Evaluation of Root Films with Bacillus subtilis for Establishment and Growth Promotion in Tomato
Abstract
1. Introduction
2. Results
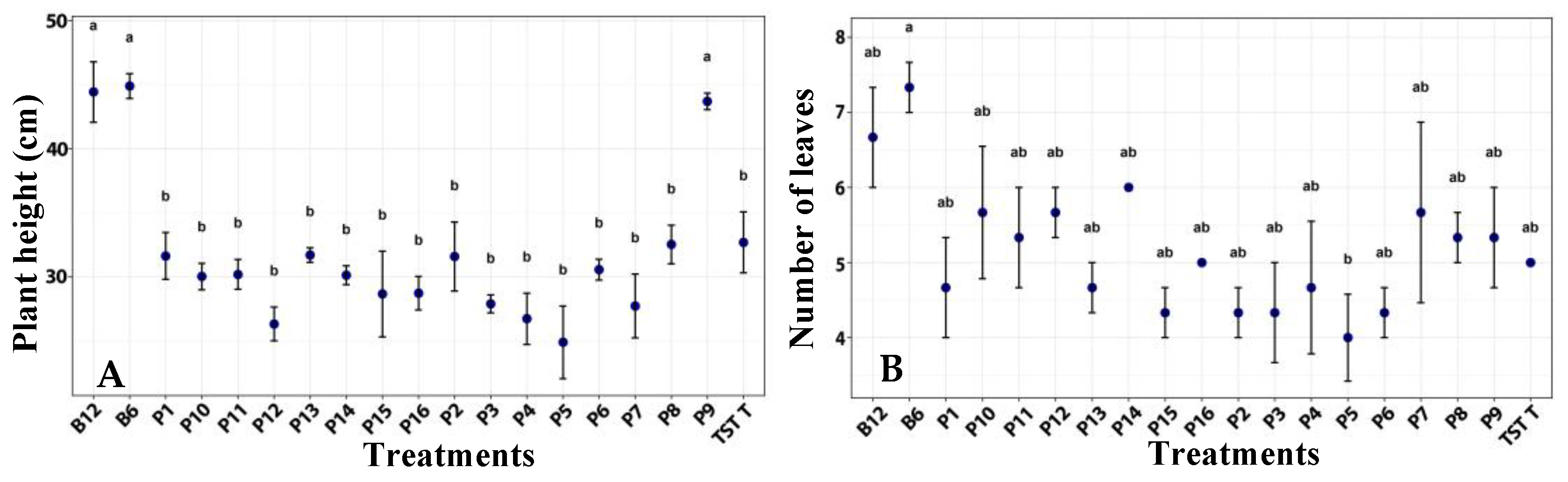
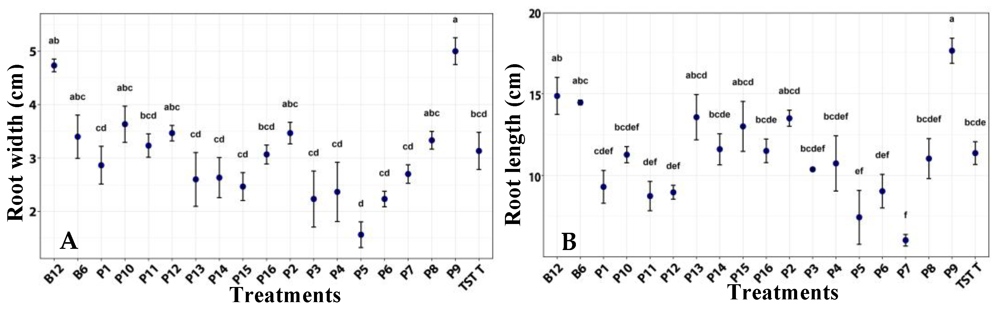
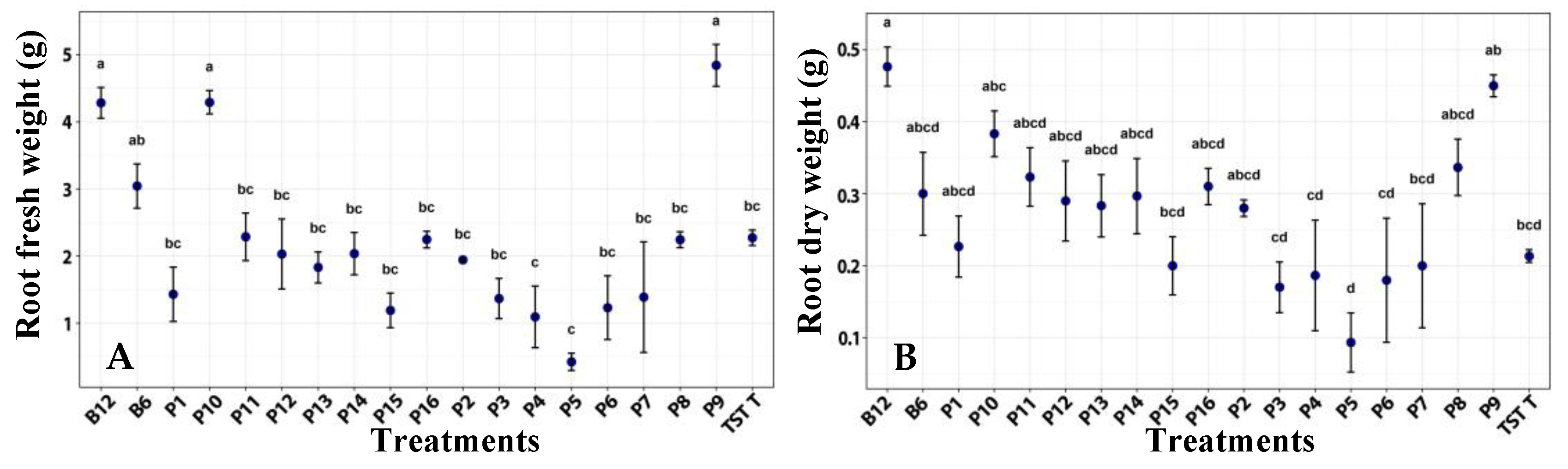
2.1. Evaluation of Root Films for the Promotion of Tomato Growth
2.2. Evaluation of Root Films for the B. subtilis Establishment on Tomato Roots
2.3. Use of Film 9 as a Culture Medium for B. subtilis
2.4. Film Degradation in Soil
2.5. Viability of B. subtilis in the Film Formulation
2.6. Molecular and Phylogenetic Analysis of B. subtilis Isolated from Tomato Root
3. Discussion
4. Materials and Methods
4.1. Biological Material and Raw Materials
4.2. Design and Preparation of Film Formulations
4.3. Evaluation of Root Films for the Promotion of Tomato Growth
4.4. Evaluation of Root Films for the B. subtilis Establishment on Tomato Roots
4.5. Use of Film 9 as a Culture Medium for B. subtilis
4.6. Degradation Film 9 in Soil
4.7. Viability of B. subtilis in the Film Formulation
4.8. Molecular Analysis of B. subtilis Isolated from Tomato Root
4.9. Phylogenetic Analysis of B. subtilis Isolated from Tomato Root
4.10. Statistical Analysis
5. Conclusions
Author Contributions
Funding
Data Availability Statement
Acknowledgments
Conflicts of Interest
References
- Chandrasekaran, M.; Chun, S.C.; Oh, J.W.; Paramasivan, M.; Saini, R.K.; Sahayarayan, J.J. Bacillus subtilis CBR05 para frutos de tomate (Solanum lycopersicum) en Corea del Sur como una nueva bacteria probiótica vegetal (BPP): Implicaciones del contenido total de fenoles, flavonoides y carotenoides para la calidad del fruto. Agronomía 2019, 9, 838. [Google Scholar] [CrossRef]
- Gashash, E.A.; Osman, N.A.; Alsahli, A.A.; Hewait, H.M.; Ashmawi, A.E.; Alshallash, K.S.; El-Taher, A.M.; Azab, E.S.; Abd El-Raouf, H.S.; Ibrahim, M.F.M. Effects of Plant-Growth-Promoting Rhizobacteria (PGPR) and Cyanobacteria on Botanical Characteristics of Tomato (Solanum lycopersicon L.) Plants. Plants 2022, 11, 2732. [Google Scholar] [CrossRef] [PubMed]
- Amaresan, N.; Jayakumar, V.; Kumar, K.; Thajuddin, N. Biocontrol and plant growth-promoting ability of plant-associated bacteria from tomato (Lycopersicum esculentum) under field condition. Microb. Pathog. 2019, 136, 103713. [Google Scholar] [CrossRef] [PubMed]
- Mazzuchelli, L.R.d.C.; Mazzuchelli, L.E.H.; de Araujo, F.F. Efficiency of Bacillus subtilis for root-knot and lesion nematodes management in sugarcane. Biological Control. 2020, 143, 104185. [Google Scholar] [CrossRef]
