Overexpression of the OsHY5L2 Alters the Fine Structure and Physicochemical Properties of Endosperm Starch in Rice (Oryza sativa L.)
Abstract
1. Introduction
2. Results
2.1. Appearance Quality, Processing Quality, and Starch Content
2.2. Activity of Starch Biosynthesis-Related Enzymes
2.3. Activity of Starch Hydrolysis-Related Enzymes and Levels of Endogenous Hormones
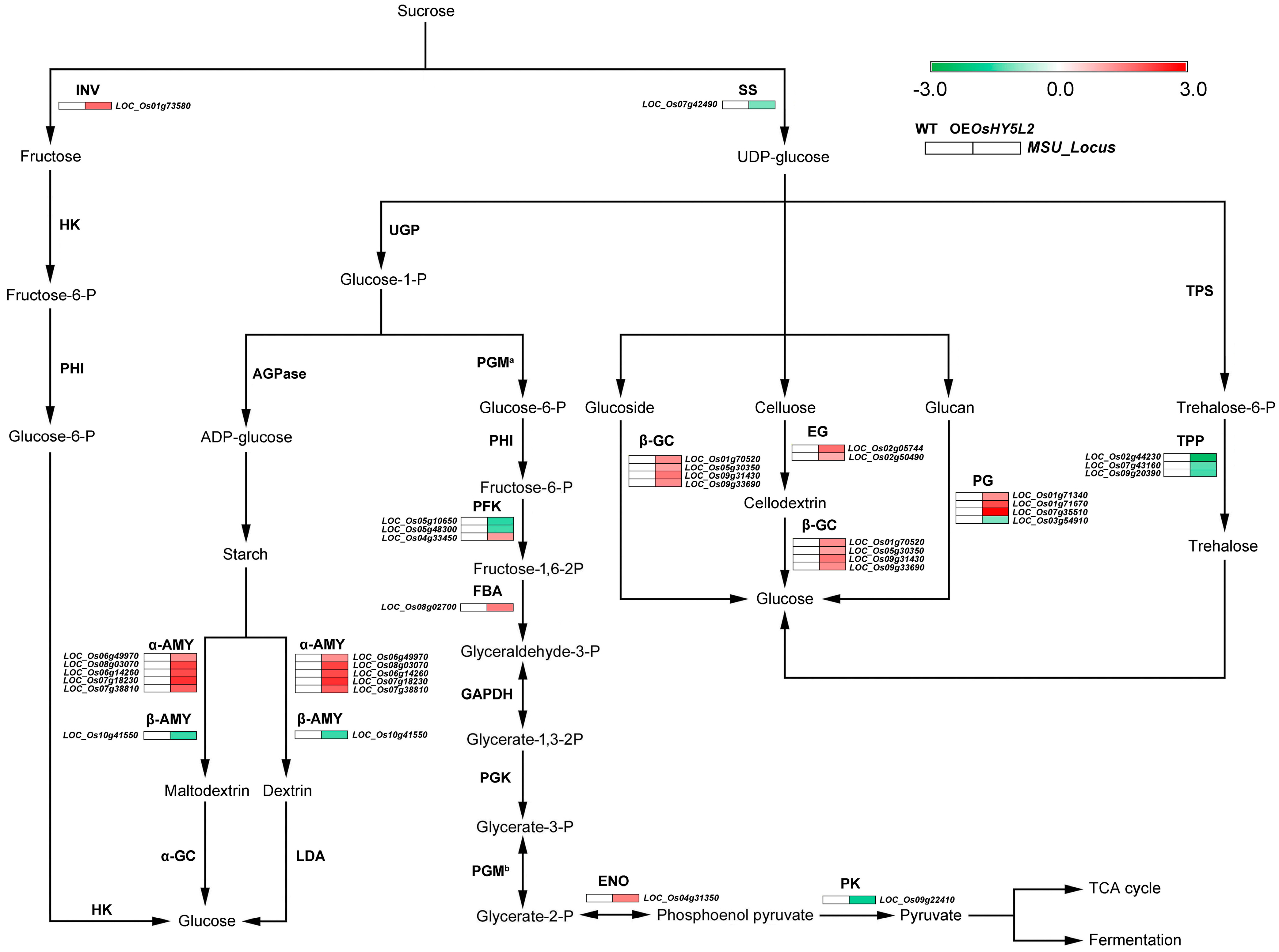
2.4. Transcriptomic Analysis of Genes Involved in Starch and Sucrose Metabolism
2.5. Ultrastructure of Starch Granules
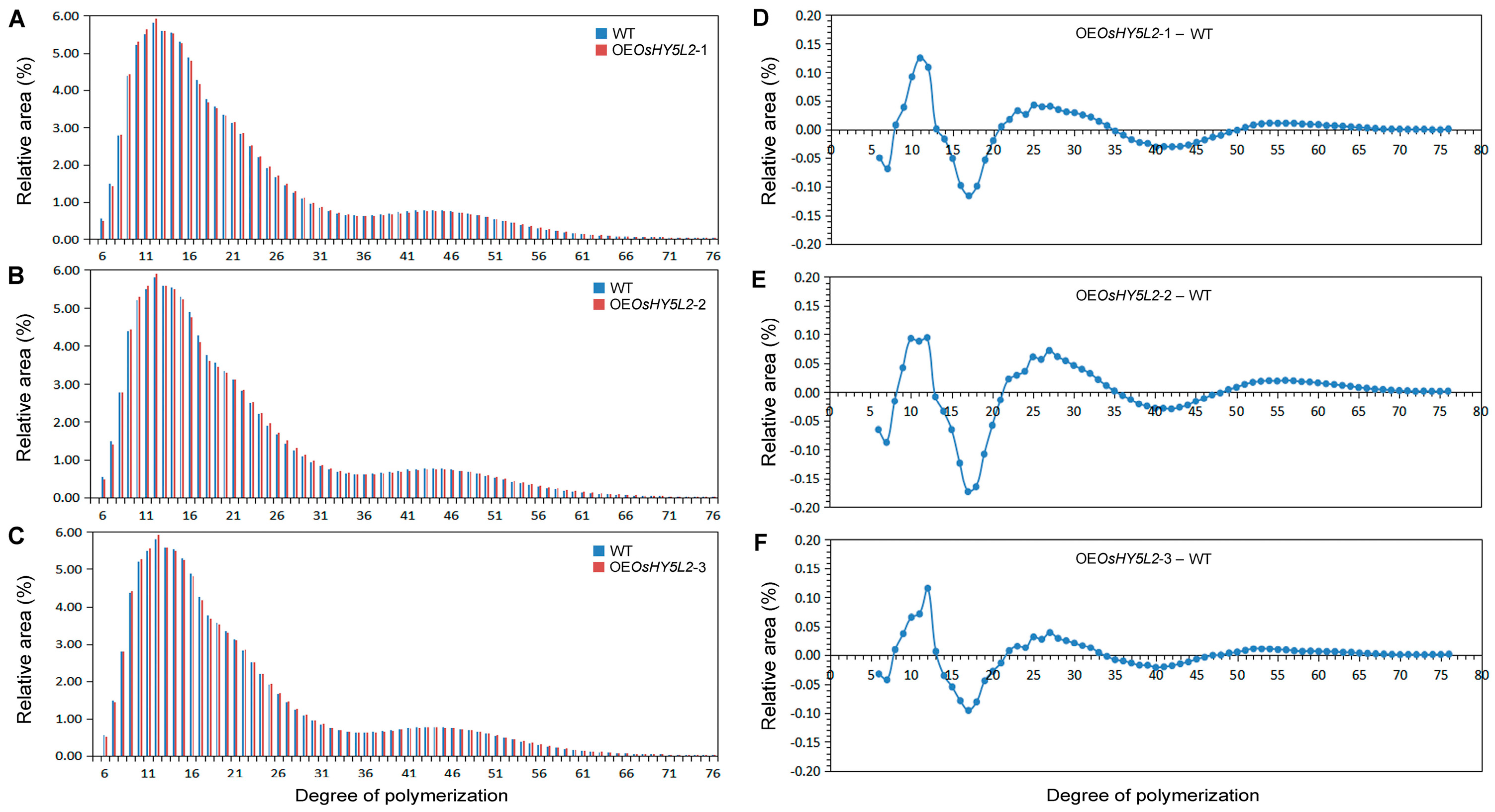
2.6. Chain Length Distribution of Amylopectin
2.7. Crystalline Structure and Pasting Properties
3. Discussion
3.1. OsHY5L2 Plays a Positive Regulatory Role in Improving the Appearance and Processing Quality of Rice
3.2. OsHY5L2 Negatively Regulates the Accumulation of Starch in Rice Endosperm by Inhibiting Starch Biosynthesis and Promoting Starch Hydrolysis
3.3. Overexpression of OsHY5L2 Alters the Fine Structure and Physicochemical Properties of Endosperm Starch
4. Materials and Methods
4.1. Plant Materials and Growth Conditions
4.2. Gene Cloning and Transformation
4.3. Transcriptomic Sequencing and Analysis
4.4. qRT-PCR Validation of DEGs
4.5. Evaluation of Starch-Metabolism-Related Physiological Parameters
4.6. Evaluation of Rice Processing Quality and Appearance
4.7. Starch Extraction and Scanning Electron Microscopy
4.8. Analysis of Amylopectin Chain-Length Distribution
4.9. X-Ray Diffraction Analysis
4.10. Measurement of Pasting Properties
4.11. Data Analysis
5. Conclusions
Supplementary Materials
Author Contributions
Funding
Data Availability Statement
Conflicts of Interest
References
- Tao, K.Y.; Yu, W.W.; Prakash, S.; Gilbert, R.G. High-amylose rice: Starch molecular structural features controlling cooked rice texture and preference. Carbohydr. Polym. 2019, 219, 251–260. [Google Scholar] [CrossRef]
- Calingacion, M.; Laborte, A.; Nelson, A.; Resurreccion, A.; Concepcion, J.C.; Daygon, V.D.; Mumm, R.; Reinke, R.; Dipti, S.; Bassinello, P.Z.; et al. Diversity of global rice markets and the science required for consumer-targeted rice breeding. PLoS ONE 2017, 9, e85106. [Google Scholar] [CrossRef]
