Preharvest Mandarin Rind Disorder: Insights into Varietal Differences and Preharvest Treatments Effects on Postharvest Quality
Abstract
1. Introduction
2. Results
2.1. Physical Assessment of Rind Disorder Symptoms
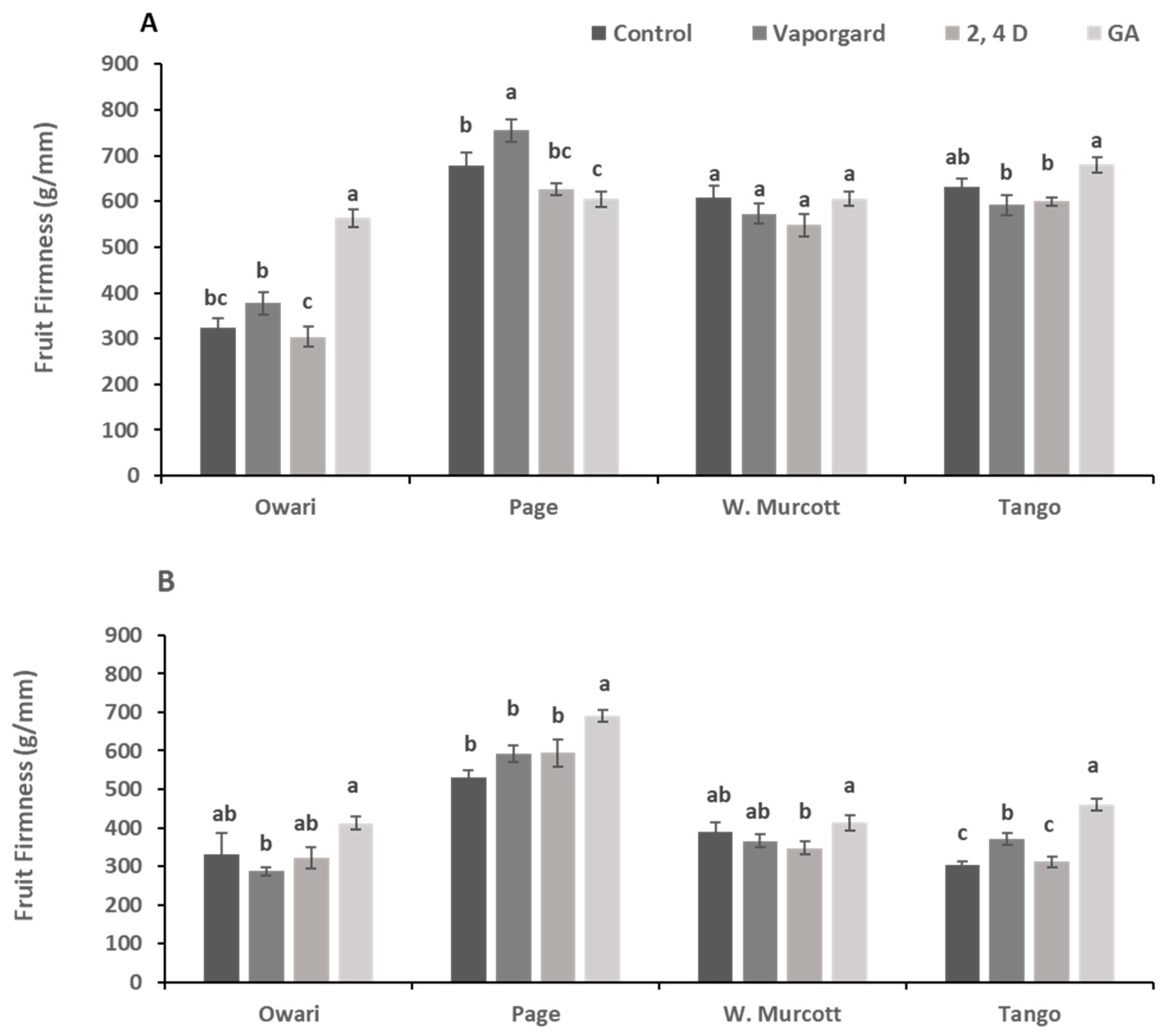
2.2. Effect of Various Treatments on Fruit Quality at Harvest
2.3. Postharvest Responses to Various Treatments Following Storage
3. Discussion
3.1. Preharvest Rind Disorder
3.2. Field Treatments to Control Preharvest Rind Disorder
3.3. Effect of the Color Break Stage Treatments on Fruit Quality at Harvest
3.4. Effect of the Color Break Stage Treatments on Postharvest Fruit Quality
4. Materials and Methods
4.1. Experimental Site and Plant Material
4.2. Pre-Harvest Application of Plant Growth Regulators
4.3. Measurements of Physiochemical Characteristics
4.4. Determination of Fruit Firmness
4.5. Measuring Fruit Color
4.6. Fruit Juice Extraction
4.7. Total Soluble Solids (TSS)
4.8. Titratable Acidity (TA) and pH
4.9. Experimental Design and Statistical Analysis
5. Conclusions
Supplementary Materials
Author Contributions
Funding
Data Availability Statement
Conflicts of Interest
References
- Bekele, D. Review on Factors Affecting Postharvest Quality of Fruits. J. Plant Sci. Res. 2018, 5, 180. [Google Scholar]
- Alquezar, B.; Mesejo, C.; Alferez, F.; Agustí, M.; Zacarias, L. Morphological and Ultrastructural Changes in Peel of ‘Navelate’ Oranges in Relation to Variations in Relative Humidity during Postharvest Storage and Development of Peel Pitting. Postharvest Biol. Technol. 2010, 56, 163–170. [Google Scholar] [CrossRef]
- Magwaza, L.S.; Opara, U.L.; Cronjé, P.J.R.; Landahl, S.; Terry, L.A.; Nicolaï, B.M. Nonchilling Physiological Rind Disorders in Citrus Fruit. Hortic. Rev. (Am. Soc. Hortic. Sci.) 2013, 41, 131–176. [Google Scholar] [CrossRef]
- Cronjé, P.J.R. Postharvest Rind Disorders of Citrus Fruit; Citrus Research International: Nelspruit, South Africa, 2007. [Google Scholar]
- Pervaiz, T.; Park, S.; Rezk, A.; Hur, M.; Obenland, D.; Arpaia, M.L.; El-kereamy, A. Metabolomic Analyses Provide Insights into the Preharvest Rind Disorder in Satsuma Owari Mandarin. Front. Plant Sci. 2023, 14, 1263354. [Google Scholar] [CrossRef]
- Jomori, M.L.L.; Kluge, R.A.; Jacomino, A.P. Cold Storage of “Tahiti” Lime Treated with 1-Methylcyclopropene. Sci. Agric. 2003, 60, 785–788. [Google Scholar] [CrossRef]
- Agustí, M.; Zaragoza, S.; Iglesias, D.J.; Almela, V.; Primo-Millo, E.; Talón, M. The Synthetic Auxin 3,5,6-TPA Stimulates Carbohydrate Accumulation and Growth in Citrus Fruit. Plant Growth Regul. 2002, 36, 141–147. [Google Scholar] [CrossRef]
