Synergistic Effects of Nitrogen Application Enhance Drought Resistance in Machilus yunnanensis Seedlings
Abstract
1. Introduction
2. Results
2.1. Effects of Drought and Nitrogen on Physicochemical Properties of Rhizosphere Soil of M. yunnanensis Seedlings
2.2. Drought and Nitrogen Effects on the Growth Morphology of M. yunnanensis Seedlings
2.3. Drought and Nitrogen Effects on Photosynthetic Pigment Contents of M. yunnanensis Seedlings
2.4. Drought and Nitrogen Effects on Photosynthetic Parameters in M. yunnanensis Seedlings
2.5. Drought and Nitrogen Effects on Leaf Nitrogen Use Efficiency in M. yunnanensis Seedlings
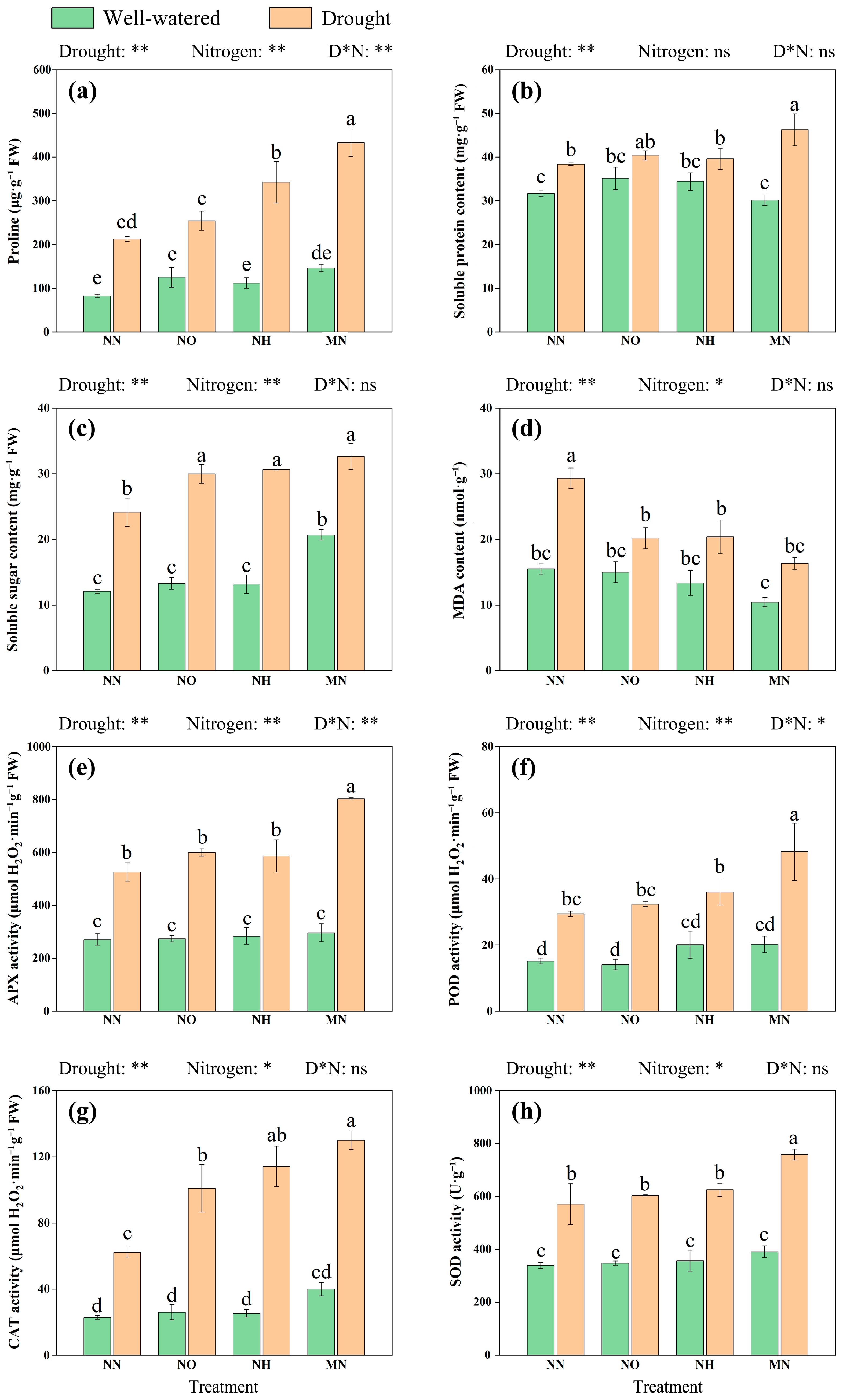
2.6. Drought and Nitrogen Effects on Osmolytes and Antioxidant Capacity in M. yunnanensis Seedlings
2.7. Drought and Nitrogen Effects on Rhizosphere Nutrients in Relation to Growth and Drought Resistance of M. yunnanensis Seedlings
3. Discussion
4. Materials and Methods
4.1. Study Site and Climate
4.2. Experimental Design
4.3. Nitrogen Application
4.4. Soil Physicochemical Properties
4.5. Irrigation Water
4.6. Growth Parameters
4.7. Measurement of Carbon (TCleaf) and Nitrogen (TNleaf) Content in Leaf
4.8. Calculation of Nitrogen Use Efficiency (NUE) and Photosynthetic Nitrogen Use Efficiency (PNUE)
4.9. Measurement of Photosynthesis and Chlorophyll Fluorescence
4.10. Measurement of Photosynthetic Pigments, MDA, Osmolytes Content, and Antioxidant Enzyme Activities
4.11. Statistical Analysis
Author Contributions
Funding
Data Availability Statement
Conflicts of Interest
Appendix A
| pH | SOM | TC | TN | TP | AVP | TK | NO3− | NH4+ | AK | DON | C/N | C/P | N/P | |
|---|---|---|---|---|---|---|---|---|---|---|---|---|---|---|
| D | ns | ** | ** | ns | ns | ** | ns | ns | * | ** | ** | ** | ** | ns |
| N | ** | ns | ns | ** | ns | ** | ns | ns | ns | ns | ns | ** | ns | ** |
| D* N | ns | ns | ns | ** | ns | ns | ns | ns | ns | ns | ns | ns | ns | * |
| MDA | APX | CAT | POD | SOD | Pro | SP | SS | Chla | Chlb | Car | Chla/b | T Chl | Car/Chl | |
| Dt | ** | ** | ** | ** | ** | ** | ** | ** | ** | ** | ** | * | ** | ** |
| N | * | ** | ** | * | * | ** | ns | ** | ** | ** | ** | ** | ** | ** |
| D* N | ns | ** | * | ns | ns | ** | ns | ns | * | * | ns | ** | * | ns |
| Leaf L/W | LA | Total leaf area | SLA | Plants height | Root length | Leaf bio | Stem bio | Root bio | Total bio | Root/Shoot | ||||
| D | ** | ** | ** | ** | ** | ns | ** | * | ns | ** | ** | |||
| N | ** | ** | ** | ** | ** | ** | ** | ns | ** | ** | ns | |||
| D* N | * | ns | ns | ns | ns | ns | ns | ns | ns | ns | ns | |||
| Pn | GS | Ci | Tr | F0 | FvFm | Y(II) | NPQ | QP | ETR | LRWC | ||||
| D | ** | ** | ** | ** | ns | * | * | ** | ns | * | ** | |||
| N | ** | ** | * | ** | ns | ** | ** | ns | ns | ** | ns | |||
| D* N | ns | ns | ns | ** | ns | ns | ns | ** | ns | * | ns |

References
- Barnard, J.H.; Matthews, N.; du Preez, C.C. Formulating and assessing best water and salt management practices: Lessons from non-saline and water-logged irrigated fields. Agric. Water Manag. 2021, 247, 106706. [Google Scholar] [CrossRef]
- Shi, C.; Yang, F.; Liu, Z.; Li, Y.; Di, X.; Wang, J.; Lin, J. Uniform Water Potential Induced by Salt, Alkali, and Drought Stresses Has Different Impacts on the Seedling of Hordeum jubatum: From Growth, Photosynthesis, and Chlorophyll Fluorescence. Front. Plant Sci. 2021, 12, 733236. [Google Scholar] [CrossRef]
- Detti, C.; Gori, A.; Azzini, L.; Nicese, F.P.; Alderotti, F.; Lo Piccolo, E.; Stella, C.; Ferrini, F.; Brunetti, C. Drought tolerance and recovery capacity of two ornamental shrubs: Combining physiological and biochemical analyses with online leaf water status monitoring for the application in urban settings. Plant Physiol. Biochem. 2024, 216, 109208. [Google Scholar] [CrossRef]
