Genome-Wide Identification of GAST Family Members and Their Potential Roles in Epicotyl Dormancy in Chinese Cork Oak (Quercus variabilis)
Abstract
1. Introduction
2. Materials and Methods
2.1. Plant Material
2.2. Exogenous Treatments of Different Plant Growth Regulators
2.3. Physicochemical Property Analysis of QvGAST Gene Family Members
2.3.1. Identification of QvGAST Genes
2.3.2. Evolutionary Analysis of QvGAST Gene Family
2.3.3. Gene Structure and Protein Motif Analysis of QvGASTs
2.3.4. Cis-Element Analysis of the Promoters of QvGASTs
2.4. RNA Extraction
2.5. Gene Expression Analysis
2.6. Tissue-Specific Expression of QvGAST Genes
3. Results
3.1. Genome-Wide Identification of QvGAST Genes
3.2. Evolutionary Analysis of QvGAST Gene Family
3.3. Gene Structure and Protein Motif Analysis of QvGAST Genes
3.4. Cis-Acting Element Analysis of QvGAST Genes
3.5. Tissue-Specific Expression of QvGAST Genes
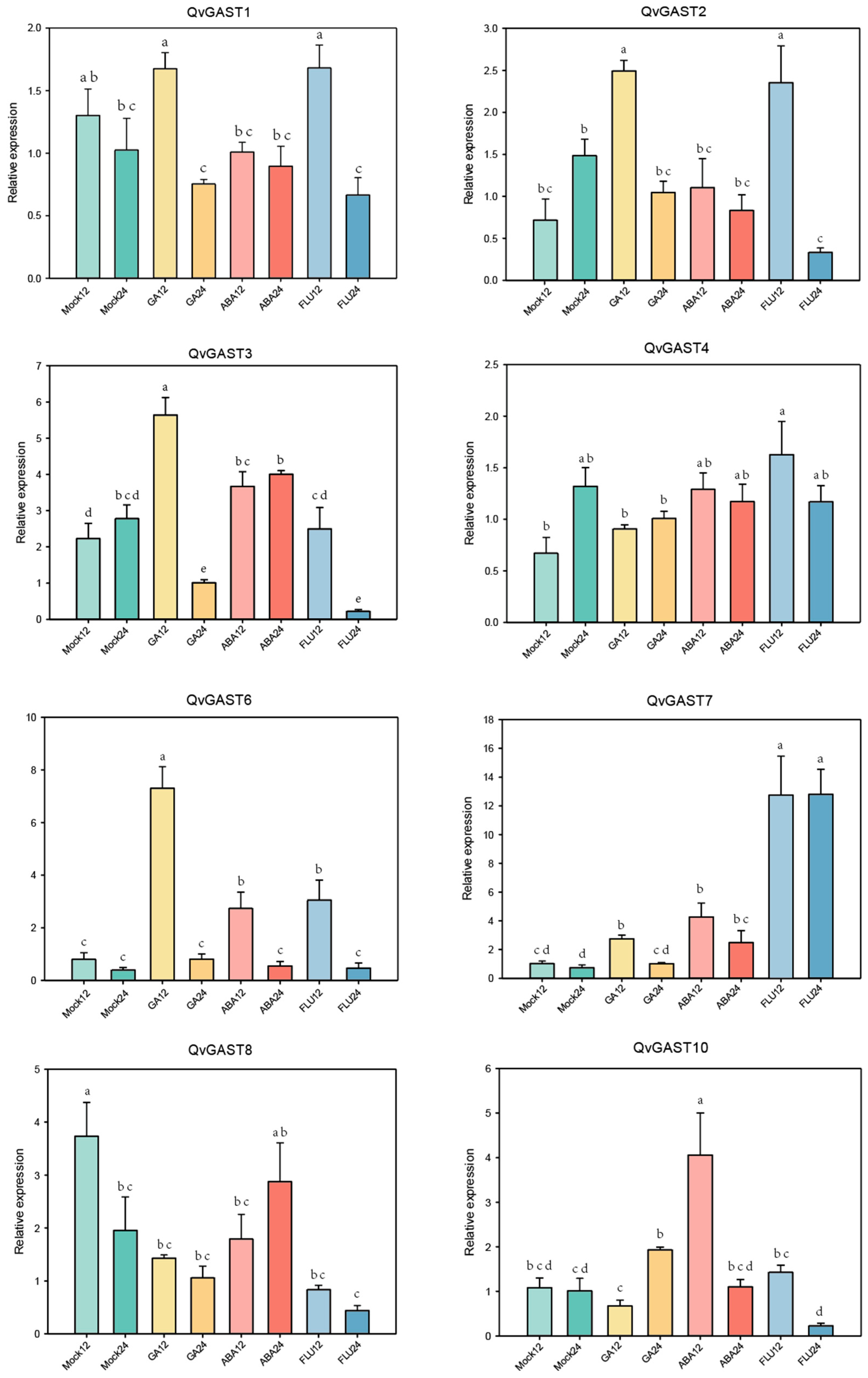
3.6. Hormonal Regulation of QvGAST Genes during Epicotyl Domancy Release
4. Discussion
4.1. Genome-Wide Identification and Characteristics of GAST Gene Families in Chinese Cork Oak
4.2. Expression Patterns and Potential Functions of QvGAST Genes
5. Conclusions
Supplementary Materials
Author Contributions
Funding
Data Availability Statement
Conflicts of Interest
References
- Yang, Q.; Niu, Q.; Tang, Y.; Ma, Y.; Yan, X.; Li, J.; Tian, J.; Bai, S.; Teng, Y. PpyGAST1 is potentially involved in bud dormancy release by integrating the GA biosynthesis and ABA signaling in ‘Suli’ pear (Pyrus pyrifolia White Pear Group). Environ. Exp. Bot. 2019, 162, 302–312. [Google Scholar] [CrossRef]
- Zhang, K.; Pan, H.; Baskin, C.C.; Baskin, J.M.; Xiong, Z.; Cao, W.; Yao, L.; Tang, B.; Zhang, C.; Tao, J. Epicotyl morphophysiological dormancy in seeds of Paeonia ostii (Paeoniaceae): Seasonal temperature regulation of germination phenology. Environ. Exp. Bot. 2022, 194, 104742. [Google Scholar] [CrossRef]
- Mattana, E.; Pritchard, H.W.; Porceddu, M.; Stuppy, W.H.; Bacchetta, G. Interchangeable effects of gibberellic acid and temperature on embryo growth, seed germination and epicotyl emergence in Ribes multiflorum ssp. sandalioticum (Grossulariaceae). Plant Biol. 2012, 14, 77–87. [Google Scholar] [CrossRef] [PubMed]
- Hao, H.; He, Z.; Li, H.; Shi, L.; Tang, Y. Effect of root length on epicotyl dormancy release in seeds of Paeonia ludlowii, Tibetan peony. Ann. Bot. 2014, 113, 443–452. [Google Scholar] [CrossRef] [PubMed]
