The Effect of Weed Control with Pre-Emergence Herbicides on the Yield Level of Mung Bean Yield
Abstract
1. Introduction
2. Materials and Methods
2.1. Experimental Material
2.1.1. Test Plant Materials
2.1.2. Herbicides Tested
2.2. Test Method
2.2.1. Mung Bean Germination Test
2.2.2. Mung Bean Pot Experiment
2.2.3. Field Test
2.3. Determination Indexes and Methods
2.3.1. Determination of Mung Bean Germination
2.3.2. Determination of Agronomic Traits of Mung Beans
2.3.3. Antioxidant Enzyme Activity of Mung Bean Root
2.3.4. Determination of Soil Enzyme Activity
2.3.5. Photosynthetic Pigment Content, Gas Exchange, and Chlorophyll Fluorescence Parameters of Mung Beans at Seed-Filling Stage
2.3.6. Yield and Yield Components at Harvest Time
2.3.7. Field Weed Control Effect
2.4. Data Analysis
3. Results
3.1. Effect of Pre-Emergence Herbicides on Mung Bean Germination
3.2. Effects of Pre-Emergence Herbicides on Agronomic Traits of Mung Bean Potted Plants
3.3. Effects of Pre-Emergence Herbicides on Agronomic Traits of Mung Beans in the Field
3.4. Effects of Pre-Emergence Herbicides on Antioxidant Enzyme Activities in Mung Bean Roots
3.5. Soil Enzyme Activity
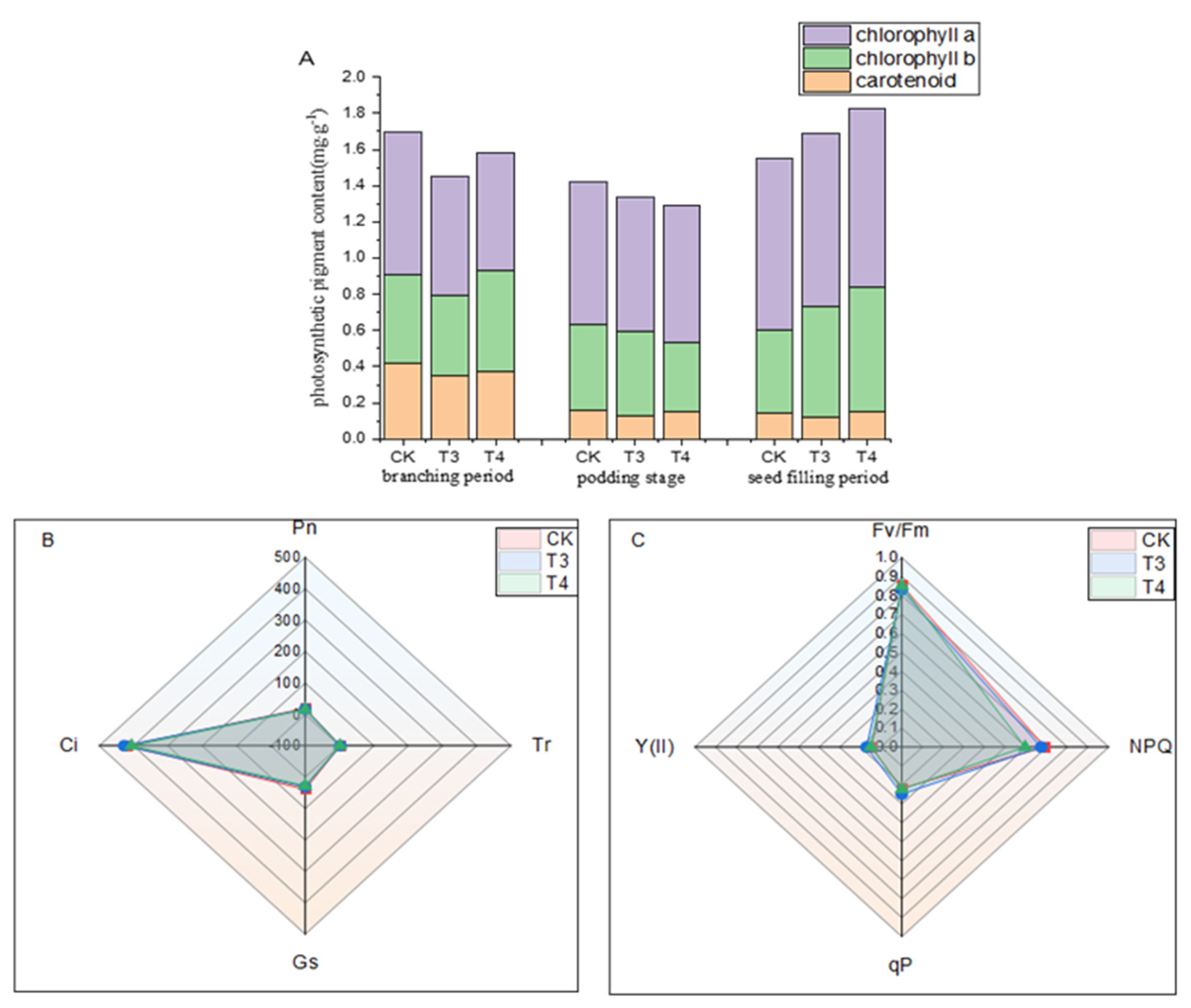
3.6. Effects of Pre-Emergence Herbicides on Photosynthetic Pigment Content, Gas Exchange, and Chlorophyll Fluorescence Parameters of Mung Beans at the Seed-Filling Stage
3.7. Effects of Pre-Emergence Herbicides on Yield and Yield Components of Mung Bean
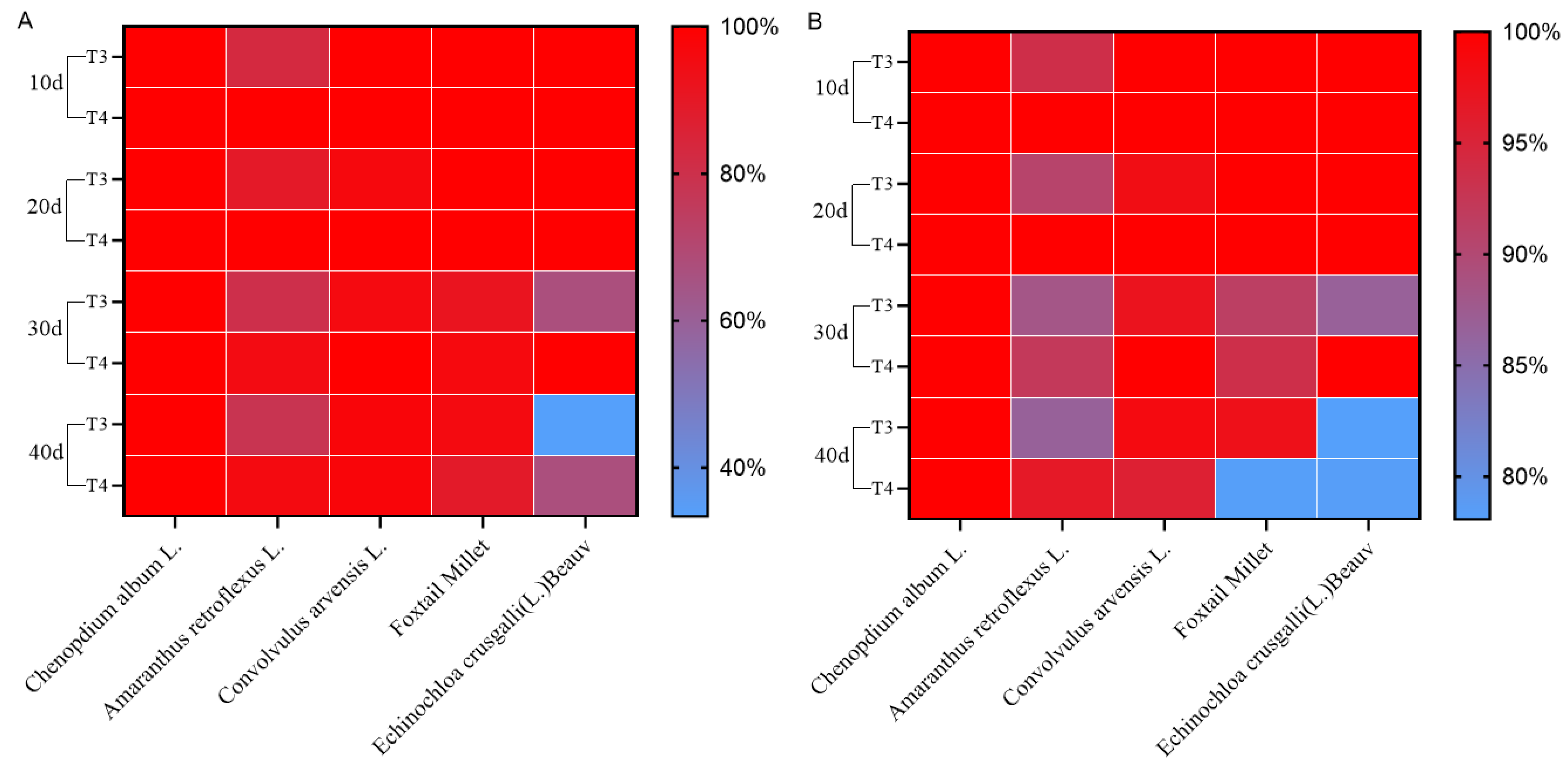
3.8. Weed Control Effect
4. Discussion
5. Conclusions
Author Contributions
Funding
Data Availability Statement
Acknowledgments
Conflicts of Interest
References
- Dahiya, P.K.; Linnemann, A.R.; Van Boekel, M.A.; Khetarpaul, N.; Grewal, R.B.; Nout, M.J. Mung bean: Technological and nutritional potential. Crit. Rev. Food Sci. Nutr. 2015, 55, 670–688. [Google Scholar] [CrossRef]
- Tripathi, P.K.; Singh, M.K.; Jitendra Singh, J.P.; Singh, O.N. Effect of rhizobial strains and sulphur nutrition on mung bean (Vigna radiata (L.) wilczek) cultivars under dryland agro-ecosystem of Indo-Gangetic Plain. Afr. J. Agric. Res. 2012, 7, 34–42. [Google Scholar]
