Pearl Millet Cover Crop Extract Inhibits the Development of the Weed Ipomoea grandifolia by Inducing Oxidative Stress in Primary Roots and Affecting Photosynthesis Efficiency
Abstract
1. Introduction
2. Materials and Methods
2.1. Plant Materials
2.2. Extraction and Isolation of Constituents of Pearl Millet
2.3. Germination and Initial Growth of Weeds
2.4. Vegetative Plant Growth
2.5. Respiratory Activity Measurement of Primary Roots
2.6. Determination of Malondialdehyde Content, Free Proline Content, and Electrolyte Leakage in Primary Roots of Ipomoea grandifolia Seedlings
2.7. Determination of Antioxidant Enzyme Activity
2.8. Gas Exchange and Relative Chlorophyll Content
2.9. Analysis of EAF by HPLC-DAD (High-Performance Liquid Chromatography-Diode Array Detector) and UHPLC-HRMS/MS (Ultra-High-Performance Liquid Chromatography (UHPLC)-High-Resolution Mass Spectrometry (HRMS)
2.10. Statistical Analysis
2.11. Chemicals
3. Results
3.1. Effects of the EAF and ButF of Pearl Millet on Germination and Initial Growth of Euphorbia heterophylla, Bidens pilosa, and Ipomoea grandifolia


3.2. Effects of the EAF of Pearl Millet on Respiratory Activity of Root Apexes, Malondialdehyde Content, Free Proline Content, and Electrolyte Leakage of Ipomoea grandifolia

3.3. Effects of the EAF of Pearl Millet on the Activities of Antioxidant Enzymes of Ipomoea grandifolia Roots

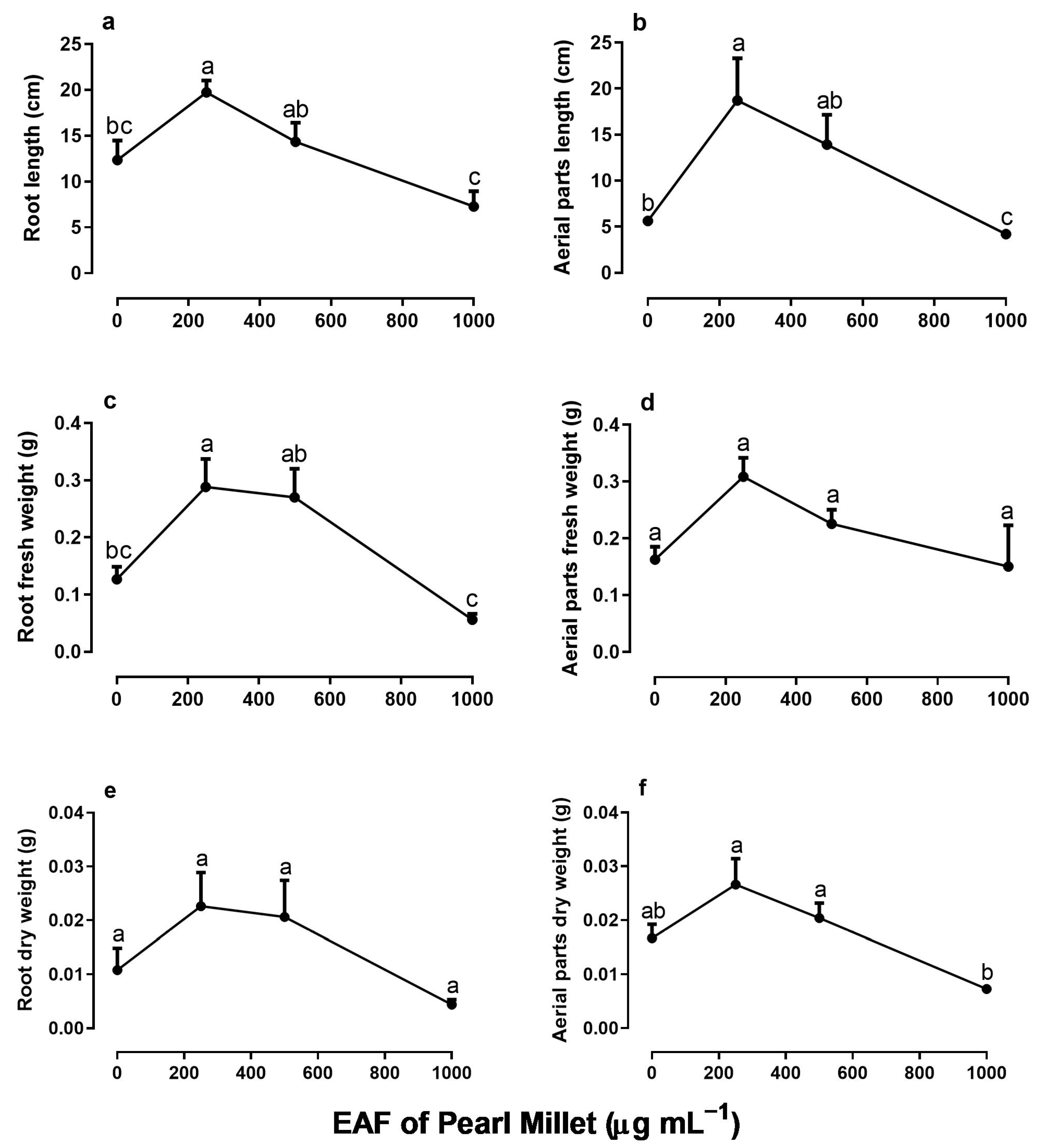
3.4. Effects of the EAF of Pearl Millet on Biometric Parameters of Ipomoea grandifolia Grown for 30 Days


3.5. Effects of the EAF of Pearl Millet on Gas Exchange and Chlorophyll Content in Leaves of Ipomoea grandifolia Grown for 30 Days


3.6. Effects of the EAF of Pearl Millet on the Activities of Antioxidant Enzymes in Leaves of Ipomoea grandifolia Grown for 30 Days

3.7. Identification of pallidol in the Ethyl Acetate Fraction of P. glaucum
4. Discussion
5. Conclusions
Supplementary Materials
Author Contributions
Funding
Data Availability Statement
Conflicts of Interest
Abbreviations
| A | Photosynthetic rate |
| ADP | Adenosine diphosphate |
| AIA | Auxin indoleacetic acid |
| ANOVA | Analysis of variance |
| AOX | Alternative oxidase |
| APX | Ascorbate peroxidase |
| AS | Speed of accumulated germination |
| ATP | Adenosine triphosphate |
| ButF | Butanolic fraction |
| CAT | Catalase |
| Ci | Intercellular CO2 concentration |
| COX | Cytochrome oxidase |
| E | Transpiration |
| EAF | Ethyl acetate fraction |
| EDTA | Ethylene diamine tetraacetic acid |
| GR | Glutathione reductase |
| gs | Stomatal conductance |
| GSSG | Oxidized glutathione |
| HUEM | Herbarium of the State University of Maringa |
| HSD | Honestly significant difference |
| IRGA | Infrared gas analyzer |
| KCN | Potassium cyanide |
| MDA | Malondialdehyde |