- Ullah, R.; Sajid, M.; Ahmad, H.; Luqman, M.; Razaq, M.; Nabi, G.; Fahad, S.; Rab, A. Association of Gibberellic Acid (GA3) with Fruit Set and Fruit Drop of Sweet Orange. J. Biol. Agric. Healthc. 2014, 4, 54–59. [Google Scholar]
- Bons, H.K.; Kaur, N.; Rattanpal, H.S. Quality and Quantity Improvement of Citrus: Role of Plant Growth Regulators. Int. J. Agric. Environ. Biotechnol. IJAEB 2015, 8, 433–447. [Google Scholar] [CrossRef]
- Zea-Hernández, L.O.; Saucedo-Veloz, C.; Cruz-Huerta, N.; Ramírez-Guzmán, M.E.; Robles-González, M.M. Evaluation of Post-Harvest Applications of Gibberellic Acid on the Quality and Shelf Life of Three Varieties of Mexican Lime. Rev. Chapingo Ser. Hortic. 2016, 22, 17–26. [Google Scholar] [CrossRef]
- Tom, A.; Djonga, P.N.D.; Tsamo, C.; Valery, H.G.; Azangueu, J.; Noukelag, S.K. Structural Characterization of Bauxite Red Mud to Utilization in Ceramic Wall/Roofing Tile: Effect of Temperature on Mechanical Properties and Physic-Chemical Stability. Adv. Mater. Phys. Chem. 2022, 12, 1–18. [Google Scholar] [CrossRef]
- Bhoi, A.; Yadu, B.; Chandra, J.; Keshavkant, S. Contribution of Strigolactone in Plant Physiology, Hormonal Interaction and Abiotic Stresses. Planta 2021, 254, 28. [Google Scholar] [CrossRef]
- Nawaz, M.A.; Ahmad, W.; Ahmad, S.; Khan, M.M. Role of Growth Regulators on Preharvest Fruit Drop, Yield and Quality in Kinnow Mandarin. Pak. J. Bot. 2008, 40, 1971–1981. [Google Scholar]
- Şen, F.; Betül Meyvaci, K.; Zafer Can, H.; Teksür, P.K. Effect of Preharvest Gibberellic Acid and Calcium Applications on On-Tree Storage of Satsuma Mandarins. Acta Hortic. 2013, 1012, 233–240. [Google Scholar] [CrossRef]
- Rokaya, P.R.; Baral, D.R.; Gautam, D.M.; Shrestha, A.K.; Paudyal, K.P. Effect of Pre-Har-Vest Application of Gibberellic Acid on Fruit Quality and Shelf Life of Mandarin (Citrus reticulata Blanco). Am. J. Plant Sci. 2016, 7, 1033–1039. [Google Scholar] [CrossRef]
- Mcdonald, R.E.; Greany, P.D.; Shaw, P.E.; Mccollum, T.G. Preharvest Applications of Gibberellic Acid Delay Senescence of Florida Grapefruit. J. Hortic. Sci. 1997, 72, 461–468. [Google Scholar] [CrossRef]
- Deng, L.; Yin, B.; Yao, S.; Wang, W.; Zeng, K. Postharvest Application of Oligochitosan and Chitosan Reduces Calyx Alterations of Citrus Fruit Induced by Ethephon Degreening Treatment. J. Agric. Food Chem. 2016, 64, 7394–7403. [Google Scholar] [CrossRef]
- Cronjé, P.J.R.; Crouch, E.M.; Huysamer, M. Postharvest Calyx Retention of Citrus Fruit. Acta Hortic. 2005, 682, 369–376. [Google Scholar] [CrossRef]