- Chen, H.; Yang, G.T.; Xiao, Y.; Zhang, G.H.; Yang, G.X.; Wang, X.C.; Hu, Y.A. Effects of nitrogen and phosphorus fertilizer on the eating quality of indica rice with different amylose content. J. Food Compos. Anal. 2023, 118, 105167. [Google Scholar] [CrossRef]
- Zhu, L.J.; Liu, Q.Q.; Sang, Y.J.; Gu, M.H.; Shi, Y.C. Underlying reasons for waxy rice flours having different pasting properties. Food Chem. 2010, 120, 94–100. [Google Scholar] [CrossRef]
- Hanashiro, I.; Abe, J.I.; Hizukuri, S. A periodic distribution of the chain length of amylopectin as revealed by high-performance anion-exchange chromatography. Carbohydr. Res. 1996, 283, 151–159. [Google Scholar] [CrossRef]
- Jeon, J.S.; Ryoo, N.; Hahn, T.R.; Walia, H.; Nakamura, Y. Starch biosynthesis in cereal endosperm. Plant Physiol. Biochem. 2010, 48, 383–392. [Google Scholar] [CrossRef]
- Li, Q.F.; Huang, L.C.; Chu, R.; Li, J.; Jiang, M.Y.; Zhang, C.Q.; Fan, X.L.; Yu, H.X.; Gu, M.H.; Liu, Q.Q. Down-regulation of SSSII-2 gene expression results in novel low-amylose rice with soft, transparent grains. J. Agric. Food Chem. 2018, 66, 9750–9760. [Google Scholar] [CrossRef]
- Wang, K.; Hasjim, J.; Wu, A.C.; Li, E.; Henry, R.J.; Gilbert, R.G. Roles of GBSSI and SSIIa in determining amylose fine structure. Carbohydr. Polym. 2015, 127, 264–274. [Google Scholar] [CrossRef] [PubMed]
- Satoh, H.; Nishi, A.; Yamashita, K.; Takemoto, Y.; Tanaka, Y.; Hosaka, Y.; Sakurai, A.; Fujita, N.; Nakamura, Y. Starch-braching enzyme I-deficient mutation specifically affects the structure and properties of starch in rice endosperm. Plant Physiol. 2003, 133, 1111–1121. [Google Scholar] [CrossRef] [PubMed]
- Chen, Y.; Wang, M.; Ouwerkerk, P.B.F. Molecular and environmental factors determining grain quality in rice. Food Energy Secur. 2012, 1, 111–132. [Google Scholar] [CrossRef]
- Dong, M.H.; Hui, F.; Gu, J.R.; Chen, P.F.; Yang, D.F.; Qiao, Z.Y. Effect of light intensity on grain quality of rice at different spike positions during grain-filling stage. Chin. J. Eco-Agric. 2013, 21, 164–170. [Google Scholar] [CrossRef]