- Xia, H.; Liu, H.; Gong, P.; Li, P.; Xu, Q.; Zhang, Q.; Sun, M.; Meng, Q.; Ye, F.; Yin, W. Study of the mechanism by which Bacillus subtilis improves the soil bacterial community environment in severely saline-alkali cotton fields. Sci. Total Environ. 2025, 958, 178000. [Google Scholar] [CrossRef]
- Gan, K.; Meng, C.; Liang, T.; Li, X.; Li, G.; Liu, D. Biocontrol effects and underlying mechanism of Bacillus subtilis Pn1 on Panax notoginseng root rot caused by Fusarium solani. Ind. Crops Prod. 2025, 229, 120963. [Google Scholar] [CrossRef]
- Bouchard-Rochette, M.; Younes, M.; Cossus, L.; Nguyen, T.T.A.; Antoun, H.; Droit, A.; Tweddell, R.J. Bacillus pumilus PTB180 and Bacillus subtilis PTB185: Production of lipopeptides, antifungal activity, and biocontrol ability against Botrytis cinerea. Biol. Control 2022, 170, 104925. [Google Scholar] [CrossRef]
- Wang, X.; Yang, Z.; Zeng, Q.; Wang, X.; Liu, S.; Wang, E.; Wu, Y.; Zeng, Y.; He, M.; Wang, Y.; et al. Chitosan hydrogel microspheres loaded with Bacillus subtilis promote plant growth and reduce chromium uptake. Int. J. Biol. Macromol. 2025, 286, 138401. [Google Scholar] [CrossRef]
- Saberi, R.R.; Hassanisaadi, M.; Vatankhah, M.; Soroush, F.; Varma, R.S. Nano/microencapsulation of plant biocontrol agents by chitosan, alginate, and other biopolymers as a novel strategy for alleviating plant biotic stresses. Int. J. Biol. Macromol. 2020, 222 Pt A, 786–805. [Google Scholar] [CrossRef]
- Rubin, R.L.; van Groenigen, K.J.; Hungate, B.A. Plant growth promoting rhizobacteria are more cost effective under drought: A meta-analysis. Plant Soil 2017, 416, 309–323. [Google Scholar] [CrossRef]
- Rocha, I.R.; Ma, Y.; Souza-Alonso, P.; Vosatka, M.; Freitas, H.; Oliveira, R.S. Seed coating: A tool for delivering beneficial microbes to agricultural crops. Front. Plant Sci. 2019, 10, 1357. [Google Scholar] [CrossRef] [PubMed]
- Afzal, M.; Yousaf, S.; Reichenauer, T.G.; Sessitsch, A. The inoculation method affects colonization and performance of bacterial inoculant strains in the phytoremediation of soil contaminated with diesel oil. Int. J. Phytoremediation 2012, 14, 35–47. [Google Scholar] [CrossRef] [PubMed]
- Basu, A.; Prasad, P.; Das, S.N.; Kalam, S.; Sayyed, R.Z.; Reddy, M.S.; El Enshasy, H. Plant growth promoting rhizobacteria (PGPR) as green bioinoculants: Recent developments, constraints, and prospects. Sustainability 2021, 13, 1140. [Google Scholar] [CrossRef]
- Adeniji, A.; Fadiji, A.E.; Li, S.; Guo, R. From lab bench to farmers’ fields: Co-creating microbial inoculants with farmers input. Rhizosphere 2024, 31, 100920. [Google Scholar] [CrossRef]