| NBT | Nitro blue tetrazolium |
| NADPH | Nicotinamide adenine dinucleotide phosphate |
| POD | Peroxidase |
| PPFD | Photosynthetic photon flux |
| PVP | Polyvinylpyrrolidone |
| ROS | Reactive oxygen species |
| S | Speed of germination |
| S.E. | Standard error |
| SOD | Superoxide dismutase |
| TBA | Thiobarbituric acid |
| TBARS | Thiobarbiturate-reactive substance |
| TCA | Trichloroacetic acid |
| Mean germination time | |
| WUE | Water use efficiency |
References
- Büchi, L.; Wendling, M.; Amossé, C.; Jeangros, B.; Charles, R. Cover crops to secure weed control strategies in a maize crop with reduced tillage. Field Crop Res. 2020, 247, 107583. [Google Scholar] [CrossRef]
- Bender, S.F.; van der Heijden, M.G. A Soil biota enhance agricultural sustainability by improving crop yield, nutrient uptake and reducing nitrogen leaching losses. J. Appl. Ecol. 2015, 52, 228–239. [Google Scholar] [CrossRef]
- Silva, E.M.; Moore, V.M. Cover Crops as an Agroecological Practice on Organic Vegetable Farms in Wisconsin, USA. Sustainability 2017, 9, 55. [Google Scholar] [CrossRef]
- Farooq, M.; Jabran, K.; Cheema, Z.A.; Wahid, A.; Siddique, K.H. The role of allelopathy in agricultural pest management. Pest. Manag. Sci. 2011, 67, 493–506. [Google Scholar] [CrossRef]
- Dayan, F.E.; Owens, D.K.; Duke, S.O. Rationale for a natural products approach to herbicide discovery. Pest. Manag. Sci. 2012, 68, 519–528. [Google Scholar] [CrossRef]
- Khan, M.B.; Ahmad, M.; Hussain, M.; Jabran, K.; Farooq, S.; Waqas-Ul-Haq, M. Allelopathic plant water extracts tank mixed with reduced doses of atrazine efficiently control Trianthema portulacastrum L. in Zea mays L. J. Anim. Plant Sci. 2012, 22, 339–346. [Google Scholar]
- Jamil, M.; Cheema, Z.A.; Mushtaq, M.N.; Farooq, M.; Cheema, M.A. Alternative control of wild oat and canary grass in wheat fields by allelopathic plant water extracts. Agron. Sustain. Dev. 2009, 29, 475–482. [Google Scholar] [CrossRef]
- Favetti, B.M.; Braga-santos, T.L.; Massarolli, A.; Specht, A.; Butnariu, A.R. Pearl Millet: A Green Bridge for Lepidopteran Pests. J. Agric. Sci. 2017, 9, 92–97. [Google Scholar] [CrossRef]
- Dias-Martins, A.M.; Pessanha, K.L.; Rodrigues, J.A.S.; Piler, C.W. Potential use of pearl millet (Pennisetum glaucum (L.) R.Br.) in Brazil: Food security, processing, health benefits and nutritional products. Food Res. Int. 2018, 109, 175–176. [Google Scholar] [CrossRef]
- de Souza, P.P.; Machado, D.L.; de Freitas, M.S.; Bezerra, A.C.T.P.; Guimarães, T.M.; da Silva, E.M.; Nascimento, N.M.D.; Borges, R.d.S.; Costa, V.E.; da Costa, C.H.M.; et al. The Crop Succession Systems Under No-Tillage Alters the Surface Layer Soil Carbon Stock and Stability. Agriculture 2024, 14, 2085. [Google Scholar] [CrossRef]