- Tao, Y.; Yao, Y.; Wang, K.T.; Xing, Z.P.; Zhai, H.T.; Feng, Y.; Liu, Q.Y.; Hu, Y.J.; Guo, B.W.; Wei, H.Y.; et al. Combined effects of panicle nitrogen fertilizer amount and shading during grain filling period on grain quality of conventional japonica rice. Acta Agron. Sin. 2022, 48, 1730–1745. [Google Scholar]
- Deng, F.; Wang, L.; Pu, S.L.; Mei, X.F.; Li, S.X.; Li, Q.P.; Ren, W.J. Shading stress increases chalkiness by postponing caryopsis development and disturbing starch characteristics of rice grains. Agric. For. Meteorol. 2018, 263, 49–58. [Google Scholar] [CrossRef]
- Zhang, C.X.; Guo, B.W.; Tang, J.; Xu, F.F.; Xu, K.; Hu, Y.J.; Xing, Z.P.; Zhang, H.C.; Dai, Q.G.; Huo, Z.Y.; et al. Combined effects of low temperature and weak light at grain-filling stage on rice grain quality. Acta Agron. Sin. 2019, 45, 1208–1220. [Google Scholar]
- Deng, F.; Li, Q.P.; Chen, H.; Zeng, Y.L.; Li, B.; Zhong, X.Y.; Wang, L.; Ren, W.J. Relationship between chalkiness and the structural and thermal properties of rice starch after shading during grain-filling stage. Carbohydr. Polym. 2021, 252, 117212. [Google Scholar] [CrossRef] [PubMed]
- Cao, R.J.; Zhao, S.L.; Jiao, G.A.; Duan, Y.Q.; Ma, L.Y.; Dong, N.N.; Lu, F.F.; Zhu, M.D.; Shao, G.N.; Hu, S.K.; et al. OPAQUE3, encoding a transmembrane bZIP transcription factor, regulates endosperm storage protein and starch biosynthesis in rice. Plant Commun. 2022, 3, 100463. [Google Scholar] [CrossRef]
- Jiang, M.; Zhang, H.L.; Song, Y.; Chen, J.L.; Bai, J.J.; Tang, J.H.; Wang, Q.; Fotopoulos, V.; Zhu, Q.H.; Yang, R.F.; et al. Transcription factor OsbZIP10 modulates rice grain quality by regulating OsGIF1. Plant J. 2024, 119, 2181–2198. [Google Scholar] [CrossRef] [PubMed]
- Jin, S.K.; Xu, L.N.; Leng, Y.J.; Zhang, M.Q.; Yang, Q.Q.; Wang, S.L.; Jia, S.W.; Song, T.; Wang, R.A.; Tao, T.; et al. The OsNAC24-OsNAP protein complex activates OsGBSSI and OsSBEI expression to fine-tune starch biosynthesis in rice endosperm. Plant Biotechnol. J. 2023, 21, 2224–2240. [Google Scholar] [CrossRef]
- Feng, T.T.; Wang, L.L.; Li, L.Y.; Liu, Y.; Chong, K.; Theißen, G.; Meng, Z. OsMADS14 and NF-YB1 cooperate in the direct activation of OsAGPL2 and Waxy during starch synthesis in rice endosperm. New Phytol. 2022, 234, 77–92. [Google Scholar] [CrossRef]
