Alginate Oligosaccharides Alleviate Salt Stress in Rice Seedlings by Regulating Cell Wall Metabolism to Maintain Cell Wall Structure and Improve Lodging Resistance
Abstract
1. Introduction
2. Results
2.1. Effect of Salt and Alginate Oligosaccharides on Rice Biomass
2.2. Effect of Salt and Alginate Oligosaccharides on Major Components of the Rice Cell Wall
2.3. Transmission Electron Microscopy Study of the Effect of Alginate Oligosaccharides on the Cell Wall Structure of Salt-Stressed Leaves
2.4. Effects of Salt and Alginate Oligosaccharides on Physical Characteristics of Rice Stems, Resistance Index, and Stem Basal Width
2.5. Effects of Salt and Alginate Oligosaccharides on Cellulose-Related Metabolic Enzymes in Rice
2.6. Effects of Salt and Alginate Oligosaccharides on Rice Hemicellulose-Related Metabolic Enzymes
2.7. Effects of Salt and Alginate Oligosaccharides on Pectin-Related Metabolic Enzymes in Rice
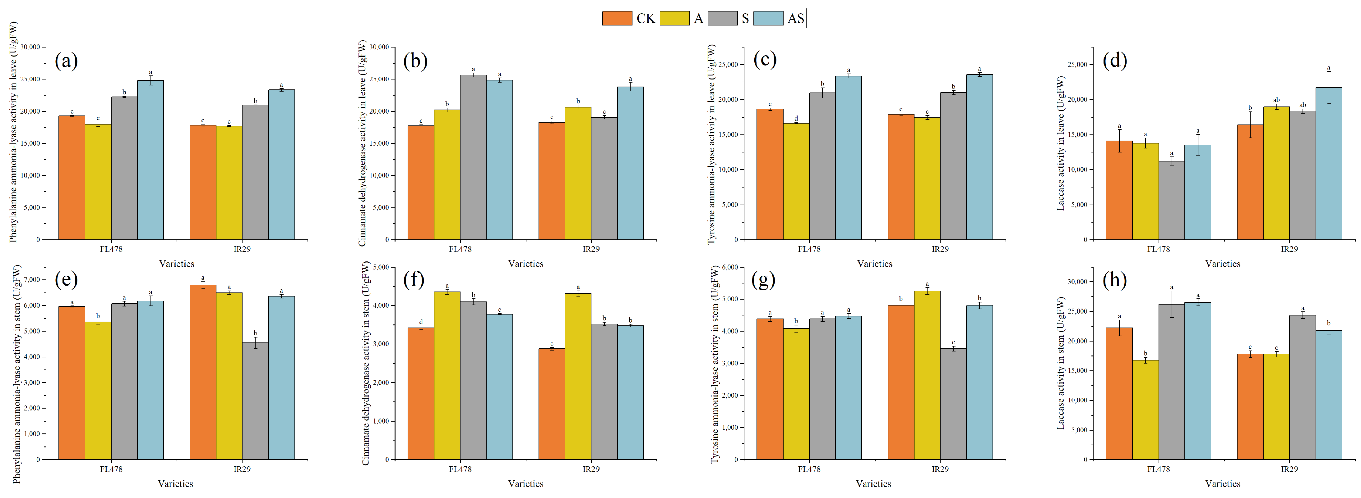
2.8. Effects of Salt and Alginate Oligosaccharides on Lignin-Related Metabolic Enzymes in Rice
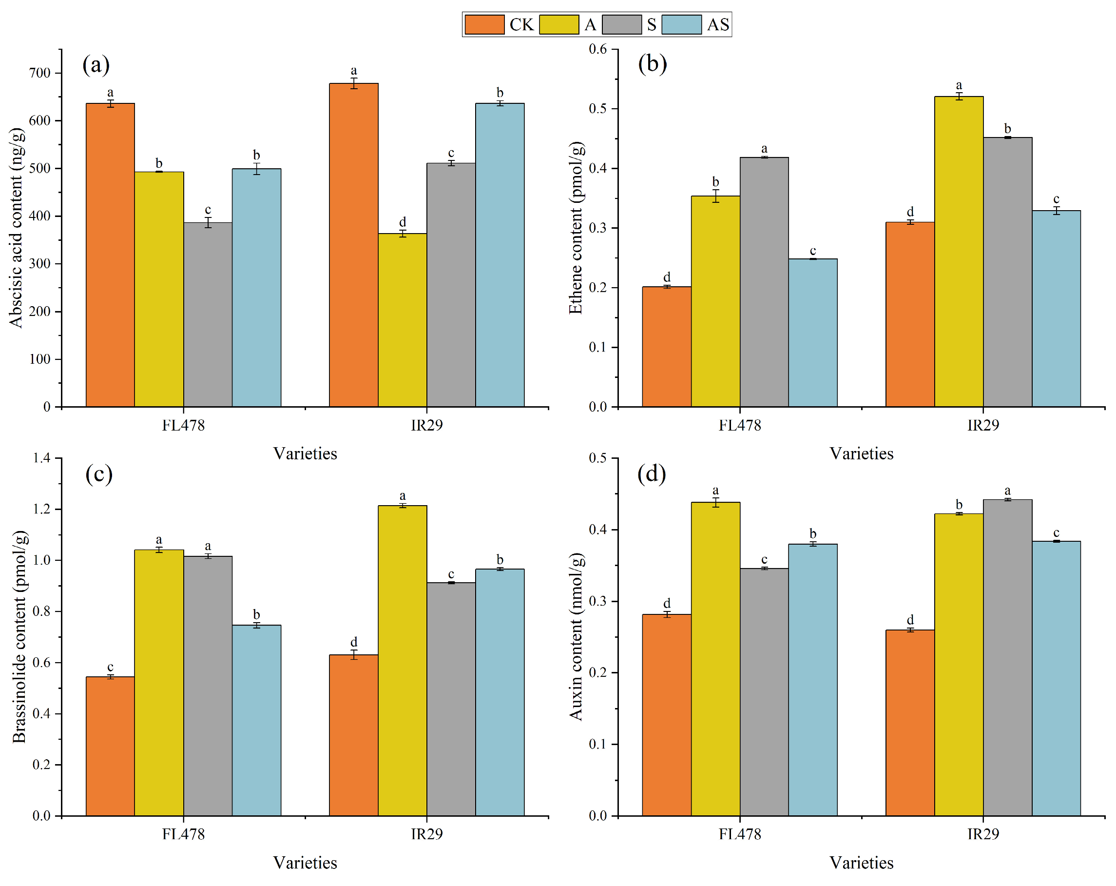
2.9. Effect of Salt and Alginate Oligosaccharides on Rice Hormones
2.10. Effect of Salt and Alginate Oligosaccharides on RT-qPCR in Rice
3. Discussion
4. Materials and Methods
4.1. Plant Material and Test Conditions
4.2. Stem Physical Characterization, Falling Index, and Biomass Measurement
4.3. Extraction of the Cell Wall
4.4. Determination of Cell Wall Components
4.5. Determination of Cell Wall-Related Metabolic Enzymes
4.6. Determination of Hormone Content
4.7. Transmission Electron Microscopy (TEM) Analysis
4.8. Quantitative Real-Time Fluorescence Assay
4.9. Statistical Analysis
5. Conclusions
Supplementary Materials
Author Contributions
Funding
Institutional Review Board Statement
Informed Consent Statement
Data Availability Statement
Conflicts of Interest
References
- Mohanty, A.; Chakraborty, K.; Mondal, S.; Jena, P.; Panda, R.K.; Samal, K.C.; Chattopadhyay, K. Relative contribution of ion exclusion and tissue tolerance traits govern the differential response of rice towards salt stress at seedling and reproductive stages. Environ. Exp. Bot. 2023, 206, 105131. [Google Scholar] [CrossRef]
- Ahmadizadeh, M.; Vispo, N.A.; Calapit-Palao, C.D.O.; Pangaan, I.D.; Viña, C.D.; Singh, R.K. Reproductive stage salinity tolerance in rice: A complex trait to phenotype. Indian J. Plant Physiol. 2016, 21, 528–536. [Google Scholar] [CrossRef]
- Zhou, H.; Li, Y.; Feng, S.; Wu, Z.; Zheng, D.; Feng, N. Joint analysis of transcriptome and metabolome revealed the difference in carbohydrate metabolism between super hybrid rice and conventional rice under salt stress. Plant Stress 2023, 10, 100251. [Google Scholar] [CrossRef]
- Wang, G.-L.; Ren, X.-Q.; Liu, J.-X.; Yang, F.; Wang, Y.-P.; Xiong, A.-S. Transcript profiling reveals an important role of cell wall remodeling and hormone signaling under salt stress in garlic. Plant Physiol. Biochem. 2019, 135, 87–98. [Google Scholar] [CrossRef]