- Saif, H.B.; Karim, M.R.; Mokarroma, N.; Sultana, S.; Mohammad, A. Allelopathic Effects of Selected Weed Species on Seed Germination and Seedling Growth of Mungbean (Vigna radiata L.). Asian J. Res. Crop Sci. 2023, 8, 335–343. [Google Scholar] [CrossRef]
- Udhaya, A.; Rathika, S.; Ramesh, T.; Janaki, D.; Jagadeesan, R. Physiological Parameters and Yield of Green Gram As Influenced By Weed Management Practices. Int. J. Plant Soil Sci. 2023, 35, 100–106. [Google Scholar] [CrossRef]
- Chauhan, B.S.; Florentine, S.K.; Ferguson, J.C.; Chechetto, R.G. Implications of narrow crop row spacing in managing weeds in mungbean (Vigna radiata). Crop Prot. 2017, 95, 116–119. [Google Scholar] [CrossRef]
- Ramana Murthy, K.V. Integrated Weed Management in Summer Greengram [Vigna radiata (L.) Wilczek]. Ph.D. Thesis, Professor Jayashankar Telangana State Agricultural University, Hyderabad, India, 1995. [Google Scholar]
- Xie, J.; Du, M.; Shen, M.; Wu, T.; Lin, L. Physico-chemical properties, antioxidant activities and angiotensin-I converting enzyme inhibitory of protein hydrolysates from Mung bean (Vigna radiate). Food Chem. 2019, 270, 243–250. [Google Scholar] [CrossRef] [PubMed]
- Wang, L.; Wang, S.; Pan, X.; Chen, H.; Cheng, X. Breeding of new mungbean variety Zhonglv 27 with early maturity, high yield and wide adaptability. China Seed Ind. 2022, 95–96. [Google Scholar] [CrossRef]
- Li, X.; Shi, W. Study on the fluctuation of grain production efficiency in China before and after the implementation of rural industry revitalization policy. Modern Agric. Res. 2024, 1–8. [Google Scholar]
- Kanoosh, A.A.; Mohammed, A.Y. The Effects of Weed Control and Plant Density on the Yield and Components of Mung Bean and Accompanying Weeds. IOP Conf. Ser. Earth Environ. Sci. 2024, 1371, 052048. [Google Scholar] [CrossRef]
- Smitchger, A.J.; Burke, C.I.; Yenish, P.J. The Critical Period of Weed Control in Lentil (Lens culinaris) in the Pacific Northwest. Weed Sci. 2012, 60, 81–85. [Google Scholar] [CrossRef]
- Wang, H. Green wheat planting field management technology and its promotion measures. Hebei Agric. Mach. 2024, 15–17. [Google Scholar] [CrossRef]
