Yield Increase and Emission Reduction Effects of Alfalfa in the Yellow River Irrigation District of Gansu Province: The Coupling Mechanism of Biodegradable Mulch and Controlled-Release Nitrogen Fertilizer
Abstract
1. Introduction
2. Results and Analysis
2.1. Alfalfa Yield Response to Planting–Fertilization Regimes
2.2. Effects of Planting–Fertilization Regimes on Soil N2O Emissions
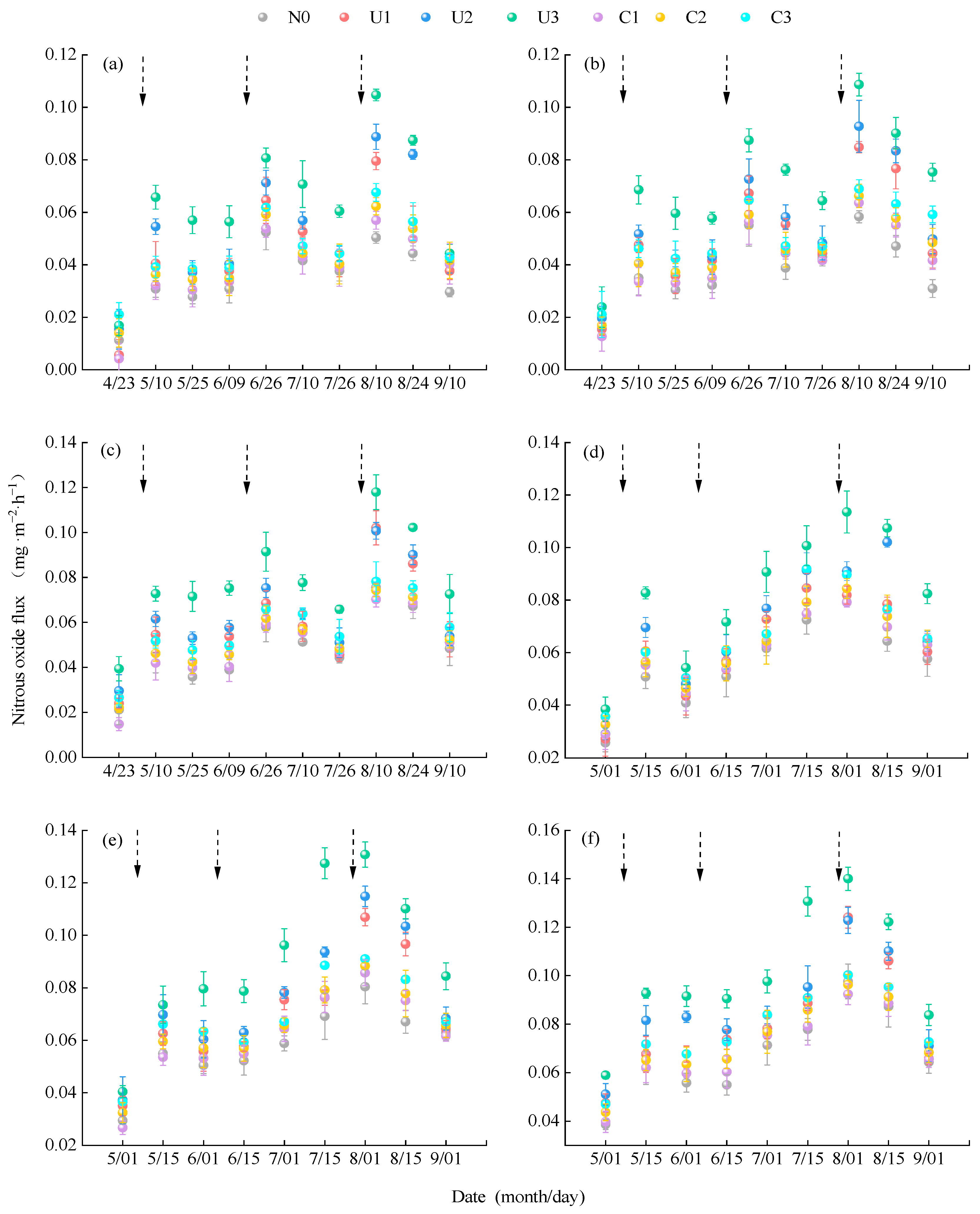
2.2.1. N2O Emission Flux and Cumulative Emissions
2.2.2. Soil Global Warming Potential and N2O Emission Intensity
2.3. Effects of Planting–Fertilization Regimes on Soil Environment
2.3.1. Effects of Planting–Fertilization Regimes on Soil Temperature
2.3.2. Effects of Planting–Fertilization Regimes on Soil Moisture Content
2.3.3. Effects of Planting–Fertilization Regimes on Soil Available Nitrogen Content
2.4. Correlation Between Soil N2O Emission Flux and Soil Environmental Factors
2.5. Optimal Planting–Fertilization Regime for Yield Increase and Emission Reduction in Alfalfa
3. Discussion
3.1. Effects of Planting–Fertilization Regimes on Alfalfa Yield
3.2. Effects of Planting–Fertilization Regimes on N2O Emissions in Alfalfa Grasslands
4. Materials and Methods
4.1. Experimental Site
4.2. Experimental Design
4.3. Measurement Items and Methods
4.3.1. Yield
4.3.2. Greenhouse Gas N2O
4.3.3. Soil Temperature
4.3.4. Soil Volumetric Water Content
4.3.5. Soil Nitrate and Ammonium Nitrogen
4.4. Statistics and Analysis of Data
5. Conclusions
Author Contributions
Funding
Data Availability Statement
Acknowledgments
Conflicts of Interest
References
- Ren, Y.J.; Guo, W.S.; Sun, W. Annual forecasting of high-temperature days in China through grey wolf optimization-based support vector machine ensemble. Int. J. Climatol. 2023, 43, 25212540. [Google Scholar] [CrossRef]
- Hu, T.; Xiong, K.N.; Wang, J. Intercropping peanut under forests can reduce soil N2O emissions in karst desertification control. Forests 2023, 14, 1652. [Google Scholar] [CrossRef]
- IPCC. Climate Change 2023: Synthesis Report. Contribution of Working Groups I, II and III to the Sixth Assessment Report of the Intergovernmental Panel on Climate Change. 2023. Available online: https://www.ipcc.ch/report/ar6/syr/ (accessed on 28 April 2025).
- Wang, C.; Amon, B.; Schulz, K.; Mehdi, B. Factors that influence nitrous oxide emissions from agricultural soils as well as their representation in simulation models: A review. Agronomy 2021, 11, 770. [Google Scholar] [CrossRef]
- Good, A.G.; Beatty, P.H. Fertilizing Nature: A tragedy of excess in the commons. PLoS Biol. 2011, 9, e1001124. [Google Scholar] [CrossRef]
- Bolo, P.; Muna, M.M.; Kinyua, M.; George, A.; Nyawira, S.S.; Kihara, J. Nitrogen and phosphorus mineralization and their corresponding monetary values under long-term integrated soil fertility management practices. J. Sustain. Agric. Environ. 2024, 3, e12100. [Google Scholar] [CrossRef]
- Xu, C.L.; Huang, S.B.; Tian, B.; Ren, J.H.; Meng, Q.F.; Wang, P. Manipulating planting density and nitrogen fertilizer application to improve yield and reduce environmental impact in Chinese maize production. Front. Plant Sci. 2017, 8, 1234. [Google Scholar] [CrossRef] [PubMed]
- Wu, P.; Fu, L.; Li, H.; Cai, T.; Zhang, P.; Jia, Z.K. Suitable fertilizer application depth can increase nitrogen use efficiency and maize yield by reducing gaseous nitrogen losses. Sci. Total Environ. 2021, 781, 146787. [Google Scholar] [CrossRef]