- Petruzzellis, F.; Tordoni, E.; Di Bonaventura, A.; Tomasella, M.; Natale, S.; Panepinto, F.; Bacaro, G.; Nardini, A. Turgor loss point and vulnerability to xylem embolism predict species-specific risk of drought-induced decline of urban trees. Plant Biol. 2021, 24, 1198–1207. [Google Scholar] [CrossRef]
- Benavides, R.; Escudero, A.; Coll, L.; Ferrandis, P.; Gouriveau, F.; Hódar, J.A.; Ogaya, R.; Rabasa, S.G.; Granda, E.; Santamaría, B.P.; et al. Survival vs. growth trade-off in early recruitment challenges global warming impacts on Mediterranean mountain trees. Perspect. Plant Ecol. Evol. Syst. 2015, 17, 369–378. [Google Scholar] [CrossRef]
- Sigala, J.A.; Uscola, M.; Oliet, J.A.; Jacobs, D.F. Drought tolerance and acclimation in Pinus ponderosa seedlings: The influence of nitrogen form. Tree Physiol. 2020, 40, 1165–1177. [Google Scholar] [CrossRef]
- Hu, F.; Zhang, Y.; Guo, J. Effects of drought stress on photosynthetic physiological characteristics, leaf microstructure, and related gene expression of yellow horn. Plant Signal. Behav. 2023, 18, 2215025. [Google Scholar] [CrossRef] [PubMed]
- Min, H.; Chen, C.; Wei, S.; Shang, X.; Sun, M.; Xia, R.; Liu, X.; Hao, D.; Chen, H.; Xie, Q. Identification of Drought Tolerant Mechanisms in Maize Seedlings Based on Transcriptome Analysis of Recombination Inbred Lines. Front. Plant Sci. 2016, 26, 1080. [Google Scholar] [CrossRef] [PubMed]
- Cheng, L.; Li, Y.; Ning, Z.; Yang, H.; Zhan, J.; Yao, B. Response mechanisms of woody plants to drought stress: A review based on plant hydraulic traits. Acta Ecol. Sin. 2024, 44, 2688–2705. [Google Scholar]
- Sato, H.; Mizoi, J.; Shinozaki, K.; Yamaguchi-Shinozaki, K. Complex plant responses to drought and heat stress under climate change. Plant J. Cell Mol. Biol. 2024, 117, 1873–1892. [Google Scholar] [CrossRef]
- Liu, H.; Song, S.; Zhang, H.; Li, Y.; Niu, L.; Zhang, J.; Wang, W. Signaling Transduction of ABA, ROS, and Ca2+ in Plant Stomatal Closure in Response to Drought. Int. J. Mol. Sci. 2022, 23, 14824. [Google Scholar] [CrossRef]
- Cechin, I.; da Silva, L.P.; Ferreira, E.T.; Barrochelo, S.C.; de Melo, F.P.D.S.R.; Dokkedal, A.L.; Saldanha, L.L. Physiological responses of Amaranthus cruentus L. to drought stress under sufficient– and deficient-nitrogen conditions. PLoS ONE 2022, 17, e0270849. [Google Scholar] [CrossRef] [PubMed]
- Ding, L.; Lu, Z.; Gao, L.; Guo, S.; Shen, Q. Is Nitrogen a Key Determinant of Water Transport and Photosynthesis in Higher Plants Upon Drought Stress? Front. Plant Sci. 2018, 9, 1143. [Google Scholar] [CrossRef]
- Flexas, J.; Gallé, A.; Galmés, J.; Ribas-Carbo, M.; Medrano, H. The Response of Photosynthesis to Soil Water Stress. In Plant Responses Drought Stress; Springer: Berlin/Heidelberg, Germany, 2012; pp. 129–144. [Google Scholar]
- Perez-Martin, A.; Michelazzo, C.; Torres-Ruiz, J.M.; Flexas, J.; Fernández, J.E.; Sebastiani, L.; Diaz-Espejo, A. Regulation of photosynthesis and stomatal and mesophyll conductance under water stress and recovery in olive trees: Correlation with gene expression of carbonic anhydrase and aquaporins. J. Exp. Bot. 2014, 65, 3143–3156. [Google Scholar] [CrossRef] [PubMed]
- Tariq, A.; Pan, K.; Olatunji, O.A.; Graciano, C.; Li, Z.; Li, N.; Song, D.; Sun, F.; Wu, X.; Dakhil, M.A.; et al. Impact of phosphorus application on drought resistant responses of Eucalyptus grandis seedlings. Physiol. Plant. 2019, 166, 894–908. [Google Scholar] [CrossRef]
- Aaltonen, H.; Lindén, A.; Heinonsalo, J.; Biasi, C.; Pumpanen, J. Effects of prolonged drought stress on Scots pine seedling carbon allocation. Tree Physiol. 2016, 37, 418–427. [Google Scholar] [CrossRef]
- Kou, X.; Han, W.; Kang, J. Responses of root system architecture to water stress at multiple levels: A meta-analysis of trials under controlled conditions. Front. Plant Sci. 2022, 13, 1085409. [Google Scholar] [CrossRef]
