Effect of Fertilization Levels on Growth and Physiological Characteristics of Containerized Seedlings of Vaccinium oldhamii
Abstract
1. Introduction
2. Materials and Methods
2.1. Materials
2.2. Fertilization Treatment
2.3. Growth Characteristics
- ▪
- H/D ratio = height (mm)/root collar diameter (mm);
- ▪
- T/R ratio = leaf + shoot dry weight (g)/root dry weight (g);
- ▪
- LWR = leaf dry weight/total dry weight (g);
- ▪
- SWR = stem dry weight/total dry weight (g);
- ▪
- RWR = root dry weight/total dry weight (g).
2.4. Photosynthetic Characteristics
2.5. Chlorophyll Content Analysis
- ▪
- Chlorophyll a (mg·g−1·fresh weight) = (12.7 × A663 − 2.69 × A645);
- ▪
- Chlorophyll b (mg·g−1·fresh weight) = (22.9 × A645 − 4.68 × A663);
- ▪
- Total chlorophyll (mg·g−1·fresh weight) = (8.02 × A663 + 20.20 × A645).
2.6. Statistical Analysis
3. Results and Discussion
3.1. Growth Characteristics
3.1.1. Shoot and Root Growth
3.1.2. Height-to-Diameter (H/D) Ratio
3.2. Biomass and Top/Root Ratio (T/R)
Biomass Allocation
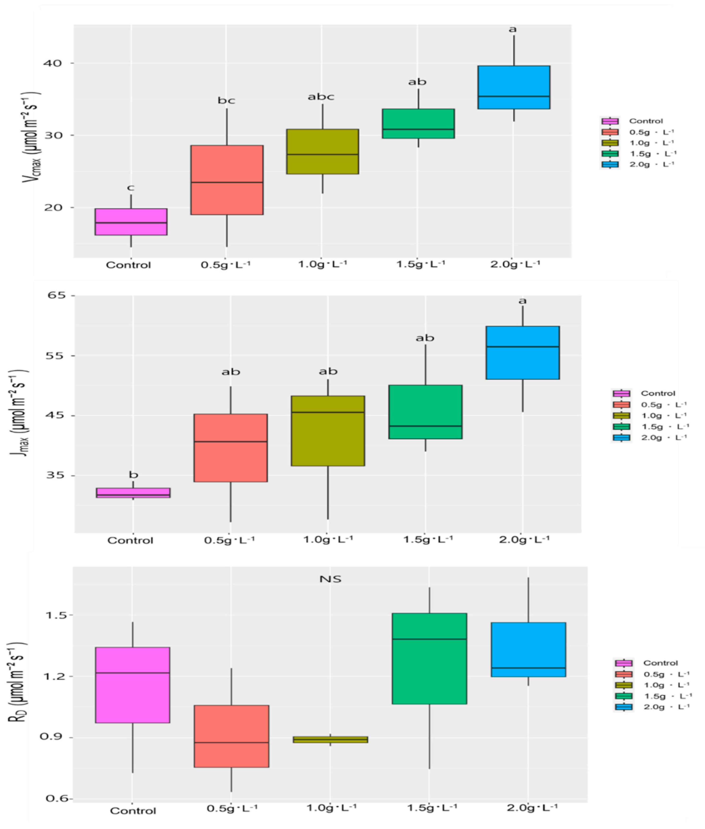
3.3. Photosynthetic Characteristics
3.4. Chlorophyll Content
4. Conclusions
Author Contributions
Funding
Data Availability Statement
Conflicts of Interest
Abbreviations
| H/D ratio | Height-to-diameter ratio |
| T/R ratio | Top/Root ratio |
| LWR | Leaf weight ratio |
| SWR | Shoot weight ratio |
| RWR | Root weight ratio |
| DMSO | Dimethyl sulfoxide |
| Vcmax | Maximum carboxylation rate |
| Jmax | Maximum electron transport rate |
| RD | Dark respiration |
| RuBP | Ribulose-1,5-bisphosphate |
References
- Kim, T.J. Korean Resources Plant III; Seoul National University: Seoul, Republic of Korea, 1996; p. 230. [Google Scholar]
- Kim, T.Y.; Kim, J.S. Woody Plants of Korea Peninsula; Dolbegae: Seoul, Republic of Korea, 2018. [Google Scholar]
- Kim, H.N.; Baek, J.K.; Park, S.B.; Kim, J.D.; Son, H.J.; Park, G.H.; Eo, H.J.; Park, J.H.; Jung, H.S.; Jeong, J.B. Anti-inflammatory effect of Vaccinium oldhamii stems through inhibition of NF-κB and MAPK/ATF2 signaling activation in LPS-stimulated RAW264.7 cells. BMC Complement. Altern. Med. 2019, 19, 291. [Google Scholar] [CrossRef]
- Sekizawa, H.; Ikuta, K.; Mizuta, K.; Takechi, S.; Suzutani, T. Relationship between polyphenol content and anti-influenza viral effects of berries. J. Sci. Food Agric. 2013, 93, 2239–2241. [Google Scholar] [CrossRef]
- Tsuda, H.; Kunitake, H.; Kawasaki-Takaki, R.; Nishiyama, K.; Yamasaki, M.; Komatsu, H.; Yukizaki, C. Antioxidant activities and anti-cancer cell proliferation properties of Natsuhaze (Vaccinium oldhamii Miq.), Shashanbo (V. bracteatum Thunb.) and blueberry cultivars. Plants 2013, 2, 57–71. [Google Scholar] [CrossRef]
