Interactive Effect of Microplastics and Fungal Pathogen Rhizoctonia solani on Antioxidative Mechanism and Fluorescence Activity of Invasive Species Solidago canadensis
Abstract
1. Introduction
2. Results
2.1. Morphological and Leaf Responses of Solidago Canadensis to Microplastics and a Pathogen
2.2. Fluorescence and Leaf Greenness of Solidago Canadensis Under Biotic and Abiotic Stressors
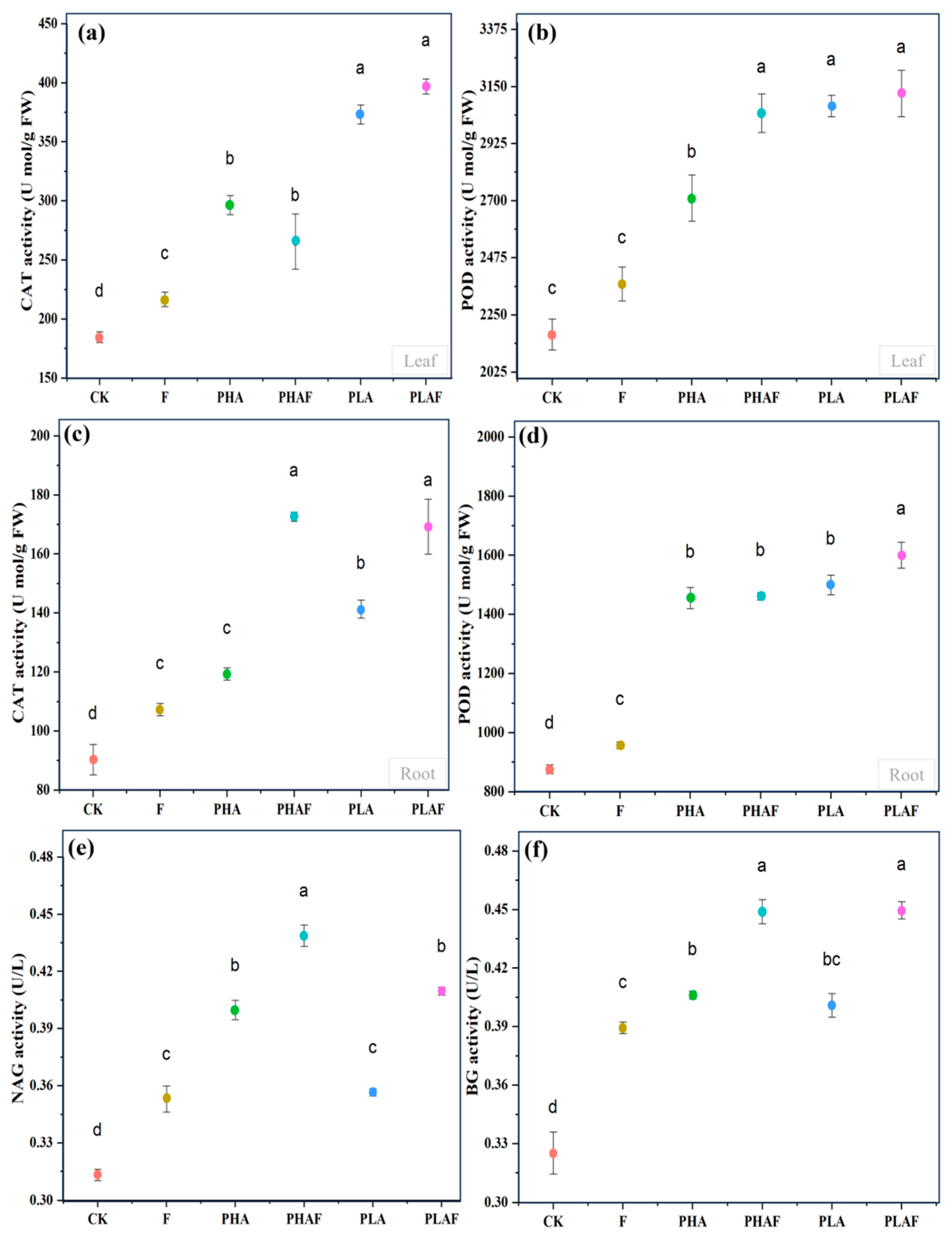
2.3. Impact of Microplastics and a Pathogen on the Antioxidative and Extracellular Enzyme Activity of Solidago canadensis
2.4. Biomass and Root-to-Shoot Ratio of Solidago canadensis Under Both Stressors
2.5. Relationship of Response Variables and Contribution to the Biomass of Solidago canadensis
3. Discussion
4. Materials and Methods
5. Conclusions
Author Contributions
Funding
Data Availability Statement
Acknowledgments
Conflicts of Interest
Abbreviations
| NAG | β-N-acetylglucosaminidase |
| BG | β-glucosidase |
| F | Rhizoctonia solani fungus |
| M | Microplastic |
| PHAs | Polyhydroxyalkanoates |
| PLA | Polylactic acid |
| CAT | Catalase activity |
| POD | Peroxidase activity |
References
- Bouaicha, O.; Maver, M.; Mimmo, T.; Cesco, S.; Borruso, L. Microplastic influences the ménage à trois among the plant, a fungal pathogen, and a plant growth-promoting fungal species. Ecotoxicol. Environ. Saf. 2024, 279, 116518. [Google Scholar] [CrossRef]
- Dąbrowska, G.B.; Garstecka, Z.; Olewnik-Kruszkowska, E.; Szczepańska, G.; Ostrowski, M.; Mierek-Adamska, A. Comparative study of structural changes of polylactide and poly(ethylene terephthalate) in the presence of Trichoderma viride. Int. J. Mol. Sci. 2021, 22, 3491. [Google Scholar] [CrossRef]
- Wu, X.; Zhang, Z.; Guo, X. A systematic review of the mechanisms underlying the interactions between microplastics and microorganisms in the environment. TrAC Trends Anal. Chem. 2024, 172, 117543. [Google Scholar] [CrossRef]
- Liu, X.; Ahmad, S.; Ma, J.; Wang, D.; Tang, J. Comparative study on the toxic effects of secondary nanoplastics from biodegradable and conventional plastics on Streptomyces coelicolor M145. J. Hazard. Mater. 2023, 460, 132343. [Google Scholar] [CrossRef] [PubMed]
- Baihetiyaer, B.; Jiang, N.; Li, X.; He, B.; Wang, J.; Fan, X.; Sun, H.; Yin, X. Oxidative stress and gene expression induced by biodegradable microplastics and imidacloprid in earthworms (Eisenia fetida) at environmentally relevant concentrations. Environ. Pollut. 2023, 323, 121285. [Google Scholar] [CrossRef] [PubMed]
- Dokl, M.; Copot, A.; Krajnc, D.; Van Fan, Y.; Vujanović, A.; Aviso, K.B.; Tan, R.R.; Kravanja, Z.; Čuček, L. Global projections of plastic use, end-of-life fate and potential changes in consumption, reduction, recycling and replacement with bioplastics to 2050. Sustain. Prod. Consum. 2024, 51, 498–518. [Google Scholar] [CrossRef]
