Nitrogen Management of Variety Screening of Winter Wheat Cultivated on Chernozem Soil for Yield Optimization
Abstract
1. Introduction
2. Results and Discussion
2.1. Influence of Cultivar (Factor A) on Yield
2.2. The Effect of Nitrogen Form (Factor B) on Yield
2.3. The Effect of Nitrogen Dose (Factor C) on Yield
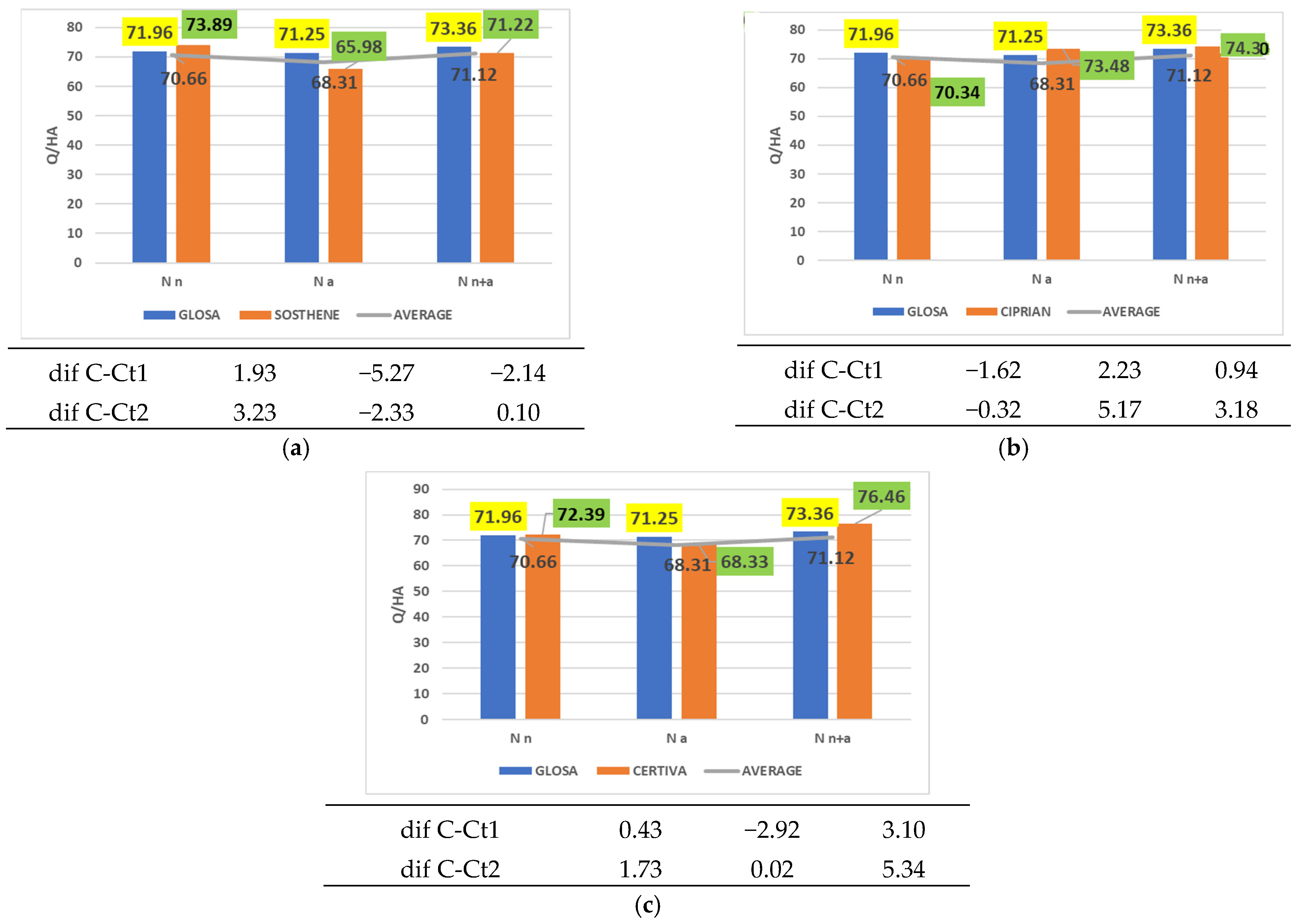
2.4. Influence of the Cultivar × Nitrogen Form Interaction (Factor A × Factor B)
3. Materials and Methods
- In the 2021–2022 agricultural year, conditions were unfavorable, with below-average precipitation (364 mm).
- In 2022–2023, total precipitation reached 464.6 mm, supporting favorable wheat development, although the growing season was accompanied by high temperatures, with maximum values reaching 38.7 °C.
- In 2023–2024, water stress was present, but mitigated by abundant rainfall in May, during the grain-filling phase.