- Chae, J.W. Study on Forest Stand Structure of Distribution Area and Biological Activity of Vaccinium oldhamii Miq.; Kyungpook National University: Daegu, Republic of Korea, 2021. [Google Scholar]
- Akakpo, P.S.; Sedibe, M.M.; Zaid, B.; Khetsha, Z.P.; Theka-Kutumela, M.P.; Mudau, F.N. Potassium fertigation to Enhance the Performance of Hypoxis hemerocallidea. Hortscience 2021, 56, 1585–1593. [Google Scholar] [CrossRef]
- Luciano, A.J.; Irineo, T.P.; Rosalia Virginia, O.V.; Feregrino-Perez, A.A.; Hernandez, A.C.; Ramon Gerardo, G.G. Integrating plant nutrients and elicitors for production of secondary metabolites, sustainable crop production and human health: A review. Int. J. Agric. Biol. 2017, 19, 391–402. [Google Scholar] [CrossRef]
- Casamali, B.; van Iersel, M.W.; Chavez, D.J. Plant growth and physiological responses to improved irrigation and fertilization management for young peach trees in the Southeastern United States. Hortscience 2021, 56, 336–346. [Google Scholar] [CrossRef]
- Davis, A.J.; Strik, B.C. Long-term effects of pre-plant incorporation with Sawdust, Sawdust Mulch, and nitrogen fertilizer rate on ‘Elliott’ Highbush Blueberry. Hortscience 2022, 57, 414–421. [Google Scholar] [CrossRef]
- Shreckhise, J.H.; Owen, J.S.; Eick, M.J.; Niemiera, A.X.; Altland, J.E.; Jackson, B.E. Dolomite and Micronutrient fertilizer affect phosphorus fate when Growing Crape Myrtle in Pine Bark. Hortscience 2020, 55, 832–840. [Google Scholar] [CrossRef]
- Kim, D.S. Mass Production of Regenerated Plants from the Leaflet Calli of Vaccinium oldhamii Miquel; Chungbuk National University Graduate School: Cheongju, Republic of Korea, 2012. [Google Scholar]
- Lee, D.H.; Park, C.Y.; Jung, Y.H.; Kim, J.H.; Park, S.H.; Son, H.J.; Na, C.S.; Park, W.G. Seed dormancy and germination characteristics of Vaccinium oldhamii Miq. (Ericaceae). Horticulturae 2022, 8, 836. [Google Scholar] [CrossRef]
- Landis, T.D.; Tinus, R.W.; McDonald, S.E.; Barnett, J.P. Seedling nutrition and irrigation. In The Container Tree Nursery Manual; Agric. Handbook No. 674; United States Department of Agriculture, Forest Service: Washington, DC, USA, 1989; Volume 4, p. 119. [Google Scholar]
- Landis, T.D.; Tinus, R.W.; McDonald, S.E.; Barnett, J.P. Containers and growing media. In The Container Tree Nursery Manual; Agric. Handbook No. 674; United States Department of Agriculture, Forest Service: Washington, DC, USA, 1990; Volume 2, p. 88. [Google Scholar]
- Kim, J.H.; Kim, D.H.; Lee, D.H. Effects of fertilizer treatment on the growth characteristics of 2-years old Pinus koraiensis Siebold & Zucc container seedlings. J. Agirc. Life Sci. 2015, 49, 63–70. [Google Scholar] [CrossRef]