- Branco, R.B.F.; de Carvalho, F.; Oliveira, J.P.; da Costa Alves, P.L. Strategies to terminate summer cover crops for weed management in no-tillage vegetable production in southeast Brazil. Weed Sci. 2022, 70, 112–119. [Google Scholar] [CrossRef]
- Trezzi, M.M.; Vidal, R.A. Potencial de utilização de cobertura vegetal de sorgo e milheto na supressão de plantas daninhas em condição de campo: II-Efeitos da cobertura morta. Planta Daninha 2004, 22, 1–10. [Google Scholar] [CrossRef]
- Rueda-Ayala, V.; Jaeck, O.; Gerhards, R. Investigation of biochemical and competitive effects of cover crops on crops and weeds. Crop Prot. 2015, 71, 79–87. [Google Scholar] [CrossRef]
- Khan, A.; Malik, M.W.I.; Hussain, I.; Malik, M.H.; Nadim, M.A.; Baloch, M.S. Allelopathic potential of aqueous leaf extracts of pearl millet (Pennisetum typhoids S. & H.) on germination and growth of some selected weeds. Pakistan J. Weed Sci. Res. 2019, 25, 223–233. [Google Scholar]
- Malik, M.W.I.; Hussain, I.; Baloch, M.S. Pennisetum glaucum aqueous extract suppresses growth of some weed species. Pak. J. Weed Sci. Res. 2019, 25, 337–347. [Google Scholar]
- Ahmed, A.I.A.; Hou, F.J. Allelopathic effects of proso millet (Panicum miliaceum L.) extracts on seed germination and seedling growth of alfalfa and vetch. Allelopath. J. 2021, 53, 219–230. [Google Scholar] [CrossRef]
- Mennan, H.; Jabran, K.; Zandstra, B.H.; Pala, F. Non-Chemical Weed Management in Vegetables by Using Cover Crops: A Review. Agronomy 2020, 10, 257. [Google Scholar] [CrossRef]
- Pittman, K.B.; Barney, J.N. Cover crop residue components and their effect on summer annual weed suppression in corn and soybean. Weed Sci. 2020, 68, 301–310. [Google Scholar] [CrossRef]
- Oliveira, R.S., Jr.; Rios, F.A.; Constantin, J.; Ishii-Iwamoto, E.; Gemelli, A.; Martini, P. Grass straw mulching to suppress emergence and early growth of weeds. Planta Daninha 2014, 32, 11–17. [Google Scholar] [CrossRef]
- Daniel, M.; Denne, D.; Cahuhan, D. Polyphenols, phospholipids and fixed oil composition of pearl millet (Pennisetum glaucum) (L.) R. Br. Int. J. Pharm. Life Sci. 2012, 3, 2098–2102. [Google Scholar]
- Purewal, S.S. Phytochemical analysis of the ethanolic extracts of different Pearl Millet (Pennisetum glaucum) varieties. J. Nat. Prod. Plant Resour. 2014, 4, 19–23. [Google Scholar]
- Slama, A.; Cherif, A.; Sakouhi, F.; Boukhchina, S.; Radhouane, L. Fatty acids, phytochemical composition and antioxidant potential of pearl millet oil. J. Consum. Prot. Food Saf. 2020, 15, 145–151. [Google Scholar] [CrossRef]
- Ishii-Iwamoto Sert, M.A.; Bonato, C.M.; Kelmer-Bracht, A.M. Mitochondria as a site of allelochemical action. In Allelopathy: A Physiological Process with Ecological Implications, 1st ed.; Reigosa, M.J., Pedrol, N., González, L., Eds.; Springer Science: Dordrecht, The Netherlands, 2006; pp. 267–284. [Google Scholar]
