- Oliveira, M.; Santagata, R.; Kaiser, S.; Liu, Y.; Vassillo, C.; Ghisellini, P.; Liu, G.; Ulgiati, S. Socioeconomic and Environmental Benefits of Expanding Urban Green Areas: A Joint Application of i-Tree and LCA Approaches. Land 2022, 11, 2106. [Google Scholar] [CrossRef]
- Strohbach, M.W.; Döring, A.O.; Möck, M.; Sedrez, M.; Mumm, O.; Schneider, A.-K.; Weber, S.; Schröder, B. The “Hidden Urbanization”: Trends of Impervious Surface in Low-Density Housing Developments and Resulting Impacts on the Water Balance. Front. Environ. Sci. 2019, 7, 29. [Google Scholar] [CrossRef]
- Feng, B.; Zhang, Y.; Bourke, R. Urbanization impacts on flood risks based on urban growth data and coupled flood models. Nat. Hazards 2021, 106, 613–627. [Google Scholar] [CrossRef]
- Oldfield, E.E.; Warren, R.J.; Felson, A.J.; Bradford, M.A. FORUM: Challenges and future directions in urban afforestation. J. Appl. Ecol. 2013, 50, 1169–1177. [Google Scholar] [CrossRef]
- Bodnaruk, E.; Kroll, C.; Yang, Y.; Hirabayashi, S.; Nowak, D.; Endreny, T. Where to plant urban trees? A spatially explicit methodology to explore ecosystem service tradeoffs. Landsc. Urban Plan. 2017, 157, 457–467. [Google Scholar] [CrossRef]
- Butt, S.; Smith, S.M.; Moola, F.; Conway, T.M. The relationship between knowledge and community engagement in local urban forest governance: A case study examining the role of resident association members in Mississauga, Canada. Urban For. Urban Green. 2021, 60, 127054. [Google Scholar] [CrossRef]
- Mumm, O.; Zeringue, R.; Dong, N.; Carlow, V.M. Green Densities: Accessible Green Spaces in Highly Dense Urban Regions—A Comparison of Berlin and Qingdao. Sustainability 2022, 14, 1690. [Google Scholar] [CrossRef]
- McDonald, R.I.; Aronson, M.F.J.; Beatley, T.; Beller, E.; Bazo, M.; Grossinger, R.; Jessup, K.; Mansur, A.V.; de Oliveira, J.A.P.; Panlasigui, S.; et al. Denser and greener cities: Green interventions to achieve both urban density and nature. People Nat. 2023, 5, 84–102. [Google Scholar] [CrossRef]
- Sheth, S.K.; Bettencourt, L.M.A. Measuring health and human development in cities and neighborhoods in the United States. npj Urban Sustain. 2023, 3, 1–8. [Google Scholar] [CrossRef]
- IBGE—Instituto Brasileiro de Geografia e Estatística. Áreas Urbanizadas. Available online: https://www.ibge.gov.br/geociencias/cartas-e-mapas/redes-geograficas/15789-areas-urbanizadas.html?=&t=acesso-ao-produto (accessed on 22 December 2019).