4. Conclusions
Author Contributions
Funding
Data Availability Statement
Conflicts of Interest
References
- Vejan, P.; Khadiran, T.; Abdullah, R.; Ahmad, N. Controlled release fertilizer: A review on developments, applications and potential in agriculture. J. Control. Release 2021, 339, 321–334. [Google Scholar] [CrossRef]
- Tedone, L.; Alhajj Ali, S.; Verdini, L.; De Mastro, G. Nitrogen management strategy for optimizing agronomic and environmental performance of rainfed durum wheat under Mediterranean climate. J. Clean. Prod. 2018, 172, 2058–2074. [Google Scholar] [CrossRef]
- Srivastava, R.; Panda, R.; Chakraborty, A.; Halder, D. Enhancing grain yield, biomass and nitrogen use efficiency of maize by varying sowing dates and nitrogen rate under rainfed and irrigated conditions. Field Crop. Res. 2018, 221, 339–349. [Google Scholar] [CrossRef]
- Chen, X.; Cui, Z.; Fan, M.; Vitousek, P.; Zhao, M.; Ma, W.; Wang, Z.; Zhang, W.; Yan, X.; Yang, J. Producing more grain with lower environmental costs. Nature 2014, 514, 486–491. [Google Scholar] [CrossRef] [PubMed]
- Ju, X.; Xing, G.; Chen, X.; Zhang, S.; Zhang, L.; Liu, X.; Cui, Z.; Yin, B.; Christie, P.; Zhu, Z.; et al. Reducing environmental risk by improving N management in intensive Chinese agricultural systems. Proc. Natl. Acad. Sci. USA 2009, 106, 8077–8078l. [Google Scholar] [CrossRef]
- Duan, J.; Shao, Y.; He, L.; Li, X.; Hou, G.; Li, S.; Feng, W.; Zhu, Y.; Wang, Y.; Xie, Y. Optimizing nitrogen management to achieve high yield, high nitrogen efficiency and low nitrogen emission in winter wheat. Sci. Total Environ. 2019, 697, 134088. [Google Scholar] [CrossRef]
- Hussain, A.; Azeem, N.; Riaz, T.; Khan, T.Y.; Pehlwan, B.; Amjad, T.; Muzammal, M.; Sani, I.A.; Umm-E-Habiba; Sarfraz, B. Impact of Various Nitrogenous Fertilizers on Wheat Crop Yield and Growth. Indus J. Biosci. Res. 2025, 3, 364–369. [Google Scholar] [CrossRef]
- Richardson, A.E.; Barea, J.; Mcneill, A.M.; Claire, P.C. Acquisition of phosphorus and nitrogen in the rhizosphere and plant growth promotion by microorganisms. Plant Soil 2009, 321, 305–339. [Google Scholar] [CrossRef]
- Gong, X.; Li, L.; Qin, L.; Huang, Y.; Ye, Y.; Wang, M.; Wang, Y.; Xu, Y.; Luo, F.; Mei, H. Targeted metabolomics reveals impact of N application on accumulation of amino acids, Flavonoids and phytohormones in tea shoots under soil nutrition deficiency stress. Forests 2022, 10, 1629. [Google Scholar] [CrossRef]
- Fradgley, N.S.; Bentley, A.R.; Swarbreck, S.M. Defining the physiological determinants of low nitrogen requirement in wheat. Biochem. Soc. Trans. 2021, 49, 609–616. [Google Scholar] [CrossRef]
- Belete, F.; Dechassa, N.; Molla, A.; Tana, T. Effect of nitrogen fertilizer rates on grain yield and nitrogen uptake and use efficiency of bread wheat (Triticum aestivum L.) varieties on the Vertisols of central highlands of Ethiopia. Agric. Food Secur. 2018, 7, 78. [Google Scholar] [CrossRef]
- Fageria, N.K. Nitrogen harvest index and its association with crop yields. J. Plant Nutr. 2014, 37, 795–810. [Google Scholar] [CrossRef]
- Yaseen, M.; Ahmad, A.; Naveed, M.; Ali, M.A.; Shah, S.S.H.; Hasnain, M.; Ali, H.M.; Siddiqui, M.H.; Salem, M.Z.M.; Mustafa, A. Subsurface-Applied Coated Nitrogen Fertilizer Enhanced Wheat Production by Improving Nutrient-Use Efficiency with Less Ammonia Volatilization. Agronomy 2021, 11, 2396. [Google Scholar] [CrossRef]
- Dal Molin, S.J.; Ernani, P.R.; Soldatelli, P.; Cassol, P.C. Leaching and Recovering of Nitrogen Following N Fertilizers Application to the Soil in a Laboratory Study. Commun. Soil Sci. Plant Anal. 2018, 49, 1099–1106. [Google Scholar] [CrossRef]
- Azeem, B.; Kushaari, K.; Man, Z.B.; Basit, A.; Thanh, T.H. Review on Materials & Methods to Produce Controlled Release Coated Urea Fertilizer. J. Control. Release 2014, 181, 11–21. [Google Scholar] [CrossRef]
- Thapa, R.; Chatterjee, A.; Johnson, J.M.F.; Awale, R. Stabilized Nitrogen Fertilizers and Application Rate Influence Nitrogen Losses under Rainfed Spring Wheat. J. Agron. 2015, 107, 1885–1894. [Google Scholar] [CrossRef]
- Barčauskaite, K.; Braziene, Z.; Avižienyte, D.; Silva, M.; Drapanauskaite, D.; Honer, K.; Gvildiene, K.; Slinksiene, R.; Jancaitiene, K.; Mazeika, R.; et al. Mechanochemically Synthesized Gypsum and Gypsum Drywall Waste Cocrystals with Urea for Enhanced Environmental Sustainability Fertilizers. J. Environ. Chem. Eng. 2020, 8, 103965. [Google Scholar] [CrossRef]