- Fadiji, A.E.; Xiong, C.; Egidi, E.; Singh, B.K. Formulation challenges associated with microbial biofertilizers in sustainable agriculture and paths forward. J. Sustain. Agric. Environ. 2024, 3, e70006. [Google Scholar] [CrossRef]
- Dutta, S.; Podile, A.R. Plant growth promoting rhizobacteria (PGPR): The bugs to debug the root zone. Crit. Rev. Microbiol. 2010, 36, 232–244. [Google Scholar] [CrossRef]
- Zhao, W.; Yiyun, B.; Su, Z.; Li, S.; Liu, X.; Guo, Q.; Ma, P. Colonization ability of Bacillus subtilis NCD-2 in different crops and its effect on rhizosphere microorganisms. Microorganisms 2023, 11, 776. [Google Scholar] [CrossRef]
- Kaminsky, L.M.; Trexler, V.R.; Malik, R.J.; Hockett, K.L.; Bell, T.H. The inherent conflicts in developing soil microbial inoculants. Trends Biotechnol. 2019, 37, 140–151. [Google Scholar] [CrossRef]
- O’Callaghan, M.; Ballard, R.A.; Wright, D. Soil microbial inoculants for sustainable agriculture: Limitations and opportunities. Soil Use Manag. 2022, 38, 1340–1369. [Google Scholar] [CrossRef]
- Poppeliers, S.W.; Sánchez-Gil, J.J.; de Jonge, R. Microbes to support plant health: Understanding bioinoculant success in complex conditions. Curr. Opin. Microbiol. 2023, 73, 102286. [Google Scholar] [CrossRef]
- Bashan, Y.; de Bashan, L.E.; Prabhu, S.R.; Hernandez, J.-P. Advances in plant growth-promoting bacterial inoculant technology: Formulations and practical perspectives (1998–2013). Plant Soil 2014, 378, 1–33. [Google Scholar] [CrossRef]
- Cardarelli, M.; Woo, S.L.; Rouphael, Y.; Colla, G. Seed treatments with microorganisms can have a biostimulant effect by influencing germination and seedling growth of crops. Plants 2022, 11, 259. [Google Scholar] [CrossRef] [PubMed]
- Barragán-Menéndez, C.; Gálvez-López, D.; Rosas-Quijano, R.; Salvador-Figueroa, M.; Ovando-Medina, I.; Vázquez-Ovando, A. Films of chitosan and Aloe vera for maintaining the viability and antifungal activity of Lactobacillus paracasei TEP6. Coatings 2020, 10, 259. [Google Scholar] [CrossRef]
- Błaszczyk, U.; Wyrzykowska, S.; Gąstoł, M. Application of bioactive coatings with killer yeasts to control post-harvest apple decay caused by Botrytis cinerea and Penicillium italicum. Foods 2022, 11, 1868. [Google Scholar] [CrossRef]
- Ebrahimi, B.; Mohammadi, R.; Rouhi, M.; Mortazavian, A.M.; Shojaee-Aliabadi, S.; Koushki, M.R. Survival of probiotic bacteria in carboxymethyl cellulose-based edible film and assessment of quality parameters. LWT 2018, 87, 54–60. [Google Scholar] [CrossRef]