- Verma, K.K.; Song, X.P.; Degu, H.D.; Guo, D.J.; Joshi, A.; Huang, H.; Xu, L.; Singh, M.; Huang, D.L.; Rajput, V.D.; et al. Recent advances in nitrogen and nano-nitrogen fertilizers for sustainable crop production: A mini-review. Chem. Biol. Technol. Agric. 2023, 10, 111. [Google Scholar] [CrossRef]
- Wang, X.; Wang, M.; Chen, L.; Shutes, B.; Yan, B.X.; Zhang, F.M.; Jiao, L.Y.; Zhu, H.L. Nitrogen migration and transformation in a saline-alkali paddy ecosystem with application of different nitrogen fertilizers. Environ. Sci. Pollut. Res. 2023, 30, 51665–51678. [Google Scholar] [CrossRef]
- Ibragimova, R.R.; Yartsev, G.F.; Baikasenov, R.K.; Aysuvakova, T.P.; Kartabayeva, B.B.; Tseiko, V.I.; KosColapov, B.M. Productivity and quality of spring soft wheat grain depending on root feeding with liquid nitrogen fertilizers on black soils of South Orenburg region. IOP Conf. Ser. Earth Environ. Sci. 2021, 901, 12061. [Google Scholar] [CrossRef]
- Ye, J.; Liu, C. Suitability of mulch and ridge-furrow techniques for maize across the precipitation gradient on the Chinese loess plateau. J. Agric. Sci. 2012, 4, 182. [Google Scholar] [CrossRef][Green Version]
- Droma, D.; Zeng, K.; Yin, B.; Li, Q.; Yao, Y.L. Eliminating NH3, NO, and N2O emissions simultaneously in a wheat field by urea point placement. Chin. J. Soil Fert. 2024, 6, 18–26. [Google Scholar]
- Saravanakumar, S. Integrated nitrogen management in rice (Oryza sativa) under system rice intensification. Indian J. Agric. Sci. 2020, 90, 843–846. [Google Scholar] [CrossRef]
- Mohan, S. GPS and sensor-based technologies in variable rate fertilizer application. Int. J. Agric. Environ. Biotechnol. 2021, 14, 21–27. [Google Scholar] [CrossRef]
- Megersa, G.; Abdulahi, J. Irrigation system in Israel: A review. Int. J. Water Resour. Environ. Eng. 2015, 7, 29–37. [Google Scholar]
- Długosz, A.P.; Długosz, J.; Gryta, A.; Frąc, M. Responses of N-cycling enzyme activities and functional diversity of soil microorganisms to soil depth, pedogenic processes and cultivated plants. Agronomy 2022, 12, 264. [Google Scholar] [CrossRef]
- Bañeras, L.; Ruiz-Rueda, O.; López-Flores, R.; Quintana, X.D.; Hallin, S. The role of plant type and salinity in the selection for the denitrifying community structure in the rhizosphere of wetland vegetation. Int. Microbiol. 2012, 15, 89–99. [Google Scholar]
- Zhang, X.; Wang, R.; Liu, B.; Wang, Y.; Yang, L.; Zhao, J.; Xu, J.; Li, Z.; Zhang, X.; Han, Q. Optimization of ridge–furrow mulching ratio enhances precipitation collection before silking to improve maize yield in a semi–arid region. Agric. Water Manag. 2023, 275, 108041. [Google Scholar] [CrossRef]
- Liu, K.; Shi, Y.; Yu, Z.; Zhang, Z.; Zhang, Y. Improving photosynthesis and grain yield in wheat through ridge–furrow ratio optimization. Agronomy 2023, 13, 2413. [Google Scholar] [CrossRef]
- Pan, H.F.; Zhao, W.Y.; Shi, R.J.; Li, L.; Dai, F.; Deng, H.; Zhao, Y.M. Analysis and research on production effects of full-film double ridge-furrow mulching with polyethylene film and biodegradable film based on AquaCrop. Agronomy 2024, 14, 111. [Google Scholar] [CrossRef]