- Thakur, P.; Dhankar, A.; Sharma, S.; Karki, P.; Rana, M.K.; Shukla, K. Impact of weed management options on weed dynamics and yield of chickpea (Cicer arietinum L.): A review. Int. J. Plant Soil Sci. 2024, 36, 130–142. [Google Scholar] [CrossRef]
- Xue, R.; Zhao, Y.; Zhuang, Y.; Chen, J.; Wang, Y.; Li, T.; Jin, X.; Li, L.; Ge, W. Control effects of several herbicides on weeds in mung bean field and their effects on phenotypic traits of mung bean. Henan Agric. Sci. 2015, 44, 101–105. [Google Scholar]
- Cheng, Y.; Zhao, C.; He, X.; Kong, Q.; Xi, X. Screening of herbicides for soil treatment in mung bean field. Plant Prot. 2015, 41, 212–216. [Google Scholar]
- Huang, C.; Wang, Y.; Wang, Y.; Piao, D. Study on the control effect of several herbicides on weeds in mung bean field and the safety of mung bean. In Plant Protection Science and Technology Innovation and Pest Prevention and Control Specialization, Proceedings of the China Plant Protection Society 2011 Academic Annual Meeting, Suzhou, China, 6 November 2011; China Agricultural Science and Technology Press: Beijing, China, 2011; 6p. [Google Scholar]
- Kong, X.; Zhang, Y.; Jin, Y.; Fu, D.; Mu, J. Effects of different soil treatment herbicides on weed control and yield in mung bean field. Pesticides 2015, 54, 694–696. [Google Scholar]
- Kousta, A.; Katsis, C.; Tsekoura, A.; Chachalis, D. Effectiveness and selectivity of pre- and post-emergence herbicides for weed control in grain legumes. Plants 2024, 13, 211. [Google Scholar] [CrossRef]
- Ribeiro VH, V.; Maia LG, S.; Arneson, N.J.; Oliveira, M.C.; Read, H.W.; Ané, J.-M.; dos Santos, J.B.; Werle, R. Influence of pre-emergence herbicides on soybean development, root nodulation and symbiotic nitrogen fixation. Crop Prot. 2021, 144, 105576. [Google Scholar] [CrossRef]
- Wei, Y.X.; Shi, G.X.; Feng, C.; Wu, Y.; Liu, H. Effects of biochar application on soil comprehensive fertility and soybean growth in black soil area. J. Agric. Mach. 2020, 51, 285–294. [Google Scholar]
- Yuan, X.-Y.; Zhang, L.-G.; Huang, L.; Yang, H.-J.; Zhong, Y.-T.; Ning, N.; Wen, Y.-Y.; Dong, S.-Q.; Song, X.-E.; Wang, H.-F.; et al. Spraying brassinolide improves sigma broad tolerance in foxtail millet (Setaria italica L.) through modulation of antioxidant activity and photosynthetic capacity. Sci. Rep. 2017, 7, 11232. [Google Scholar] [CrossRef] [PubMed]