- Ishii-Iwamoto, E.L.; Pergo Coelho, E.M.; Reis, B.; Moscheta, I.S.; Bonato, C.M. Effects of Monoterpenes on Physiological Processes During Seed Germination and Seedling Growth. Curr. Bioact. Compd. 2012, 8, 50–64. [Google Scholar] [CrossRef]
- Dumanović, J.; Nepovimova, E.; Natić, M.; Kuča, K.; Jaćević, V. The Significance of Reactive Oxygen Species and Antioxidant Defense System in Plants: A Concise Overview. Front. Plant Sci. 2021, 11, 552969. [Google Scholar] [CrossRef]
- Chauhan, B.S.; Abugho, S.B. Threelobe Morningglory (Ipomoea triloba) Germination and Response to Herbicides. Weed Sci. 2012, 60, 199–204. [Google Scholar] [CrossRef]
- Chiapusio, G.; Sanchez, A.M.; Reigosa, M.J.; González, L.; Pellissier, F. Do germination indices adequately reflect allelochemical effects on the germination process? J. Chem. Ecol. 1997, 23, 2445–2453. [Google Scholar] [CrossRef]
- Bracht, A.K.; Ishii, E.; Andrade, P.; Bracht, A. Construction of a liver perfusion apparatus for studies on metabolic regulation and mechanisms of drug action. Arq. Biol. Tecnol. 1984, 27, 419–438. [Google Scholar]
- Bendall, D.S.; Bonner, W.D., Jr. Cyanide-insensitive Respiration in Plant Mitochondrial. Plant Physiol. 1971, 47, 236–245. [Google Scholar] [CrossRef]
- Heath, R.L.; Packer, L. Photoperoxidation in isolated chloroplasts: I. Kinetics and stoichiometry of fatty acid peroxidation. Arch. Biochem. Biophys. 1968, 125, 189–198. [Google Scholar] [CrossRef]
- Bates, L.S.; Waldren, R.P.; Teare, I.D. Rapid determination of free proline for water-stress studies. Plant Soil. 1973, 39, 205–207. [Google Scholar] [CrossRef]
- Giannopolitis, C.N.; Ries, S.K. Superoxide Dismutases: II. Purification and Quantitative Relationship with Water-soluble Protein in Seedlings. Plant Physiol. 1977, 59, 315–318. [Google Scholar] [CrossRef] [PubMed]
- Aebi, H. Catalase In Vitro. Methods Enzymol. 1984, 105, 121–126. [Google Scholar] [CrossRef] [PubMed]
- Sharma, P.; Bhardwaj, R.; Yadav, A.; Sharma, R.A. Antioxidant properties of methanolic extracts of Boerhavia diffusa. Res. J. Phytochem. 2014, 8, 119–126. [Google Scholar] [CrossRef][Green Version]
- Nakano, Y.; Asada, K. Hydrogen Peroxide is Scavenged by Ascorbate-specific Peroxidase in Spinach Chloroplasts. Plant Cell Physiol. 1981, 22, 867–880. [Google Scholar] [CrossRef]
- Carlberg, I.; Mannervik, B. Glutathione Reductase. Methods Enzymol. 1976, 113, 484–490. [Google Scholar] [CrossRef]
- Bradford, M. A rapid and sensitive method for quantitation of microgram quantities of protein utilizing the principle of protein-dye-binding. Anal. Biochem. 1976, 72, 248–254. [Google Scholar] [CrossRef]