- Lou, D.J.; Zhang, X.L.; Cong, Z.Y.; Xue, Y.; Jiang, L.X. Temperature-increasing characteristics of mulching planting mode of the double-shallow-furrow in broader-row ridges in western Heilongjiang during maize seeding. Chin. J. Agrometeorol. 2021, 42, 666–675. [Google Scholar]
- Zhang, Y.F.; Li, H.W.; He, J.; Wang, Q.J.; Chen, Y.; Chen, W.Z.; Edemond, S.K. Effect of mulching with maize straw on water infiltration and soil loss at different initial soil moistures in a rainfall simulation. Front. Agr. Sci. Eng. 2016, 3, 161–170. [Google Scholar] [CrossRef]
- Li, Y.G.; Zhang, Z.H.; Zhang, J.Z.; Li, W.H. Effects of liquid mulch on physiological characteristics and yield of drip-irrigated cotton. J. Agric. Eng. 2015, 31, 105–112. [Google Scholar]
- Galetto, S.L.; Bini, Â.R.; Haliski, A.; Scharr, D.A.; Borszowskei, P.R.; Caires, E.F. Nitrogen fertilization in top dressing for wheat crop in succession to soybean under a no-till system. Bragantia 2017, 76, 282–291. [Google Scholar] [CrossRef]
- Chen, N.; Li, X.; Shi, H.; Yan, J.; Hu, Q.; Zhang, Y. Assessment and modeling of maize evapotranspiration and yield with plastic and biodegradable film mulch. Agric. For. Meteorol. 2021, 307, 108474. [Google Scholar] [CrossRef]
- Hu, G.H.; Wang, J.K.; Wang, Y.L.; Zhu, D.F.; Chen, H.Z.; Xiang, J.; Zhang, Y.K.; Zhang, Y.P. Effects of biodegradable film mulching on nitrogen use efficiency and yield of machine-transplanted rice. J. Ecol. Environ. 2020, 29, 977–986. [Google Scholar]
- Wei, J.T.; Guo, W.Z.; Yang, X.H.; Chen, F.; Zhang, N.F.; Diao, Q.Y. Effects of ramie substituting different ratios of alfalfa on growth performance, serum biochemical indexes and nutrient apparent digestibility of Boer goats. J. Anim. Nutr. 2018, 30, 4202–4209. [Google Scholar]
- Yin, M.H.; Ma, Y.L.; Kang, Y.X.; Jia, Q.; Qi, G.P.; Wang, J.H. Meta-analysis of the effect of nitrogen addition on yield and quality of alfalfa in China. J. Grass Ind. 2022, 31, 36–49. [Google Scholar]
- Gansu Animal Husbandry and Veterinary Bureau. Gansu to promote the transformation and upgrading of animal husbandry by switching from grain to fodder. China Anim. Husb. 2020, 19, 22–23. [Google Scholar]
- Yang, Y.Y.; Gao, Z.L.; Wang, X.J. Effects of organic and inorganic nitrogen fertilizer application on alfalfa yield, soil nitrate nitrogen and greenhouse gas emissions. J. Appl. Ecol. 2016, 27, 822–828. [Google Scholar]
- Zhao, Y.; Wang, Y.Q.; Sun, S.N.; Li, W.T.; Zhu, L.; Yan, X.B. Different forms and proportions of exogenous nitrogen promote the growth of alfalfa by increasing soil enzyme activity. Plants 2022, 11, 1057. [Google Scholar] [CrossRef] [PubMed]
- Wang, S.; Chen, X.L.; Li, W.Q.; Wang, X.J.; Sun, L.; Zhang, L.; Gu, X.J.; Liu, Y.; Pan, Y.Q.; Zhang, F.B.; et al. Effects of nitrogen utilization efficiency and soil inorganic nitrogen content. J. Ecol. Environ. 2013, 22, 387–391. [Google Scholar]
- Ma, Y.Y.; Sun, H.M.; Yang, Y.R.; Li, Z.; Li, P.; Qiao, Y.T.; Zhang, Y.J.; Zhang, K.; Bai, Z.Y.; Li, A.C.; et al. Long-term nitrogen fertilizer management for enhancing use efficiency and sustainable cotton (Gossypium Hirsutum L.). Front. Plant Sci. 2023, 14, 1271846. [Google Scholar] [CrossRef]
- Zhao, J.J.; Zheng, W.; Zhou, D.Y.; Ma, G.H.; Xiong, H.L. Effects of endophytic nitrogen-fixing bacteria on yield and photochemical efficiency of alfalfa under different nitrogen application levels. Grass Sci. 2025; in press. [Google Scholar]