- Khan, A.S.; Ali, S.; Hasan, M.U.; Malik, A.U.; Singh, Z. Postharvest Physiology of Citrus Fruit. In Citrus Production: Technological Advancements and Adaptation to Changing Climate; CRC Press: Boca Raton, FL, USA, 2022; Chapter 23; pp. 345–370. [Google Scholar]
- Stander, O.P.J.; Theron, K.I.; Cronjé, P.J.R. Foliar 2,4-D Application after Physiological Fruit Drop Reduces Fruit Splitting of Mandarin. Horttechnology 2014, 24, 717–723. [Google Scholar] [CrossRef]
- Khan, E.U.; Ali, L. Effect of Foliar Application of Gibberellic Acid (GA3) and 2,4-Dichlorophenoxyacetic Acid (2,4-D) on Yield and Fruit Quality of Low Seeded Kinnow Mandarin (Citrus reticulata Blanco). In Proceedings of Pakistan Society for Horticultural Science, 2nd International Conference on Horticultural Sciences, Punjab, Pakistan, 18–20 February 2016. [Google Scholar]
- Ashton, F.M.; Monaco, T.J. Weed Science: Principles and Practices, 3rd ed.; Wiley: New York, NY, USA, 1991. [Google Scholar]
- Ma, Q.; Ding, Y.; Chang, J.; Sun, X.; Zhang, L.; Wei, Q.; Cheng, Y.; Chen, L.; Xu, J.; Deng, X. Comprehensive Insights on How 2,4-Dichlorophenoxyacetic Acid Retards Senescence in Post-Harvest Citrus Fruits Using Transcriptomic and Proteomic Approaches. J. Exp. Bot. 2014, 65, 61–74. [Google Scholar] [CrossRef]
- Miller, W.R.; McDonald, R.E. Condition of Preharvest GA-Treated Grapefruit after Cold Treatment and Storage. In Proceedings of the Florida State Horticultural Society; Florida State Horticultural Society: Orlando, FL, USA, 1992; Volume 105, pp. 116–118. [Google Scholar]
- El-Otmani, M.; M’Barek, A.A.; Coggins, C.W. GA3 and 2,4-D Prolong on-Tree Storage of Citrus in Morocco. Sci. Hortic. 1990, 44, 241–249. [Google Scholar] [CrossRef]
- Coggins, C.; Hield, H.; Burns, R.; Eaks, I.; Lewis, L. Gibberellin Research with Citrus. Calif. Agric. 1966, 20, 12–13. [Google Scholar]
- Davies, F.S. Growth Regulators and Fruit Set of Citrus; Horticultural Sciences, University of Florida: Gainesville, FL, USA, 1982. [Google Scholar]
- Chapman, H.D. The Citrus Industry of South Africa. Calif. Citrogr. 1958, 43, 179–181. [Google Scholar]
- Davies, F.S.; Fidelibusa, M.W.; Campbell, C.A. 221 Gibberellic Acid Application Timing Effects on Juice Yield and Peel Quality of ‘Hamlin’ Oranges. HortScience 1999, 34, 480B–480. [Google Scholar] [CrossRef]
- Adaskaveg, J.E.; Förster, H.; Connell, J.H. Etiology and Management of a Mandarin Rind Disorder in California. Plant Dis. 2010, 94, 1485–1490. [Google Scholar] [CrossRef] [PubMed]