- Swify, S.; Mažeika, R.; Baltrusaitis, J.; Drapanauskaitė, D.; Barčauskaitė, K. Review: Modified Urea Fertilizers and Their Effects on Improving Nitrogen Use Efficiency (NUE). Sustainability 2024, 16, 188. [Google Scholar] [CrossRef]
- Caicedo, J.R. Effect of total ammonia nitrogen concentration and pH on growth rate of duckweed (Spirodela polyrrhiza). Water Res. 2000, 34, 3829–3835. [Google Scholar] [CrossRef]
- Timmer, B.; Olthuis, W.; Berg, A.V.D. Ammonia sensors and their applications—A review. Sens. Actuators B 2005, 107, 666–677. [Google Scholar] [CrossRef]
- Masclaux-Daubresse, C.; Daniel-Vedele, F.; Dechorgnat, J.; Chardon, F.; Gaufichon, L.; Suzuki, A. Nitrogen uptake, assimilation and remobilization in plants: Challenges for sustainable and productive agriculture. Ann. Bot. 2010, 105, 1141–1157. [Google Scholar] [CrossRef]
- Tabuchi, M.; Abiko, T.; Yamaya, T. Assimilation of ammonium ions and reutilization of nitrogen in rice (Oryza sativa L.). J. Exp. Bot. 2007, 58, 2319–2327. [Google Scholar] [CrossRef]
- Yuan, L.; Loque, D.; Kojima, S.; Rauch, S.; Ishiyama, K.; Inoue, E.; Takahashi, H.; von Wiren, N. The organization of high-affinity ammonium uptake in Arabidopsis roots depends on the spatial arrangement and biochemical properties of AMT1-type transporters. Plant Cell 2007, 19, 2636–2652. [Google Scholar] [CrossRef]
- Duan, F.; Giehl, R.F.H.; Geldner, N.; Salt, D.E.; Von Wiren, N. Root zone–specific localization of AMTs determines ammonium transport pathways and nitrogen allocation to shoots. PLoS Biol. 2018, 16, e2006024. [Google Scholar] [CrossRef]
- Liu, J.; Ma, K.; Ciais, P.; Polasky, S. Reducing human nitrogen use for food production. Sci. Rep. 2016, 6, 30104. [Google Scholar] [CrossRef]
- Souza, L.A.; Tavares, R. Nitrogen and stem development: A puzzle still to be solved. Front. Plant Sci. 2021, 12, 630587. [Google Scholar] [CrossRef]
- An, H.; Owens, J.; Stoeckli, J.; Hao, X.; Beres, B.; Li, Y. Nitrous oxide emissions following split fertilizer application on winter wheat grown on Mollisols of Southern Alberta, Canada. Geoderma Reg. 2020, 21, e00272. [Google Scholar] [CrossRef]
- Pan, W.L.; Kidwell, K.K.; McCracken, V.A.; Bolton, R.P.; Allen, M. Economically optimal wheat yield, protein and nitrogen use component responses to varying N supply and genotype. Front. Plant Sci. 2020, 10, 1790. [Google Scholar] [CrossRef]
- Wang, L.; Xin, J.; Nai, H.; Zheng, X. Effects of different fertilizer applications on nitrogen leaching losses and the response in soil microbial community structure. Environ. Technol. Innov. 2021, 23, 101608. [Google Scholar] [CrossRef]
- Cramer, M.D.; Lewis, O.A.M. The influence of NO3− and NH4+ nutrition on the carbon and nitrogen partitioning characteristics of wheat (Triticum aestivum L.) and maize (Zea maize L.) plants. Plant Soil 1993, 154, 289–300. [Google Scholar] [CrossRef]
- Plett, D.C.; Holtham, L.R.; Okamoto, M.; Garnett, T.P. Nitrate uptake and its regulation in relation to improving nitrogen use efficiency in cereals. Semin. Cell Dev. Boil. 2018, 74, 97–104. [Google Scholar] [CrossRef]
- Miao, Y.F.; Wang, Z.H.; Li, S.X. Relation of nitrate N accumulation in dryland soil with wheat response to N fertilizer. Field Crop. Res. 2015, 170, 119–130. [Google Scholar] [CrossRef]
- Meng, Q.; Yue, S.; Hou, P.; Cui, Z.; Chen, X. Improving yield and nitrogen use efficiency simultaneously for maize and wheat in China: A review. Pedosphere 2016, 26, 137–147. [Google Scholar] [CrossRef]
- Li, D.; Xu, X.; Li, Z.; Wang, T.; Wang, C. Detection methods of ammonia nitrogen in water: A review. Trends Anal. Chem. 2020, 127, 115890. [Google Scholar] [CrossRef]
- Jun, F.; Hao, M.; Malhi, S.; Malhi, A. Accumulation of nitrate N in the soil profile and its implications for the environment under dryland agriculture in northern China: A review. Can. J. Soil Sci. 2010, 90, 429–440. [Google Scholar] [CrossRef]
- Muhammad, I.; Lv, J.Z.; Yang, L.; Ahmad, S.; Farooq, S.; Zeeshan, M.; Zhou, X.B. Low irrigation water minimizes the nitrate nitrogen losses without compromising the soil fertility, enzymatic activities and maize growth. BMC Plant Biol. 2022, 22, 159. [Google Scholar] [CrossRef]
- Deepika, K.U.; Shivani, N.; Sweta, K.; Ravi, P.S.; Gurumurthy, S. Response of wheat plants to different levels and forms of nitrogen. New Agric. 2015, 26, 47–57. [Google Scholar]
- Liu, X.; Wang, S.; Deng, X.; Zhang, Z.; Yin, L. Comprehensive evaluation of physiological traits under nitrogen stress and participation of linolenic acid in nitrogen-deficiency response in wheat seedlings. BMC Plant Biol. 2020, 20, 501. [Google Scholar] [CrossRef]