- Athugala, Y.S.; Jayasuriya, K.M.G.G.; Gunarathne, A.M.T.A.; Baskin, C.C. Diversity of epicotyl dormancy among tropical montane forest species in Sri Lanka. Plant Biol. 2018, 20, 916–925. [Google Scholar] [CrossRef] [PubMed]
- Yan, H.; Chaumont, N.; Gilles, J.F.; Bolte, S.; Hamant, O.; Bailly, C. Microtubule self-organisation during seed germination in Arabidopsis. BMC Biol. 2020, 18, 44. [Google Scholar] [CrossRef] [PubMed]
- Ren, X.; Liu, Y.; Jeong, B.R. A two-stage culture method for zygotic embryos effectively overcomes constraints imposed by hypocotyl and epicotyl seed dormancy in Paeonia ostii ‘Fengdan’. Plants 2019, 8, 356. [Google Scholar] [CrossRef] [PubMed]
- Zhang, W.; Xia, L.; Peng, F.; Song, C.; Manzoor, M.A.; Cai, Y.; Jin, Q. Transcriptomics and metabolomics changes triggered by exogenous 6-benzylaminopurine in rieving epicotyl dormancy of Polygonatum cyrtonema Hua seeds. Front. Plant Sci. 2022, 13, 961899. [Google Scholar] [CrossRef]
- Wan, Y.; Zhang, M.; Liu, A.; Yuan, Q.; Liu, Y. Morphology and physiology response to stratification during seeds epicotyl dormancy breaking of Paeonia emodi Wall. Ex Royle. Agronomy 2022, 12, 1745. [Google Scholar] [CrossRef]
- Aubert, D.; Chevillard, M.; Dorne, A.M.; Arlaud, G.; Herzog, M. Expression patterns of GASA genes in Arabidopsis thaliana: The GASA4 gene is up-regulated by gibberellins in meristematic regions. Plant Mol. Biol. 1998, 36, 871–883. [Google Scholar] [CrossRef]
- Silverstein, K.A.T.; Moskal, K.A., Jr.; Wu, H.C.; Wang, S.; Underwood, B.A.; Graham, M.A.; Town, C.D.; VandenBosch, K.A. Small cysteine-rich peptides resembling antimicrobial peptides have been under-predicted in plants. Plant J. 2007, 51, 262–280. [Google Scholar] [CrossRef] [PubMed]
- Shi, L.; Olszewski, N.E. Gibberellin and abscisic acid regulate GAST1 expression at the level of transcription. Plant Mol. Biol. 1998, 38, 1053–1060. [Google Scholar] [CrossRef]
- Zhang, S.; Wang, X. Expression pattern of GASA, downstream genes of DELLA, in Arabidopsis. Sci. Bull. 2008, 53, 3839–3846. [Google Scholar] [CrossRef]
- Rezaee, S.; Ahmadizadeh, M.; Heidari, P. Genome-wide characterization, expression profiling, and post-transcriptional study of GASA gene family. Gene Rep. 2020, 20, 100795. [Google Scholar] [CrossRef]
- Sun, B.; Zhao, X.; Gao, J.; Li, J.; Xin, Y.; Zhao, Y.; Liu, Z.; Feng, H.; Tan, C. Genome-wide identification and expression analysis of the GASA gene family in Chinese cabbage (Brassica rapa L. ssp. pekinensis). BMC Genom. 2023, 24, 668. [Google Scholar] [CrossRef] [PubMed]