- Yuan, Y.; Imtiaz, M.; Rizwan, M.; Dai, Z.; Hossain, M.M.; Zhang, Y.; Huang, H.; Tu, S. The role and its transcriptome mechanisms of cell wall polysaccharides in vanadium detoxication of rice. J. Hazard. Mater. 2022, 425, 127966. [Google Scholar] [CrossRef]
- de Lima, R.B.; dos Santos, T.B.; Vieira, L.G.E.; de Lourdes Lúcio Ferrarese, M.; Ferrarese-Filho, O.; Donatti, L.; Boeger, M.R.T.; de Oliveira Petkowicz, C.L. Salt stress alters the cell wall polysaccharides and anatomy of coffee (Coffea arabica L.) leaf cells. Carbohydr. Polym. 2014, 112, 686–694. [Google Scholar] [CrossRef]
- Yu, X.; Yang, Z.; Xu, Y.; Wang, Z.; Fan, C.; Zeng, X.; Liu, Y.; Lei, T.; Jiang, M.; Li, J.; et al. Effect of chromium stress on metal accumulation and cell wall fractions in Cosmos bipinnatus. Chemosphere 2023, 315, 137677. [Google Scholar] [CrossRef]
- Corrêa-Ferreira, M.L.; Viudes, E.B.; de Magalhães, P.M.; Paixão de Santana Filho, A.; Sassaki, G.L.; Pacheco, A.C.; de Oliveira Petkowicz, C.L. Changes in the composition and structure of cell wall polysaccharides from Artemisia annua in response to salt stress. Carbohydr. Res. 2019, 483, 107753. [Google Scholar] [CrossRef] [PubMed]
- Byrt, C.S.; Munns, R.; Burton, R.A.; Gilliham, M.; Wege, S. Root cell wall solutions for crop plants in saline soils. Plant Sci. 2018, 269, 47–55. [Google Scholar] [CrossRef]
- Vago, M.E.; Jaurena, G.; Estevez, J.M.; Castro, M.A.; Zavala, J.A.; Ciancia, M. Salt stress on Lotus tenuis triggers cell wall polysaccharide changes affecting their digestibility by ruminants. Plant Physiol. Biochem. 2021, 166, 405–415. [Google Scholar] [CrossRef]
- Wang, Z.; Wang, M.; Yang, C.; Zhao, L.; Qin, G.; Peng, L.; Zheng, Q.; Nie, W.; Song, C.-P.; Shi, H.; et al. SWO1 modulates cell wall integrity under salt stress by interacting with importin α in Arabidopsis. Stress Biol. 2021, 1, 9. [Google Scholar] [CrossRef] [PubMed]
- Yu, Z.; Ren, Y.; Liu, J.; Zhu, J.-K.; Zhao, C. A novel mitochondrial protein is required for cell wall integrity, auxin accumulation and root elongation in Arabidopsis under salt stress. Stress Biol. 2022, 2, 13. [Google Scholar] [CrossRef] [PubMed]
- Dang, Z.; Wang, Y.; Wang, M.; Cao, L.; Ruan, N.; Huang, Y.; Li, F.; Xu, Q.; Chen, W. The Fragile culm19 (FC19) mutation largely improves plant lodging resistance, biomass saccharification, and cadmium resistance by remodeling cell walls in rice. J. Hazard. Mater. 2023, 458, 132020. [Google Scholar] [CrossRef] [PubMed]
- Chen, S.; Shi, F.; Li, C.; Sun, Q.; Ruan, Y. Quantitative proteomics analysis of tomato root cell wall proteins in response to salt stress. Front. Plant Sci. 2022, 13, 1023388. [Google Scholar] [CrossRef] [PubMed]