- Dong, L.; Li, Y.; Li, P.; Liu, Y.; Ma, F.; Hao, X.; Guo, L. Growth Response of Wheat and Maize to Different Nitrogen Supply Forms under the Enrichment of Atmospheric CO2 Concentrations. Agronomy 2023, 13, 485. [Google Scholar] [CrossRef]
- Chen, K.; Xue, W.; Di, X.; Sun, T.; Gao, W.; Sun, Y. Effects of nitrogen forms on Cd uptake and tolerance in wheat seedlings. Sci. Total Environ. 2024, 936, 173451. [Google Scholar] [CrossRef]
- Ochieng’, I.O.; Gitari, H.I.; Mochoge, B.; Rezaei-Chiyaneh, E.; Gweyi-Onyango, J.P. Optimizing Maize Yield, Nitrogen efficacy and grain protein content under different N forms and rates. J. Soil Sci. Plant Nutr. 2021, 21, 1867–1880. [Google Scholar] [CrossRef]
- Kim, T.; Mills, H.A.; Wetzstein, H.Y. Studies on effects of nitrogen form on growth, development, and nutrient uptake in pecan. J. Plant Nutr. 2002, 25, 497–508. [Google Scholar] [CrossRef]
- Lyu, X.; Liu, Y.; Li, N.; Ku, L.; Hou, Y.; Wen, X. Foliar applications of various nitrogen (N) forms to winter wheat affect grain protein accumulation and quality via N metabolism and remobilization. Crop J. 2022, 10, 1165–1177. [Google Scholar] [CrossRef]
- Antošovský, J.; Škarpa, P.; Ryant, P. The effect of nitrogen-sulphur fertilizer with nitrification inhibitor on winter wheat (Triticum aestivum L.) nutrition. Heliyon 2024, 10, e33035. [Google Scholar] [CrossRef] [PubMed]
- Grzebisz, W.; Szczepaniak, W.; Przygocka-Cyna, K.; Biber, M.; Spiżewski, T. The Sources of Nutrients for the Growing Ear of Winter Wheat in the Critical Cereal Window. Agronomy 2024, 14, 3018. [Google Scholar] [CrossRef]
- Subbarao, G.V.; Nakahara, K.; Ishikawa, T.; Ono, H.; Yoshida, M.; Yoshihashi, T.; Zhu, Y.; Zakir, H.A.K.M.; Deshpande, S.P.; Hash, C.T.; et al. Biological nitrification inhibition (BNI) activity in sorghum and its characterization. Plant Soil 2012, 366, 243–259. [Google Scholar] [CrossRef]
- Tabak, M.; Lepiarczyk, A.; Filipek-Mazur, B.; Lisowska, A. Efficiency of Nitrogen Fertilization of Winter Wheat Depending on Sulfur Fertilization. Agronomy 2020, 10, 1304. [Google Scholar] [CrossRef]
- Xin, Y.; Tao, F. Optimizing genotype-environment-management interactions to enhance productivity and eco-efficiency for wheat-maize rotation in the North China Plain. Sci. Total Environ. 2019, 654, 480–492. [Google Scholar] [CrossRef]
- Uddin, R.; Islam, M.S.; Ullah, M.J.; Hore, P.K.; Pau, S.K. Grain growth and yield of wheat as influenced by variety and sowing dater. Bangladesh Agron. J. 2015, 18, 97–104. [Google Scholar] [CrossRef]
- Niță, S.; Niță, L.; Imbrea, F.; Hînda, I.A.; Bătrîna, S.; Botoș, L. Study of quantitative and qualitative indicators in wheat. Sci. Papers Ser. A Agron. 2024, 67, 581–586. [Google Scholar]
- Vestergaard, N.F.; Jørgensen, L.N. Variety mixtures of winter wheat: A general status and national case study. J. Plant Dis. Prot. 2024, 131, 1127–1136. [Google Scholar] [CrossRef]
- Wang, Z.-H.; Miao, Y.-F.; Li, S.-X. Effect of ammonium and nitrate nitrogen fertilizers on wheat yield in relation to accumulated nitrate at different depths of soil in drylands of China. Field Crop. Res. 2015, 183, 211–224. [Google Scholar] [CrossRef]
- Li, S.X.; Wang, Z.H.; Stewart, B.A. Responses of crop plants to ammonium and nitrate N. Adv. Agron. 2013, 118, 205–398. [Google Scholar]
- Yi, F.; Chen, M.C.; Liu, J.R. Effect of N forms on dry matter accumulation and distribution after blooming. Chin. Agric. Sci. Bull. 2009, 25, 78–81. [Google Scholar]
- Ma, X.M.; Wang, Z.Q.; Wang, X.C.; Wang, S.L. Effect of N forms on root system and N recovery rate of wheat for special utilization. Chin. J. Appl. Ecol. 2004, 15, 655–658. [Google Scholar]
- Dyhr-Jensenl, K.; Brix, H. Effects of pH on ammonium uptake by Typhalatifolia L. Plant Cell Environ. 1996, 9, 1431–1436. [Google Scholar] [CrossRef]
- Hinsinger, P.; Plassard, C.; Jaillard, B.; Tang, C.X. Origins of root-mediated pH changes in the rhizosphere and their responses to environmental constrains: A review. Plant Soil 2003, 248, 43–59. [Google Scholar] [CrossRef]
- Maywald, N.J.; Mang, M.; Pahls, N.; Neumann, G.; Ludewig, U.; Francioli, D. Ammonium fertilization increases the susceptibility to fungal leaf and root pathogens in winter wheat. Front. Plant Sci. 2022, 13, 946584. [Google Scholar] [CrossRef]
- Wang, D.; Xu, Z.; Zhao, J.; Wang, Y.; Yu, Z. Excessive nitrogen application decreases grain yield and increases nitrogen loss in a wheat–soil system. Acta Agric. Scand. Sect. B Soil. Plant 2011, 61, 681–692. [Google Scholar] [CrossRef]