- Baines, O.; Wilkes, P.; Disney, M. Quantifying urban forest structure with openaccess remote sensing data sets. Urban For. Urban Green. 2020, 50, 126653. [Google Scholar] [CrossRef]
- Bonilla-Bedoya, S.; Mora, A.; Vaca, A.; Estrella, A.; Herrera, M.Á. Modelling the relationship between urban expansion processes and urban forest characteristics: An application to the Metropolitan District of Quito. Comput. Environ. Urban Syst. 2020, 79, 101420. [Google Scholar] [CrossRef]
- Chen, B. Urbanization and Decline of Old Growth Windbreak Trees on Private Homesteads: A Case Study in Ryukyu Island Villages, Japan. Forests 2020, 11, 990. [Google Scholar] [CrossRef]
- Chen, G.; Singh, K.K.; Lopez, J.; Zhou, Y. Tree canopy cover and carbon density are different proxy indicators for assessing the relationship between forest structure and urban socio-ecological conditions. Ecol. Indic. 2020, 113, 106279. [Google Scholar] [CrossRef]
- Parmehr, E.G.; Amati, M.; Taylor, E.J.; Livesley, S.J. Estimation of urban tree canopy cover using random point sampling and remote sensing methods. Urban For. Urban Green. 2016, 20, 160–171. [Google Scholar] [CrossRef]
- Esri. ArcGIS Desktop; Version 10.6; Esri: Redlands, CA, USA, 2020. [Google Scholar]
- Köppen, W. Die Klimate der Erde; Walter de Gruyter GmbH: Berlin, Germany, 1923. [Google Scholar]
- Nowak, D.J.; Hirabayashi, S.; Doyle, M.; McGovern, M.; Pasher, J. Air pollution removal by urban forests in Canada and its effect on air quality and human health. Urban For. Urban Green. 2018, 29, 40–48. [Google Scholar] [CrossRef]
- Nowak, D.J.; Hirabayashi, S.; Bodine, A.; Greenfield, E. Tree and forest effects on air quality and human health in the United States. Environ. Pollut. 2014, 193, 119–129. [Google Scholar] [CrossRef] [PubMed]
- Lin, B.; Meyers, J.; Barnett, G. Understanding the potential loss and inequities of green space distribution with urban densification. Urban For. Urban Green. 2015, 14, 952–958. [Google Scholar] [CrossRef]
- Koprowska, K.; Łaszkiewicz, E.; Kronenberg, J. Is urban sprawl linked to green space availability? Ecol. Indic. 2019, 108, 105723. [Google Scholar] [CrossRef]
- Dobbs, C.; Nitschke, C.; Kendal, D. Assessing the drivers shaping global patterns of urban vegetation landscape structure. Sci. Total Environ. 2017, 592, 171–177. [Google Scholar] [CrossRef]
- Richards, D.R.; Passy, P.; Oh, R.R. Impacts of population density and wealth on the quantity and structure of urban green space in tropical Southeast Asia. Landsc. Urban Plan. 2017, 157, 553–560. [Google Scholar] [CrossRef]
- Wu, L.; Kim, S.K. Exploring the equality of accessing urban green spaces: A comparative study of 341 Chinese cities. Ecol. Indic. 2020, 121, 107080. [Google Scholar] [CrossRef]
- Chen, Y.; Ge, Y.; Yang, G.; Wu, Z.; Du, Y.; Mao, F.; Liu, S.; Xu, R.; Qu, Z.; Xu, B.; et al. Inequalities of urban green space area and ecosystem services along urban center-edge gradients. Landsc. Urban Plan. 2022, 217, 104266. [Google Scholar] [CrossRef]
- IBGE—Instituto Brasileiro de Geografia e Estatística. Cidades. Available online: https://cidades.ibge.gov.br (accessed on 22 December 2022).
- Li, B.; Wang, W.; Bai, L.; Chen, N. Effects of spatio-temporal landscape patterns on land surface temperature: A case study of Xi’an city, China. Environ. Monit. Assess. 2018, 190, 419. [Google Scholar] [CrossRef] [PubMed]
- Kassambara, A.J.R. p. v. ggcorrplot: Visualization of a Correlation Matrix Using’ggplot2’. 2019. Available online: https://cran.r-project.org/web/packages/ggcorrplot/readme/README.html (accessed on 16 February 2023).
- R Core Team. R: A Language and Environment for Statistical Computing; Version 4.1.0; R Foundation for Statistical Computing: Vienna, Austria, 2023; Available online: https://www.r-project.org/ (accessed on 11 December 2023).