- Eo, H.J.; Son, Y.H.; Park, S.H.; Park, G.H.; Lee, K.C.; Son, H.J. Growth and physiological characteristics of containerized seedlings of Sageretia thea at different fertilization treatments. J. Korean Soc. Forest Sci. 2021, 110, 189–197. [Google Scholar]
- Jacobs, D.F.; Salifu, K.F.; Seifert, J.R. Relative contribution of initial root and shoot morphology in predicting field performance of hardwood seedlings. New For. 2005, 30, 235–251. [Google Scholar] [CrossRef]
- Haase, D.L. Morphological and physiological evaluations of seedling quality. In National Proceedings: Forest and Conservation Nursery Associations, Proceedings of the RMRS-P-50, Target, OR, USA, 17–20 July 2006; Riley, L.E., Dumroese, R.K., Landis, T.D., Eds.; United States Department of Agriculture, Forest Service, Rocky Mountain Research Station: Fort Collins, CO, USA, 2007; pp. 3–8, 50. [Google Scholar]
- Bayala, J.; Dianda, M.; Wilson, J.; Ouédraogo, S.J.; Sanon, K. Predicting field performance of five irrigated tree species using seedling quality assessment in Burkina Faso, West Africa. New For. 2009, 38, 309–322. [Google Scholar] [CrossRef]
- Ellsworth, D.S.; Reich, P.B.; Naumburg, E.S.; Koch, G.W.; Kubiske, M.E.; Smith, S.D. Photosynthesis, carboxylation and leaf nitrogen responses of 16 species to elevated pCO2 across four free-air CO2 enrichment experiments in. Forest, grassland and desert. Glob. Change Biol. 2004, 10, 2121–2138. [Google Scholar] [CrossRef]
- Hiscox, J.D.; Israelstam, G.F. A Method for the extraction of chlorophyll from leaf tissue without Maceration. Can. J. Bot. 1979, 57, 1332–1334. [Google Scholar] [CrossRef]
- Arnon, D.I. Copper enzymes in isolated chloroplasts. Polyphenoloxidase in Beta vulgaris. Plant Physiol. 1949, 24, 1–15. [Google Scholar] [CrossRef] [PubMed]
- Choi, K.S.; Koo, D.E.; Sung, H.I.; Kim, J.J.; Won, C.O.; Song, K.S. Investigation of the optimal fertilization level for the mass production of container seedling of Tetradium daniellii (Benn.) T.G. Hartley. J. Agirc Life Sci. 2019, 53, 115–125. [Google Scholar] [CrossRef]
- Andrews, G.G. Understanding Nitrogen Fertilizers; Oregon State University: Corvallis, OR, USA, 1998. [Google Scholar]
- Switzer, G.L.; Nelson, L.E. Effects of nursery fertility and density on seedling characteristics, yield, and field performance of Loblolly Pine (Pinus taeda L.). Soil Sci. Soc. Am. J. 1963, 27, 461–464. [Google Scholar] [CrossRef]
- Mustafa, G.; Hayat, N.; Alotaibi, B.A. How and why to prevent over fertilization to get sustainable crop production. In Sustainable Plant Nutrition; Elsevier: Amsterdam, The Netherlands, 2023; pp. 339–354. [Google Scholar] [CrossRef]
- Van den Driessche, R.; Rude, W.; Martens, L. Effect of fertilization and irrigation on growth of aspen (Populus tremuloides Michx.) seedlings over three seasons. Forest Ecol. Manag. 2003, 186, 381–389. [Google Scholar] [CrossRef]