- Rouphael, Y.; Cardarelli, M.; Schwarz, D.; Franken, P.; Colla, G. Effects of Drought on Nutrient Uptake and Assimilation in Vegetable Crops. In Plant Responses Drought Stress; Springer: Berlin/Heidelberg, Germany, 2012; pp. 171–195. [Google Scholar]
- Lambers, H.; Chapin, F.S.; Pons, T.L. Plant Physiological Ecology; Springer: New York, NY, USA, 2008; pp. 80–85. [Google Scholar]
- He, M.; Dijkstra, F.A. Drought effect on plant nitrogen and phosphorus: A meta-analysis. New Phytol. 2014, 204, 924–931. [Google Scholar] [CrossRef] [PubMed]
- Zhang, T.; Liu, Y.; Chen, H.; Xu, L.; Chen, X.; Wang, E.; Yan, J. Effects of different exogenous substances on the seed germination, seedling growth, and physiology of Melilotus suaveolens under salt, alkali, and drought stress. Acta Pratacult. Sin. 2024, 33, 122. [Google Scholar]
- Wang, Y.; Cheng, Y.; Chen, K.; Tsay, Y. Nitrate Transport, Signaling, and Use Efficiency. Annu. Rev. Plant Biol. 2018, 69, 85–122. [Google Scholar] [CrossRef]
- Wei, X.; Han, L.; Xu, N.; Sun, M.; Yang, X. Nitrate nitrogen enhances the efficiency of photoprotection in Leymus chinensis under drought stress. Front. Plant Sci. 2024, 15, 1348925. [Google Scholar] [CrossRef] [PubMed]
- Gorska, A.; Ye, Q.; Holbrook, N.M.; Zwieniecki, M.A. Nitrate Control of Root Hydraulic Properties in Plants: Translating Local Information to Whole Plant Response. Plant Physiol. 2008, 148, 1159–1167. [Google Scholar] [CrossRef] [PubMed]
- Chen, M.; Zhu, K.; Xie, J.; Liu, J.; Qiao, Z.; Tan, P.; Peng, F. Ammonium–nitrate mixtures dominated by NH4+-N promote the growth of pecan (Carya illinoinensis) through enhanced N uptake and assimilation. Front. Plant Sci. 2023, 14, 1186818. [Google Scholar] [CrossRef]
- Gebauer, T.; BassiriRad, H. Effects of high atmospheric CO2 concentration on root hydraulic conductivity of conifers depend on species identity and inorganic nitrogen source. Environ. Pollut. 2011, 159, 3455–3461. [Google Scholar] [CrossRef] [PubMed]
- Ding, L.; Gao, C.; Li, Y.; Li, Y.; Zhu, Y.; Xu, G.; Shen, Q.; Kaldenhoff, R.; Kai, L.; Guo, S. The enhanced drought tolerance of rice plants under ammonium is related to aquaporin (AQP). Plant Sci. 2015, 234, 14–21. [Google Scholar] [CrossRef]
- Guo, S.; Zhou, Y.; Shen, Q.; Zhang, F. Effect of Ammonium and Nitrate Nutrition on Some Physiological Processes in Higher Plants—Growth, Photosynthesis, Photorespiration, and Water Relations. Plant Biol. 2007, 9, 21–29. [Google Scholar] [CrossRef]
- Britto, D.T.; Kronzucker, H.J. NH4+ toxicity in higher plants: A critical review. J. Plant Physiol. 2002, 159, 567–584. [Google Scholar] [CrossRef]
- Li, W.T.; Ning, P.; Wang, F.; Cheng, X.M.; Huang, X.X. Effects of exogenous abscisic acid (ABA) on growth and physiological characteristics of Machilus yunnanensis seedlings under drought stress. Chin. J. Appl. Ecol. 2020, 31, 1543–1550. [Google Scholar]
- Slessarev, E.W.; Lin, Y.; Bingham, N.L.; Johnson, J.E.; Dai, Y.; Schimel, J.P.; Chadwick, O.A. Water balance creates a threshold in soil pH at the global scale. Nature 2016, 540, 567–569. [Google Scholar] [CrossRef]
- Yang, L.; Lin, J.; Molder, E.; Gao, R.; Yu, H.; Lin, Y.; Wang, D.; Li, J. Effects of Climate Types and Slope Sections on the pH of Soil in the Unstable Slope with High-Frequency Debris Flow in Jiangjiagou Watershed of Yunnan Province. Res. Soil Water Conserv. 2022, 29, 105–112. [Google Scholar]
- Gargallo-Garriga, A.; Preece, C.; Sardans, J.; Oravec, M.; Urban, O.; Peñuelas, J. Root exudate metabolomes change under drought and show limited capacity for recovery. Sci. Rep. 2018, 8, 12696. [Google Scholar] [CrossRef]
- Yang, H.; Yin, C.; Tang, B.; Zheng, D.; Zhao, C.; Li, D.; Liu, Q. Difference in soil pH values between Picea asperata and Abies faxoniana stands in subalpine regions and a preliminary study on its mechanism. Acta Ecol. Sin. 2018, 38, 5017–5026. [Google Scholar] [CrossRef]