- Guan, S.Y. Soil Enzyme and Research Method; China Agricultural Press: Beijing, China, 1986; pp. 274–340. [Google Scholar]
- Horvath, D.P.; Clay, S.A.; Swanton, C.J.; Anderson, J.V.; Chao, W.S. Weed-induced crop yield loss: A new paradigm and new challenges. Trends Plant Sci. 2023, 28, 567–582. [Google Scholar] [CrossRef]
- Pi, Y.; Lu, Y.; Lv, Z.; Xu, Y.; Xu, H. The role of farmland weeds in pest control. Zhejiang Agric. J. 2024, 36, 2426–2436. [Google Scholar]
- Ribeiro, V.; Coura Oliveira, M.; Smith, D.H.; Barbosa dos Santos, J.; Werle, R. Control of common weeds in Wisconsin soybean cropping systems with pre-emergence herbicides. Crop Forage Turfgrass Manag. 2022, 8, e20153. [Google Scholar] [CrossRef]
- Lukangila, M.A.B.; Tabu, H.I.; Mugisho, D.B.; Lubobo, A.K.; Mbombo, A.K.M.W. Evaluating the effects of manual hoeing and selective herbicides on maize (Zea mays L.) productivity and profitability. Heliyon 2024, 10, e33294. [Google Scholar] [CrossRef] [PubMed]
- Laxa, M.; Liebthal, M.; Telman, W.; Chibani, K.; Dietz, K.-J. The Role of the Plant Antioxidant System in Drought Tolerance. Antioxidants 2019, 8, 94. [Google Scholar] [CrossRef]
- Gill, S.S.; Tuteja, N. Reactive oxygen species and antioxidant machinery in abiotic stress tolerance in crop plants. Plant Physiol. Biochem. 2010, 48, 909–930. [Google Scholar] [CrossRef]
- Li, X.; Li, G.; Xie, L.; Wang, Y.; Chen, X. Study on the mitigation effect of biochar treatment on the phytotoxicity of arachidonic acid. Guangdong Agric. Sci. 2015, 42, 69–72. [Google Scholar]
- Wang, Q.; Wu, Y.; Ge, J.; Xu, X.; Lei, X.; Wang, J.; Wan, C.; Wang, P.; Gao, X.; Gao, J. Soil enzyme activities, physiological indicators, agronomic traits and yield of common buckwheat under herbicide combined with safeners. Sci. Total Environ. 2023, 903, 166261. [Google Scholar] [CrossRef]
- Meng, Z.; Zhu, Q.; Ni, X.; Wang, Q.; Lv, X.; Yan, X.; Zhu, W. Effects of closed herbicide post-emergence spraying on wheat growth and weeds. Barley Cereal Sci. 2024, 41, 40–46. [Google Scholar]