- Aranda, I.; Gil, L.; Pardos, J.A. Physiological responses of Fagus sylvatica L. seedlings under Pinus sylvestris L. and Quercus pyrenaica Willd. overstories. Forest Ecol. Manag. 2002, 162, 153–164. [Google Scholar] [CrossRef]
- Cho, M.S.; Lee, S.W.; Bae, J.H.; Park, G.S. Effect of different fertilization on physiological characteristics and growth performances of Eucalyptus pellita and Acacia mangium in a container nursery system. J. Bio-Environ. Control. 2011, 20, 123–133. [Google Scholar]
- Schlichting, C.D. The evolution of phenotypic plasticity in plants. Annu. Rev. Ecol. Syst. 1986, 17, 667–693. [Google Scholar] [CrossRef]
- Hopkins, W.G.; Hüner, N.P.A. Introduction to Plant Physiology; John Wiley & Sons: New York, NY, USA, 2008; pp. 223–230. [Google Scholar]
- Ryu, D.U.; Bae, J.H.; Park, J.H.; Cho, S.S.; Moon, M.K.; Oh, C.Y.; Kim, H.S. Responses of native trees species in Korea under elevated carbon dioxide condition—Open top chamber experiment. Korean J. Agric. For. Meteorol. 2014, 16, 199–212. [Google Scholar] [CrossRef]
- Sung, J.W.; Song, Y.G.; Koo, H.; Kim, H.H.; Byun, S.M.; Lee, C.R.; Park, S.G.; Lee, K.C. Physiological and growth responses of M. thunbergii to different levels of fertilization. Korean J. Plant Resour. 2023, 36, 172–180. [Google Scholar]
- Jo, M.S.; Lee, S.W.; Park, B.B. Effects of Three Fertilization Methods on the Growth Performances and Physiological Characteristics of Container Seedling; Korean Forest Society: Seoul, Republic of Korea, 2012; pp. 570–573. [Google Scholar]
- Kozlowski, T.T.; Pallardy, S.G. Physiology of Woody Plants; Elsevier: Amsterdam, The Netherlands, 1996. [Google Scholar]
- Lee, H. Effect of Fertilization and Shading Treatment on the Growth Characteristics of Hovenia dulcis Container Seedlings; Department of Forest Resources, Graduate School, Yeungnam University: Gyeongsang, Republic of Korea, 2022. [Google Scholar]





| Fertilization Concentration (g·L−1) | Height | Root Collar Diameter | H/D (cm·mm) | ||
|---|---|---|---|---|---|
| Growth (cm) | Relative Growth Rate (%) | Growth (mm) | Relative Growth Rate (%) | ||
| Control | 12.36 ± 0.78 a | 3.30 ± 0.19 a | 1.78 ± 0.08 a | 1.90 ± 0.14 b | 7.05 ± 0.44 bc |
| 0.5 | 11.58 ± 0.75 a | 2.96 ± 0.19 ab | 1.89 ± 0.1 a | 2.62 ± 0.20 a | 6.17 ± 0.21 c |
| 1.0 | 10.56 ± 0.74 ab | 2.64 ± 0.18 b | 1.74 ± 0.1 a | 2.62 ± 0.24 a | 6.45 ± 0.39 c |
| 1.5 | 11.7 ± 0.79 a | 2.47 ± 0.19 b | 1.72 ± 0.13 a | 1.94 ± 0.24 ab | 7.93 ± 0.65 ab |
| 2.0 | 9.04 ± 0.59 b | 2.58 ± 0.19 b | 1.24 ± 0.11 b | 2.11 ± 0.28 ab | 8.53 ± 0.57 a |
| Fertilization Concentration (g·L−1) | Biomass (g, Dry Weight) | T/R Ratio (g·g−1) | |||
|---|---|---|---|---|---|