- Lu, G.M.; Gu, L.F.; Liu, Y.X.; Ren, Z.; Shi, Y.; Xu, Z.R.; Zhou, G.S.; Lu, H.T.; Wang, X.S.; Zhang, W.D.; et al. Effects of planting density and nitrogen application interactions on growth performance and physiological characteristics of alfalfa in saline soil. Grass Sci. 2021, 38, 1570–1578. [Google Scholar]
- Belyaeva, O.; Ward, G.; Wijesinghe, T.; Chen, D.; Suter, H. Influence of soil organic matter, fertiliser formulation and season on fertilizer nitrogen use efficiency in temperate pastures. Nutr. Cycling Agroecosyst. 2024, 129, 133–150. [Google Scholar] [CrossRef]
- Gao, X.J.; Li, G.H.; Lu, W.P.; Lu, D.L. Effects of controlled-release urea and normal urea on yield and nitrogen uptake and utilization in glutinous maize. J. Plant Nutr. Fert. 2022, 28, 1614–1625. [Google Scholar]
- Sun, Y.Y.; Yuan, X.C.; Chen, K.R.; Wang, H.Y.; Luo, Y.H.; Guo, C.L.; Wang, Z.L.; Shu, C.H.; Yang, Y.G.; Weng, Y.J.; et al. Improving the yield and nitrogen use efficiency of hybrid rice through rational use of controlled-release nitrogen fertilizer and urea topdressing. Front. Plant Sci. 2023, 14, 1240238. [Google Scholar] [CrossRef]
- Gałczyńska, M.; Gamrat, R.; Burczyk, P. Effect of nitrogen fertilization on N2O emission in different soil reactions and grown grass species. Appl. Ecol. Environ. Res. 2018, 16, 6761–6777. [Google Scholar] [CrossRef]
- Ratke, R.F.; Verginassi, A.; Basto, D.D.; Morgado, H.S.; Souza, M.R.; Fernandes, E.P. Production and levels of foliar nitrogen in rocket salad fertilized with controlled-release nitrogen fertilizers and urea. Hortic. Bras. 2011, 29, 246–249. [Google Scholar] [CrossRef]
- Jin, H.Y.; Xie, Y.X.; Liu, Y.; Ma, D.Y.; Zhu, Y.Q.; Wang, Z.Y.; He, D.X. Research on the appropriate application rate and application method of short controlled release period urea on winter wheat. J. Plant Nutr. Fert. 2016, 22, 542–549. [Google Scholar]
- Wang, J.X.; Hu, J.Y.; Zhang, W.; Wei, Q.; Wang, T.; Wang, X.L.; Zhang, X.; Zhang, P.P. Effects of mulching on photosynthetic material production and water use efficiency of intercropped maize. Chin. Agric. Sci. 2025, 58, 460–477. [Google Scholar]
- Miceli, G.D.; Iacuzzi, N.; Leto, C.; Cozzolino, E.; Di Mola, I.; Ottaiano, L.; Mori, M.; Bella, S.L. Assessment of yield and quality of eggplant (Solanum melongena L.) fruits improved by biodegradable mulching film in two different regions of southern Italy. Agronomy 2024, 14, 867. [Google Scholar] [CrossRef]
- Samphire, M.; Chadwick, D.R.; Jones, D.L. Biodegradable plastic mulch films increase yield and promote nitrogen use efficiency in organic horticulture. Front. Agron. 2023, 5, 1141608. [Google Scholar] [CrossRef]
- Lv, Y.R.; Wang, J.H.; Yin, M.H.; Kang, Y.K.; Ma, Y.; Jia, Q.X.; Qi, G.P.; Jiang, Y.H.; Lu, Q.; Chen, X.L. Effects of planting and nitrogen application patterns on alfalfa yield, quality, water-nitrogen use efficiency, and economic benefits in the Yellow River irrigation region of Gansu province, China. Water 2023, 15, 251. [Google Scholar] [CrossRef]
- DeVetter, L.W.; Zhang, H.; Ghimire, S.; Watkinson, S.; Miles, C.A. Plastic biodegradable mulches reduce weeds and promote crop growth in day-neutral strawberry in western Washington. Hortscience 2017, 52, 1700–1706. [Google Scholar] [CrossRef]