- Hafiza, B.S.; Ishaque, W.; Akhtar, M.; Shani, M.Y.; Azmat, M.; Bauerle, W.L.; Rahimi, M.; Ashraf, M.Y. Optimizing Nitrogen Management for Sustainable Wheat Production in Semi-Arid Subtropical Environments: Impact on Growth, Physio-Biochemical, and Yield Attributes. Nitrogen 2025, 6, 36. [Google Scholar] [CrossRef]
- Leszek, R.; Bobryk-Mamczarz, A.; Kiełtyka-Dadasiewicz, A. Hulled Wheat Productivity and Quality in Modern Agriculture Against Conventional Wheat Species. Agriculture 2020, 10, 275. [Google Scholar] [CrossRef]
- Yadav, M.R.; Kumar, R.; Parihar, C.M.; Yadav, R.K.; Jat, S.L.; Ram, H.; Meena, R.K.; Singh, M.; Verma, A.P.; Kumar, U. Strategies for improving nitrogen use efficiency: A review. Agric. Rev. 2017, 38, 29–40. [Google Scholar] [CrossRef]
- Anas, M.; Liao, F.; Verma, K.K.; Sarwar, M.A.; Mahmood, A.; Chen, Z.-L.; Li, Q.; Zeng, X.-P.; Liu, Y.; Li, Y.-R. Fate of nitrogen in agriculture and environment: Agronomic, eco-physiological and molecular approaches to improve nitrogen use efficiency. Biol. Res. 2020, 53, 47. [Google Scholar] [CrossRef]
- Thorburn, P.J.; Biggs, J.S.; Puntel, L.A.; Sawyer, J.E.; Everingham, Y.L.; Archontoulis, S.V. The nitrogen fertilizer conundrum: Why is yield a poor determinant of crops’ nitrogen fertilizer requirements? Agron. Sustain. Dev. 2024, 44, 18. [Google Scholar] [CrossRef]
- Cossey, D.A.; Thomason, W.E.; Mullen, R.W.; Wynn, K.J.; Woolfolk, C.W.; Johnson, G.V.; Raun, W.R. Relationship between ammonium and nitrate in wheat plant tissue and estimated nitrogen loss. J. Plant Nutr. 2002, 25, 1429–1442. [Google Scholar] [CrossRef]
- Boudersa, N.; Chaib, G.; Atoui, A.; Cherfia, R.; Bouderbane, H.; Boudour, L. Assessment of biological and agronomic diversity of seven durum wheat varieties cultivated in the Northeastern region of Algeria. Biodiversitas 2021, 22, 1025–1036. [Google Scholar] [CrossRef]
- El Mezoued, D.E.; Benkhelifa, M.; dos Santos, D.R. Comparative study of the evolution of soft wheat (Triticum aestivum L.) installed in no-tillage and conventional tillage. Wulfenia 2017, 24, 63–73. [Google Scholar]












| Cultivars | Yield Q/ha | Difference Ct1 | Significance | Difference Ct2 | Significance | |
|---|---|---|---|---|---|---|
| 1 | GLOSA(Ct1) | 72.19 | 0.00 | 2.16 | ||
| 2 | RUBISKO | 80.26 | 8.07 | *** | 10.23 | *** |
| 3 | APEXUS | 70.68 | −1.51 | 0.65 | ||
| 4 | TIKATAKA | 66.95 | −5.24 | o | −3.08 | |
| 5 | PAPILLON | 67.75 | −4.44 | o | −2.28 | |
| 6 | SOLINDO | 72.39 | 0.20 | 2.36 | ||
| 7 | COMBIN | 61.52 | −10.67 | ooo | −8.51 | ooo |
| 8 | BASILIO | 70.34 | −1.85 | 0.31 | ||
| 9 | CHEVIGNON | 72.83 | 0.64 | 2.80 | ||
| 10 | VIVENDO | 78.19 | 6.00 | 8.16 | *** | |
| 11 | SOSTHENE | 70.36 | −1.83 | 0.33 | ||
| 12 | LITERA | 75.07 | 2.88 | 5.04 | * | |
| 13 | BOEMA | 66.44 | −5.75 | oo | −3.59 | |
| 14 | SOTHYS | 72.32 | 0.13 | 2.29 | ||
| 15 | SACRAMENTO | 84.18 | 11.99 | *** | 14.15 | *** |
| 16 | AURELIUS | 68.55 | −3.64 | −1.48 | ||
| 17 | ASPEKT | 59.48 | −12.71 | ooo | −10.55 | ooo |
| 18 | CENTURION | 76.66 | 4.47 | * | 6.63 | * |
| 19 | ACTIVUS | 79.07 | 6.88 | ** | 9.04 | *** |
| 20 | SOPHIE | 72.45 | 0.26 | 2.42 | ||
| 21 | TIBERIUS | 68.40 | −3.79 | o | −1.63 | |
| 22 | VOINIC | 69.48 | −2.71 | −0.55 | ||
| 23 | URSITA | 71.25 | −0.94 | 1.22 | ||
| 24 | ABUND | 68.68 | −3.51 | −1.35 | ||
| 25 | SOFRU | 69.53 | −2.66 | −0.50 | ||
| 26 | GABRIO | 70.61 | −1.58 | 0.58 | ||
| 27 | PITAR | 58.04 | −14.15 | ooo | −11.99 | ooo |
| 28 | SPHERE | 68.85 | −3.34 | −1.18 | ||
| 29 | DACIC | 55.08 | −17.11 | ooo | −14.95 | ooo |
| 30 | BIHARIA | 66.26 | −5.93 | oo | −3.77 | o |
| 31 | MIRANDA | 60.55 | −11.64 | ooo | −9.48 | ooo |
| 32 | ALEX | 64.37 | −7.82 | ooo | −5.66 | oo |
| 33 | CIPRIAN | 72.71 | 0.52 | 2.68 | ||
| 34 | CRISANA | 78.81 | 6.62 | ** | 8.78 | *** |
| 35 | CERTIVA | 72.39 | 0.20 | 2.36 | ||
| 36 | AREZZO | 68.31 | −3.88 | o | −1.72 | |
| Average(Ct2) | 70.03 |
| Sample | Sample Value | Control | Wheat Varieties | Q/ha | DACIC | PITAR | ASPEKT | MIRANDA |
| C 36 | DACIC | 55.08 | ||||||
| Q2.72 | 12.03 | C 35 | PITAR | 58.04 | 2.96 | |||
| Q3.72 | 12.67 | C 34 | ASPEKT | 59.48 | 4.40 | 1.44 | ||
| Q4.72 | 13.05 | C 33 | MIRANDA | 61.10 | 6.02 | 3.06 | 1.62 | |
| Q5.72 | 13.35 | C 32 | COMBIN | 61.52 | 6.44 | 3.48 | 2.04 | 0.42 |
| Q6.72 | 13.60 | C 31 | ALEX | 64.37 | 9.29 | 6.33 | 4.89 | 3.27 |