| Leaves | Shoot | Root | Total | ||
| Control | 0.34 ± 0.04 b | 0.18 ± 0.02 b | 0.31 ± 0.02 a | 0.68 ± 0.04 b | 1.67 ± 0.14 c |
| 0.5 | 0.36 ± 0.04 b | 0.21 ± 0.02 b | 0.28 ± 0.05 a | 0.69 ± 0.11 b | 2.28 ± 0.35 bc |
| 1.0 | 0.40 ± 0.09 b | 0.19 ± 0.07 b | 0.27 ± 0.10 a | 0.65 ± 0.23 b | 2.36 ± 0.72 bc |
| 1.5 | 0.67 ± 0.25 a | 0.34 ± 0.16 a | 0.35 ± 0.13 a | 0.81 ± 0.39 a | 3.68 ± 0.41 b |
| 2.0 | 0.31 ± 0.22 b | 0.12 ± 0.10 b | 0.11 ± 0.12 b | 0.31 ± 0.34 b | 4.59 ± 1.58 a |
| Fertilization Concentration (g·L−1) | Chl (mg/g−1) | Chlorophyll a/b | ||
|---|---|---|---|---|
| A | B | a + b | ||
| Control | 11.32 ± 0.71 b | 3.94 ± 0.22 b | 15.25 ± 0.93 b | 2.87 ± 0.03 b |
| 0.5 | 9.13 ± 0.49 c | 3.20 ± 0.14 c | 12.32 ± 0.63 c | 2.84 ± 0.04 b |
| 1.0 | 8.74 ± 0.58 c | 3.26 ± 0.15 c | 11.99 ± 0.61 c | 2.73 ± 0.17 b |
| 1.5 | 15.20 ± 0.91 a | 4.66 ± 0.12 a | 19.86 ± 0.49 a | 3.26 ± 0.01 a |
| 2.0 | 14.54 ± 0.76 a | 4.36 ± 0.23 ab | 18.90 ± 1.14 a | 3.31 ± 0.05 a |
Disclaimer/Publisher’s Note: The statements, opinions and data contained in all publications are solely those of the individual author(s) and contributor(s) and not of MDPI and/or the editor(s). MDPI and/or the editor(s) disclaim responsibility for any injury to people or property resulting from any ideas, methods, instructions or products referred to in the content. |
© 2025 by the authors. Licensee MDPI, Basel, Switzerland. This article is an open access article distributed under the terms and conditions of the Creative Commons Attribution (CC BY) license (https://creativecommons.org/licenses/by/4.0/).
Share and Cite
Lee, D.H.; Park, C.Y.; Kim, D.H.; Kim, J.H.; Kim, H.M.; Na, C.S.; Park, W.G. Effect of Fertilization Levels on Growth and Physiological Characteristics of Containerized Seedlings of Vaccinium oldhamii. Plants 2025, 14, 2409. https://doi.org/10.3390/plants14152409
Lee DH, Park CY, Kim DH, Kim JH, Kim HM, Na CS, Park WG. Effect of Fertilization Levels on Growth and Physiological Characteristics of Containerized Seedlings of Vaccinium oldhamii. Plants. 2025; 14(15):2409. https://doi.org/10.3390/plants14152409
Chicago/Turabian StyleLee, Da Hyun, Chung Youl Park, Do Hyun Kim, Jun Hyeok Kim, Hyeon Min Kim, Chae Sun Na, and Wan Geun Park. 2025. "Effect of Fertilization Levels on Growth and Physiological Characteristics of Containerized Seedlings of Vaccinium oldhamii" Plants 14, no. 15: 2409. https://doi.org/10.3390/plants14152409
APA StyleLee, D. H., Park, C. Y., Kim, D. H., Kim, J. H., Kim, H. M., Na, C. S., & Park, W. G. (2025). Effect of Fertilization Levels on Growth and Physiological Characteristics of Containerized Seedlings of Vaccinium oldhamii. Plants, 14(15), 2409. https://doi.org/10.3390/plants14152409