- Liu, S.; Wu, J.M.; Mawia, A.M.; Wei, X.J.; Cao, R.J.; Jiao, G.A.; Wu, Y.W.; Zhang, J.; Xie, L.H.; Sheng, Z.H.; et al. A novel transcription factor OsMYB73 affects grain size and chalkiness by regulating endosperm storage substances’ accumulation—Mediated auxin biosynthesis signalling pathway in rice. Plant Biotechnol. J. 2025, 23, 1021–1038. [Google Scholar] [CrossRef]
- Gangappa, S.N.; Botto, J.F. The multifaceted roles of HY5 in plant growth and development. Mol. Plant 2016, 9, 1353–1365. [Google Scholar]
- Lee, J.; He, K.; Stolc, V.; Lee, H.; Figueroa, P.; Gao, Y.; Tongprasit, W.; Zhao, H.Y.; Lee, I.; Deng, X.W. Analysis of transcription factor HY5 genomic binding sites revealed its hierarchical role in light regulation of development. Plant Cell 2007, 19, 731–749. [Google Scholar] [CrossRef]
- Oyama, T.; Shimura, Y.; Okada, K. The Arabidopsis HY5 gene encodes a bZIP protein that regulates stimulus-induced development of root and hypocotyl. Genes Dev. 1997, 11, 2983–2995. [Google Scholar] [PubMed]
- Zhang, H.Y.; He, H.; Wang, X.C.; Wang, X.F.; Yang, X.Z.; Li, L.; Deng, X.W. Genome-wide mapping of the HY5-mediated gene networks in Arabidopsis that involve both transcriptional and post-transcriptional regulation. Plant J. 2011, 65, 346–358. [Google Scholar] [CrossRef] [PubMed]
- Kurihara, Y.; Makita, Y.; Kawashima, M.; Hamasaki, H.; Yamamoto, Y.Y.; Matsui, M. Next-generation sequencing of genomic DNA fragments bound to a transcription factor in vitro reveals its regulatory potential. Genes 2014, 5, 1115–1131. [Google Scholar] [CrossRef] [PubMed]
- Hajdu, A.; Dobos, O.; Domijan, M.; Balint, B.; Nagy, I.; Nagy, F.; KozmaBognar, L. ELONGATED HYPOCOTYL 5 mediates blue light signalling to the Arabidopsis circadian clock. Plant J. 2018, 96, 1242–1254. [Google Scholar] [CrossRef]
- Burman, N.; Bhatnagar, A.; Khurana, J.P. OsbZIP48, a HY5 transcription factor ortholog, exerts pleiotropic effects in light-regulated development. Plant Physiol. 2018, 176, 1262–1285. [Google Scholar] [CrossRef]
- Lo, P.C.; Li, H.; Matsuoka, M. Starch metabolism and grain chalkiness under high temperature stress. Sci. Rev. 2016, 3, 280–282. [Google Scholar] [CrossRef]