- Geyer, R.; Jambeck, J.R.; Law, K.L. Production, use, and fate of all plastics ever made. Sci. Adv. 2017, 3, e1700782. [Google Scholar] [CrossRef]
- North, E.J.; Halden, R.U. Plastics and environmental health: The road ahead. Rev. Environ. Health 2013, 28, 1–8. [Google Scholar] [CrossRef]
- Liu, M.; Lu, S.; Song, Y.; Lei, L.; Hu, J.; Lv, W.; Zhou, W.; Cao, C.; Shi, H.; Yang, X.; et al. Microplastic and mesoplastic pollution in farmland soils in suburbs of Shanghai, China. Environ. Pollut. 2018, 242, 855–862. [Google Scholar] [CrossRef]
- Sun, H.; Shi, Y.; Zhao, P.; Long, G.; Li, C.; Wang, J.; Qiu, D.; Lu, C.; Ding, Y.; Liu, L.; et al. Effects of polyethylene and biodegradable microplastics on photosynthesis, antioxidant defense systems, and arsenic accumulation in maize (Zea mays L.) seedlings grown in arsenic-contaminated soils. Sci. Total Environ. 2023, 868, 161557. [Google Scholar] [CrossRef]
- Tong, H.; Zhong, X.; Duan, Z.; Yi, X.; Cheng, F.; Xu, W.; Yang, X. Micro- and nanoplastics released from biodegradable and conventional plastics during degradation: Formation, aging factors, and toxicity. Sci. Total Environ. 2022, 833, 155275. [Google Scholar] [CrossRef] [PubMed]
- Krehl, A.; Schöllkopf, U.; Májeková, M.; Tielbörger, K.; Tomiolo, S. Effects of plastic fragments on plant performance are mediated by soil properties and drought. Sci. Rep. 2022, 12, 17771. [Google Scholar] [CrossRef] [PubMed]
- de Souza Machado, A.A.; Kloas, W.; Zarfl, C.; Hempel, S.; Rillig, M.C. Microplastics as an emerging threat to terrestrial ecosystems. Glob. Change Biol. 2018, 24, 1405–1416. [Google Scholar] [CrossRef] [PubMed]
- Fu, Y.; van Kleunen, M.; Ma, K.; Liu, Y. The more microplastic types pollute the soil, the stronger the growth suppression of invasive alien and native plants. J. Ecol. 2024, 112, 1444–1457. [Google Scholar] [CrossRef]
- Cincinelli, A.; Scopetani, C.; Chelazzi, D.; Lombardini, E.; Martellini, T.; Katsoyiannis, A.; Fossi, M.C.; Corsolini, S. Microplastic in the surface waters of the Ross Sea (Antarctica): Occurrence, distribution and characterization by FTIR. Chemosphere 2017, 175, 391–400. [Google Scholar] [CrossRef]
- Li, R.; Tao, J.; Huang, D.; Zhou, W.; Gao, L.; Wang, X.; Chen, H.; Huang, H. Investigating the effects of biodegradable microplastics and copper ions on probiotic (Bacillus amyloliquefaciens): Toxicity and application. J. Hazard. Mater. 2023, 443, 130081. [Google Scholar] [CrossRef]
- Weinstein, J.E.; Dekle, J.L.; Leads, R.R.; Hunter, R.A. Degradation of bio-based and biodegradable plastics in a salt marsh habitat: Another potential source of microplastics in coastal waters. Mar. Pollut. Bull. 2020, 160, 111518. [Google Scholar] [CrossRef]