- Shen, X.; Wang, Z.; Song, X.; Xu, J.; Jiang, C.; Zhao, Y.; Ma, C.; Zhang, H. Transcriptomic profiling revealed an important role of cell wall remodeling and ethylene signaling pathway during salt acclimation in Arabidopsis. Plant Mol. Biol. 2014, 86, 303–317. [Google Scholar] [CrossRef] [PubMed]
- Li, L.; Zhu, B.; Yao, Z.; Jiang, J. Directed preparation, structure–activity relationship and applications of alginate oligosaccharides with specific structures: A systematic review. Food Res. Int. 2023, 170, 112990. [Google Scholar] [CrossRef] [PubMed]
- Bose, S.K.; Howlader, P.; Jia, X.; Wang, W.; Yin, H. Alginate oligosaccharide postharvest treatment preserve fruit quality and increase storage life via Abscisic acid signaling in strawberry. Food Chem. 2019, 283, 665–674. [Google Scholar] [CrossRef]
- Du, Y.-W.; Liu, L.; Feng, N.-J.; Zheng, D.-F.; Liu, M.-L.; Zhou, H.; Deng, P.; Wang, Y.-x.; Zhao, H.-M. Combined transcriptomic and metabolomic analysis of alginate oligosaccharides alleviating salt stress in rice seedlings. BMC Plant Biol. 2023, 23, 455. [Google Scholar] [CrossRef] [PubMed]
- Hussain, S.; Iqbal, N.; Rahman, T.; Liu, T.; Brestic, M.; Safdar, M.E.; Asghar, M.A.; Farooq, M.U.; Shafiq, I.; Ali, A.; et al. Shade effect on carbohydrates dynamics and stem strength of soybean genotypes. Environ. Exp. Bot. 2019, 162, 374–382. [Google Scholar] [CrossRef]
- Lv, R.; Zhang, W.; Xie, X.; Wang, Q.; Gao, K.; Zeng, Y.; Zeng, Y.; Pan, X.; Shang, Q. Foliar application uniconazole enhanced lodging resistance of high-quality indica rice (Oryza sativa L.) by altering anatomical traits, cell structure and endogenous hormones. Field Crops Res. 2022, 277, 108425. [Google Scholar] [CrossRef]
- Gutsch, A.; Zouaghi, S.; Renaut, J.; Cuypers, A.; Hausman, J.-F.; Sergeant, K. Changes in the Proteome of Medicago sativa Leaves in Response to Long-Term Cadmium Exposure Using a Cell-Wall Targeted Approach. Int. J. Mol. Sci. 2018, 19, 2498. [Google Scholar] [CrossRef] [PubMed]
- Shomer, I.; Novacky, A.J.; Pike, S.M.; Yermiyahu, U.; Kinraide, T.B. Electrical Potentials of Plant Cell Walls in Response to the Ionic Environment. Plant Physiol. 2003, 133, 411–422. [Google Scholar] [CrossRef] [PubMed]
- Yan, J.; Liu, Y.; Yang, L.; He, H.; Huang, Y.; Fang, L.; Scheller, H.V.; Jiang, M.; Zhang, A. Cell wall β-1,4-galactan regulated by the BPC1/BPC2-GALS1 module aggravates salt sensitivity in Arabidopsis thaliana. Mol. Plant 2021, 14, 411–425. [Google Scholar] [CrossRef] [PubMed]
- Wang, J.; Gao, J.; Zheng, L.; Fu, Y.; Ji, L.; Wang, C.; Yuan, S.; Yang, J.; Liu, J.; Li, G.; et al. Abscisic acid alleviates mercury toxicity in wheat (Triticum aestivum L.) by promoting cell wall formation. J. Hazard. Mater. 2023, 449, 130947. [Google Scholar] [CrossRef] [PubMed]
- Sun, Y.; Veerabomma, S.; Fokar, M.; Abidi, N.; Hequet, E.; Payton, P.; Allen, R.D. Brassinosteroid signaling affects secondary cell wall deposition in cotton fibers. Ind. Crops Prod. 2015, 65, 334–342. [Google Scholar] [CrossRef]