- Anđelković, J.; Mihajilov Krstev, T.; Dimkić, I.; Unković, N.; Stanković, D.; Joković, N. Growth-promoting effects of ten soil bacterial strains on maize, tomato, cucumber, and pepper under greenhouse conditions. Plants 2025, 14, 1874. [Google Scholar] [CrossRef]
- Samaras, A.; Nikolaidis, M.; Gomez, M.L.A.; Almiron, J.S.; Romero, D.F.; Moschakis, T.; Amoutzias, G.; Karaoglanidis, G. Whole genome sequencing and root colonization studies by a protoplast-transformed strain reveal insights in the biocontrol potential and growth promotion by Bacillus subtilis MBI600 on cucumber. Front. Microbiol. 2021, 11, 600393. [Google Scholar] [CrossRef]
- De O Nunes, P.S.; de Medeiros, F.H.V.; de Oliveira, T.S.; de Almeida Zago, J.R.; Bettiol, W. Bacillus subtilis and Bacillus licheniformis promote tomato growth. Braz. J. Microbiol. 2023, 54, 397–406. [Google Scholar] [CrossRef]
- Qiao, J.; Yu, X.; Liang, X.; Liu, Y.; Borriss, R.; Liu, Y. Addition of plant-growth-promoting Bacillus subtilis PTS-394 on tomato rhizosphere has no durable impact on composition of root microbiome. BMC Microbiol. 2017, 17, 131. [Google Scholar] [CrossRef]
- Young, C.C.; Rekha, P.D.; Lai, W.A.; Arun, A.B. Encapsulation of plant growth-promoting bacteria in alginate beads enriched with humic acid. Biotechnol. Bioeng. 2006, 95, 76–83. [Google Scholar] [CrossRef]
- Charron-Lamoureux, V.; Lebel-Beaucage, S.; Pomerleau, M.; Beauregard, P. Rooting for success: Evolutionary enhancement of Bacillus for superior plant colonization. Microb. Biotechnol. 2024, 17, e70001. [Google Scholar] [CrossRef] [PubMed]
- Chai, Y.N.; Futrell, S.; Schachtman, D.P. Assessment of Bacterial Inoculant Delivery Methods for Cereal Crops. Front. Microbiol. 2022, 13, 791110. [Google Scholar] [CrossRef] [PubMed]
- Lozano-Andrade, C.N.; Nogueira, C.G.; Henriksen, N.N.S.E.; Wibowo, M.; Jarmusch, S.A.; Kovács, Á.T. Establishment of a transparent soil system to study Bacillus subtilis chemical ecology. ISME Commun. 2023, 3, 110. [Google Scholar] [CrossRef] [PubMed]
- Torres-García, J.R.; Leonardo-Elias, A.; Angoa-Pérez, M.V.; Villar-Luna, E.; Arias-Martínez, S.; Oyoque-Salcedo, G.; Oregel-Zamudio, E. Bacillus subtilis edible films for strawberry preservation: Antifungal efficacy and quality at varied temperatures. Foods 2024, 13, 980. [Google Scholar] [CrossRef]
- Posada, L.F.; Álvarez, J.C.; Romero-Tabarez, M.; de Bashan, L.; Villegas-Escobar, V. Enhanced molecular visualization of root colonization and growth promotion by Bacillus subtilis EA-CB0575 in different growth systems. Microbiol. Res. 2018, 217, 69–80. [Google Scholar] [CrossRef]