- Zobiole, L.H.S.; De Oliveira, S.R., Jr.; Kremer, R.J.; Constantin, J.; Bonato, C.M.; Muniz, A.S. Water use efficiency and photosynthesis of glyphosate-resistant soybean as affected by glyphosate. Pestic. Biochem. Physiol. 2010, 97, 182–193. [Google Scholar] [CrossRef]
- Tuba, Z.; Szente, K.; Nagy, Z.; Csintalan, Z.; Koch, J. Responses of CO2 Assimilation, Transpiration and Water Use Efficiency to Long-Term Elevated CO2 in Perennial C3 Xeric Loess Steppe Species. J. Plant Physiol. 1996, 148, 356–361. [Google Scholar] [CrossRef]
- Raymond Hunt, E.; Daughtry, C.S.T. Chlorophyll meter calibrations for chlorophyll content using measured and simulated leaf transmittances. Agron. J. 2014, 106, 931–939. [Google Scholar] [CrossRef]
- Silva, A.A.; Haraguchi, S.K.; Cellet, T.S.P.; Schuquel, I.T.A.; Sarragiotto, M.H.; Vidotti, G.J.; de Melo, J.O.; Bersani-Amado, C.A.; Zanoli, K.; Nakamura, C.V. Resveratrol-derived stilbenoids and biological activity evaluation of seed extracts of Cenchrus echinatus L. Nat. Prod. Res. 2012, 26, 37–41. [Google Scholar] [CrossRef]
- Zaitseva, M.G.; Kasumova, I.V.; Kasumov, E.A.; Borisova, M.A.; Il’chishina, N.V. Respiration of Mitochondria in Developing Sunflower Seeds. Plant Physiol. 2002, 29, 555–558. [Google Scholar]
- Rolletschek, H.; Weber, H.; Borisjuk, L. Energy Status and Its Control on Embryogenesis of Legumes. Embryo Photosynthesis Contributes to Oxygen Supply and Is Coupled to Biosynthetic Fluxes. Plant Physiol. 2003, 132, 1196–1206. [Google Scholar] [CrossRef] [PubMed]
- Kern, K.A.; Pergo, E.M.; Kagami, F.L.; Arraes, L.S.; Sert, M.A.; Ishii-Iwamoto, E.L. The phytotoxic effect of exogenous ethanol on Euphorbia heterophylla L. Plant Physiol. Biochem. 2009, 47, 1095–1101. [Google Scholar] [CrossRef] [PubMed]
- Hsieh, W.Y.; Liao, J.C.; Hsieh, M.H. Dysfunctional mitochondria regulate the size of root apical meristem and leaf development in Arabidopsis. Plant Signal Behav. 2015, 10, e1071002. [Google Scholar] [CrossRef] [PubMed]
- Babcock, G.T. How oxygen is activated and reduced in respiration. Proc. Natl. Acad. Sci. USA 1999, 96, 12971–12973. [Google Scholar] [CrossRef]
- Moore, A.L.; Siedow, J.N. The regulation and nature of the cyanide-resistant alternative oxidase of plant mitochondria. Biochim. Biophys. Acta 1991, 1059, 121–140. [Google Scholar] [CrossRef]
- Blokhina, O.; Virolainen, E.; Fagerstedt, K.V. Antioxidants, oxidative damage and oxygen deprivation stress: A review. Ann. Bot. 2003, 91, 179–194. [Google Scholar] [CrossRef]
- Khatisashvili, G.; Gordeziani, M.; Kvesitadze, G.; Korte, F. Plant monooxygenases: Participation in xenobiotic oxidation. Ecotoxicol. Environ. Saf. 1997, 36, 118–122. [Google Scholar] [CrossRef]
- Gidrol, X.; Lin, W.S.; Dégousée, N.; Yip, S.F.; Kush, A. Accumulation of Reactive Oxygen Species and Oxidation of Cytokinin in Germinating Soybean Seeds. Eur. J. Biochem. 1994, 224, 21–28. [Google Scholar] [CrossRef]