| City | IN | IP | OTH | SN | SP | SVN | SVP | TEI | TEP | W | TEI + TEP |
|---|---|---|---|---|---|---|---|---|---|---|---|
| Aracaju (SE) | 53.9 | 0.25 | 1.26 | 3.53 | 12.85 | 0.5 | 12.59 | 0.76 | 11.59 | 2.77 | 12.35 |
| Belo Horizonte (MG) | 60.05 | 4.44 | 2.87 | 0 | 1.04 | 1.04 | 15.14 | 0 | 14.62 | 0.78 | 14.62 |
| Blumenau (SC) | 33.08 | 1.01 | 3.28 | 1.77 | 5.81 | 0 | 7.58 | 0.51 | 45.71 | 1.26 | 46.22 |
| Camaçari (BA) | 22.37 | 1.02 | 4.75 | 1.36 | 24.42 | 0 | 20.68 | 1.02 | 23.73 | 0.68 | 24.75 |
| Campos dos Goytacazes (RJ) | 21.94 | 1.11 | 3.33 | 4.17 | 18.89 | 0.28 | 34.44 | 1.94 | 10.83 | 3.06 | 12.77 |
| Colombo (PR) | 36.49 | 2.7 | 4.59 | 1.08 | 16.22 | 0.27 | 14.05 | 0 | 24.32 | 0.27 | 24.32 |
| Diadema (SP) | 76.21 | 1.72 | 2.07 | 0 | 2.41 | 0 | 4.48 | 1.03 | 11.72 | 0.34 | 12.75 |
| Duque de Caxias (RJ) | 48.24 | 1.01 | 2.51 | 1.51 | 6.28 | 1.01 | 19.1 | 1.51 | 17.84 | 1.01 | 19.35 |
| Feira de Santana (BA) | 39.37 | 2.1 | 4.2 | 3.41 | 10.5 | 0.52 | 25.2 | 1.31 | 12.86 | 0.52 | 14.17 |
| Ilhéus (BA) | 38.62 | 2.38 | 5.56 | 0.53 | 3.97 | 0.53 | 14.81 | 0 | 27.78 | 5.82 | 27.78 |
| Jaboatão dos Guararapes (PE) | 44.81 | 2.28 | 2.78 | 2.53 | 6.33 | 0.51 | 20.76 | 2.03 | 16.71 | 1.27 | 18.74 |
| Leme (SP) | 54.94 | 1.52 | 7.85 | 0.51 | 16.2 | 1.01 | 8.61 | 0 | 8.86 | 0.51 | 8.86 |
| Macaé (RJ) | 30.33 | 1.91 | 4.92 | 0.82 | 9.84 | 0.27 | 35.52 | 0.27 | 14.48 | 1.64 | 14.75 |
| Maceió (AL) | 50.88 | 2.76 | 4.26 | 1 | 1.25 | 0.75 | 17.29 | 1 | 19.8 | 1 | 20.8 |
| Mauá (SP) | 60.21 | 1.57 | 0.79 | 2.36 | 4.71 | 0 | 13.09 | 0.26 | 16.75 | 0.26 | 17.01 |
| Osasco (SP) | 64.13 | 5.16 | 1.9 | 0.27 | 2.72 | 0.27 | 9.51 | 2.99 | 12.77 | 0.27 | 15.76 |
| Porto Alegre (RS) | 35.87 | 3.53 | 1.63 | 0.54 | 4.08 | 0.82 | 20.92 | 2.45 | 29.35 | 0.82 | 31.8 |
| Recife (PE) | 60.05 | 2.35 | 0.78 | 0.78 | 4.18 | 0.52 | 9.92 | 3.13 | 16.71 | 1.57 | 19.84 |
| Santo André (SP) | 68.6 | 2.91 | 0.29 | 1.16 | 3.2 | 0 | 8.43 | 2.03 | 12.79 | 0.58 | 14.82 |
| São Bernardo do Campo (SP) | 52.76 | 0.75 | 2.51 | 2.01 | 3.02 | 0.75 | 13.82 | 0.25 | 21.11 | 3.02 | 21.36 |
| São Gonçalo (RJ) | 41.09 | 6.2 | 4.65 | 1.29 | 1.81 | 1.29 | 26.61 | 1.29 | 15.76 | 0 | 17.05 |
| Serra (ES) | 44.02 | 0.25 | 3.56 | 3.31 | 10.43 | 0.25 | 17.05 | 0.76 | 19.08 | 1.27 | 19.84 |
| Simões Filho (BA) | 27.6 | 0.89 | 6.53 | 0 | 5.93 | 0 | 30.27 | 0 | 27.89 | 0.89 | 27.89 |
| Suzano (SP) | 39.79 | 1.05 | 4.97 | 2.62 | 13.61 | 0 | 23.82 | 0.52 | 12.57 | 1.05 | 13.09 |
| Taboão da Serra (SP) | 70.15 | 3.58 | 2.69 | 0 | 7.76 | 0 | 4.18 | 1.79 | 9.55 | 0.3 | 11.34 |
| Average | 47.02 | 2.17 | 3.38 | 1.46 | 7.89 | 0.42 | 17.11 | 1.07 | 18.20 | 1.23 | 19.28 |