- Hou, D.; Bai, Q.; Li, J.; Xie, L.; Li, X.; Cheng, Z.; Gao, J. The gibberellic acid-stimulated transcript gene family in Moso bamboo: A genome-wide survey and expression profiling during development and abiotic stresses. J. Plant Growth Regul. 2018, 37, 1135–1147. [Google Scholar] [CrossRef]
- Qiao, K.; Ma, C.; Lv, J.; Zhang, C.; Ma, Q.; Fan, S. Identification, characterization, and expression profiles of the GASA genes in cotton. J. Cotton Res. 2021, 4, 1–16. [Google Scholar] [CrossRef]
- Zhang, M.; Cheng, W.; Wang, J.; Cheng, T.; Zhang, Q. Genome-wide identification, eolution, and expression analysis of GASA gene family in Prunus mume. Int. J. Mol. Sci. 2022, 23, 10923. [Google Scholar] [CrossRef] [PubMed]
- Zhang, K.; Hu, Y.; Yang, D.; Yan, C.; Li, N.; Li, Z.; Njogu, M.K.; Wang, X.; Jia, L. Genome-wide identification of GASA gene family in ten cucurbitaceae species and expression analysis in cucumber. Agronomy 2022, 12, 1978. [Google Scholar] [CrossRef]
- Yang, K.; Yang, L.; Fan, W.; Long, G.; Xie, S.; Meng, Z.; Zhang, G.; Yang, S.; Chen, J. Illumina-based transcriptomic analysis on recalcitrant seeds of Panax notoginseng for the dormancy release during the after-ripening process. Physiol. Plant. 2019, 167, 597–612. [Google Scholar] [CrossRef]
- Wu, Y.; Sun, Z.; Qi, F.; Zhao, M.; Dong, W.; Huang, B.; Zheng, Z.; Zhang, X. Comprehensive analysis of GASA family members in the peanut genome: Identification, characterization, and their expressions in response to pod development. Agronomy 2022, 12, 3067. [Google Scholar] [CrossRef]
- Peng, J.; Lai, L.; Wang, X. Temporal and spatial expression analysis of PRGL in Gerbera hybrida. Mol. Biol. Rep. 2010, 37, 3311–3317. [Google Scholar] [CrossRef] [PubMed]
- Hu, X.; Zhang, W.; Zhou, J. Plastic responses in tree architecture to different light intensity habitats: A case of Chinese cork oak. Pol. J. Ecol. 2016, 64, 500–508. [Google Scholar] [CrossRef]
- Cao, Y.; Chen, Y. Biomass, carbon and nutrient storage in a 30-year-old Chinese cork oak (Quercus variabilis) forest on the south slope of the Qinling Mountains, China. Forests 2015, 6, 1239–1255. [Google Scholar] [CrossRef]
- Gil, L. Cork: A strategic material. Front. Chem. 2014, 2, 16. [Google Scholar] [CrossRef]
- Li, D.; Li, Y.; Qian, J.; Xu, D.; Liu, X.; Xu, H.; Zhang, G.; Ren, J.; Wang, L.; Zhang, L.; et al. Comparative transcriptome analysis revealed candidate genes potentially related to desiccation sensitivity of recalcitrant Quercus variabilis seeds. Front. Plant Sci. 2021, 12, 717563. [Google Scholar] [CrossRef] [PubMed]