- Li, F.; Li, X.G.; Javaid, M.M.; Ashraf, M.; Zhang, F. Ridge-furrow plastic film mulching farming for sustainable dryland agriculture on the Chinese Loess Plateau. Agron. J. 2020, 112, 3284–3294. [Google Scholar] [CrossRef]
- Lu, Q.; Qi, G.; Yin, M.; Kang, Y.; Ma, Y.; Jia, Q.; Wang, J.; Jiang, Y.; Wang, C.; Gao, Y. Alfalfa cultivation patterns in the Yellow River irrigation area on soil water and nitrogen use efficiency. Agronomy 2024, 14, 874. [Google Scholar] [CrossRef]
- Feng, Y.; Shi, H.; Jia, Y.; Miao, Q.; Jia, Q.; Wang, N. Infiltration and water use efficiency of maize fields with drip irrigation and biodegradable mulches in the West Liaohe Plain, China. Plants 2023, 12, 975. [Google Scholar] [CrossRef]
- Yang, L.; Zhang, X.; Ju, X. Linkage between N2O emission and functional gene abundance in an intensively managed calcareous fluvo-aquic soils. Sci. Rep. 2017, 7, 43283. [Google Scholar] [CrossRef]
- Oikawa, P.Y.; Ge, C.; Wang, J.; Eberwein, J.R.; Liang, L.L.; Allsman, L.A.; Grantz, D.A.; Jenerette, G.D. Unusually high soil nitrogen oxide emissions influence air quality in a high-temperature agricultural Region. Nat. Commun. 2015, 6, 8753. [Google Scholar] [CrossRef] [PubMed]
- Wu, K.; Zhang, Z.; Feng, L.; Bai, W.; Feng, C.; Song, Y.; Gong, P.; Meng, Y.; Zhang, L. Effects of corn stalks and urea on N2O production from corn field soil. Agronomy 2021, 11, 2009. [Google Scholar] [CrossRef]
- Yao, F.Y.; Wang, L.C.; Duo, X.Q.; Liu, Z.M.; Lu, Y.J.; Cao, Y.J.; Wei, W.W.; Wang, Y.J. Effects of different nitrogen fertilizers on annual emissions of greenhouse gas from maize field in Northeast China. J. Appl. Ecol. 2019, 30, 1303–1311. [Google Scholar]
- Zhao, Y.; Lu, G.; Jin, X.; Wang, Y.; Ma, K.; Zhang, H.; Yan, H.; Zhou, X. Effects of microbial fertilizer on soil fertility and Alfalfa rhizosphere microbiota in Alpine grassland. Agronomy 2022, 12, 1722. [Google Scholar] [CrossRef]
- Han, J.; Tao, L.; Wang, M. Well-to-wake analysis of ethanol-to-jet and sugar-to-jet pathways. Biotechnol. Biofuels 2017, 10, 21. [Google Scholar] [CrossRef]
- Song, L.; Niu, S.L. Increased soil microbial AOB amoA and narG abundances sustain long-term positive responses of nitrification and denitrification to N deposition. Soil Biol. Biochem. 2022, 166, 108539. [Google Scholar] [CrossRef]
- Song, L.; Pan, J.X.; Wang, J.S.; Yan, Y.J.; Niu, S.L. Nitrification derived N2O emission increases but denitrification derived N2O emission decreases with N enrichment in both topsoil and subsoil. Catena 2023, 222, 106890. [Google Scholar] [CrossRef]
- Feng, D.; Hao, Q.J.; Zhang, K.L.; Shi, J.L.; Shi, X.Y.; Jiang, C.S. Effects of plastic film mulching on N2O emissions from a vegetable field. Environ. Sci. 2017, 38, 4380–4389. [Google Scholar]
- Chen, Q.; Hu, N.; Zhang, Q.; Sun, H.; Zhu, L. Effects of biodegradable plastic film mulching on the global warming potential, carbon footprint, and economic benefits of garlic production. Agronomy 2024, 14, 504. [Google Scholar] [CrossRef]
- Meng, C.; Zhao, J.; Wang, N.; Yang, K.; Wang, F. Black plastic film mulching increases soil nitrous oxide emissions in arid potato fields. Int. J. Environ. Res. Public Health 2022, 19, 16030. [Google Scholar] [CrossRef]
- Han, W.; Chen, L.; Su, X.; Liu, D.; Jin, T.; Shi, S.; Li, T.; Liu, G. Effects of soil physico-chemical properties on plant species diversity along an elevation gradient over alpine grassland on the Qinghai-Tibetan Plateau, China. Front. Plant Sci. 2022, 13, 822268. [Google Scholar] [CrossRef] [PubMed]