- Zhao, F.; Chen, H.; Wang, Y.; Dong, K.; Wang, C.; Chen, X. Response of Rhizosphere Soil Properties to Changed Precipitation and Nitrogen Addition in a Salinized Grassland. Acta Agrestia Sin. 2022, 30, 2430–2437. [Google Scholar]
- Wu, X.; Liu, T.; Zhang, Y.; Duan, F.; Neuhäuser, B.; Ludewig, U.; Schulze, W.X.; Yuan, L. Ammonium and nitrate regulate NH4+ uptake activity of Arabidopsis ammonium transporter AtAMT1;3 via phosphorylation at multiple C-terminal sites. J. Exp. Bot. 2019, 70, 4919–4930. [Google Scholar] [CrossRef] [PubMed]
- Gao, H.; Mu, R.; Jiao, T.; Chen, X.; Ma, S.; Zhang, X. Effects of Nitrogen Application on Rhizosphere and Non-rhizosphere Soil Fertility of Alpine Elymus nutions Grassland. J. Soil Water Conserv. 2023, 37, 276–282. [Google Scholar]
- Li, H.; Zhu, Y.; Tian, J.; Wei, K.; Chen, Z.; Chen, L. Effects of carbon and nitrogen additions on soil organic C, N, P contents and their catalyzed enzyme activities in a grassland. Chin. J. Appl. Ecol. 2018, 29, 2470–2476. [Google Scholar]
- Kamel, A.-S.A.; El-Kherbawy, M.I.; Awad, A.A.M.; Sweed, A.A.A. The co-application of nitrogen and phosphorus improved nutrient uptake and productivity of Ipomoea batatas plants grown in saline-calcareous soils. Sci. Rep. 2025, 15, 18356. [Google Scholar] [CrossRef]
- Wang, Y.; Shi, F.; Song, J.; Wang, W. The Effect of Dynamic Regulation of Water, Nitrogen and Carbon on the Rhizosphere Soil Environment and Yield, Quality of Soybean. Water Sav. Irrig. 2024, 5, 18–27. [Google Scholar]
- Li, M.; Wang, R.; Jia, H.; Geng, Q.; Guo, S.; Wang, F.; Liu, L.; Dong, W.; Xu, W. Effects of Brassinosteroid on Plant–soil Stoichiometric Characteristics and Homeostasis under Drought Stress. Acta Agrestia Sin. 2024, 32, 1068–1077. [Google Scholar]
- Bradley, R.L. An alternative explanation for the post-disturbance NO3− flush in some forest ecosystems. Ecol. Lett. 2001, 4, 412–416. [Google Scholar] [CrossRef]
- Wang, J.; Cheng, Y.; Zhang, J.B.; Müller, C.; Cai, Z.C. Soil gross nitrogen transformations along a secondary succession transect in the north subtropical forest ecosystem of southwest China. Geoderma 2016, 280, 88–95. [Google Scholar] [CrossRef]
- Sun, Y. Drought Effects on Ecological Stoichiometry in Terrestrial Ecosystemsand Soil Microbial Structures. Ph.D. Thesis, Nanjing Forestry University, Nanjing, China, 2021. [Google Scholar]
- Fan, L.; Zhou, X.; Wu, S.; Xiang, J.; Zhong, X.; Tang, X.; Wang, Y. Research advances on the effects of drought stress in plant rhizosphere environments. Chin. J. Appl. Environ. Biol. 2019, 25, 1244–1251. [Google Scholar]
- Krouk, G.; Kiba, T. Nitrogen and Phosphorus interactions in plants: From agronomic to physiological and molecular insights. Curr. Opin. Plant Biol. 2020, 57, 104–109. [Google Scholar] [CrossRef]
- Menge, D.N.L.; Field, C.B. Simulated global changes alter phosphorus demand in annual grassland. Glob. Change Biol. 2007, 13, 2582–2591. [Google Scholar] [CrossRef]
- Wang, Y.; Chen, Y.; Wu, W. Potassium and phosphorus transport and signaling in plants. J. Integr. Plant Biol. 2021, 63, 34–52. [Google Scholar] [CrossRef]
- Oddo, E.; Inzerillo, S.; Grisafi, F.; Sajeva, M.; Salleo, S.; Nardini, A. Does short-term potassium fertilization improve recovery from drought stress in laurel? Tree Physiol. 2014, 34, 906–913. [Google Scholar] [CrossRef] [PubMed]
- Liu, Y.; Zhang, L.; Liu, X.; Zeng, X.; Jia, R. Research progress from individual plant physiological response to ecological model prediction under drought stress. Acta Ecol. Sin. 2023, 43, 10042–10053. [Google Scholar]
- Wang, R.; Qin, X.; Pan, H.; Li, D.; Xiao, X.; Jin, Y.; Wang, Y.; Liang, H. Assessing the effects of drought stress on photosynthetic performance and physiological resistance in camphor seedling leaves. PLoS ONE 2025, 20, e0313316. [Google Scholar] [CrossRef] [PubMed]