- Sun, J.; Shi, W.; Wu, Y.; Ji, J.; Feng, J.; Zhao, J.; Shi, X.; Du, C.; Chen, W.; Liu, J.; et al. Variations in acorn traits in two oak species: Quercus mongolica Fisch. ex Ledeb. and Quercus variabilis Blume. Forests 2021, 12, 1755. [Google Scholar] [CrossRef]
- Wang, N.; Wang, J.; Li, G.; Li, J.; Zhu, L.; Li, T.; Liu, W. Characteristics and physiological and biochemical changes of seed germination and emergence of Quercus variabilis. For. Sci. 2022, 58, 1–10. [Google Scholar]
- Li, Q.; Liu, Y.; Liu, G.; Liu, Y. Germination inhibitory substances extracted from the seed of seven species of Quercus. Acta Ecol. Sin. 2013, 33, 2104–2112. [Google Scholar]
- Chen, C.J.; Chen, H.; Zhang, Y.; Thomas, H.R.; Frank, M.H.; He, Y.H.; Xia, R. Tbtools: An integrative Toolkit developed for interactive analyses of big Biological Data. Mol. Plant 2020, 13, 1194–1202. [Google Scholar] [CrossRef]
- Chen, X.; Wang, S.; Xu, D.; Liu, X.; Li, X.; Xiao, W.; Cao, J.; Jiang, H.; Min, X.; Wang, J.; et al. Identification and analysis of the GASR gene family in common wheat (Triticum aestivum L.) and characterization of TaGASR34, a gene associated with seed dormancy and germination. Front. Genet. 2019, 10, 980. [Google Scholar] [CrossRef] [PubMed]
- Wang, L.; Wang, Z.; Xu, Y.; Joo, S.; Kim, S.; Xue, Z.; Xu, Z.; Wang, Z.; Chong, K. OsGSR1 is involved in crosstalk between gibberellins and brassinosteroids in rice. Plant J. 2009, 57, 498–510. [Google Scholar] [CrossRef] [PubMed]
- Yang, Q.; Yang, B.; Li, J.; Wang, Y.; Tao, R.; Yang, F.; Wu, X.; Yan, X.; Ahmad, M.; Shen, J.; et al. ABA-responsive ABRE-BINDING FACTOR3 activates DAM3 expression to promote bud dormancy in Asian pear. Plant Cell Environ. 2020, 43, 1360–1375. [Google Scholar] [CrossRef]
- Yang, Q.; Chen, X.; Li, J.; Pei, Z.; Chen, Y.; Liu, P.; Yu, Z.; Liu, Y.; Li, G. HB26, a member of HD-Zip I subfamily, is involved in the regulation of hydrolysable tannin biosynthesis in the cupules of Quercus variabilis by transactivation of UGT84A13. Ind. Crops Prod. 2023, 200, 116866. [Google Scholar] [CrossRef]
- Marum, L.; Miguel, A.; Ricardo, C.P.; Miguel, C. Reference gene selection for quantitative real-time PCR normalization in Quercus suber. PLoS ONE 2012, 7, e35113. [Google Scholar] [CrossRef]
- Chen, C.; Wu, Y.; Li, J.; Wang, X.; Zeng, Z.; Xu, J.; Liu, Y.; Feng, J.; Chen, H.; He, Y.; et al. TBtools-II: A “one for all, all for one” bioinformatics platform for biological big-data mining. Mol. Plant 2023, 16, 1733–1742. [Google Scholar] [CrossRef] [PubMed]