- Kesten, C.; Wallmann, A.; Schneider, R.; McFarlane, H.E.; Diehl, A.; Khan, G.A.; van Rossum, B.-J.; Lampugnani, E.R.; Szymanski, W.G.; Cremer, N.; et al. The companion of cellulose synthase 1 confers salt tolerance through a Tau-like mechanism in plants. Nat. Commun. 2019, 10, 857. [Google Scholar] [CrossRef] [PubMed]
- Du, J.; Vandavasi, V.G.; Molloy, K.R.; Yang, H.; Massenburg, L.N.; Singh, A.; Kwansa, A.L.; Yingling, Y.G.; O’Neill, H.; Chait, B.T.; et al. Evidence for Plant-Conserved Region Mediated Trimeric CESAs in Plant Cellulose Synthase Complexes. Biomacromolecules 2022, 23, 3663–3677. [Google Scholar] [CrossRef] [PubMed]
- Wang, Y.; Liu, M.; Wang, X.; Zhong, L.; Shi, G.; Xu, Y.; Li, Y.; Li, R.; Huang, Y.; Ye, X.; et al. A novel β-1,3-glucanase Gns6 from rice possesses antifungal activity against Magnaporthe oryzae. J. Plant Physiol. 2021, 265, 153493. [Google Scholar] [CrossRef]
- Ma, X.; Li, S.; Tong, X.; Liu, K. An overview on the current status and future prospects in Aspergillus cellulase production. Environ. Res. 2024, 244, 117866. [Google Scholar] [CrossRef]
- Wong, Y.S.; Fincher, G.B.; Maclachlan, G.A. Cellulases Can Enhance beta-Glucan Synthesis. Science 1977, 195, 679–681. [Google Scholar] [CrossRef]
- Tang, Y.; Wang, M.; Cao, L.; Dang, Z.; Ruan, N.; Wang, Y.; Huang, Y.; Wu, J.; Zhang, M.; Xu, Z.; et al. OsUGE3-mediated cell wall polysaccharides accumulation improves biomass production, mechanical strength, and salt tolerance. Plant Cell Environ. 2022, 45, 2492–2507. [Google Scholar] [CrossRef]
- Scheller, H.V.; Ulvskov, P. Hemicelluloses. In Annual Review of Plant Biology; Merchant, S., Briggs, W.R., Ort, D., Eds.; Annual Review of Plant Biology; Annual Reviews: Palo Alto, CA, USA, 2010; Volume 61, pp. 263–289. [Google Scholar] [CrossRef]
- Zhu, X.F.; Wang, Z.W.; Dong, F.; Lei, G.J.; Shi, Y.Z.; Li, G.X.; Zheng, S.J. Exogenous auxin alleviates cadmium toxicity in Arabidopsis thaliana by stimulating synthesis of hemicellulose 1 and increasing the cadmium fixation capacity of root cell walls. J. Hazard. Mater. 2013, 263, 398–403. [Google Scholar] [CrossRef] [PubMed]
- Thomas, L.H.; Altaner, C.M.; Forsyth, V.T.; Mossou, E.; Kennedy, C.J.; Martel, A.; Jarvis, M.C. Nanostructural deformation of high-stiffness spruce wood under tension. Sci. Rep. 2021, 11, 14. [Google Scholar] [CrossRef]
- Kim, W.C.; Kim, J.Y.; Ko, J.H.; Kang, H.; Han, K.H. Identification of direct targets of transcription factor MYB46 provides insights into the transcriptional regulation of secondary wall biosynthesis. Plant Mol. Biol. 2014, 85, 589–599. [Google Scholar] [CrossRef]
- Zhang, B.; Gao, Y.; Zhang, L.; Zhou, Y. The plant cell wall: Biosynthesis, construction, and functions. J. Integr. Plant Biol. 2021, 63, 251–272. [Google Scholar] [CrossRef]