| Q7.72 | 13.77 | C 30 | BIHARIA | 66.26 | 11.18 | 8.22 | 6.78 | 5.16 |
| Q8.72 | 13.94 | C 29 | BOEMA | 66.44 | 11.36 | 8.40 | 6.96 | 5.34 |
| Q9.72 | 14.07 | C 28 | TIKATAKA | 66.95 | 11.87 | 8.91 | 7.47 | 5.85 |
| Q10.72 | 14.15 | C 27 | PAPILLON | 67.75 | 12.67 | 9.71 | 8.27 | 6.65 |
| Q11.72 | 14.15 | C 26 | AREZZO | 68.31 | 13.23 | 10.27 | 8.83 | 7.21 |
| Q12.72 | 14.32 | C 25 | TIBERIUS | 68.40 | 13.32 | 10.36 | 8.92 | 7.30 |
| Q13.72 | 14.32 | C 24 | AURELIUS | 68.55 | 13.47 | 10.51 | 9.07 | 7.45 |
| Q14.72 | 14.49 | C 23 | ABUND | 68.68 | 13.60 | 10.64 | 9.20 | 7.58 |
| Q15.72 | 14.49 | C 22 | SPHERE | 68.85 | 13.77 | 10.81 | 9.37 | 7.75 |
| Q16.72 | 14.58 | C 21 | VOINIC | 69.48 | 14.40 | 11.44 | 10.00 | 8.38 |
| Q17.72 | 14.58 | C 20 | SOFRU | 69.53 | 14.45 | 11.49 | 10.05 | 8.43 |
| Q18.72 | 14.66 | C 19 | BASILIO | 70.34 | 15.26 | 12.30 | 10.86 | 9.24 |
| Q19.72 | 14.66 | C 18 | SOSTHENE | 70.36 | 15.28 | 12.32 | 10.88 | 9.26 |
| Q20.72 | 14.75 | C 17 | GABRIO | 70.61 | 15.53 | 12.57 | 11.13 | 9.51 |
| Q21.72 | 14.75 | C 16 | APEXUS | 70.67 | 15.59 | 12.63 | 11.19 | 9.57 |
| Q22.72 | 15.05 | C 15 | URSITA | 71.26 | 16.18 | 13.22 | 11.78 | 10.16 |
| Q23.72 | 15.05 | C 14 | GLOSA | 72.19 | 17.11 | 14.15 | 12.71 | 11.09 |
| Q24.72 | 15.05 | C 13 | SOTHYS | 72.32 | 17.24 | 14.28 | 12.84 | 11.22 |
| Q25.72 | 15.05 | C 12 | SOLINDO | 72.39 | 17.31 | 14.35 | 12.91 | 11.29 |
| Q26.72 | 15.05 | C 11 | CERTIVA | 72.39 | 17.31 | 14.35 | 12.91 | 11.29 |
| Q27.72 | 15.05 | C 10 | SOPHIE | 72.45 | 17.37 | 14.41 | 12.97 | 11.35 |
| Q28.72 | 15.05 | C 9 | CIPRIAN | 72.71 | 17.63 | 14.67 | 13.23 | 11.61 |
| Q29.72 | 15.05 | C 8 | CHEVIGNON | 72.83 | 17.75 | 14.79 | 13.35 | 11.73 |
| Q30.72 | 15.05 | C 7 | LITERA | 75.07 | 19.99 | 17.03 | 15.59 | 13.97 |
| Q31.72 | 15.05 | C 6 | CENTURION | 76.66 | 21.58 | 18.62 | 17.18 | 15.56 |
| Q32.72 | 15.05 | C 5 | VIVENDO | 78.19 | 23.11 | 20.15 | 18.71 | 17.09 |
| Q33.72 | 15.05 | C 4 | CRISANA | 78.81 | 23.73 | 20.77 | 19.33 | 17.71 |
| Q34.72 | 15.05 | C 3 | ACTIVUS | 79.07 | 23.99 | 21.03 | 19.59 | 17.97 |
| Q35.72 | 15.05 | C 2 | RUBISKO | 80.26 | 25.18 | 22.22 | 20.78 | 19.16 |
| Q36.72 | 15.05 | C 1 | SACRAMENTO | 84.18 | 29.10 | 26.14 | 24.70 | 23.08 |
| Sample | Sample value | Control | Wheat varieties | Q/ha | COMBIN | ALEX | BIHARIA | BOEMA |
| C 36 | DACIC | 55.08 | ||||||
| Q2.72 | 12.03 | C 35 | PITAR | 58.04 | ||||
| Q3.72 | 12.67 | C 34 | ASPEKT | 59.48 | ||||
| Q4.72 | 13.05 | C 33 | MIRANDA | 61.10 | ||||
| Q5.72 | 13.35 | C 32 | COMBIN | 61.52 | ||||
| Q6.72 | 13.60 | C 31 | ALEX | 64.37 | 2.85 | |||
| Q7.72 | 13.77 | C 30 | BIHARIA | 66.26 | 4.74 | 1.89 | ||
| Q8.72 | 13.94 | C 29 | BOEMA | 66.44 | 4.92 | 2.07 | 0.18 | |
| Q9.72 | 14.07 | C 28 | TIKATAKA | 66.95 | 5.43 | 2.58 | 0.69 | 0.51 |
| Q10.72 | 14.15 | C 27 | PAPILLON | 67.75 | 6.23 | 3.38 | 1.49 | 1.31 |
| Q11.72 | 14.15 | C 26 | AREZZO | 68.31 | 6.79 | 3.94 | 2.05 | 1.87 |
| Q12.72 | 14.32 | C 25 | TIBERIUS | 68.40 | 6.88 | 4.03 | 2.14 | 1.96 |
| Q13.72 | 14.32 | C 24 | AURELIUS | 68.55 | 7.03 | 4.18 | 2.29 | 2.11 |
| Q14.72 | 14.49 | C 23 | ABUND | 68.68 | 7.16 | 4.31 | 2.42 | 2.24 |
| Q15.72 | 14.49 | C 22 | SPHERE | 68.85 | 7.33 | 4.48 | 2.59 | 2.41 |
| Q16.72 | 14.58 | C 21 | VOINIC | 69.48 | 7.96 | 5.11 | 3.22 | 3.04 |
| Q17.72 | 14.58 | C 20 | SOFRU | 69.53 | 8.01 | 5.16 | 3.27 | 3.09 |
| Q18.72 | 14.66 | C 19 | BASILIO | 70.34 | 8.82 | 5.97 | 4.08 | 3.90 |
| Q19.72 | 14.66 | C 18 | SOSTHENE | 70.36 | 8.84 | 5.99 | 4.10 | 3.92 |
| Q20.72 | 14.75 | C 17 | GABRIO | 70.61 | 9.09 | 6.24 | 4.35 | 4.17 |
| Q21.72 | 14.75 | C 16 | APEXUS | 70.67 | 9.15 | 6.30 | 4.41 | 4.23 |
| Q22.72 | 15.05 | C 15 | URSITA | 71.26 | 9.74 | 6.89 | 5.00 | 4.82 |
| Q23.72 | 15.05 | C 14 | GLOSA | 72.19 | 10.67 | 7.82 | 5.93 | 5.75 |
| Q24.72 | 15.05 | C 13 | SOTHYS | 72.32 | 10.80 | 7.95 | 6.06 | 5.88 |
| Q25.72 | 15.05 | C 12 | SOLINDO | 72.39 | 10.87 | 8.02 | 6.13 | 5.95 |
| Q26.72 | 15.05 | C 11 | CERTIVA | 72.39 | 10.87 | 8.02 | 6.13 | 5.95 |
| Q27.72 | 15.05 | C 10 | SOPHIE | 72.45 | 10.93 | 8.08 | 6.19 | 6.01 |
| Q28.72 | 15.05 | C 9 | CIPRIAN | 72.71 | 11.19 | 8.34 | 6.45 | 6.27 |
| Q29.72 | 15.05 | C 8 | CHEVIGNON | 72.83 | 11.31 | 8.46 | 6.57 | 6.39 |
| Q30.72 | 15.05 | C 7 | LITERA | 75.07 | 13.55 | 10.70 | 8.81 | 8.63 |
| Q31.72 | 15.05 | C 6 | CENTURION | 76.66 | 15.14 | 12.29 | 10.40 | 10.22 |
| Q32.72 | 15.05 | C 5 | VIVENDO | 78.19 | 16.67 | 13.82 | 11.93 | 11.75 |
| Q33.72 | 15.05 | C 4 | CRISANA | 78.81 | 17.29 | 14.44 | 12.55 | 12.37 |