- Ramage, B.S.; Johnson, D.J.; Chan, D.M. Effects of drought, disturbance, and biotic neighborhood on experimental tree seedling performance. Ecol. Evol. 2023, 13, e10413. [Google Scholar] [CrossRef]
- Huang, L.-L.; Li, M.-J.; Zhou, K.; Sun, T.; Hu, L.; Li, C.; Ma, F. Uptake and metabolism of ammonium and nitrate in response to drought stress in Malus prunifolia. Plant Physiol. Biochem. 2018, 127, 185–193. [Google Scholar] [CrossRef]
- Kuster, T.M.; Arend, M.; Günthardt-Goerg, M.S.; Schulin, R. Root growth of different oak provenances in two soils under drought stress and air warming conditions. Plant Soil 2012, 369, 61–71. [Google Scholar] [CrossRef]
- Sum, K.; Jiang, B.Y.; Zhang, S.H.; Hou, Q.Z.; Su, X. Study on the response of leaf size traits in Hippophae tibetana Schlecht with precipitation and temperature. J. Northwest Norm. Univ. (Nat. Sci.) 2014, 50, 71–76. [Google Scholar]
- Andrews; Sprent; Raven; Eady. Relationships between shoot to root ratio, growth and leaf soluble protein concentration of Pisum sativum, Phaseolus vulgaris and Triticum aestivum under different nutrient deficiencies. Plant Cell Environ. 1999, 22, 949–958. [Google Scholar] [CrossRef]
- Yang, Z.; Yan, H.; Liu, H.; Yang, L.; Mi, G.; Wang, P. Enhancing Crop Nitrogen Efficiency: The Role of Mixed Nitrate and Ammonium Supply in Plant Growth and Development. Biology 2025, 14, 546. [Google Scholar] [CrossRef]
- Fan, X.; Lu, C.; Khan, Z.; Li, Z.; Duan, S.; Shen, H.; Fu, Y. Mixed Ammonium-Nitrate Nutrition Regulates Enzymes, Gene Expression, and Metabolic Pathways to Improve Nitrogen Uptake, Partitioning, and Utilization Efficiency in Rice. Plants 2025, 14, 611. [Google Scholar] [CrossRef] [PubMed]
- Zhang, W.; Wu, X.; Wang, D.; Wu, D.; Fu, Y.; Bian, C.; Jin, L.; Zhang, Y. Leaf cytokinin accumulation promotes potato growth in mixed nitrogen supply by coordination of nitrogen and carbon metabolism. Plant Sci. 2022, 324, 111416. [Google Scholar] [CrossRef]
- Marschner, H. Marschner’s Mineral Nutrition of Higher Plants, 3rd ed.; Academic Press: London, UK, 2011; pp. 36–37. [Google Scholar]
- Hachiya, T.; Watanabe, C.K.; Fujimoto, M.; Ishikawa, T.; Takahara, K.; Kawai-Yamada, M.; Uchimiya, H.; Uesono, Y.; Terashima, I.; Noguchi, K. Nitrate Addition Alleviates Ammonium Toxicity Without Lessening Ammonium Accumulation, Organic Acid Depletion and Inorganic Cation Depletion in Arabidopsis thaliana Shoots. Plant Cell Physiol. 2012, 53, 577–591. [Google Scholar] [CrossRef] [PubMed]
- Sato, S.; Yanagisawa, S. Characterization of Metabolic States of Arabidopsis thaliana Under Diverse Carbon and Nitrogen Nutrient Conditions via Targeted Metabolomic Analysis. Plant Cell Physiol. 2014, 55, 306–319. [Google Scholar] [CrossRef]
- Wang, P.; Wang, Z.; Pan, Q.; Sun, X.; Chen, H.; Chen, F.; Yuan, L.; Mi, G. Increased biomass accumulation in maize grown in mixed nitrogen supply is mediated by auxin synthesis. J. Exp. Bot. 2019, 70, 1859–1873. [Google Scholar] [CrossRef]
- Ben Abdallah, M.; Methenni, K.; Nouairi, I.; Zarrouk, M.; Youssef, N.B. Drought priming improves subsequent more severe drought in a drought-sensitive cultivar of olive cv. Chétoui. Sci. Hortic. 2017, 221, 43–52. [Google Scholar] [CrossRef]
- Yao, C.; Guo, S.; Ma, Y.; Lai, X.; Yang, X. Effect of drought stress on characteristics of photosynthesis and chlorophyll fluorescence of four species of Cassia. Pratacult. Sci. 2017, 34, 1880–1888. [Google Scholar]
- Pinto, E.; Fidalgo, F.; Teixeira, J.; Aguiar, A.A.; Ferreira, I.M.P.L.V.O. Influence of the temporal and spatial variation of nitrate reductase, glutamine synthetase and soil composition in the N species content in lettuce (Lactuca sativa). Plant Sci. 2014, 219–220, 35–41. [Google Scholar] [CrossRef]
- Bracher, A.; Whitney, S.M.; Hartl, F.U.; Hayer-Hartl, M. Biogenesis and Metabolic Maintenance of Rubisco. Annu. Rev. Plant Biol. 2017, 68, 29–60. [Google Scholar] [CrossRef] [PubMed]