- Kappus, H. Lipid peroxidation: Mechanisms, analysis, enzymology and biological relevance. In Oxidative Stress; Sies, H., Ed.; Academic Press: New York, NY, USA, 1991; pp. 273–310. [Google Scholar]
- Qiu, Q.S.; Liang, H.G. Lipid Peroxidation Caused by the Redox System of Plasma Membranes from Wheat Roots. J. Plant Physiol. 1995, 145, 261–265. [Google Scholar] [CrossRef]
- De Tullio, M.C.; Arrigoni, O. Invited Review and Research Opinion The ascorbic acid system in seeds: To protect and to serve. Seed Sci. Res. 2003, 13, 249–260. [Google Scholar] [CrossRef]
- Navrot, N.; Rouhier, N.; Gelhaye, E.; Jacquot, J.-P. Reactive oxygen species generation and antioxidant systems in plant mitochondria. Physiol. Plant 2007, 129, 185–195. [Google Scholar] [CrossRef]
- Pekker, L.; Tel-Or, E.; Mittler, R. Reactive oxygen intermediates and glutathione regulate the expression of cytosolic ascorbate peroxidase during iron-mediated oxidative stress in bean. Plant Mol. Biol. 2002, 49, 429–438. [Google Scholar] [CrossRef] [PubMed]
- Zeng, R.S.; Luo, S.M.; Shi, Y.H.; Shi, M.B.; Tu, C.Y. Physiological and biochemical mechanism of allelopathy of secalonic acid F on higher plants. Agron. J. 2001, 93, 72–79. [Google Scholar] [CrossRef]
- Weir, T.L.; Park, S.W.; Vivanco, J.M. Biochemical and physiological mechanisms mediated by allelochemicals. Curr. Opin. Plant Biol. 2004, 7, 472–479. [Google Scholar] [CrossRef]
- Matysik, J.; Alia Bhalu, B.; Mohanty, P. Molecular mechanisms of quenching of reactive oxygen species by proline under stress in plants. Curr. Sci. 2002, 82, 525–532. [Google Scholar]
- Paleg, L.; Douglas, T.; van Daal, A.; Keech, D. Proline, Betaine and Other Organic Solutes protect Enzymes against Heat Inactivation. Funct. Plant Biol. 1981, 8, 107. [Google Scholar] [CrossRef]
- Smirnoff, N.; Cumbes, Q.J. Hydroxyl radical scavenging activity of compatible solutes. Phytochem. 1989, 28, 1057–1060. [Google Scholar] [CrossRef]
- Alia, P.M.; Matysik, J. Effect of proline on the production of singlet oxygen. Amino Acids 2001, 21, 195–200. [Google Scholar] [CrossRef]
- Hoekstra, F.A.; Golovina, E.A.; Buitink, J. Mechanism of plant desiccation tolerance. Trends Plant Sci. 2001, 6, 431–438. [Google Scholar] [CrossRef]
- Szabados, L.; Savouré, A. Proline: A multifunctional amino acid. Trends Plant Sci. 2010, 15, 89–97. [Google Scholar] [CrossRef]
- Khan, M.A.; Nabi, S.G.; Prakash, S.; Zaman, A. Pallidol, a resveratrol dimer from Cissus pallida. Phytochemistry 1986, 25, 1945–1948. [Google Scholar] [CrossRef]
- Delaunay, J.C.; Castagnino, C.; Chèze, C.; Vercauteren, J. Preparative isolation of polyphenolic compounds from Vitis vinifera by centrifugal partition chromatography. J. Chromatogr. A 2002, 964, 123–128. [Google Scholar] [CrossRef]