- Li, N.; Qi, W.; Jiang, C.; Liu, H.; Liu, E. Effects of plastic film mulching on soil respiration and its sensitivity to temperature and water content. Environ. Technol. Innovation. 2024, 36, 103780. [Google Scholar] [CrossRef]
- Jia, H.; Wang, Z.; Zhang, J.; Li, W.; Ren, Z.; Jia, Z.; Wang, Q. Effects of biodegradable mulch on soil water and heat conditions, yield and quality of processing tomatoes by drip irrigation. J. Arid. Land. 2020, 12, 819–836. [Google Scholar] [CrossRef]
- Chen, H.; Hou, H.; Hu, H.; Shang, Z.; Zhu, Y.; Cai, H.; Qaisar, S. Aeration of different irrigation levels affects net global warming potential and carbon footprint for greenhouse tomato systems. Sci. Hortic. 2018, 242, 10–19. [Google Scholar] [CrossRef]
- Taylor, A.E.; Mellbye, B.L. Differential responses of the catalytic efficiency of ammonia and nitrite oxidation to changes in temperature. Front. Microbiol. 2022, 13, 817986. [Google Scholar] [CrossRef] [PubMed]
- Sun, S.X.; Tao, R.; Yang, S.L.; Mao, H.M.; Bi, Y.F. Correlation study between the content of alfalfa FAN cellulose and in vitro digestibility. Southwest J. Agric. 2012, 25, 2356–2359. [Google Scholar]
- Chen, H.; Shang, Z.; Cai, H.; Zhu, Y. Response of soil N2O emissions to soil microbe and enzyme activities with aeration at two irrigation levels in greenhouse tomato (Lycopersicon esculentum mill.) fields. Atmosphere 2019, 10, 72. [Google Scholar] [CrossRef]
- Mumford, M.T.; Rowlings, D.W.; Scheer, C.; De Rosa, D.; Grace, P.R. Effect of irrigation scheduling on nitrous oxide emissions in intensively managed pastures. Agric. Ecosyst. Environ. 2019, 272, 126–134. [Google Scholar] [CrossRef]
- Arriero, S.S.; Almeida, W.F.; Paz, V.P.; Damasceno, L.F. Yield of eggplant using low quality water and pulse drip irrigation. Rev. Bras. Eng. Agríc. Ambient. 2020, 24, 822–826. [Google Scholar] [CrossRef]
- Wang, H.; Yan, Z.; Ju, X.; Song, X.; Zhang, J.; Li, S.; Zhu-Barker, X. Quantifying nitrous oxide production rates from nitrification and denitrification under various moisture conditions in agricultural soils: Laboratory study and literature synthesis. Front. Microbiol. 2023, 13, 1110151. [Google Scholar] [CrossRef]
- Krichels, A.H.; Jenerette, G.D.; Shulman, H.; Piper, S.; Greene, A.C.; Andrews, H.M.; Botthoff, J.; Sickman, J.O.; Aronson, E.L.; Homyak, P.M. Bacterial denitrification drives elevated N2O emissions in arid southern california drylands. Sci. Adv. 2023, 9, 1989. [Google Scholar] [CrossRef] [PubMed]
- Şenbayram, M.; Chen, R.; Budai, A.; Bakken, L.R.; Dittert, K. N2O emission and the N2O/(N2O+N2) product ratio of denitrification as controlled by available carbon substrates and nitrate concentrations. Agric. Ecosyst. Environ. 2012, 147, 4–12. [Google Scholar] [CrossRef]
- Wang, W.; Guo, L.P.; Li, Y.C.; Su, M.; Lin, Y.B.; Perthuis, C.D.; Ju, X.T.; Lin, E.; Moran, D. Greenhouse gas intensity of three main crops and implications for low-carbon agriculture in China. Clim. Change 2014, 128, 57–70. [Google Scholar] [CrossRef]
- Chen, H.; Liu, J.; Zhang, A.; Chen, J.; Cheng, G.; Sun, B.; Pi, X.; Dyck, M.; Cheng, B.; Zhao, Y.; et al. Effects of straw and plastic film mulching on greenhouse gas emissions in loess plateau, China: A field study of 2 consecutive wheat-maize rotation cycles. Sci. Total Environ. 2017, 579, 814–824. [Google Scholar] [CrossRef]