| Coeficient of Variation (%) | 31.81 | 68.81 | 55.03 | 84.29 | 77.72 | 93.80 | 50.58 | 88.66 | 44.94 | 102.41 | 41.62 |
| City | CO(t) | NO2 (t) | O3 (t) | SO2 (t) | PM2.5 (t) | PM10 (t) |
|---|---|---|---|---|---|---|
| Aracaju (SE) | 2.31 | 8.9 | 85.42 | 4.84 | 4.51 | 23.72 |
| Belo Horizonte (MG) | 7.46 | 28.8 | 276.27 | 15.65 | 14.6 | 76.71 |
| Blumenau (SC) | 13.32 | 51.39 | 492.95 | 27.92 | 26.05 | 136.87 |
| Camaçari (BA) | 9.21 | 35.53 | 340.8 | 19.3 | 18.01 | 94.62 |
| Campos dos Goytacazes (RJ) | 4.61 | 17.6 | 170.72 | 9.67 | 9.02 | 47.4 |
| Colombo (PR) | 2.71 | 10.47 | 100.44 | 5.69 | 5.31 | 27.89 |
| Diadema (SP) | 0.57 | 2.21 | 21.26 | 1.20 | 1.12 | 5.90 |
| Duque de Caxias (RJ) | 5.53 | 21.32 | 204.53 | 11.58 | 10.81 | 56.79 |
| Feira de Santana (BA) | 3.73 | 14.38 | 137.95 | 7.81 | 7.29 | 38.3 |
| Ilhéus (BA) | 1.22 | 4.69 | 45.03 | 2.55 | 2.38 | 12.5 |
| Jaboatão dos Guararapes (PE) | 2.93 | 11.29 | 108.32 | 6.14 | 5.72 | 30.07 |
| Leme (SP) | 0.41 | 1.59 | 15.33 | 0.86 | 0.81 | 4.25 |
| Macaé (RJ) | 1.87 | 7.21 | 69.14 | 3.92 | 3.65 | 19.2 |
| Maceió (AL) | 4.72 | 18.2 | 174.56 | 9.89 | 9.23 | 48.47 |
| Mauá (SP) | 1.41 | 5.42 | 52.03 | 2.95 | 2.75 | 14.45 |
| Osasco (SP) | 1.61 | 6.2 | 59.47 | 3.37 | 3.14 | 16.51 |
| Porto Alegre (RS) | 15.67 | 60.48 | 580.21 | 32.86 | 30.67 | 161.1 |
| Recife (PE) | 4.64 | 17.9 | 171.7 | 9.73 | 9.07 | 47.67 |
| Santo André (SP) | 1.88 | 7.27 | 69.75 | 3.95 | 3.69 | 19.37 |
| São Bernardo do Campo (SP) | 3.41 | 13.15 | 126.13 | 7.14 | 6.67 | 35.02 |
| São Gonçalo (RJ) | 4.6 | 17.74 | 170.23 | 9.64 | 9 | 47.26 |
| Serra (ES) | 4.34 | 16.75 | 160.71 | 9.1 | 8.49 | 44.62 |
| Simões Filho (BA) | 1.95 | 7.51 | 72 | 4.08 | 3.81 | 19.99 |
| Suzano (SP) | 1.68 | 6.48 | 62.13 | 3.52 | 3.28 | 17.25 |
| Taboão da Serra (SP) | 0.35 | 1.37 | 13.14 | 0.74 | 0.69 | 3.65 |
| Average | 4.08 | 15.75 | 151.20 | 8.56 | 7.99 | 41.98 |
| Coeficient of Variation (%) | 93.33 | 93.39 | 93.34 | 93.35 | 93.36 | 93.35 |
| Cities | Carbon (kt) | CO2 Eq (kt) | Carbon Stock (kt) | CO2 Eq Stock (kt) |
|---|---|---|---|---|
| Aracaju (SE) | 5.32 | 19.5 | 109.85 | 402.78 |
| Belo Horizonte (MG) | 17.2 | 63.06 | 355.27 | 1302.64 |
| Blumenau (SC) | 30.69 | 112.52 | 633.91 | 2324.33 |
| Camaçari (BA) | 21.21 | 77.79 | 438.25 | 1606.9 |
| Campos dos Goytacazes (RJ) | 10.63 | 38.97 | 219.54 | 804.99 |
| Colombo (PR) | 6.25 | 22.92 | 129.15 | 473.56 |
| Diadema (SP) | 1.32 | 4.85 | 27.35 | 100.27 |
| Duque de Caxias (RJ) | 12.73 | 48.68 | 263.01 | 964.37 |
| Feira de Santana (BA) | 8.59 | 31.49 | 177.39 | 650.45 |
| Ilhéus (BA) | 2.8 | 10.28 | 57.91 | 212.32 |
| Jaboatão dos Guararapes (PE) | 6.74 | 24.72 | 139.29 | 510.72 |
| Leme (SP) | 0.95 | 3.5 | 19.72 | 72.31 |