- Rillig, M.C. Plastic and plants. Nat. Sustain. 2020, 3, 887–888. [Google Scholar] [CrossRef]
- Banerjee, A.; Shelver, W.L. Micro- and nanoplastic induced cellular toxicity in mammals: A review. Sci. Total Environ. 2021, 755, 142518. [Google Scholar] [CrossRef]
- Kumar, R.; Ivy, N.; Bhattacharya, S.; Dey, A.; Sharma, P. Coupled effects of microplastics and heavy metals on plants: Uptake, bioaccumulation, and environmental health perspectives. Sci. Total Environ. 2022, 836, 155619. [Google Scholar] [CrossRef]
- Shi, R.; Liu, W.; Lian, Y.; Wang, Q.; Zeb, A.; Tang, J. Phytotoxicity of polystyrene, polyethylene, and polypropylene microplastics on tomato (Lycopersicon esculentum L.). J. Environ. Manag. 2022, 317, 115441. [Google Scholar] [CrossRef]
- Suman, T.Y.; Jia, P.P.; Li, W.G.; Junaid, M.; Xin, G.Y.; Wang, Y.; Pei, D.S. Acute and chronic effects of polystyrene microplastics on brine shrimp: First evidence highlighting the molecular mechanism through transcriptome analysis. J. Hazard. Mater. 2020, 400, 123220. [Google Scholar] [CrossRef]
- Wang, X.; Jia, Z.; Zhou, X.; Su, L.; Wang, M.; Wang, T.; Zhang, H. Nanoplastic-induced vascular endothelial injury and coagulation dysfunction in mice. Sci. Total Environ. 2023, 865, 161271. [Google Scholar] [CrossRef] [PubMed]
- Leslie, H.A.; van Velzen, M.J.M.; Brandsma, S.H.; Vethaak, A.D.; Garcia-Vallejo, J.J.; Lamoree, M.H. Discovery and quantification of plastic particle pollution in human blood. Environ. Int. 2022, 163, 107199. [Google Scholar] [CrossRef] [PubMed]
- Ragusa, A.; Notarstefano, V.; Svelato, A.; Belloni, A.; Gioacchini, G.; Blondeel, C.; Zucchelli, E.; De Luca, C.; D’Avino, S.; Gulotta, A.; et al. Raman microspectroscopy detection and characterisation of microplastics in human breastmilk. Polymers 2022, 14, 2700. [Google Scholar] [CrossRef]
- Kim, S.W.; Rillig, M.C. Research trends of microplastics in the soil environment: Comprehensive screening of effects. Soil. Ecol. Lett. 2022, 4, 109–118. [Google Scholar] [CrossRef]
- Lehmann, A.; Fitschen, K.; Rillig, M.C. Abiotic and biotic factors influencing the effect of microplastic on soil aggregation. Soil. Syst. 2019, 3, 21. [Google Scholar] [CrossRef]
- Xu, Y.; Liu, J.; Liu, X.; Li, H.; Yang, Z.; Wang, H.; Huang, X.; Lan, L.; An, Y.; Li, L.; et al. Continuous cropping of alfalfa (Medicago sativa L.) reduces bacterial diversity and simplifies co-occurrence networks in aeolian sandy soil. Soil. Ecol. Lett. 2022, 4, 131–143. [Google Scholar] [CrossRef]
- Anas, M.; Khan, I.U.; Alomrani, S.O.; Nawaz, M.; Huang, Z.Y.; Alshehri, M.A.; Al-Ghanim, K.A.; Qi, S.S.; Li, J.; Dai, Z.C.; et al. Evaluating Sorghum bicolor resistance to Solidago canadensis invasion under different nitrogen scenarios. Front. Plant Sci. 2024, 15, 1468816. [Google Scholar] [CrossRef]