- Ritenour, M.A.; Dou, H. Stem-End Rind Breakdown of Citrus Fruit. Electron. Data Inf. Syst. EDIS 2003. [Google Scholar] [CrossRef]
- Romero, P.; Lafuente, M.T. Ethylene-Driven Changes in Epicuticular Wax Metabolism in Citrus Fruit. Food Chem. 2022, 372, 131320. [Google Scholar] [CrossRef]
- Serra, S.; Sullivan, N.; Mattheis, J.P.; Musacchi, S.; Rudell, D.R. Canopy Attachment Position Influences Metabolism and Peel Constituency of European Pear Fruit. BMC Plant Biol. 2018, 18, 364. [Google Scholar] [CrossRef]
- Chapman, J.C. Effect of 2, 4-Dichlorophenoxyacetic Acid and Gibberellic Acid in Delaying Pre-Harvest Drop and Rind Senescence on Ellendale Mandarin Fruit. Qld. J. Agric. Anim. Sci. 1983, 40, 129–131. [Google Scholar]
- Kassem, H.A.; Marzouk, H.A.; Al-Obeed, R.S. Effect of Putrescine, GA3, 2,4-D, and Calcium on Delaying Peel Senescence and Extending Harvest Season of Navel Orange. J. Appl. Hortic. 2012, 14, 56–62. [Google Scholar] [CrossRef]
- Goldschmidt, E.E.; Eilati, S.K. Gibberellin-Treated Shamouti Oranges: Effects on Coloration and Translocation Within Peel of Fruits Attached to or Detached from the Tree. Bot. Gaz. 1970, 131, 116–122. [Google Scholar] [CrossRef]
- Vashisth, T. Use of Gibberellic Acid to Improve Health and Productivity of HLB-Affected ‘Valencia’ Trees. Electron. Data Inf. Syst. EDIS 2023. [Google Scholar] [CrossRef]
- Lindhout, G.; Treeby, M.; Hardy, S.; Bevington, K. Using Gibberellic Acid Sprays on Navel Oranges; NSW DPI: Orange, NSW, Australia, 2008; Primefact 800. [Google Scholar]
- Besada, C.; Arnal, L.; Salvador, A. Improving Storability of Persimmon Cv. Rojo Brillante by Combined Use of Preharvest and Postharvest Treatments. Postharvest Biol. Technol. 2008, 50, 169–175. [Google Scholar] [CrossRef]
- Porat, R.; Feng, X.; Huberman, M.; Galili, D.; Goren, R.; Goldschmidt, E.E. Gibberellic Acid Slows Postharvest Degreening of ‘Oroblanco’citrus Fruits. HortScience 2001, 36, 937–940. [Google Scholar] [CrossRef]
- Syvertsen, J.; Hanlon, E.A. Citrus Tree Stresses: Effects on Growth and Yield. Electron. Data Inf. Syst. EDIS 2008. [Google Scholar] [CrossRef]
- Muramatsu, N.; Takahara, T.; Ogata, T.; Kojima, K. Changes in Rind Firmness and Cell Wall Polysaccharides during Citrus Fruit Development and Maturation. HortScience 1999, 34, 79–81. [Google Scholar] [CrossRef]
- Coggins, C.W., Jr.; Agustí, M.; Lovatt, C.J.; Et-Otmeni, M.; Coggins, C.W.; Agustf, M.; Lovett, C.J.; Goldschmidt, E.E. Plant Growth Regulators in Citriculture: World Current Uses. CRC Crit. Rev. Plant Sci. 2000, 19, 395–447. [Google Scholar] [CrossRef]