- Lu, K.; Yan, L.; Riaz, M.; Babar, S.; Hou, J.; Zhang, Y.; Jiang, C. Exogenous boron alleviates salt stress in cotton by maintaining cell wall structure and ion homeostasis. Plant Physiol. Biochem. 2023, 201, 107858. [Google Scholar] [CrossRef] [PubMed]
- Sweet, W.J.; Morrison, J.C.; Labavitch, J.M.; Matthews, M.A. Altered Synthesis and Composition of Cell Wall of Grape (Vitis vinifera L.) Leaves during Expansion and Growth-Inhibiting Water Deficits1. Plant Cell Physiol. 1990, 31, 407–414. [Google Scholar] [CrossRef]
- Rezayat, A.; Kakanejadifard, A.; Taheri-Kafrani, A.; Trotta, F. Xylanase immobilized on β-cyclodextrin functionalized magnetic nanoparticles: Implications for antioxidant component extraction and fruit juice quality improvement. J. Mol. Liq. 2023, 387, 122660. [Google Scholar] [CrossRef]
- Qi, J.; Wang, J.; Gong, Z.; Zhou, J.-M. Apoplastic ROS signaling in plant immunity. Curr. Opin. Plant Biol. 2017, 38, 92–100. [Google Scholar] [CrossRef]
- Cheng, J.-H.; He, L.; Sun, D.-W.; Pan, Y.; Ma, J. Inhibition of cell wall pectin metabolism by plasma activated water (PAW) to maintain firmness and quality of postharvest blueberry. Plant Physiol. Biochem. 2023, 201, 107803. [Google Scholar] [CrossRef]
- Zhuo, R.; Li, B.; Tian, S. Alginate oligosaccharide improves resistance to postharvest decay and quality in kiwifruit (Actinidia deliciosa cv. Bruno). Hortic. Plant J. 2022, 8, 44–52. [Google Scholar] [CrossRef]
- Liu, J.; Kennedy, J.F.; Zhang, X.; Heng, Y.; Chen, W.; Chen, Z.; Wu, X.; Wu, X. Preparation of alginate oligosaccharide and its effects on decay control and quality maintenance of harvested kiwifruit. Carbohydr. Polym. 2020, 242, 116462. [Google Scholar] [CrossRef] [PubMed]
- Hongo, S.; Sato, K.; Yokoyama, R.; Nishitani, K. Demethylesterification of the Primary Wall by PECTIN METHYLESTERASE35 Provides Mechanical Support to the Arabidopsis Stem. Plant Cell 2012, 24, 2624–2634. [Google Scholar] [CrossRef]
- Christensen, J.B.; Jensen, D.L.; GrØN, C.; Filip, Z.; Christensen, T.H. Characterization of the dissolved organic carbon in landfill leachate-polluted groundwater. Water Res. 1998, 32, 125–135. [Google Scholar] [CrossRef]
- Zhao, Q.; Zhang, H.; Wang, T.; Chen, S.; Dai, S. Proteomics-based investigation of salt-responsive mechanisms in plant roots. J. Proteom. 2013, 82, 230–253. [Google Scholar] [CrossRef]
- Wang, F.; Wan, C.; Wu, W.; Zhang, Y.; Pan, Y.; Chen, X.; Li, C.; Pi, J.; Wang, Z.; Ye, Y.; et al. Methyl jasmonate (MeJA) enhances salt tolerance of okra (Abelmoschus esculentus L.) plants by regulating ABA signaling, osmotic adjustment substances, photosynthesis and ROS metabolism. Sci. Hortic. 2023, 319, 112145. [Google Scholar] [CrossRef]
- Gharari, Z.; Bagheri, K.; Danafar, H.; Sharafi, A. Enhanced flavonoid production in hairy root cultures of Scutellaria bornmuelleri by elicitor induced over-expression of MYB7 and FNSΠ2 genes. Plant Physiol. Biochem. 2020, 148, 35–44. [Google Scholar] [CrossRef] [PubMed]