- Kato-Noguchi, H.; Kato, M. Allelopathy and allelochemicals of Solidago canadensis L. and S. altissima L. for their naturalization. Plants 2022, 11, 3235. [Google Scholar] [CrossRef]
- Wang, C.; Wu, B.; Jiang, K. Allelopathic effects of Canada goldenrod leaf extracts on the seed germination and seedling growth of lettuce reinforced under salt stress. Ecotoxicology 2019, 28, 103–116. [Google Scholar] [CrossRef] [PubMed]
- Zhang, S.; Jin, Y.; Tang, J.; Chen, X. The invasive plant Solidago canadensis L. suppresses local soil pathogens through allelopathy. Appl. Soil Ecol. 2009, 41, 215–222. [Google Scholar] [CrossRef]
- Khan, I.; Tariq, M.; Alabbosh, K.F.; Rehman, A.; Jalal, A.; Khan, A.A.; Farooq, M.; Li, G.; Iqbal, B.; Ahmad, N.; et al. Soil microplastics: Impacts on greenhouse gases emissions, carbon cycling, microbial diversity, and soil characteristics. Appl. Soil. Ecol. 2024, 197, 105343. [Google Scholar] [CrossRef]
- Ren, G.Q.; Zou, C.B.; Wan, L.Y.; Johnson, J.H.; Li, J.; Zhu, L.; Qi, S.S.; Dai, Z.C.; Zhang, H.Y.; Du, D.L. Interactive effect of climate warming and nitrogen deposition may shift the dynamics of native and invasive species. J. Plant Ecol. 2021, 14, 84–95. [Google Scholar] [CrossRef]
- Anas, M.; Riaz, M.; Yan, M.-T.; Liu, Y.-F.; Li, Y.; Qi, S.-S.; Dai, Z.-C.; Du, D.-L. Microplastics, invasive species and fungal stressors modulate antioxidative mechanisms, rhizosphere enzymes and microbial dynamics in alfalfa. Plant Stress 2025, 17, 100901. [Google Scholar] [CrossRef]
- Teng, L.; Zhu, Y.; Li, H.; Song, X.; Shi, L. The phytotoxicity of microplastics to the photosynthetic performance and transcriptome profiling of Nicotiana tabacum seedlings. Ecotoxicol. Environ. Saf. 2022, 231, 113155. [Google Scholar] [CrossRef]
- Farquhar, G.D.; Sharkey, T.D. Stomatal conductance and photosynthesis. Annu. Rev. Plant Physiol. 1982, 33, 317–345. [Google Scholar] [CrossRef]
- Shi, X.; Yang, G.; Zheng, Y. Effects of Microplastics, Fertilization and Pesticides on Alien and Native Plants. Plants 2024, 13, 2947. [Google Scholar] [CrossRef]
- Omidoyin, K.C.; Jho, E.H. Effect of microplastics on soil microbial community and microbial degradation of microplastics in soil: A review. Environ. Eng. Res. 2023, 28, 220716. [Google Scholar] [CrossRef]
- Sephton-Clark, P.C.S.; Voelz, K. Spore germination of pathogenic filamentous fungi. In Advances in Applied Microbiology; Academic Press: Cambridge, MA, USA, 2018; Volume 103, pp. 117–157. [Google Scholar] [CrossRef]
- Costa, O.Y.A.; Raaijmakers, J.M.; Kuramae, E.E. Microbial extracellular polymeric substances: Ecological function and impact on soil aggregation. Front. Microbiol. 2018, 9, 1636. [Google Scholar] [CrossRef]