- Bala, A.; Kollmann, A.; Ducrot, P.-H.; Majira, A.; Kerhoas, L.; Leroux, P.; Delorme, R.; Einhorn, J. Cis ε-viniferin: A New Antifungal Resveratrol Dehydrodimer from Cyphostemma crotalarioides Roots. J. Phytopathol. 2000, 148, 29–32. [Google Scholar] [CrossRef]
- Tanaka, T.; Ohyama, M.; Morimoto, K.; Asai, F.; Iinuma, M. A resveratrol dimer from Parthenocissus tricuspidata. Phytochemistry 1998, 48, 1241–1243. [Google Scholar] [CrossRef]
- Kim, H.J.; Saleem, M.; Seo, S.H. Two New Antioxidant Stilbene Dimers, Parthenostilbenins A and B from Parthenocissus tricuspidata. Planta Med. 2005, 71, 973–976. [Google Scholar] [CrossRef]
- Roy, M.; Dutta, T.K. Evaluation of Phytochemicals and Bioactive Properties in Mangrove Associate Suaeda monoica Forssk. ex J.F.Gmel. of Indian Sundarbans. Front. Pharmacol. 2021, 12, 584019. [Google Scholar] [CrossRef]
- Glayn’ko, A.K.; Ischenko, A.A. Structural and Functional Characteristics of Plant NADPH Oxidase: A Review. Appl. Biochem. Microbiol. 2010, 46, 463–471. [Google Scholar] [CrossRef]
- Mattio, L.M.; Pinna, C.; Catinella, G.; Musso, L.; Pedersen, K.J.; Krogfelt, K.A.; Dallavalle, S.; Pinto, A. Synthesis and antimicrobial activity of δ-viniferin analogues and isosteres. Molecules 2021, 26, 7594. [Google Scholar] [CrossRef]
- Filho, B.M.P.; Cobucci, T.; Fageria, N.K.; Mendes, P.N. Época de aplicação de nitrogênio no feijoeiro irrigado monitorado com auxílio de sensor portátil. Ciênc. Agr. 2009, 33, 425–431. [Google Scholar] [CrossRef]
- He, S.; Jiang, L.; Wu, B.; Pan, Y.; Sun, C. Pallidol, a resveratrol dimer from red wine, is a selective singlet oxygen quencher. Biochem. Biophys. Res. Commun. 2009, 379, 283–287. [Google Scholar] [CrossRef] [PubMed]
- Krieger-Liszkay, A.; Fufezan, C.; Trebst, A. Singlet oxygen production in photosystem II and related protection mechanism. Photosynth. Res. 2008, 98, 551–564. [Google Scholar] [CrossRef] [PubMed]
- Lawlor, D.W. Limitation to photosynthesis in water-stressed leaves: Stomata vs. Metabolism and the role of ATP. Ann. Bot. 2002, 89, 871–885. [Google Scholar] [CrossRef] [PubMed]
- Singh, N.; Singh, J.; Sodhi, N.S. Morphological, thermal, rheological and noodle-making properties of potato and corn. J. Sci. Food Agric. 2002, 82, 1376–1383. [Google Scholar] [CrossRef]
- Kaur, S.; Singh, H.P.; Mittal, S.; Batish, D.R.; Kohli, R.K. Phytotoxic effects of volatile oil from Artemisia scoparia against weeds and its possible use as a bioherbicide. Ind. Crop Prod. 2010, 32, 54–61. [Google Scholar] [CrossRef]
- Kohli, R.K.; Batish, D.R.; Singh, H.P.; Dogra, K.S. Status, invasiveness and environmental threats of three tropical American invasive weeds (Parthenium hysterophorus L., Ageratum conyzoides L., Lantana camara L.) in India. Biol. Invasions 2006, 8, 1501–1510. [Google Scholar] [CrossRef]