- Fei, L.W.; Yang, S.C.; Ma, A.L.Y.; Lunzhu, C.L.; Wang, M.; Wang, G.J.; Guo, S.W. Grain chalkiness is reduced by coordinating the biosynthesis of protein and starch in fragrant rice (Oryza sativa L.) grain under nitrogen fertilization. Field Crops Res. 2023, 302, 109098. [Google Scholar]
- Wang, L.; Deng, F.; Ren, W.J. Shading tolerance in rice is related to better light harvesting and use efficiency and grain filling rate during grain filling period. Field Crop Res. 2015, 180, 54–62. [Google Scholar] [CrossRef]
- Liu, X.L.; Guo, T.; Wan, X.Y.; Wang, H.Y.; Zhu, M.Z.; Li, A.L.; Su, N.; Shen, Y.Y.; Mao, B.A.; Zhai, H.Q.; et al. Transcriptome analysis of grain-filling caryopses reveals involvement of multiple regulatory pathways in chalky grain formation in rice. BMC Genom. 2010, 11, 730. [Google Scholar] [CrossRef] [PubMed]
- Lin, Z.M.; Zheng, D.Y.; Zhang, X.C.; Wang, Z.X.; Lei, J.C.; Liu, Z.H.; Li, G.H.; Wang, S.H.; Ding, Y.F. Chalky part differs in chemical composition from translucent part of japonica rice grains as revealed by a notched-belly mutant with white-belly. J. Sci. Food Agric. 2016, 96, 3937–3943. [Google Scholar] [CrossRef]
- Okita, T.W.; Nakata, P.A.; Anderson, J.M.; Sowokinos, J.; Morell, M.; Preiss, J. The subunit structure of potato tuber ADP glucose pyrophosphorylase. Plant Physiol. 1990, 93, 785–790. [Google Scholar] [CrossRef]
- Tetlow, I.J. Starch biosynthesis in developing seeds. Seed Sci. Res. 2011, 21, 5–32. [Google Scholar] [CrossRef]
- Ansah, E.O.; Chen, G.; Xiong, F.; Wu, Y.F. Endosperm starch in rice: What influences its structure, properties, and biosynthesis. Acta Physiol. Plant. 2023, 45, 121. [Google Scholar] [CrossRef]
- Gong, D.K.; He, F.; Liu, J.Y.; Zhang, C.; Wang, Y.R.; Tian, S.J.; Sun, C.; Zhang, X. Understanding of hormonal regulation in rice seed germination. Life 2022, 12, 1021. [Google Scholar] [CrossRef]
- Dong, H.; Hu, C.Y.; Liu, C.C.; Wang, J.C.; Zhou, Y.H.; Yu, J.Q. ELONGATED HYPOCOTYL 5 mediates blue light-induced starch degradation in tomato. J. Exp. Bot. 2021, 72, 2627–2641. [Google Scholar] [CrossRef]
- Li, C.Y.; Zhang, R.Q.; Fu, K.Y.; Li, C.; Li, C. Effects of high temperature on starch morphology and the expression of genes related to starch biosynthesis and degradation. J. Cereal Sci. 2017, 73, 25–32. [Google Scholar] [CrossRef]