- Gkoutselis, G.; Rohrbach, S.; Harjes, J.; Obst, M.; Brachmann, A.; Horn, M.A.; Rambold, G. Microplastics accumulate fungal pathogens in terrestrial ecosystems. Sci. Rep. 2021, 11, 13214. [Google Scholar] [CrossRef] [PubMed]
- Ghosh, S.; Kanwar, P.; Jha, G. Alterations in rice chloroplast integrity, photosynthesis and metabolome associated with pathogenesis of Rhizoctonia solani. Sci. Rep. 2017, 7, 41610. [Google Scholar] [CrossRef] [PubMed]
- Fei, Y.; Huang, S.; Zhang, H.; Tong, Y.; Wen, D.; Xia, X.; Wang, H.; Luo, Y.; Barceló, D. Response of soil enzyme activities and bacterial communities to the accumulation of microplastics in an acid cropped soil. Sci. Total Environ. 2020, 707, 135634. [Google Scholar] [CrossRef] [PubMed]
- Huang, Y.; Zhao, Y.; Wang, J.; Zhang, M.; Jia, W.; Qin, X. LDPE microplastic films alter microbial community composition and enzymatic activities in soil. Environ. Pollut. 2019, 254, 112983. [Google Scholar] [CrossRef]
- Ma, J.; Xu, M.; Wu, J.; Yang, G.; Zhang, X.; Song, C.; Long, L.; Chen, C.; Xu, C.; Wang, Y. Effects of variable-sized polyethylene microplastics on soil chemical properties and functions and microbial communities in purple soil. Sci. Total Environ. 2023, 868, 161642. [Google Scholar] [CrossRef]
- Zong, X.; Zhang, J.; Zhu, J.; Zhang, L.; Jiang, L.; Yin, Y.; Guo, H. Effects of polystyrene microplastic on uptake and toxicity of copper and cadmium in hydroponic wheat seedlings (Triticum aestivum L.). Ecotoxicol. Environ. Saf. 2021, 217, 112217. [Google Scholar] [CrossRef]
- Li, N.; Wang, K.; Lv, Y.; Zhang, Z.; Cao, B.; Chen, Z.; Xu, K. Silicon enhanced the resistance of Chinese cabbage (Brassica rapa L. ssp. pekinensis) to ofloxacin on the growth, photosynthetic characteristics and antioxidant system. Plant Physiol. Biochem. 2022, 175, 44–57. [Google Scholar] [CrossRef]
- Lin, D.; Yang, G.; Dou, P.; Qian, S.; Zhao, L.; Yang, Y.; Fanin, N. Microplastics negatively affect soil fauna but stimulate microbial activity: Insights from a field-based microplastic addition experiment. Proc. R. Soc. B 2020, 287, 20201268. [Google Scholar] [CrossRef]
- Yu, H.; Liu, M.; Gang, D.; Peng, J.; Hu, C.; Qu, J. Polyethylene microplastics interfere with the nutrient cycle in water-plant-sediment systems. Water Res. 2022, 214, 118191. [Google Scholar] [CrossRef]
- Bergmann, J.; Weigelt, A.; van der Plas, F.; Laughlin, D.C.; Kuyper, T.W.; Guerrero-Ramirez, N.; Valverde-Barrantes, O.J.; Bruelheide, H.; Freschet, G.T.; Iversen, C.M.; et al. The fungal collaboration gradient dominates the root economics space in plants. Sci. Adv. 2020, 6, eaba3756. [Google Scholar] [CrossRef]
- Eghball, B.; Maranville, J.W. Root development and nitrogen influx of corn genotypes grown under combined drought and nitrogen stresses. Agron. J. 1993, 85, 147–152. [Google Scholar] [CrossRef]