- Samaras, A.; Efthimiou, K.; Roumeliotis, E.; Karaoglanidis, G.S. Biocontrol potential and plant-growth-promoting effects of Bacillus amyloliquefaciens MBI600 against Fusarium oxysporum f. sp. radicis-lycopersici on tomato. Acta Hortic. 2018, 1207, 139–145. [Google Scholar] [CrossRef]
- Samaras, A.; Roumeliotis, E.; Ntasiou, P.; Karaoglanidis, G. Bacillus subtilis MBI600 promotes growth of tomato plants and induces systemic resistance contributing to the control of soilborne pathogens. Plants 2021, 10, 1113. [Google Scholar] [CrossRef]
- Tan, X.; Sun, A.; Cui, F.; Li, Q.; Wang, D.; Li, X.; Li, J. The physicochemical properties of cassava starch/carboxymethyl cellulose sodium edible film incorporated of Bacillus and its application in salmon fillet packaging. Food Chem. X 2024, 23, 101537. [Google Scholar] [CrossRef]
- Pangsri, P.; Pangsri, P. Mannanase enzyme from Bacillus subtilis P2-5 with waste management. Energy Procedia 2017, 138, 343–347. [Google Scholar] [CrossRef]
- Regmi, S.; Yoo, H.; Choi, Y.; Choi, Y.; Yoo, J.; Kim, S. Prospects for bio-industrial application of an extremely alkaline mannanase from Bacillus subtilis subsp. inaquosorum CSB31. Biotechnol. J. 2017, 12, 1700113. [Google Scholar] [CrossRef]
- Pradeep, G.C.; Cho, S.S.; Choi, Y.H.; Choi, Y.S.; Jee, J.P.; Seong, C.N.; Yoo, J.C. An extremely alkaline mannanase from Streptomyces sp. CS428 hydrolyzes galactomannan producing series of mannooligosaccharides. World J. Microbiol. Biotechnol. 2016, 32, 84. [Google Scholar] [CrossRef]
- Dawood, A.; Ma, K. Applications of microbial β-mannanases. Front. Bioeng. Biotechnol. 2020, 8, 598630. [Google Scholar] [CrossRef]
- Jain, R.; Anjaiah, V.; Babbar, S.B. Guar gum: A cheap substitute for agar in microbial culture media. Lett. Appl. Microbiol. 2005, 41, 345–349. [Google Scholar] [CrossRef]
- Vos, P.; Garrity, G.; Jones, D.; Krieg, N.R.; Ludwig, W.; Rainey, F.A.; Schleifer, K.-H.; Whitman, W.B. Bergey’s Manual of Systematic Bacteriology; The Firmicutes; Springer: Dordrecht, The Netherlands, 2011; Volume 3. [Google Scholar]
- Tamura, K.; Stecher, G.; Kumar, S. MEGA11: Molecular Evolutionary Genetics Analysis Version 11. Mol. Biol. Evol. 2021, 38, 3022–3027. [Google Scholar] [CrossRef]
- Kumar, S.; Stecher, G.; Li, M.; Knyaz, C.; Tamura, K. MEGA X: Molecular Evolutionary Genetics Analysis across Computing Platforms. Mol. Biol. Evol. 2018, 35, 1547–1549. [Google Scholar] [CrossRef]










| Film | Guar Gum (%, w/v) | Candelilla Wax (%, w/v) | Glycerol (%, w/v) | B. subtilis (20% v/v, CFU/mL) |
|---|---|---|---|---|
| 1 | 0.30 | 0.30 | 0.30 | 1 × 1012 |
| 2 | 0.60 | 0.15 | 0.15 | 1 × 106 |
| 3 | 0.30 | 0.15 | 0.30 | 1 × 1012 |
| 4 | 0.60 | 0.30 | 0.15 | 1 × 106 |