- Yang, B.; Fang, X.; Han, Y.; Liu, R.; Chen, H.; Gao, H. Analysis of lignin metabolism in water bamboo shoots during storage. Postharvest Biol. Technol. 2022, 192, 111989. [Google Scholar] [CrossRef]
- Kotrade, P.; Sehr, E.M.; Brüggemann, W. Expression profiles of 12 drought responsive genes in two European (deciduous) oak species during a two-year drought experiment with consecutive drought periods. Plant Gene 2019, 19, 100193. [Google Scholar] [CrossRef]
- Ding, C.; Wang, S.; Li, J.; Wang, Z. Transcriptomic analysis reveals the mechanism of host growth promotion by endophytic fungus of Rumex gmelinii Turcz. Arch. Microbiol. 2022, 204, 443. [Google Scholar] [CrossRef]
- Yan, F.; Zhang, J.; Li, W.; Ding, Y.; Zhong, Q.; Xu, X.; Wei, H.; Li, G. Exogenous melatonin alleviates salt stress by improving leaf photosynthesis in rice seedlings. Plant Physiol. Biochem. 2021, 163, 367–375. [Google Scholar] [CrossRef] [PubMed]
- Kohl, L.; Wanek, W.; Keiblinger, K.; Hämmerle, I.; Fuchslueger, L.; Schneider, T.; Riedel, K.; Eberl, L.; Zechmeister-Boltenstern, S.; Richter, A. Nutrient controls on carbohydrate and lignin decomposition in beech litter. Geoderma 2023, 429, 116276. [Google Scholar] [CrossRef]
- Cárdenas Pérez, S.; Strzelecki, J.; Piernik, A.; Rajabi Dehnavi, A.; Trzeciak, P.; Puchałka, R.; Mierek-Adamska, A.; Chanona Pérez, J.; Kačík, F.; Račko, V.; et al. Salinity-driven changes in Salicornia cell wall nanomechanics and lignin composition. Environ. Exp. Bot. 2024, 218, 105606. [Google Scholar] [CrossRef]
- Burton, R.A.; Gidley, M.J.; Fincher, G.B. Heterogeneity in the chemistry, structure and function of plant cell walls. Nat. Chem. Biol. 2010, 6, 724–732. [Google Scholar] [CrossRef] [PubMed]
- An, P.; Li, X.; Zheng, Y.; Matsuura, A.; Abe, J.; Eneji, A.E.; Tanimoto, E.; Inanaga, S. Effects of NaCl on Root Growth and Cell Wall Composition of Two Soya bean Cultivars with Contrasting Salt Tolerance. J. Agron. Crop Sci. 2014, 200, 212–218. [Google Scholar] [CrossRef]
- Endler, A.; Kesten, C.; Schneider, R.; Zhang, Y.; Ivakov, A.; Froehlich, A.; Funke, N.; Persson, S. A Mechanism for Sustained Cellulose Synthesis during Salt Stress. Cell 2015, 162, 1353–1364. [Google Scholar] [CrossRef] [PubMed]
- Oliveira, D.M.; Mota, T.R.; Salatta, F.V.; Sinzker, R.C.; Končitíková, R.; Kopečný, D.; Simister, R.; Silva, M.; Goeminne, G.; Morreel, K.; et al. Cell wall remodeling under salt stress: Insights into changes in polysaccharides, feruloylation, lignification, and phenolic metabolism in maize. Plant Cell Environ. 2020, 43, 2172–2191. [Google Scholar] [CrossRef]
- Hoson, T. Apoplast as the site of response to environmental signals. J. Plant Res. 1998, 111, 167–177. [Google Scholar] [CrossRef] [PubMed]
- Feng, W.; Lindner, H.; Robbins, N.E., II; Dinneny, J.R. Growing Out of Stress: The Role of Cell- and Organ-Scale Growth Control in Plant Water-Stress Responses. Plant Cell 2016, 28, 1769–1782. [Google Scholar] [CrossRef]