- Zeng, Y.; Li, F.S. Impacts of nitrogen fertilizer substitution on greenhouse gas emission in a paddy field of South China under ridge irrigation. J. Soil Sci. Plant Nutr. 2021, 22, 837–847. [Google Scholar] [CrossRef]
- Wang, X.; Cao, B.; Zhou, Y.; Zhao, M.; Chen, Y.; Zhang, J.; Wang, J.; Liang, L. Effects of long-term controlled-release urea on soil greenhouse gas emissions in an open-field lettuce system. Plants 2024, 13, 1071. [Google Scholar] [CrossRef] [PubMed]
- Jing, J.Y.; Cong, W.F.; Bezemer, T.M. Legacies at work: Plant-soil-microbiome interactions underpinning agricultural sustainability. Trends Plant Sci. 2022, 27, 781–792. [Google Scholar] [CrossRef]
- Zhao, Z.J.; Hao, Q.J.; Tu, T.T.; Hu, M.L.; Zhang, X.Y.; Jiang, C.S. Effect of ferric-carbon micro-electrolysis on greenhouse gas emissions from constructed wetlands. Environ. Sci. 2021, 42, 3482–3493. [Google Scholar]
- Zou, J.W.; Hang, Y.; Zong, L.G.; Zheng, X.H.; Wang, Y.S. A field study on CO2, CH4 and N2O emissions from rice paddy and impact factors. J. Environ. Sci. 2003, 6, 758–764. [Google Scholar]
- Lu, J.J.; Nie, Y.F.; Wei, J.J.; Shen, H.Y.; Hua, M.X.; Xu, M.C.; Wang, Y.L. Effects of different nitrogen application measures on NH3 volatilization and N2O emission from wolfberry soil. J. Agric. Sci. 2022, 41, 210–220. [Google Scholar]
- Li, M.W.; Zhu, Q.H.; Liu, H.; Xia, X.M.; Huang, D.Y. Method for detecting soil total nitrogen contents based on pyrolysis and artificial olfaction. Int. J. Agric. Biol. Eng. 2022, 15, 167–176. [Google Scholar] [CrossRef]










| Year | M | N | B | M × N | M × B | N × B | M × N × B |
|---|---|---|---|---|---|---|---|
| 2023 | ** | ** | ** | ** | * | ns | ** |
| 2024 | ** | ** | ** | ** | ns | ** | * |
| Year | M | N | B | M × N | M × B | N × B | M × N × B |
|---|---|---|---|---|---|---|---|
| 2023 | ** | ** | ** | ns | ns | * | ns |
| 2024 | ** | ** | ** | ns | ns | ** | ns |
| Nitrogen Management | NO3−-N Content (mg·kg−1) | NH4+-N Content (mg·kg−1) | ||||
|---|---|---|---|---|---|---|
| FP | BM | PM | FP | BM | PM | |
| N0 | 5.38 ± 0.33 a | 5.81 ± 1.11 a | 6.25 ± 0.46 a | 1.64 ± 0.19 a | 1.72 ± 016 a | 1.79 ± 0.25 a |
| C1 | 8.86 ± 0.46 b | 9.35 ± 0.49 b | 10.01 ± 0.41 b | 2.36 ± 0.63 ab | 2.96 ± 0.39 ab | 3.02 ± 0.42 ab |
| C2 | 13.47 ± 0.60 d | 15.25 ± 0.75 c | 16.98 ± 1.52 c | 3.69 ± 1.66 ab | 4.21 ± 0.29 bc | 4.67 ± 0.41 c |
| C3 | 14.84 ± 0.66 e | 15.28 ± 0.71 c | 17.06 ± 0.59 c | 5.44 ± 0.23 bc | 5.67 ± 0.41 ab | 6.21 ± 0.69 d |
| U1 | 10.33 ± 0.58 c | 12.86 ± 0.61 c | 14.23 ± 0.58 c | 2.28 ± 0.98 c | 2.96 ± 0.18 d | 3.32 ± 0.36 b |
| U2 | 14.21 ± 0.45 de | 16.79 ± 1.38 c | 17.22 ± 0.28 c | 3.14 ± 0.68 bc | 4.88 ± 0.63 cd | 5.08 ± 0.71 cd |
| U3 | 17.56 ± 0.75 f | 19.19 ± 0.24 d | 20.78 ± 1.47 d | 5.28 ± 0.77 c | 5.75 ± 1.34 d | 6.23 ± 0.92 d |
| M | ** | ** | ||||
| N | ** | ns | ||||
| B | ** | ** | ||||
| M × N | * | * | ||||
| M × B | ns | ns | ||||
| N × B | ** | ns | ||||
| M × N × B | ns | ns | ||||
| Ingredient | Factor Load | ||
|---|---|---|---|
| Principal Component 1 | Principal Component 2 | Principal Component 3 | |
| T | 0.486 | 0.060 | 0.720 |
| W | 0.453 | 0.415 | −0.324 |
| Y | 0.262 | 0.756 | 0.498 |