| Macaé (RJ) | 4.3 | 15.78 | 88.91 | 326.01 |
| Maceió (AL) | 10.87 | 39.84 | 224.48 | 823.08 |
| Mauá (SP) | 3.24 | 11.88 | 66.91 | 245.33 |
| Osasco (SP) | 3.7 | 13.57 | 76.48 | 280.43 |
| Porto Alegre (RS) | 36.12 | 132.43 | 746.12 | 2735.78 |
| Recife (PE) | 10.69 | 39.19 | 220.8 | 809.58 |
| Santo André (SP) | 4.34 | 15.92 | 89.7 | 328.89 |
| São Bernardo do Campo (SP) | 7.85 | 28.79 | 162.2 | 594.73 |
| São Gonçalo (RJ) | 10.6 | 38.85 | 218.9 | 802.64 |
| Serra (ES) | 10 | 36.68 | 206.67 | 757.78 |
| Simões Filho (BA) | 4.48 | 16.43 | 92.59 | 339.51 |
| Suzano (SP) | 3.87 | 14.18 | 79.89 | 292.93 |
| Taboão da Serra (SP) | 0.81 | 3.01 | 16.90 | 61.99 |
| Average | 9.41 | 34.59 | 194.44 | 712.97 |
| Coeficient of Variation (%) | 93.37 | 93.23 | 93.34 | 93.34 |
| City | Sequestred (USD) | Stocked (USD) |
|---|---|---|
| Aracaju (SE) | 2,017,616.25 | 41,674,639.65 |
| Belo Horizonte (MG) | 6,524,660.55 | 134,780,904.20 |
| Blumenau (SC) | 11,642,163.10 | 240,492,614.30 |
| Camaçari (BA) | 8,048,736.83 | 166,261,925.80 |
| Campos dos Goytacazes (RJ) | 4,032,128.48 | 83,290,302.83 |
| Colombo (PR) | 2,371,475.1 | 48,998,069.30 |
| Diadema (SP) | 501,817.37 | 10,374,686.23 |
| Duque de Caxias (RJ) | 5,036,797.90 | 99,780,952.98 |
| Feira de Santana (BA) | 3,258,191.58 | 67,300,435.38 |
| Ilhéus (BA) | 1,063,645.90 | 21,968,219.60 |
| Jaboatão dos Guararapes (PE) | 2,557,716.60 | 52,842,921.60 |
| Leme (SP) | 362,136.25 | 7,481,734.92 |
| Macaé (RJ) | 1,632,717.15 | 33,731,439.68 |
| Maceió (AL) | 4,122,145.20 | 85,162,029.90 |
| Mauá (SP) | 1,229,193.90 | 25,383,681.78 |
| Osasco (SP) | 1,404,053.98 | 29,015,391.03 |
| Porto Alegre (RS) | 13,702,201 | 283,064,317.20 |
| Recife (PE) | 4,054,891.33 | 83,765,218.65 |
| Santo André (SP) | 1,647,202.60 | 34,029,426.08 |
| São Bernardo do Campo (SP) | 2,978,829.33 | 61,535,226.28 |
| São Gonçalo (RJ) | 4,019,712.38 | 83,047,154.20 |
| Serra (ES) | 3,795,187.90 | 78,405,602.15 |
| Simões Filho (BA) | 1,699,971.03 | 35,128,250.93 |
| Suzano (SP) | 1,467,169.15 | 30,308,734.78 |
| Taboão da Serra (SP) | 310,505.96 | 6,413,950.32 |
| Average | 3,579,234.67 | 73,769,513.18 |
| Coeficient of Variation (%) | 93.22 | 93.63 |
| Population | Cities |
|---|---|
| 100,000–300,000 | Leme (SP), Colombo (PR), Macaé (RJ), Simões Filho (BA) e Ilhéus (BA) |
| 300,000–500,000 | Suzano (SP), Diadema (SP), Taboão da Serra (SP), Blumenau (SC) e Camaçari (BA) |
| 500,000–700,000 | Campos dos Goytacazes (RJ), Mauá (SP), Aracaju (SE), Feira de Santana (BA) e Serra (ES) |
| 700,000–900,000 | São Bernardo do Campo (SP), Duque de Caxias (RJ), Osasco (SP), Jaboatão dos Guararapes (PE) e Santo André (SP) |
| >1 million | Recife (PE), São Gonçalo (RJ), Porto Alegre (RS), Belo Horizonte (MG), Maceió (AL) |