- Tao, J.-J.; Yin, C.-C.; Zhou, Y.; Huang, Y.-H.; Chen, S.-Y.; Zhang, J.-S. The universal and divergent roles of ethylene in rice and some other crop plants under salt stress. Environ. Exp. Bot. 2024, 217, 105555. [Google Scholar] [CrossRef]
- Miao, W.; Li, F.; Lu, J.; Wang, D.; Chen, M.; Tang, L.; Xu, Z.; Chen, W. Biochar application enhanced rice biomass production and lodging resistance via promoting co-deposition of silica with hemicellulose and lignin. Sci. Total Environ. 2023, 855, 158818. [Google Scholar] [CrossRef] [PubMed]
- Khan, A.; Ahmad, A.; Ali, W.; Hussain, S.; Ajayo, B.S.; Raza, M.A.; Kamran, M.; Te, X.; al Amin, N.; Ali, S.; et al. Optimization of plant density and nitrogen regimes to mitigate lodging risk in wheat. Agron. J. 2020, 112, 2535–2551. [Google Scholar] [CrossRef]
- Liu, S.T.; Huang, Y.W.; Xu, H.; Zhao, M.H.; Xu, Q.; Li, F.C. Genetic enhancement of lodging resistance in rice due to the key cell wall polymer lignin, which affects stem characteristics. Breed. Sci. 2018, 68, 508–515. [Google Scholar] [CrossRef]
- Huang, J.; Wu, Q.; Jing, H.K.; Shen, R.F.; Zhu, X.F. Auxin facilitates cell wall phosphorus reutilization in a nitric oxide-ethylene dependent manner in phosphorus deficient rice (Oryza sativa L.). Plant Sci. 2022, 322, 111371. [Google Scholar] [CrossRef] [PubMed]
- Zhu, X.F.; Wang, Z.W.; Wan, J.X.; Sun, Y.; Wu, Y.R.; Li, G.X.; Shen, R.F.; Zheng, S.J. Pectin enhances rice (Oryza sativa) root phosphorus remobilization. J. Exp. Bot. 2015, 66, 1017–1024. [Google Scholar] [CrossRef]
- Liu, J.; Wang, W.; Qu, H.; Xiong, X.; Li, X. Effect of moderate electric field on rheological properties, cell wall components, and microstructure of apple tissue. J. Food Eng. 2023, 351, 111516. [Google Scholar] [CrossRef]
- Huhtanen, P.; Krizsan, S.J. Nutritional uniformity of cell wall and lignin fractions in grass and red clover silage evaluated by the Lucas test with application to forage feed evaluation. Anim. Feed Sci. Technol. 2023, 306, 115819. [Google Scholar] [CrossRef]
- Chen, H.; Cao, S.; Fang, X.; Mu, H.; Yang, H.; Wang, X.; Xu, Q.; Gao, H. Changes in fruit firmness, cell wall composition and cell wall degrading enzymes in postharvest blueberries during storage. Sci. Hortic. 2015, 188, 44–48. [Google Scholar] [CrossRef]
- Chen, L.; Zhou, Y.; He, Z.; Liu, Q.; Lai, S.; Yang, H. Effect of exogenous ATP on the postharvest properties and pectin degradation of mung bean sprouts (Vigna radiata). Food Chem. 2018, 251, 9–17. [Google Scholar] [CrossRef]
- Ge, Y.; Zhang, J.; Li, C.; Xue, W.; Zhang, S.; Lv, J. Trisodium phosphate delays softening of jujube fruit by inhibiting cell wall-degrading enzyme activities during ambient storage. Sci. Hortic. 2020, 262, 109059. [Google Scholar] [CrossRef]