| Q34.72 | 15.05 | C 3 | ACTIVUS | 79.07 | 17.55 | 14.70 | 12.81 | 12.63 |
| Q35.72 | 15.05 | C 2 | RUBISKO | 80.26 | 18.74 | 15.89 | 14.00 | 13.82 |
| Q36.72 | 15.05 | C 1 | SACRAMENTO | 84.18 | 22.66 | 19.81 | 17.92 | 17.74 |
| Sample | Sample value | Control | Wheat varieties | Q/ha | TIKATAKA | PAPILLON | AREZZO | TIBERIUS |
| C 36 | DACIC | 55.08 | ||||||
| Q2.72 | 12.03 | C 35 | PITAR | 58.04 | ||||
| Q3.72 | 12.67 | C 34 | ASPEKT | 59.48 | ||||
| Q4.72 | 13.05 | C 33 | MIRANDA | 61.10 | ||||
| Q5.72 | 13.35 | C 32 | COMBIN | 61.52 | ||||
| Q6.72 | 13.60 | C 31 | ALEX | 64.37 | ||||
| Q7.72 | 13.77 | C 30 | BIHARIA | 66.26 | ||||
| Q8.72 | 13.94 | C 29 | BOEMA | 66.44 | ||||
| Q9.72 | 14.07 | C 28 | TIKATAKA | 66.95 | ||||
| Q10.72 | 14.15 | C 27 | PAPILLON | 67.75 | 0.80 | |||
| Q11.72 | 14.15 | C 26 | AREZZO | 68.31 | 1.36 | 0.56 | ||
| Q12.72 | 14.32 | C 25 | TIBERIUS | 68.40 | 1.45 | 0.65 | 0.09 | |
| Q13.72 | 14.32 | C 24 | AURELIUS | 68.55 | 1.60 | 0.80 | 0.24 | 0.15 |
| Q14.72 | 14.49 | C 23 | ABUND | 68.68 | 1.73 | 0.93 | 0.37 | 0.28 |
| Q15.72 | 14.49 | C 22 | SPHERE | 68.85 | 1.90 | 1.10 | 0.54 | 0.45 |
| Q16.72 | 14.58 | C 21 | VOINIC | 69.48 | 2.53 | 1.73 | 1.17 | 1.08 |
| Q17.72 | 14.58 | C 20 | SOFRU | 69.53 | 2.58 | 1.78 | 1.22 | 1.13 |
| Q18.72 | 14.66 | C 19 | BASILIO | 70.34 | 3.39 | 2.59 | 2.03 | 1.94 |
| Q19.72 | 14.66 | C 18 | SOSTHENE | 70.36 | 3.41 | 2.61 | 2.05 | 1.96 |
| Q20.72 | 14.75 | C 17 | GABRIO | 70.61 | 3.66 | 2.86 | 2.30 | 2.21 |
| Q21.72 | 14.75 | C 16 | APEXUS | 70.67 | 3.72 | 2.92 | 2.36 | 2.27 |
| Q22.72 | 15.05 | C 15 | URSITA | 71.26 | 4.31 | 3.51 | 2.95 | 2.86 |
| Q23.72 | 15.05 | C 14 | GLOSA | 72.19 | 5.24 | 4.44 | 3.88 | 3.79 |
| Q24.72 | 15.05 | C 13 | SOTHYS | 72.32 | 5.37 | 4.57 | 4.01 | 3.92 |
| Q25.72 | 15.05 | C 12 | SOLINDO | 72.39 | 5.44 | 4.64 | 4.08 | 3.99 |
| Q26.72 | 15.05 | C 11 | CERTIVA | 72.39 | 5.44 | 4.64 | 4.08 | 3.99 |
| Q27.72 | 15.05 | C 10 | SOPHIE | 72.45 | 5.50 | 4.70 | 4.14 | 4.05 |
| Q28.72 | 15.05 | C 9 | CIPRIAN | 72.71 | 5.76 | 4.96 | 4.40 | 4.31 |
| Q29.72 | 15.05 | C 8 | CHEVIGNON | 72.83 | 5.88 | 5.08 | 4.52 | 4.43 |
| Q30.72 | 15.05 | C 7 | LITERA | 75.07 | 8.12 | 7.32 | 6.76 | 6.67 |
| Q31.72 | 15.05 | C 6 | CENTURION | 76.66 | 9.71 | 8.91 | 8.35 | 8.26 |
| Q32.72 | 15.05 | C 5 | VIVENDO | 78.19 | 11.24 | 10.44 | 9.88 | 9.79 |
| Q33.72 | 15.05 | C 4 | CRISANA | 78.81 | 11.86 | 11.06 | 10.50 | 10.41 |
| Q34.72 | 15.05 | C 3 | ACTIVUS | 79.07 | 12.12 | 11.32 | 10.76 | 10.67 |
| Q35.72 | 15.05 | C 2 | RUBISKO | 80.26 | 13.31 | 12.51 | 11.95 | 11.86 |
| Q36.72 | 15.05 | C 1 | SACRAMENTO | 84.18 | 17.23 | 16.43 | 15.87 | 15.78 |
| Sample | Sample value | Control | Wheat varieties | Q/ha | AURELIUS | ABUND | SPHERE | |
| C 36 | DACIC | 55.08 | ||||||
| Q2.72 | 12.03 | C 35 | PITAR | 58.04 | ||||
| Q3.72 | 12.67 | C 34 | ASPEKT | 59.48 | ||||
| Q4.72 | 13.05 | C 33 | MIRANDA | 61.10 | ||||
| Q5.72 | 13.35 | C 32 | COMBIN | 61.52 | ||||
| Q6.72 | 13.60 | C 31 | ALEX | 64.37 | ||||
| Q7.72 | 13.77 | C 30 | BIHARIA | 66.26 | ||||
| Q8.72 | 13.94 | C 29 | BOEMA | 66.44 | ||||
| Q9.72 | 14.07 | C 28 | TIKATAKA | 66.95 | ||||
| Q10.72 | 14.15 | C 27 | PAPILLON | 67.75 | ||||
| Q11.72 | 14.15 | C 26 | AREZZO | 68.31 | ||||
| Q12.72 | 14.32 | C 25 | TIBERIUS | 68.40 | ||||
| Q13.72 | 14.32 | C 24 | AURELIUS | 68.55 | ||||
| Q14.72 | 14.49 | C 23 | ABUND | 68.68 | 0.13 | |||
| Q15.72 | 14.49 | C 22 | SPHERE | 68.85 | 0.30 | 0.17 | ||
| Q16.72 | 14.58 | C 21 | VOINIC | 69.48 | 0.93 | 0.80 | 0.63 | |
| Q17.72 | 14.58 | C 20 | SOFRU | 69.53 | 0.98 | 0.85 | 0.68 | |
| Q18.72 | 14.66 | C 19 | BASILIO | 70.34 | 1.79 | 1.66 | 1.49 | |
| Q19.72 | 14.66 | C 18 | SOSTHENE | 70.36 | 1.81 | 1.68 | 1.51 | |
| Q20.72 | 14.75 | C 17 | GABRIO | 70.61 | 2.06 | 1.93 | 1.76 | |
| Q21.72 | 14.75 | C 16 | APEXUS | 70.67 | 2.12 | 1.99 | 1.82 | |
| Q22.72 | 15.05 | C 15 | URSITA | 71.26 | 2.71 | 2.58 | 2.41 | |
| Q23.72 | 15.05 | C 14 | GLOSA | 72.19 | 3.64 | 3.51 | 3.34 | |
| Q24.72 | 15.05 | C 13 | SOTHYS | 72.32 | 3.77 | 3.64 | 3.47 | |
| Q25.72 | 15.05 | C 12 | SOLINDO | 72.39 | 3.84 | 3.71 | 3.54 | |
| Q26.72 | 15.05 | C 11 | CERTIVA | 72.39 | 3.84 | 3.71 | 3.54 | |
| Q27.72 | 15.05 | C 10 | SOPHIE | 72.45 | 3.90 | 3.77 | 3.60 | |
| Q28.72 | 15.05 | C 9 | CIPRIAN | 72.71 | 4.16 | 4.03 | 3.86 | |
| Q29.72 | 15.05 | C 8 | CHEVIGNON | 72.83 | 4.28 | 4.15 | 3.98 | |
| Q30.72 | 15.05 | C 7 | LITERA | 75.07 | 6.52 | 6.39 | 6.22 | |