- Tsutsui, K.; Kaneko, K.; Hanashiro, I.; Nishinari, K.; Toshiaki, M. Characteristics of opaque and translucent parts of high temperature stressed grains of rice. J. Appl. Glycosci. 2013, 60, 61–67. [Google Scholar] [CrossRef] [PubMed][Green Version]
- Nakata, M.; Fukamatsu, Y.; Miyashita, T.; Hakata, M.; Kimura, R.; Nakata, Y.; Kuroda, M.; Yamaguchi, T.; Yamakawa, H. High temperature-induced expression of rice α-amylases in developing endosperm produces chalky grains. Front. Plant Sci. 2017, 8, 2089. [Google Scholar] [CrossRef] [PubMed]
- Xu, J.; Zhang, H.; Guo, X.N.; Qian, H.F. The impact of germination on the characteristics of brown rice flour and starch. J. Sci. Food Agric. 2012, 92, 380–387. [Google Scholar] [CrossRef]
- Pinkaew, H.; Thongngam, M.; Wang, Y.J.; Naivikul, O. Isolated rice starch fine structures and pasting properties changes during pre-germination of three Thai paddy (Oryza sativa L.) cultivars. J. Cereal Sci. 2016, 70, 116–122. [Google Scholar] [CrossRef]
- Chung, H.J.; Liu, Q.; Lee, L.; Wei, D.Z. Relationship between the structure, physicochemical properties and in vitro digestibility of rice starches with different amylose contents. Food Hydrocoll. 2011, 25, 968–975. [Google Scholar] [CrossRef]
- Vandeputte, G.E.; Delcour, J.A. From sucrose to starch granule to starch physical behaviour: A focus on rice starch. Carbohydr. Polym. 2004, 58, 245–266. [Google Scholar] [CrossRef]
- Jane, J.; Chen, Y.Y.; Lee, L.F.; McPherson, A.E.; Wong, K.S.; Radosavljevic, M.; Kasemsuwan, T. Effects of amylopectin branch chain length and amylose content on the gelatinization and pasting properties of starch. Cereal Chem. 1999, 76, 629–637. [Google Scholar] [CrossRef]
- Zhang, G.C.; Hua, D.; Wang, Y.Q.; Xu, J.X.; He, Y.T.; Liu, Y.H.; Tang, A.; Liu, H.; Sun, J. Combined physicochemical and transcriptomic analyses reveal the effect of the OsGA20ox1 gene on the starch properties of germinated brown rice. Int. J. Biol. Macromol. 2024, 278, 134849. [Google Scholar] [CrossRef] [PubMed]