- da Silva Brochado, M.G.; Mielke, K.C.; de Paula, D.F.; Laube AF, S.; Alcántara-de la Cruz, R.; Gonzatto, M.P.; Mendes, K.F. Impacts of dicamba and 2,4-D drift on ‘Ponkan’ mandarin seedlings, soil microbiota and Amaranthus retroflexus. J. Hazard. Mater. Adv. 2022, 6, 100084. [Google Scholar]
- Filimon, M.N.; Roman, D.L.; Bordean, D.M.; Isvoran, A. Impact of the Herbicide Oxyfluorfen on the Activities of Some Enzymes Found in Soil and on the Populations of Soil Microorganisms. Agronomy 2021, 11, 1702. [Google Scholar] [CrossRef]
- Liu, Y.; Fan, X.; Zhang, T.; He, W.; Song, F. Effects of the long-term application of atrazine on soil enzyme activity and bacterial community structure in farmlands in China. Environ. Pollut. 2020, 262, 114264. [Google Scholar] [CrossRef] [PubMed]
- Zhang, Y.; Zhang, J.; Shi, B.; Li, B.; Du, Z.; Wang, J.; Zhu, L.; Wang, J. Effects of cloransulam-methyl and diclosulam on soil nitrogen and carbon cycle-related microorganisms. J. Hazard. Mater. 2021, 418, 126395. [Google Scholar] [CrossRef] [PubMed]
- Arsenijevic, N.; de Avellar, M.; Butts, L.; Arneson, N.J.; Werle, R. Influence of sulfentrazone and metribuzin applied preemergence on soybean development and yield. Weed Technol. 2020, 35, 210–215. [Google Scholar] [CrossRef]








| Treatment | Common Name | Trade Name | Manufacturer | Molecular Target | Application Rate(g a.i ha−1) |
|---|---|---|---|---|---|
| T1 | 43% alachlor | Lasso | Jiangsu Nantong Jiangshan Pesticide Chemical Co., Ltd. (Jiangsu, China). | Cell division | 1935.00 |
| T2 | 720 g/L metolachlor | Dual | Shandong Sannong Biotechnology Co., Ltd. (Shandong, China). | 1620.00 | |
| T3 | 10% imazethapyr | Pursuit | Jiangsu Ruibang Agrochemical Co., Ltd. (Jiangsu, China). | Acetolactate synthetase | 100.50 |
| T4 | 26% oxadiazon | Ronstar | Anhui Kelihua Chemical Co., Ltd. (Anhui, China). | Protoporphyrinogen oxidase | 507.00 |
| T5 | 330 g/L pendimethalin | Stomp | Shandong Sannong Biotechnology Co., Ltd. (Shandong, China). | Microtubule assembly | 144.00 |
| T6 | 480 g/L trifluralin | Flutrix 48EC | Qiaochang Modern Agriculture Co., Ltd. (Shandong, China). | 720.00 |
| Variety | Treatment | Number of Branching | Number of Pods per Branch | Number of Effective Pods per Branch | 100-Seed Weight (g) | Yield (kg/hm2) |