- Kofalvi, S.A.; Nassuth, A. Influence of wheat streak mosaic virus infection on phenylpropanoid metabolism and the accumulation of phenolics and lignin in wheat. Physiol. Mol. Plant Pathol. 1995, 47, 365–377. [Google Scholar] [CrossRef]
- Bhaskara Reddy, M.V.; Arul, J.; Angers, P.; Couture, L. Chitosan treatment of wheat seeds induces resistance to Fusarium graminearum and improves seed quality. J. Agric. Food Chem. 1999, 47, 1208–1216. [Google Scholar] [CrossRef] [PubMed]
- Morrison, T.A.; Kessler, J.R.; Hatfield, R.D.; Buxton, D.R. Activity of two lignin biosynthesis enzymes during development of a maize internode. J. Sci. Food Agric. 1994, 65, 133–139. [Google Scholar] [CrossRef]
- Fujii, K.; Uemura, M.; Hayakawa, C.; Funakawa, S.; Kosaki, T. Environmental control of lignin peroxidase, manganese peroxidase, and laccase activities in forest floor layers in humid Asia. Soil Biol. Biochem. 2013, 57, 109–115. [Google Scholar] [CrossRef]







Disclaimer/Publisher’s Note: The statements, opinions and data contained in all publications are solely those of the individual author(s) and contributor(s) and not of MDPI and/or the editor(s). MDPI and/or the editor(s) disclaim responsibility for any injury to people or property resulting from any ideas, methods, instructions or products referred to in the content. |
© 2024 by the authors. Licensee MDPI, Basel, Switzerland. This article is an open access article distributed under the terms and conditions of the Creative Commons Attribution (CC BY) license (https://creativecommons.org/licenses/by/4.0/).
Share and Cite
Du, Y.; Zhao, H.; Feng, N.; Zheng, D.; Khan, A.; Zhou, H.; Deng, P.; Wang, Y.; Lu, X.; Jiang, W. Alginate Oligosaccharides Alleviate Salt Stress in Rice Seedlings by Regulating Cell Wall Metabolism to Maintain Cell Wall Structure and Improve Lodging Resistance. Plants 2024, 13, 1215. https://doi.org/10.3390/plants13091215
Du Y, Zhao H, Feng N, Zheng D, Khan A, Zhou H, Deng P, Wang Y, Lu X, Jiang W. Alginate Oligosaccharides Alleviate Salt Stress in Rice Seedlings by Regulating Cell Wall Metabolism to Maintain Cell Wall Structure and Improve Lodging Resistance. Plants. 2024; 13(9):1215. https://doi.org/10.3390/plants13091215
Chicago/Turabian StyleDu, Youwei, Huimin Zhao, Naijie Feng, Dianfeng Zheng, Aaqil Khan, Hang Zhou, Peng Deng, Yaxing Wang, Xutong Lu, and Wenxin Jiang. 2024. "Alginate Oligosaccharides Alleviate Salt Stress in Rice Seedlings by Regulating Cell Wall Metabolism to Maintain Cell Wall Structure and Improve Lodging Resistance" Plants 13, no. 9: 1215. https://doi.org/10.3390/plants13091215
APA StyleDu, Y., Zhao, H., Feng, N., Zheng, D., Khan, A., Zhou, H., Deng, P., Wang, Y., Lu, X., & Jiang, W. (2024). Alginate Oligosaccharides Alleviate Salt Stress in Rice Seedlings by Regulating Cell Wall Metabolism to Maintain Cell Wall Structure and Improve Lodging Resistance. Plants, 13(9), 1215. https://doi.org/10.3390/plants13091215