- Antal, T.; Mattila, H.; Hakala-Yatkin, M.; Tyystjärvi, T.; Tyystjärvi, E. Acclimation of photosynthesis to nitrogen deficiency in Phaseolus vulgaris. Planta 2010, 232, 887–898. [Google Scholar] [CrossRef]
- Yin, H.L.; Tian, C.Y. Effects of nitrogen regulation on photosystem II chlorophyll fluorescence characteristics of functional leaves in sugar beet (Beta vulgaris) under salt environment. Chin. J. Plant Ecol. 2013, 37, 122. [Google Scholar] [CrossRef]
- Zhang, Y.; Sun, H.; Liu, Y.; Tang, X.; Fang, X. Effects of nitrogen addition and drought on seedling growth, photosynthesis and volatile organic compounds-carbon emission of two subtropical tree seedlings. J. Fujian Agric. For. Univ. (Nat. Sci. Ed.) 2021, 50, 524–532. [Google Scholar]
- Liu, F.; Zhou, Y.; Zhang, S.; Liu, N. Inorganic Nitrogen Enhances the Drought Tolerance of Evergreen Broad-Leaved Tree Species in the Short–Term, but May Aggravate Their Water Shortage in the Mid-Term. Front. Plant Sci. 2022, 13, 875293. [Google Scholar] [CrossRef]
- Guha, A.; Sengupta, D.; Rasineni, G.K.; Reddy, A.R. Non-enzymatic antioxidative defence in drought-stressed mulberry (Morus indica L.) genotypes. Trees 2011, 26, 903–918. [Google Scholar] [CrossRef]
- Ozturk, M.; Turkyilmaz Unal, B.; García-Caparrós, P.; Khursheed, A.; Gul, A.; Hasanuzzaman, M. Osmoregulation and its actions during the drought stress in plants. Physiol. Plant. 2020, 172, 1321–1335. [Google Scholar] [CrossRef]
- Fan, H.F.; Guo, S.R.; Li, J.; Du, C.X.; Huang, B.J. Effects of exogenous nitric oxide on Cucumis sativus seedlings growth and osmoatic adjustment substances contents under NaCl stress. Chin. J. Ecol. 2007, 12, 2045–2050. [Google Scholar]
- Ma, H.; Tu, L.; Gao, S. Impacts of water and fertilizer interaction on nitrogen metabolism and photosynthetic characteristics of Fraxinus mandshurica. Jiangsu Agric. Sci. 2022, 50, 168–173. [Google Scholar]
- Chai, Y.; Guan, S.; Cui, H.; Xu, J.; Zhu, X.; Diao, M.; Kong, Q. Effects of water and nitrogen interaction on photosynthetic fluorescence and physiological characteristics of pomegranate seedlings. J. Fruit Sci. 2022, 39, 2352–2364. [Google Scholar]
- Belal, H.E.E.; Abdelpary, M.A.M.; Desoky, E.-S.M.; Ali, E.F.; Al Kashgry, N.A.T.; Rady, M.M.; Semida, W.M.; Mahmoud, A.E.M.; Sayed, A.A.S. Effect of Eco-Friendly Application of Bee Honey Solution on Yield, Physio–Chemical, Antioxidants, and Enzyme Gene Expressions in Excessive Nitrogen-Stressed Common Bean (Phaseolus vulgaris L.) Plants. Plants 2023, 12, 3435. [Google Scholar] [CrossRef]
- Tao, X.P.; Luo, H.H.; Yang, H.; Ding, Q.S.; Zhang, Y.L.; Zhang, W.F. Effects of water and nitrogen supply on parameters of root and leaf senescence in cotton plants grown under root restriction and with under-mulch drip irrigation. Chin. J. Plant Ecol. 2013, 37, 256–267. [Google Scholar] [CrossRef]
- Zhuang, F.; Fan, Y.; Wei, R.; Long, J.; Wang, X.; Liu, X. Effect of Water and Nitrogen Availability on the Generation and Scavenging of Reactive Oxygen Species in Leaves of Robinia pseudoacacia Seedlings. Acta Bot. Boreali-Occident. Sin. 2013, 33, 1190–1196. [Google Scholar]
- Hu, J.; Cao, Y. Characteristic analysis of spatial evolving process of annual precipitation in Kunming, Yunan. Water Resour. Plan. Des. 2020, 4, 36–39. [Google Scholar]
- Razzaq, M.; Akram, N.A.; Ashraf, M.; Naz, H.; Al-Qurainy, F. Interactive effect of drought and nitrogen on growth, some key physiological attributes and oxidative defense system in carrot (Daucus carota L.) plants. Sci. Hortic. 2017, 225, 373–379. [Google Scholar] [CrossRef]
- Wang, X. Effects of Drought Stress on the Growth of Phoebe zhennan Seedlings and Its Alleviation by Nitrogen Application. Master’s Thesis, Sichuan Agricultural University, Ya’an, China, 2019; pp. 240–251. [Google Scholar]