- Iqbal, B.; Zhao, T.; Yin, W.; Zhao, X.; Xie, Q.; Khan, K.Y.; Zhao, X.; Nazar, M.; Li, G.; Du, D. Impacts of soil microplastics on crops: A review. Appl. Soil Ecol. 2023, 181, 104680. [Google Scholar] [CrossRef]
- Li, H.-Q.; Lv, J.-P.; Jia, Y.-H.; Liu, J.; Liang, Q.; Zhou, J.; Yang, A.-Z.; Yan, T.; Yang, Y.-P.; Duan, G.-L. Conventional and biodegradable microplastics affected arsenic mobility and methylation in paddy soils through distinct chemical-microbial pathways. J. Hazard. Mater. 2025, 481, 136533. [Google Scholar] [CrossRef]
- Li, G.; Tang, Y.; Lou, J.; Wang, Y.; Yin, S.; Li, L.; Iqbal, B.; Lozano, Y.M.; Zhao, T.; Du, D. The promoting effects of soil microplastics on alien plant invasion depend on microplastic shape and concentration. Sci. Total Environ. 2024, 926, 172089. [Google Scholar] [CrossRef] [PubMed]
- Zhang, Y.-F.; Huang, Z.-Y.; Li, Y.-F.; Lu, X.-L.; Li, G.-R.; Qi, S.-S.; Khan, I.U.; Li, G.-L.; Dai, Z.-C.; Du, D.-L. The degradability of microplastics may not necessarily equate to environmental friendliness: A case study of cucumber seedlings with disturbed photosynthesis. Agriculture 2023, 14, 53. [Google Scholar] [CrossRef]
- Kama, R.; Javed, Q.; Liu, Y.; Li, Z.; Iqbal, B.; Diatta, S.; Sun, J. Effect of Soil Type on Native Pterocypsela laciniata Performance under Single Invasion and Co-Invasion. Life 2022, 12, 1898. [Google Scholar] [CrossRef]
- Jiang, W.; Jiang, S. Evolution of Regulations Controlling Human Pressure in Protected Areas of China. Sustainability 2023, 15, 4469. [Google Scholar] [CrossRef]
- Zhang, T.; Luo, X.-S.; Xu, J.; Yao, X.; Fan, J.; Mao, Y.; Song, Y.; Yang, J.; Pan, J.; Khattak, W.A. Dry-wet cycle changes the influence of microplastics (MPs) on the antioxidant activity of lettuce and the rhizospheric bacterial community. J. Soils Sediments 2023, 23, 2189–2201. [Google Scholar] [CrossRef]
- Fuller, S.; Gautam, A. A Procedure for Measuring Microplastics using Pressurized Fluid Extraction. Environ. Sci. Technol. 2016, 50, 5774–5780. [Google Scholar] [CrossRef]
- Jambeck, J.R.; Geyer, R.; Wilcox, C.; Siegler, T.R.; Perryman, M.; Andrady, A.; Narayan, R.; Law, K.L. Plastic waste inputs from land into the ocean. Science 2015, 347, 768–771. [Google Scholar] [CrossRef]
- Scheurer, M.; Bigalke, M. Microplastics in Swiss Floodplain Soils. Environ. Sci. Technol. 2018, 52, 3591–3598. [Google Scholar] [CrossRef]
- Ajayi-Oyetunde, O.O.; Bradley, C.A. Rhizoctonia solani: Taxonomy, population biology and management of rhizoctonia seedling disease of soybean. Plant Pathol. 2018, 67, 3–17. [Google Scholar] [CrossRef]
- Fang, X.; Finnegan, P.M.; Barbetti, M.J. Wide variation in virulence and genetic diversity of binucleate Rhizoctonia isolates associated with root rot of strawberry in Western Australia. PLoS ONE 2013, 8, e55877. [Google Scholar] [CrossRef]