| N | 0.621 | 0.512 | −0.426 |
| A | 0.585 | 0.516 | −0.378 |
| E | 0.674 | −0.729 | −0.100 |
| GWP | 0.674 | −0.729 | −0.100 |
| GHGI | 0.890 | −0.059 | 0.324 |
| Eigenvalue | 2.938 | 2.342 | 1.320 |
| Variance contribution rate/% | 36.723 | 29.28 | 16.498 |
| Cumulative contribution rate/% | 36.723 | 66.003 | 82.502 |
| Cropping Patterns | Nitrogen Fertilizer Management | ||
|---|---|---|---|
| Nitrogen Fertilizer Types | Nitrogen Application Levels (kg·hm−2) | Application Rate Between First, Second and Third Crops | |
| Flat planting without mulching (FP) | Urea (U) | 80 | 6:2:2 |
| 160 | 6:2:2 | ||
| 240 | 6:2:2 | ||
| Controlled-release nitrogen fertilizer (C) | 80 | 1:0:0 | |
| 160 | 1:0:0 | ||
| 240 | 1:0:0 | ||
| — | 0 | — | |
| Biodegradable film (BM) | Urea (U) | 80 | 6:2:2 |
| 160 | 6:2:2 | ||
| 240 | 6:2:2 | ||
| Controlled-release nitrogen fertilizer (C) | 80 | 1:0:0 | |
| 160 | 1:0:0 | ||
| 240 | 1:0:0 | ||
| — | 0 | — | |
| Plastic film (PM) | Urea (U) | 80 | 6:2:2 |
| 160 | 6:2:2 | ||
| 240 | 6:2:2 | ||
| Controlled-release nitrogen fertilizer (C) | 80 | 1:0:0 | |
| 160 | 1:0:0 | ||
| 240 | 1:0:0 | ||
| — | 0 | — | |
Disclaimer/Publisher’s Note: The statements, opinions and data contained in all publications are solely those of the individual author(s) and contributor(s) and not of MDPI and/or the editor(s). MDPI and/or the editor(s) disclaim responsibility for any injury to people or property resulting from any ideas, methods, instructions or products referred to in the content. |
© 2025 by the authors. Licensee MDPI, Basel, Switzerland. This article is an open access article distributed under the terms and conditions of the Creative Commons Attribution (CC BY) license (https://creativecommons.org/licenses/by/4.0/).
Share and Cite
Chang, W.; Li, H.; Duan, Y.; Ling, Y.; Lu, J.; Yin, M.; Ma, Y.; Kang, Y.; Wang, Y.; Qi, G.; et al. Yield Increase and Emission Reduction Effects of Alfalfa in the Yellow River Irrigation District of Gansu Province: The Coupling Mechanism of Biodegradable Mulch and Controlled-Release Nitrogen Fertilizer. Plants 2025, 14, 2022. https://doi.org/10.3390/plants14132022
Chang W, Li H, Duan Y, Ling Y, Lu J, Yin M, Ma Y, Kang Y, Wang Y, Qi G, et al. Yield Increase and Emission Reduction Effects of Alfalfa in the Yellow River Irrigation District of Gansu Province: The Coupling Mechanism of Biodegradable Mulch and Controlled-Release Nitrogen Fertilizer. Plants. 2025; 14(13):2022. https://doi.org/10.3390/plants14132022
Chicago/Turabian StyleChang, Wenjing, Haiyan Li, Yaya Duan, Yi Ling, Jiandong Lu, Minhua Yin, Yanlin Ma, Yanxia Kang, Yayu Wang, Guangping Qi, and et al. 2025. "Yield Increase and Emission Reduction Effects of Alfalfa in the Yellow River Irrigation District of Gansu Province: The Coupling Mechanism of Biodegradable Mulch and Controlled-Release Nitrogen Fertilizer" Plants 14, no. 13: 2022. https://doi.org/10.3390/plants14132022
APA StyleChang, W., Li, H., Duan, Y., Ling, Y., Lu, J., Yin, M., Ma, Y., Kang, Y., Wang, Y., Qi, G., & Wang, J. (2025). Yield Increase and Emission Reduction Effects of Alfalfa in the Yellow River Irrigation District of Gansu Province: The Coupling Mechanism of Biodegradable Mulch and Controlled-Release Nitrogen Fertilizer. Plants, 14(13), 2022. https://doi.org/10.3390/plants14132022