- Lu, R.K. Methods for Agricultural Chemical Analysis of Soil; China Agricultural Science and Technology Press: Beijing, China, 2000; pp. 4–12. [Google Scholar]
- Yang, S.; Zhao, X.; Seng, D. Leaf C, N and P Chemometries and Their Altitudinal Variations in the Central Tianshan Mountains. Arid. Zone Res. 2017, 34, 1371–1379. [Google Scholar]
- Liu, J.; Cao, R.; Cao, X.; Liu, Q.; Dong, Z.; Wang, Z. Effects of nitrogen reduction on photosynthetic characteristics and photosynthetic nitrogen use efficiency of soybean under no-tillage conditions in black soil region. J. Northeast Agric. Univ. 2024, 55, 1–9. [Google Scholar]
- Hasanuzzaman, M.; Nahar, K.; Rahman, A.; Inafuku, M.; Oku, H.; Fujita, M. Exogenous nitric oxide donor and arginine provide protection against short-term drought stress in wheat seedlings. Physiol. Mol. Biol. Plants 2018, 24, 993–1004. [Google Scholar] [CrossRef] [PubMed]
- Gao, J.F. Experimental Guidance for Plant Physiology; Higher Education Press: Beijing, China, 2006; pp. 96–98. [Google Scholar]
- De Porcellinis, A.; Frigaard, N.-U.; Sakuragi, Y. Determination of the Glycogen Content in Cyanobacteria. J. Vis. Exp. 2017, 125, 56068. [Google Scholar]






| Feild Capacity | Nitrogen From | pH | TC (g/kg DW) | SOM (g/kg DW) | TN (g/kg DW) | TP (g/kg DW) | AP (mg/kg DW) | TK (g/kg DW) |
|---|---|---|---|---|---|---|---|---|
| W | NN | 5.67 ± 0.07bc | 150.23 ± 1.45a | 258.99 ± 2.50a | 5.89 ± 0.02d | 1.61 ± 0.02ab | 130.16 ± 0.47b | 13.74 ± 0.33a |
| W | NO | 5.97 ± 0.02a | 149.89 ± 1.68a | 258.42 ± 2.90a | 6.23 ± 0.04cd | 1.55 ± 0.03b | 138.55 ± 0.13a | 13.91 ± 0.56a |
| W | NH | 5.28 ± 0.01d | 153.42 ± 1.88a | 264.50 ± 3.24a | 6.66 ± 0.31ab | 1.58 ± 0.03ab | 140.59 ± 3.21a | 13.16 ± 0.39a |
| W | MN | 5.75 ± 0.01b | 153.65 ± 1.49a | 264.88 ± 2.58a | 6.39 ± 0.04bc | 1.56 ± 0.04ab | 145.37 ± 0.23a | 13.30 ± 0.06a |
| D | NN | 5.53 ± 0.08c | 138.68 ± 0.61b | 239.10 ± 1.06b | 5.46 ± 0.03e | 1.66 ± 0.01a | 91.75 ± 0.35d | 14.21 ± 0.27a |
| D | NO | 5.78 ± 0.11b | 141.29 ± 2.75b | 243.58 ± 4.74b | 6.80 ± 0.04a | 1.57 ± 0.01ab | 109.88 ± 1.70c | 13.77 ± 0.08a |
| D | NH | 4.99 ± 0.01e | 140.59 ± 2.66b | 242.38 ± 4.59b | 6.66 ± 0.03ab | 1.59 ± 0.06ab | 111.39 ± 3.71c | 13.69 ± 0.08a |
| D | MN | 5.33 ± 0.05d | 139.92 ± 5.78b | 241.23 ± 9.96b | 6.73 ± 0.02ab | 1.56 ± 0.02ab | 122.43 ± 5.45b | 13.25 ± 0.59a |
| Sig | D | ns | ** | ** | ns | ns | ** | ns |
| N | ** | ns | ns | ** | ns | ** | ns | |
| D* N | ns | ns | ns | ** | ns | ns | ns | |
| Feild Capacity | Nitrogen From | NO3−-N (mg/kg DW) | NH4+-N (mg/kg DW) | AK (mg/kg DW) | DON (g/kg DW) | TC/TN | TC/TP | TN/TP |
| W | NN | 323.22 ± 2.12c | 12.72 ± 0.71de | 2079.00 ± 5.40c | 591.56 ± 5.24c | 25.50 ± 0.21a | 93.16 ± 1.45abc | 3.65 ± 0.03b |
| W | NO | 420.94 ± 0.32a | 13.72 ± 0.09d | 2169.42 ± 31.39bc | 598.12 ± 9.30c | 24.06 ± 0.20ab | 96.31 ± 2.62ab | 4.00 ± 0.09ab |
| W | NH | 333.29 ± 32.73c | 25.71 ± 1.39a | 2284.75 ± 43.05a | 640.35 ± 8.23b | 23.16 ± 1.42b | 97.13 ± 2.32ab | 4.22 ± 0.23a |
| W | MN | 373.35 ± 3.34b | 19.13 ± 0.46b | 2190.42 ± 45.28ab | 667.62 ± 6.96a | 24.03 ± 0.28ab | 98.28 ± 1.86a | 4.09 ± 0.12a |
| D | NN | 397.69 ± 0.53ab | 10.31 ± 0.46e | 1786.42 ± 1.48d | 330.72 ± 8.93e | 25.39 ± 0.12a | 83.55 ± 0.31d | 3.29 ± 0.00c |
| D | NO | 423.23 ± 0.14a | 10.95 ± 0.47e | 1847.50 ± 23.29d | 351.76 ± 7.78cd | 20.79 ± 0.50c | 90.09 ± 1.39bcd | 4.33 ± 0.06a |
| D | NH | 402.90 ± 0.96ab | 16.82 ± 1.28bc | 1860.33 ± 2.30d | 351.18 ± 5.24cd | 21.12 ± 0.50c | 88.42 ± 2.96cd | 4.19 ± 0.16a |
| D | MN | 415.81 ± 2.05a | 15.20 ± 0.80cd | 1841.67 ± 10.18d | 367.07 ± 5.55d | 20.79 ± 0.87c | 89.62 ± 3.65bcd | 4.31 ± 0.06a |
| Sig | D | ns | * | ** | ** | ** | ** | ns |
| N | ns | ns | ns | ns | ** | ns | ** | |
| D* N | ns | ns | ns | ns | ns | ns | * |