| Item | Cover Class | Description |
|---|---|---|
| IN | Impervious cover non-plantable no trees | sites where trees are impractical (road, rail, roof, monument) |
| IP | Impervious cover partially plantable no trees | Sites where trees are possible (sidewalk, parking lot, plaza) |
| SN | Soil cover non-plantable no trees | Sites where trees are impractical (dirt road) |
| SP | Soil cover partially plantable no trees | Soil cover partially plantable no trees |
| SVN | Short Vegetation cover non-plantable no trees | Grasses, herbaceous, or shrubs where trees are impractical (athletic field) |
| SVP | Short Vegetation cover partially plantable no trees | grasses, herbaceous, or shrubs where trees are possible (backyard) |
| TEI | Tree Evergreen over Impervious | trees with constant canopy over impervious ground |
| TEP | Tree Evergreen over Pervious | trees with constant canopy over pervious ground |
| W | Water | Ocean, estuary, river, lake, wetland, etc. |
| OTH | Other | areas not captured in above categories |
Disclaimer/Publisher’s Note: The statements, opinions and data contained in all publications are solely those of the individual author(s) and contributor(s) and not of MDPI and/or the editor(s). MDPI and/or the editor(s) disclaim responsibility for any injury to people or property resulting from any ideas, methods, instructions or products referred to in the content. |
© 2025 by the authors. Licensee MDPI, Basel, Switzerland. This article is an open access article distributed under the terms and conditions of the Creative Commons Attribution (CC BY) license (https://creativecommons.org/licenses/by/4.0/).
Share and Cite
Nunes Candido, H.M.; Endreny, T.A.; Alvim Carvalho, F. With Great Ecosystem Services Comes Great Responsibility: Benefits Provided by Urban Vegetation in Brazilian Cities. Plants 2025, 14, 392. https://doi.org/10.3390/plants14030392
Nunes Candido HM, Endreny TA, Alvim Carvalho F. With Great Ecosystem Services Comes Great Responsibility: Benefits Provided by Urban Vegetation in Brazilian Cities. Plants. 2025; 14(3):392. https://doi.org/10.3390/plants14030392
Chicago/Turabian StyleNunes Candido, Helder Marcos, Theodore A. Endreny, and Fabrício Alvim Carvalho. 2025. "With Great Ecosystem Services Comes Great Responsibility: Benefits Provided by Urban Vegetation in Brazilian Cities" Plants 14, no. 3: 392. https://doi.org/10.3390/plants14030392
APA StyleNunes Candido, H. M., Endreny, T. A., & Alvim Carvalho, F. (2025). With Great Ecosystem Services Comes Great Responsibility: Benefits Provided by Urban Vegetation in Brazilian Cities. Plants, 14(3), 392. https://doi.org/10.3390/plants14030392