- Akber, M.A.; Chu, S.; Fang, X. Development of an Assessment Method for Host Resistance of Alfalfa to Root Rot Caused by Rhizoctonia solani. Grass Forage Sci. 2025, 80, e12724. [Google Scholar] [CrossRef]
- Anas, M.; Verma, K.K.; Riaz, M.; Qiang, L.; Liao, F.; Liu, Y.; Li, Y.R. Physio-morphological and biochemical mechanism of nitrogen use efficiency in sugarcane (Saccharum spp.) genotypes under different growth stages and nitrogen levels. J. Plant Interact. 2021, 16, 332–343. [Google Scholar] [CrossRef]
- Gan, Z.; Hu, X.; Xu, X.; Zhang, W.; Zou, X.; Shi, J.; Zheng, K.; Arslan, M. A portable test strip based on fluorescent europium-based metal-organic framework for rapid and visual detection of tetracycline in food samples. Food Chem. 2021, 354, 129501. [Google Scholar] [CrossRef] [PubMed]
- Khan, I.U.; Zhang, Y.F.; Shi, X.N.; Qi, S.S.; Zhang, H.Y.; Du, D.L.; Gul, F.; Wang, J.H.; Naz, M.; Shah, S.W.A.; et al. Dose dependent effect of nitrogen on the phyto extractability of Cd in metal contaminated soil using Wedelia trilobata. Ecotoxicol. Environ. Saf. 2023, 264, 115419. [Google Scholar] [CrossRef]
- Gul, F.; Khan, I.U.; Rutherford, S.; Dai, Z.C.; Li, G.; Du, D.L. Plant growth promoting rhizobacteria and biochar production from Parthenium hysterophorus enhance seed germination and productivity in barley under drought stress. Front. Plant Sci. 2023, 14, 1175097. [Google Scholar] [CrossRef]
- Khattak, W.A.; He, J.; Abdalmegeed, D.; Hu, W.; Wang, Y.; Zhou, Z. Foliar melatonin stimulates cotton boll distribution characteristics by modifying leaf sugar metabolism and antioxidant activities during drought conditions. Physiol. Plant. 2022, 174, e13526. [Google Scholar] [CrossRef]
- Sainju, U.M.; Liptzin, D.; Dangi, S.M. Enzyme activities as soil health indicators in relation to soil characteristics and crop production. Agroecosyst. Geosci. Environ. 2022, 5, e20297. [Google Scholar] [CrossRef]
- Yamazaki, A.; Tomo, Y.; Eto, H.; Tanegashima, K.; Edamura, K. A pilot study of microRNA assessment as a means to identify novel biomarkers of spontaneous osteoarthritis in dogs. Sci. Rep. 2022, 12, 18152. [Google Scholar] [CrossRef] [PubMed]





| Treatment | Plant Height (cm) | Number of Leaves | Leaf Area (cm2) | SLA (cm2/g) | Nitrogen (mg/g) | Relative Chlorophyll | Relative Flavanols |
|---|---|---|---|---|---|---|---|
| CK | 18.86 ± 0.38 a | 30 ± 0.55 a | 3.98 ± 0.03 a | 0.36 ± 0.01 d | 2.53 ± 0.27 a | 0.33 ± 0.02 a | 0.073 ± 0.01 a |
| F | 18.17 ± 0.21 b | 29 ± 0.45 a | 3.77 ± 0.10 a | 0.42 ± 0.01 cd | 2.37 ± 0.05 ab | 0.28 ± 0.01 ab | 0.036 ± 0.00 b |
| PHA | 8.53 ± 0.14 c | 15 ± 0.52 b | 3.20 ± 0.10 b | 0.54 ± 0.03 b | 2.3 ± 0.06 bc | 0.26 ± 0.01 b | 0.033 ± 0.01 b |
| PHAF | 7.83 ± 0.06 d | 13 ± 0.63 c | 3.03 ± 0.19 b | 0.45 ± 0.01 c | 2.3 ± 0.09 bc | 0.27 ± 0.02 b | 0.027 ± 0.01 b |