| Field Capacity | Nitrogen From | Leaf Length-Width Ratio | Single Leaf Area (cm2) | Total Leaf Area (cm2) | Specific Leaf Area (cm2) | Plants Height (cm) | Root Length (cm) |
|---|---|---|---|---|---|---|---|
| W | NN | 1.65 ± 0.08bc | 4.76 ± 0.14bc | 33.45 ± 3.64bc | 89.73 ± 5.08c | 10.37 ± 0.38de | 10.90 ± 1.02b |
| W | NO | 1.31 ± 0.01d | 5.05 ± 0.15abc | 41.98 ± 3.03ab | 89.44 ± 2.78c | 12.87 ± 0.82ab | 11.87 ± 0.98ab |
| W | NH | 1.38 ± 0.02d | 5.16 ± 0.13ab | 38.14 ± 7.94abc | 103.13 ± 2.67ab | 13.33 ± 0.33ab | 13.50 ± 0.87a |
| W | MN | 1.36 ± 0.02d | 5.63 ± 0.14a | 48.61 ± 2.77a | 112.53 ± 2.78a | 14.27 ± 0.24a | 14.37 ± 0.30a |
| D | NN | 1.81 ± 0.06a | 3.55 ± 0.19d | 18.83 ± 0.67d | 63.06 ± 4.67d | 9.27 ± 0.18e | 12.10 ± 0.59ab |
| D | NO | 1.69 ± 0.05abc | 4.32 ± 0.21c | 27.43 ± 2.30cd | 72.06 ± 3.57d | 12.00 ± 0.29bc | 12.17 ± 0.85ab |
| D | NH | 1.77 ± 0.05ab | 5.33 ± 0.47ab | 32.49 ± 5.92bc | 89.25 ± 4.00c | 10.90 ± 0.86cd | 13.90 ± 0.49a |
| D | MN | 1.60 ± 0.02c | 4.81 ± 0.33bc | 39.84 ± 1.27a | 96.13 ± 6.55bc | 12.97 ± 0.52ab | 12.97 ± 0.52ab |
| Sig | D | ** | ** | ** | ** | ** | ns |
| N | ** | ** | ** | ** | ** | ** | |
| D* N | * | ns | ns | ns | ns | ns | |
| Field Capacity | Nitrogen From | Leaf biomass (g) | Stem biomass (g) | Root biomass (g) | Total biomass (g) | Root/Shoot ratio | LRWC (%) |
| W | NN | 0.29 ± 0.01b | 0.27 ± 0.01ab | 0.25 ± 0.01c | 0.81 ± 0.01bc | 0.45 ± 0.02b | 0.89 ± 0.02a |
| W | NO | 0.30 ± 0.01b | 0.27 ± 0.01ab | 0.27 ± 0.01bc | 0.85 ± 0.01b | 0.47 ± 0.02b | 0.91 ± 0.01a |
| W | NH | 0.30 ± 0.01b | 0.27 ± 0.01ab | 0.27 ± 0.01bc | 0.84 ± 0.02b | 0.47 ± 0.02b | 0.92 ± 0.01a |
| W | MN | 0.36 ± 0.01a | 0.28 ± 0.03a | 0.32 ± 0.02a | 0.96 ± 0.04a | 0.49 ± 0.02b | 0.93 ± 0.01a |
| D | NN | 0.21 ± 0.01c | 0.23 ± 0.01b | 0.27 ± 0.00bc | 0.71 ± 0.01d | 0.60 ± 0.02a | 0.64 ± 0.06c |
| D | NO | 0.23 ± 0.01c | 0.24 ± 0.02ab | 0.28 ± 0.00b | 0.76 ± 0.01cd | 0.60 ± 0.01a | 0.69 ± 0.05bc |
| D | NH | 0.23 ± 0.01c | 0.25 ± 0.01ab | 0.29 ± 0.01ab | 0.77 ± 0.00cd | 0.61 ± 0.02a | 0.72 ± 0.03bc |
| D | MN | 0.24 ± 0.01c | 0.26 ± 0.01ab | 0.31 ± 0.00a | 0.81 ± 0.01bc | 0.63 ± 0.02a | 0.77 ± 0.06b |
| Sig | D | ** | * | ns | ** | ** | ** |
| N | ** | ns | ** | ** | ns | ns | |
| D* N | ns | ns | ns | ns | ns | ns |
Disclaimer/Publisher’s Note: The statements, opinions and data contained in all publications are solely those of the individual author(s) and contributor(s) and not of MDPI and/or the editor(s). MDPI and/or the editor(s) disclaim responsibility for any injury to people or property resulting from any ideas, methods, instructions or products referred to in the content. |
© 2025 by the authors. Licensee MDPI, Basel, Switzerland. This article is an open access article distributed under the terms and conditions of the Creative Commons Attribution (CC BY) license (https://creativecommons.org/licenses/by/4.0/).
Share and Cite
Zhou, J.; Luo, M.; Ning, P.; Gong, S.; Cheng, X.; Huang, X. Synergistic Effects of Nitrogen Application Enhance Drought Resistance in Machilus yunnanensis Seedlings. Plants 2025, 14, 3194. https://doi.org/10.3390/plants14203194
Zhou J, Luo M, Ning P, Gong S, Cheng X, Huang X. Synergistic Effects of Nitrogen Application Enhance Drought Resistance in Machilus yunnanensis Seedlings. Plants. 2025; 14(20):3194. https://doi.org/10.3390/plants14203194
Chicago/Turabian StyleZhou, Jiawei, Mei Luo, Peng Ning, Songyin Gong, Xiaomao Cheng, and Xiaoxia Huang. 2025. "Synergistic Effects of Nitrogen Application Enhance Drought Resistance in Machilus yunnanensis Seedlings" Plants 14, no. 20: 3194. https://doi.org/10.3390/plants14203194
APA StyleZhou, J., Luo, M., Ning, P., Gong, S., Cheng, X., & Huang, X. (2025). Synergistic Effects of Nitrogen Application Enhance Drought Resistance in Machilus yunnanensis Seedlings. Plants, 14(20), 3194. https://doi.org/10.3390/plants14203194