| 5 | 0.60 | 0.15 | 0.30 | 1 × 106 |
| 6 | 0.30 | 0.30 | 0.15 | 1 × 1012 |
| 7 | 0.30 | 0.15 | 0.15 | 1 × 1012 |
| 8 | 0.60 | 0.30 | 0.30 | 1 × 106 |
| 9 | 0.60 | 0.15 | 0.15 | 1 × 1012 |
| 10 | 0.30 | 0.30 | 0.30 | 1 × 106 |
| 11 | 0.60 | 0.30 | 0.15 | 1 × 1012 |
| 12 | 0.30 | 0.15 | 0.30 | 1 × 106 |
| 13 | 0.60 | 0.15 | 0.30 | 1 × 1012 |
| 14 | 0.30 | 0.30 | 0.15 | 1 × 106 |
| 15 | 0.60 | 0.30 | 0.30 | 1 × 1012 |
| 16 | 0.30 | 0.15 | 0.15 | 1 × 106 |
Disclaimer/Publisher’s Note: The statements, opinions and data contained in all publications are solely those of the individual author(s) and contributor(s) and not of MDPI and/or the editor(s). MDPI and/or the editor(s) disclaim responsibility for any injury to people or property resulting from any ideas, methods, instructions or products referred to in the content. |
© 2025 by the authors. Licensee MDPI, Basel, Switzerland. This article is an open access article distributed under the terms and conditions of the Creative Commons Attribution (CC BY) license (https://creativecommons.org/licenses/by/4.0/).
Share and Cite
Oyoque-Salcedo, G.; Gutiérrez-Cárdenas, O.G.; Hernández-Zepeda, O.F.; Raya-Pérez, J.C.; Covarrubias-Prieto, J.; Gutiérrez-Benicio, G.M.; Angoa-Pérez, M.V.; Oregel-Zamudio, E.; Aguirre-Mancilla, C.L. Evaluation of Root Films with Bacillus subtilis for Establishment and Growth Promotion in Tomato. Plants 2025, 14, 3716. https://doi.org/10.3390/plants14243716
Oyoque-Salcedo G, Gutiérrez-Cárdenas OG, Hernández-Zepeda OF, Raya-Pérez JC, Covarrubias-Prieto J, Gutiérrez-Benicio GM, Angoa-Pérez MV, Oregel-Zamudio E, Aguirre-Mancilla CL. Evaluation of Root Films with Bacillus subtilis for Establishment and Growth Promotion in Tomato. Plants. 2025; 14(24):3716. https://doi.org/10.3390/plants14243716
Chicago/Turabian StyleOyoque-Salcedo, Guadalupe, Oscar Giovanni Gutiérrez-Cárdenas, Omar Fabián Hernández-Zepeda, Juan Carlos Raya-Pérez, Jorge Covarrubias-Prieto, Glenda Margarita Gutiérrez-Benicio, María Valentina Angoa-Pérez, Ernesto Oregel-Zamudio, and César Leobardo Aguirre-Mancilla. 2025. "Evaluation of Root Films with Bacillus subtilis for Establishment and Growth Promotion in Tomato" Plants 14, no. 24: 3716. https://doi.org/10.3390/plants14243716
APA StyleOyoque-Salcedo, G., Gutiérrez-Cárdenas, O. G., Hernández-Zepeda, O. F., Raya-Pérez, J. C., Covarrubias-Prieto, J., Gutiérrez-Benicio, G. M., Angoa-Pérez, M. V., Oregel-Zamudio, E., & Aguirre-Mancilla, C. L. (2025). Evaluation of Root Films with Bacillus subtilis for Establishment and Growth Promotion in Tomato. Plants, 14(24), 3716. https://doi.org/10.3390/plants14243716