|---|---|---|---|---|---|---|
| Jin mung bean 9 | T3 | 5.33 ± 0.33 a | 26.64 ± 0.28 a | 26.19 ± 0.24 a | 7.20 ± 0.21 a | 1695.52 ± 42.34 a |
| T4 | 5.67 ± 0.33 a | 25.52 ± 0.48 a | 24.96 ± 0.82 a | 7.00 ± 0.17 a | 1673.17 ± 41.09 a | |
| CK | 2.33 ± 0.33 b | 16.21 ± 0.29 b | 15.76 ± 0.32 b | 7.06 ± 0.19 a | 555.75 ± 15.54 b | |
| CK1 | 5.83 ± 0.44 a | 24.43 ± 1.45 a | 23.68 ± 1.21 a | 7.86 ± 0.60 a | 1733.43 ± 40.06 a |
Disclaimer/Publisher’s Note: The statements, opinions and data contained in all publications are solely those of the individual author(s) and contributor(s) and not of MDPI and/or the editor(s). MDPI and/or the editor(s) disclaim responsibility for any injury to people or property resulting from any ideas, methods, instructions or products referred to in the content. |
© 2025 by the authors. Licensee MDPI, Basel, Switzerland. This article is an open access article distributed under the terms and conditions of the Creative Commons Attribution (CC BY) license (https://creativecommons.org/licenses/by/4.0/).
Share and Cite
Jing, C.; Wang, J.; Wu, Y.; Zhou, Y.; Zhu, H.; Zhang, Y.; Dong, S.; Li, X.; Zhao, J.; Cao, J.; et al. The Effect of Weed Control with Pre-Emergence Herbicides on the Yield Level of Mung Bean Yield. Plants 2025, 14, 275. https://doi.org/10.3390/plants14020275
Jing C, Wang J, Wu Y, Zhou Y, Zhu H, Zhang Y, Dong S, Li X, Zhao J, Cao J, et al. The Effect of Weed Control with Pre-Emergence Herbicides on the Yield Level of Mung Bean Yield. Plants. 2025; 14(2):275. https://doi.org/10.3390/plants14020275
Chicago/Turabian StyleJing, Cailing, Junying Wang, Yonghong Wu, Yufan Zhou, Huijun Zhu, Yaowen Zhang, Shuqi Dong, Xiaorui Li, Juan Zhao, Junli Cao, and et al. 2025. "The Effect of Weed Control with Pre-Emergence Herbicides on the Yield Level of Mung Bean Yield" Plants 14, no. 2: 275. https://doi.org/10.3390/plants14020275
APA StyleJing, C., Wang, J., Wu, Y., Zhou, Y., Zhu, H., Zhang, Y., Dong, S., Li, X., Zhao, J., Cao, J., Yuan, X., & Song, X. (2025). The Effect of Weed Control with Pre-Emergence Herbicides on the Yield Level of Mung Bean Yield. Plants, 14(2), 275. https://doi.org/10.3390/plants14020275