| Q31.72 | 15.05 | C 6 | CENTURION | 76.66 | 8.11 | 7.98 | 7.81 | |
| Q32.72 | 15.05 | C 5 | VIVENDO | 78.19 | 9.64 | 9.51 | 9.34 | |
| Q33.72 | 15.05 | C 4 | CRISANA | 78.81 | 10.26 | 10.13 | 9.96 | |
| Q34.72 | 15.05 | C 3 | ACTIVUS | 79.07 | 10.52 | 10.39 | 10.22 | |
| Q35.72 | 15.05 | C 2 | RUBISKO | 80.26 | 11.71 | 11.58 | 11.41 | |
| Q36.72 | 15.05 | C 1 | SACRAMENTO | 84.18 | 15.63 | 15.50 | 15.33 |
| n | 2021–2022 | 2022–2023 | 2023–2024 |
|---|---|---|---|
| Preceding crop | Pea | Rapeseed | Pea |
| Summer plowing | 23 July 2021 | ||
| Autumn plowing | 6 September 2022 | 28 August 2023 | |
| Disc harrowing | 23 July 2021 | 8 September 2022 | 29 August 2023/7 September 2023 |
| Disc harrowing | 26 October 2021 | 30 September 2022 | 10 November 2023 |
| Date of harvest | 27 October 2021 | 6 October 2022 | 13 November 2023 |
| Seed treatment | Redigo Pro (prothioconazole 100 g/L + tebuconazole 60 g/L) − 0.50 l/t | Celest Extra (fludioxonil 25 g/L + difenoconazol 25 g/L) − 1 l/t | Celest Extra (fludioxonil 25 g/L + difenoconazol 25 g/L) − 1 l/t |
| Sowing | 1 November 2021 | 21 October 2022 | 15 November 2023 |
| Irrigation | 9 November 2022 (30 mm) | ||
| Sprouting | 19 November 2021 | 20 November 2022 | 19 December 2023 |
| Fertilization | 15 March 2022 | 6 March 2023 | 20 March 2024 |
| Herbicide treatment | 16 April 2022 Axial One (pinoxaden 45 g/L + cloquintocet-mexyl 11.25 g/L + florasulam 7.50 g/L) − 1 l/ha | 13 April 2023 Andor (Tritosulfuron 714 g/kg + Florasulam 54 g/kg) − 0.07 l/ha + Dash (methylated rapeseed oil − adjuvant, 100%) − 1 l/ha | 30 March 2024 Omnera (fluroxypyr 135 g/L + thifensulfuron metil 30 g/L + metsulfuron metil 5 g/L) − 1 l/ha |
| Treatment 1 | 3 May 2022 Amistar (azoxystrobin 250 g/L) − 0.75 l/ha + Celsivo (fenpropidin 750 g/L) − 0.40 l/ha + Karate Zeon (lambda-cyhalothrin 50 g/L) − 0.15 l/ha | 19 April 2023 Amistar (azoxystrobin 250 g/L) − 0.75 l/ha + Celsivo (fenpropidin 750 g/L) − 0.40 l/ha | 1 April 2024 Amistar (azoxystrobin 250 g/L) − 0.75 l/ha + Celsivo (fenpropidin 750 g/L) − 0.40 l/ha + Karate Zeon (lambda-cyhalothrin 50 g/L) − 0.15 l/ha |
| Treatment 2 | 13 May 2022 Elatus Era (benzovindiflupyr 75 g/L + prothioconazole 150 g/L) − 1 l/ha + Decis Expert (deltamethrin 100 g/L) − 0.06 l/ha | 13 May 2023 Elatus Plus (benzovindiflupyr 100 g/L) − 0.75 l/ha + Rivior (tetraconazol 125 g/L) − 0.90 l/ha + Nexide (gamma-cyhalothrin 60 g/L) − 0.08 l/ha | 10 May 2024 Falcon (protioconazol 53 g/L + spiroxamină 224 g/L + tebuconazol 148 g/L) − 0.80 l/ha + Decis Expert (deltame-thrin 100 g/L) − 0.08 l/ha |
| Treatment 3 | 16 June 2022 Krima (acetamiprid 200 g/kg) − 0.10 kg/ha | ||
| Harvested | 15 July 2022 | 11 July 2023 | 24 June 2024 |
Disclaimer/Publisher’s Note: The statements, opinions and data contained in all publications are solely those of the individual author(s) and contributor(s) and not of MDPI and/or the editor(s). MDPI and/or the editor(s) disclaim responsibility for any injury to people or property resulting from any ideas, methods, instructions or products referred to in the content. |
© 2025 by the authors. Licensee MDPI, Basel, Switzerland. This article is an open access article distributed under the terms and conditions of the Creative Commons Attribution (CC BY) license (https://creativecommons.org/licenses/by/4.0/).
Share and Cite
Rosculete, E.; Paunescu, R.A.; Rosculete, C.A.; Paunescu, G.; Bonciu, E.; Olaru, A.L.; Murtaza, D.F. Nitrogen Management of Variety Screening of Winter Wheat Cultivated on Chernozem Soil for Yield Optimization. Plants 2025, 14, 3580. https://doi.org/10.3390/plants14233580
Rosculete E, Paunescu RA, Rosculete CA, Paunescu G, Bonciu E, Olaru AL, Murtaza DF. Nitrogen Management of Variety Screening of Winter Wheat Cultivated on Chernozem Soil for Yield Optimization. Plants. 2025; 14(23):3580. https://doi.org/10.3390/plants14233580
Chicago/Turabian StyleRosculete, Elena, Ramona Aida Paunescu, Catalin Aurelian Rosculete, Gabriela Paunescu, Elena Bonciu, Aurel Liviu Olaru, and Denisa Florența Murtaza. 2025. "Nitrogen Management of Variety Screening of Winter Wheat Cultivated on Chernozem Soil for Yield Optimization" Plants 14, no. 23: 3580. https://doi.org/10.3390/plants14233580
APA StyleRosculete, E., Paunescu, R. A., Rosculete, C. A., Paunescu, G., Bonciu, E., Olaru, A. L., & Murtaza, D. F. (2025). Nitrogen Management of Variety Screening of Winter Wheat Cultivated on Chernozem Soil for Yield Optimization. Plants, 14(23), 3580. https://doi.org/10.3390/plants14233580