- Büyük, I.; Okay, A.; Gorska, M.; Ilhan, E.; Aras, E.S. Identification and characterization of the Pvul-GASA gene family in the Phaseolus vulgaris and expression patterns under salt stress. Turk. J. Bot. 2021, 45, 655–670. [Google Scholar] [CrossRef]
- Yang, Q.; Wu, X.; Gao, Y.; Ni, J.; Li, J.; Pei, Z.; Bai, S.; Teng, Y. PpyABF3 recruits the COMPASS-like complex to regulate bud dormancy maintenance via integrating ABA signaling and GA catabolism. New Phytol. 2023, 237, 192–203. [Google Scholar] [CrossRef]
- Miranda, I.; Gominho, J.; Pereira, H. Cellular structure and chemical composition of cork from the Chinese cork oak (Quercus variabilis). J. Wood Sci. 2013, 59, 1–9. [Google Scholar] [CrossRef]
- Prasetia, D.; Purusatama, B.D.; Kim, J.; Yang, G.; Jang, J.; Park, S.; Lee, S.; Kim, N. Quantitative anatomical characteristics of virgin cork in Quercus variabilis grown in Korea. Forests 2022, 13, 1711. [Google Scholar] [CrossRef]
- Sprengel, L.; Hamann, A.; Wu, S.; Spiecker, H. Carbon sequestration potential of eight economically important tree species in Northeast China under climate change. For. Ecol. Manag. 2023, 545, 121299. [Google Scholar] [CrossRef]
- Zhong, C.; Xu, H.; Ye, S.; Wang, S.; Li, L.; Zhang, S.; Wang, X. Gibberellic Acid-Stimulated Arabidopsis6 Serves as an Integrator of Gibberellin, Abscisic Acid, and Glucose Signaling during Seed Germination in Arabidopsis. Plant Physiol. 2015, 169, 2288–2303. [Google Scholar] [PubMed]
- Liao, D.; An, R.; Wei, J.; Wang, D.; Li, X.; Qi, J. Transcriptome profiles revealed molecular mechanisms of alternating temperatures in breaking the epicotyl morphophysiological dormancy of Polygonatum sibiricum seeds. BMC Plant Biol. 2021, 21, 370. [Google Scholar] [CrossRef]
- Graeber, K.; Nakabayashi, K.; Miatton, E.; Leubner-Metzger, G.; Soppe, W.J.J. Molecular mechanisms of seed dormancy. Plant Cell Environ. 2012, 35, 1769–1786. [Google Scholar] [CrossRef] [PubMed]
- Shu, K.; Zhang, H.; Wang, S.; Chen, M.; Wu, Y.; Tang, S.; Liu, C.; Feng, Y.; Cao, X.; Xie, Q. ABI4 regulates primary seed dormancy by regulating the biogenesis of abscisic acid and gibberellins in Arabidopsis. PLOS Genet. 2013, 9, e1003577. [Google Scholar] [CrossRef] [PubMed]
- Rubinovich, L.; Weiss, D. The Arabidopsis cysteine-rich protein GASA4 promotes GA responses and exhibits redox activity in bacteria and in planta. Plant J. 2010, 64, 1018–1027. [Google Scholar] [CrossRef]