- Chen, H.; Chen, D.; He, L.H.; Wang, T.; Lu, H.; Yang, F.; Deng, F.; Chen, Y.; Tao, Y.F.; Li, M.; et al. Correlation of taste values with chemical compositions and rapid visco analyser profiles of 36 indica rice (Oryza sativa L.) varieties. Food Chem. 2021, 349, 129176. [Google Scholar] [CrossRef]
- Han, X.Z.; Hamaker, B.R. Amylopectin fine structure and rice starch paste breakdown. J. Cereal Sci. 2001, 34, 279–284. [Google Scholar] [CrossRef]
- Shu, X.L.; Jia, L.M.; Ye, H.X.; Li, C.D.; Wu, D.X. Slow digestion properties of rice different in resistant starch. J. Agric. Food Chem. 2009, 57, 7552–7559. [Google Scholar] [CrossRef]
- Chen, Z.Z.; Li, X.F.; Zhong, M.; Ge, J.Q.; Fan, X.L.; Zhang, C.Q.; Liu, Q.Q. Grain quality as affected by down-regulation of expression of different ALK alleles in indica rice (Oryza sativa L.). Chin. J. Rice Sci. 2019, 33, 513–522. [Google Scholar]
- Hiei, Y.; Ohta, S.; Komari, T.; Kumashiro, T. Efficient transformation of rice (Oryza sativa L.) mediated by Agrobacterium and sequence analysis of the boundaries of the T-DNA. Plant J. 1994, 6, 271–282. [Google Scholar] [CrossRef] [PubMed]
- Mao, X.Z.; Cai, T.; Olyarchuk, J.G.; Wei, L.P. Automated genome annotation and pathway identification using the KEGG Orthology (KO) as a controlled vocabulary. Bioinformatics 2005, 21, 3787–3793. [Google Scholar] [CrossRef] [PubMed]
- Zhang, C.; Zhou, L.; Lu, Y.; Yang, Y.; Feng, L.; Hao, W.; Li, Q.; Fan, X.; Zhao, D.; Liu, Q. Changes in the physicochemical properties and starch structures of rice grains upon pre-harvest sprouting. Carbohydr. Polym. 2020, 234, 115893. [Google Scholar] [CrossRef] [PubMed]







| Samples | A (%) | B1 (%) | B2 (%) | B3 (%) | ACL (DP) | ||
|---|---|---|---|---|---|---|---|
| DP6–7 | DP8–12 | DP6–12 | DP13–24 | DP25–36 | DP ≥ 37 | ||
| WT | 2.06 ± 0.03 a | 23.74 ± 0.12 b | 25.80 ± 0.15 a | 47.04 ± 0.08 a | 12.57 ± 0.05 c | 14.59 ± 0.05 a | 21.45 ± 0.12 a |
| OEOsHY5L2-1 | 1.94 ± 0.05 bc | 24.11 ± 0.12 a | 26.05 ± 0.17 a | 46.62 ± 0.07 b | 12.90 ± 0.04 b | 14.43 ± 0.13 a | 21.45 ± 0.05 a |
| OEOsHY5L2-2 | 1.91 ± 0.01 c | 24.04 ± 0.04 a | 25.95 ± 0.03 a | 46.37 ± 0.02 c | 13.04 ± 0.01 a | 14.64 ± 0.02 a | 21.56 ± 0.01 a |
| OEOsHY5L2-3 | 1.96 ± 0.03 b | 24.04 ± 0.09 a | 26.00 ± 0.12 a | 46.58 ± 0.11 b | 12.85 ± 0.03 b | 14.57 ± 0.06 a | 21.47 ± 0.02 a |