- Chen, J.; He, S.; Mao, H.; Sun, C.; Pan, Y. Characterization of Polyphenol Compounds from the Roots and Stems of Parthenocissus Laetevirens by High-Performance Liquid Chromatography/Tandem Mass Spectrometry. Rapid Commun. Mass Spectrom. 2009, 23, 737–744. [Google Scholar] [CrossRef]


Disclaimer/Publisher’s Note: The statements, opinions and data contained in all publications are solely those of the individual author(s) and contributor(s) and not of MDPI and/or the editor(s). MDPI and/or the editor(s) disclaim responsibility for any injury to people or property resulting from any ideas, methods, instructions or products referred to in the content. |
© 2025 by the authors. Licensee MDPI, Basel, Switzerland. This article is an open access article distributed under the terms and conditions of the Creative Commons Attribution (CC BY) license (https://creativecommons.org/licenses/by/4.0/).
Share and Cite
Mantovanelli, G.C.; Silva, A.A.; Ricardo, L.L.; Kagami, F.L.; de Almeida, J.D.; Barbosa, M.C.; Mito, M.S.; Contesoto, I.d.C.; da Costa Menezes, P.V.M.; Stulp, G.F.; et al. Pearl Millet Cover Crop Extract Inhibits the Development of the Weed Ipomoea grandifolia by Inducing Oxidative Stress in Primary Roots and Affecting Photosynthesis Efficiency. Plants 2025, 14, 222. https://doi.org/10.3390/plants14020222
Mantovanelli GC, Silva AA, Ricardo LL, Kagami FL, de Almeida JD, Barbosa MC, Mito MS, Contesoto IdC, da Costa Menezes PVM, Stulp GF, et al. Pearl Millet Cover Crop Extract Inhibits the Development of the Weed Ipomoea grandifolia by Inducing Oxidative Stress in Primary Roots and Affecting Photosynthesis Efficiency. Plants. 2025; 14(2):222. https://doi.org/10.3390/plants14020222
Chicago/Turabian StyleMantovanelli, Gislaine Cristiane, Adriano Antônio Silva, Letycia Lopes Ricardo, Fernanda Lima Kagami, Jéssica Dario de Almeida, Mauro Cezar Barbosa, Márcio Shigueaki Mito, Isabela de Carvalho Contesoto, Paulo Vinicius Moreira da Costa Menezes, Gabriel Felipe Stulp, and et al. 2025. "Pearl Millet Cover Crop Extract Inhibits the Development of the Weed Ipomoea grandifolia by Inducing Oxidative Stress in Primary Roots and Affecting Photosynthesis Efficiency" Plants 14, no. 2: 222. https://doi.org/10.3390/plants14020222
APA StyleMantovanelli, G. C., Silva, A. A., Ricardo, L. L., Kagami, F. L., de Almeida, J. D., Barbosa, M. C., Mito, M. S., Contesoto, I. d. C., da Costa Menezes, P. V. M., Stulp, G. F., Moreno, B. P., Pereira Valeze, F. A., de Oliveira Junior, R. S., Baldoqui, D. C., & Ishii Iwamoto, E. L. (2025). Pearl Millet Cover Crop Extract Inhibits the Development of the Weed Ipomoea grandifolia by Inducing Oxidative Stress in Primary Roots and Affecting Photosynthesis Efficiency. Plants, 14(2), 222. https://doi.org/10.3390/plants14020222