| PLA | 6.30 ± 0.08 e | 13 ± 0.52 c | 2.34 ± 0.18 c | 0.65 ± 0.03 a | 2.13 ± 0.05 cd | 0.27 ± 0.01 b | 0.027 ± 0.01 b |
| PLAF | 6.13 ± 0.05 e | 12 ± 0.52 c | 1.84 ± 0.15 c | 0.55 ± 0.01 b | 2.07 ± 0.05 d | 0.24 ± 0.01 b | 0.23 ± 0.01 b |
| Treatment | Root Length (m) | Shoot Weight (g) | Root Weight (g) | Root/Shoot | Plant Weight (g) |
|---|---|---|---|---|---|
| CK | 2.82 ± 0.03 a | 0.39 ± 0.01 a | 0.04 ± 0.0 a | 0.10 ± 0.0 c | 0.43 ± 0.01 a |
| F | 2.42 ± 0.07 b | 0.23 ± 0.01 b | 0.03 ± 0.0 b | 0.14 ± 0.0 bc | 0.26 ± 0.01 b |
| PHA | 2.22 ± 0.06 c | 0.14 ± 0.02 cd | 0.03 ± 0.0 bc | 0.21 ± 0.02 a | 0.17 ± 0.02 cd |
| PHAF | 2.04 ± 0.04 c | 0.11 ± 0.01 d | 0.02 ± 0.01 d | 0.21 ± 0.04 a | 0.14 ± 0.01 d |
| PLA | 1.79 ± 0.06 d | 0.19 ± 0.02 bc | 0.03 ± 0.0 c | 0.15 ± 0.02 bc | 0.22 ± 0.02 c |
| PLAF | 1.57 ± 0.03 e | 0.12 ± 0.01 d | 0.02 ± 0.0 e | 0.16 ± 0.01 b | 0.13 ± 0.01 d |
Disclaimer/Publisher’s Note: The statements, opinions and data contained in all publications are solely those of the individual author(s) and contributor(s) and not of MDPI and/or the editor(s). MDPI and/or the editor(s) disclaim responsibility for any injury to people or property resulting from any ideas, methods, instructions or products referred to in the content. |
© 2025 by the authors. Licensee MDPI, Basel, Switzerland. This article is an open access article distributed under the terms and conditions of the Creative Commons Attribution (CC BY) license (https://creativecommons.org/licenses/by/4.0/).
Share and Cite
Anas, M.; Khan, I.U.; Zhang, R.-K.; Qi, S.-S.; Dai, Z.-C.; Du, D.-L. Interactive Effect of Microplastics and Fungal Pathogen Rhizoctonia solani on Antioxidative Mechanism and Fluorescence Activity of Invasive Species Solidago canadensis. Plants 2025, 14, 1972. https://doi.org/10.3390/plants14131972
Anas M, Khan IU, Zhang R-K, Qi S-S, Dai Z-C, Du D-L. Interactive Effect of Microplastics and Fungal Pathogen Rhizoctonia solani on Antioxidative Mechanism and Fluorescence Activity of Invasive Species Solidago canadensis. Plants. 2025; 14(13):1972. https://doi.org/10.3390/plants14131972
Chicago/Turabian StyleAnas, Muhammad, Irfan Ullah Khan, Rui-Ke Zhang, Shan-Shan Qi, Zhi-Cong Dai, and Dao-Lin Du. 2025. "Interactive Effect of Microplastics and Fungal Pathogen Rhizoctonia solani on Antioxidative Mechanism and Fluorescence Activity of Invasive Species Solidago canadensis" Plants 14, no. 13: 1972. https://doi.org/10.3390/plants14131972
APA StyleAnas, M., Khan, I. U., Zhang, R.-K., Qi, S.-S., Dai, Z.-C., & Du, D.-L. (2025). Interactive Effect of Microplastics and Fungal Pathogen Rhizoctonia solani on Antioxidative Mechanism and Fluorescence Activity of Invasive Species Solidago canadensis. Plants, 14(13), 1972. https://doi.org/10.3390/plants14131972