| Samples | PKV (cP) | TV (cP) | FV (cP) | BDV (cP) | SBV (cP) |
|---|---|---|---|---|---|
| WT | 1379 ± 18 a | 818 ± 10 b | 1427 ± 16 b | 561 ± 10 a | 48 ± 7 c |
| OEOsHY5L2-1 | 1384 ± 26 a | 885 ± 15 a | 1547 ± 23 a | 499 ± 11 b | 163 ± 6 b |
| OEOsHY5L2-2 | 1364 ± 16 a | 892 ± 14 a | 1563 ± 18 a | 472 ± 10 c | 199 ± 4 a |
| OEOsHY5L2-3 | 1363 ± 10 a | 885 ± 10 a | 1553 ± 20 a | 478 ± 5 c | 190 ± 11 a |
Disclaimer/Publisher’s Note: The statements, opinions and data contained in all publications are solely those of the individual author(s) and contributor(s) and not of MDPI and/or the editor(s). MDPI and/or the editor(s) disclaim responsibility for any injury to people or property resulting from any ideas, methods, instructions or products referred to in the content. |
© 2025 by the authors. Licensee MDPI, Basel, Switzerland. This article is an open access article distributed under the terms and conditions of the Creative Commons Attribution (CC BY) license (https://creativecommons.org/licenses/by/4.0/).
Share and Cite
Wu, Y.; Zeng, M.; Zhang, J.; Jiang, H.; Ma, L.; Liu, D.; Zeng, Y. Overexpression of the OsHY5L2 Alters the Fine Structure and Physicochemical Properties of Endosperm Starch in Rice (Oryza sativa L.). Plants 2025, 14, 2888. https://doi.org/10.3390/plants14182888
Wu Y, Zeng M, Zhang J, Jiang H, Ma L, Liu D, Zeng Y. Overexpression of the OsHY5L2 Alters the Fine Structure and Physicochemical Properties of Endosperm Starch in Rice (Oryza sativa L.). Plants. 2025; 14(18):2888. https://doi.org/10.3390/plants14182888
Chicago/Turabian StyleWu, Yuan, Mingyang Zeng, Junhao Zhang, Haiyan Jiang, Lixia Ma, Dong Liu, and Yongjun Zeng. 2025. "Overexpression of the OsHY5L2 Alters the Fine Structure and Physicochemical Properties of Endosperm Starch in Rice (Oryza sativa L.)" Plants 14, no. 18: 2888. https://doi.org/10.3390/plants14182888
APA StyleWu, Y., Zeng, M., Zhang, J., Jiang, H., Ma, L., Liu, D., & Zeng, Y. (2025). Overexpression of the OsHY5L2 Alters the Fine Structure and Physicochemical Properties of Endosperm Starch in Rice (Oryza sativa L.). Plants, 14(18), 2888. https://doi.org/10.3390/plants14182888