- Rubinovich, L.; Ruthstein, S.; Weiss, D. The Arabidopsis cysteine-rich GASA5 is a redox-active metalloprotein that suppresses gibberellin responses. Mol. Plant 2014, 7, 244–247. [Google Scholar] [CrossRef] [PubMed]
- Izhar, M.; Li, W.; Cao, J.; Jing, X.; Zhou, M.; Abdullah, S.; Muhammad, A.; Wei, X.; Rahat, S.; Liu, W.; et al. A systematic in silico prediction of gibberellic acid stimulated GASA family members: A novel small peptide contributes to floral architecture and transcriptomic changes induced by external stimuli in rice. J. Plant Physiol. 2019, 234–235, 117–132. [Google Scholar]
- Sun, S.; Wang, H.; Yu, H.; Zhong, C.; Zhang, X.; Peng, J.; Wang, X. GASA14 regulates leaf expansion and abiotic stress resistance by modulating reactive oxygen species accumulation. J. Exp. Bot. 2013, 64, 1637–1647. [Google Scholar] [CrossRef]






Disclaimer/Publisher’s Note: The statements, opinions and data contained in all publications are solely those of the individual author(s) and contributor(s) and not of MDPI and/or the editor(s). MDPI and/or the editor(s) disclaim responsibility for any injury to people or property resulting from any ideas, methods, instructions or products referred to in the content. |
© 2024 by the authors. Licensee MDPI, Basel, Switzerland. This article is an open access article distributed under the terms and conditions of the Creative Commons Attribution (CC BY) license (https://creativecommons.org/licenses/by/4.0/).
Share and Cite
Wang, Y.; Huang, Y.; Chen, Y.; Yu, Z.; Liu, P.; Li, G.; Yang, Q. Genome-Wide Identification of GAST Family Members and Their Potential Roles in Epicotyl Dormancy in Chinese Cork Oak (Quercus variabilis). Plants 2024, 13, 1247. https://doi.org/10.3390/plants13091247
Wang Y, Huang Y, Chen Y, Yu Z, Liu P, Li G, Yang Q. Genome-Wide Identification of GAST Family Members and Their Potential Roles in Epicotyl Dormancy in Chinese Cork Oak (Quercus variabilis). Plants. 2024; 13(9):1247. https://doi.org/10.3390/plants13091247
Chicago/Turabian StyleWang, Yaochen, Yifei Huang, Yixin Chen, Zhaowei Yu, Puyuan Liu, Guolei Li, and Qinsong Yang. 2024. "Genome-Wide Identification of GAST Family Members and Their Potential Roles in Epicotyl Dormancy in Chinese Cork Oak (Quercus variabilis)" Plants 13, no. 9: 1247. https://doi.org/10.3390/plants13091247
APA StyleWang, Y., Huang, Y., Chen, Y., Yu, Z., Liu, P., Li, G., & Yang, Q. (2024). Genome-Wide Identification of GAST Family Members and Their Potential Roles in Epicotyl Dormancy in Chinese Cork Oak (Quercus variabilis). Plants, 13(9), 1247. https://doi.org/10.3390/plants13091247