- Chalutz, E.; Waks, J.; Schiffmann-Nadel, M. A Comparison of the Response of Different Citrus Fruit Cultivars to Storage Temperature. Sci. Hortic. 1985, 25, 271–277. [Google Scholar] [CrossRef]
- Ge, X.; Cao, T.; Yi, L.; Yao, S.; Zeng, K.; Deng, L. Low, and High Storage Temperature Inhibited the Coloration of Mandarin Fruit (Citrus unshiu Marc.) with Different Mechanism. J. Sci. Food Agric. 2022, 102, 6930–6941. [Google Scholar] [CrossRef] [PubMed]
- Cai, N.; Wan, C.; Chen, J.; Chen, C. Evaluation of Postharvest Storability of Ponkan Mandarins Stored at Different Temperatures. Folia Hortic. 2021, 33, 354–364. [Google Scholar] [CrossRef]
- Singh, J.; Chahal, T.S.; Gill, P.S.; Jawandha, S.K. Comparison of Fruit Color and Quality Changes during Fruit Development in ‘Kinnow’ and ‘W. Murcott’ Mandarins. Erwerbs-Obstbau 2023, 65, 369–377. [Google Scholar] [CrossRef]
- Tietel, Z.; Lewinsohn, E.; Fallik, E.; Porat, R. Importance of Storage Temperatures in Maintaining Flavor and Quality of Mandarins. Postharvest Biol. Technol. 2012, 64, 175–182. [Google Scholar] [CrossRef]






| 1a | |||||||||||
|---|---|---|---|---|---|---|---|---|---|---|---|
| 0.5 °C | 7.5 °C | ||||||||||
| Control | Vapor Gard | 2,4-D | GA | Mean | Control | Vapor Gard | 2,4-D | GA | Mean | ||
| Owari | 3.9 ± 0.07 a | 3.74 ± 0.1 ab | 3.92 ± 0.08 a | 3.45 ± 0.16 b | 3.75 ± 0.07 a | 3.04 ± 0.11 a | 2.98 ± 0.29 a | 2.79 ± 0.09 a | 2.16 ± 0.15 b | 2.74 ± 0.12 c | 3.25 ± 0.11 B |
| Page | 3.55 ± 0.27 a | 3.14 ± 0.3 ab | 2.68 ± 0.31 b | 2.45 ± 0.22 b | 2.95 ± 0.17 b | 2.4 ± 0.12 a | 2.22 ± 0.25 a | 2.4 ± 0.08 a | 2.28 ± 0.06 a | 2.33 ± 0.067 d | 2.64 ± 0.1 C |
| W. Murcott | 3.6 ± 0.06 a | 3.62 ± 0.14 a | 3.7 ± 0.08 a | 3.08 ± 0.13 b | 3.5 ± 0.08 a | 3.19 ± 0.19 a | 2.88 ± 0.28 a | 3.22 ± 0.06 a | 2.68 ± 0.12 a | 2.99 ± 0.10 b | 3.245 ± 0.08 B |
| Tango | 3.91 ± 0.17 a | 3.47 ± 0.23 a | 3.61 ± 0.14 a | 3.75 ± 0.07 a | 3.69 ± 0.08 a | 3.52 ± 0.14 a | 3.24 ± 0.07 a | 3.2 ± 0.08 a | 3.31 ± 0.18 a | 3.31 ± 0.07 a | 3.5 ± 0.06 A |
| 3.74 ± 0.09 a | 3.55 ± 0.1 ab | 3.42 ± 0.15 bc | 3.18 ± 0.14 c | 3.04 ± 0.12 a | 2.95 ± 0.11 ab | 2.78 ± 0.13 bc | 2.61 ± 0.13 c | ||||
| 3.47 ± 0.07 A | 2.84 ± 0.06 B | ||||||||||
| 1b | |||||||||||
| 0.5 °C | 7.5 °C | ||||||||||
| Control | Vapor Gard | 2,4-D | GA | Mean | Control | Vapor Gard | 2,4-D | GA | Mean | ||
| Owari | 3.1 ± 0.06 a | 3.22 ± 0.06 a | 2.4 ± 0.08 b | 3.09 ± 0.17 a | 3.01 ± 0.11 a | 2.52 ± 0.06 a | 2.43 ± 0.08 a | 1.99 ± 0.16 b | 2.58 ± 0.03 a | 2.38 ± 0.07 b | 2.66 ± 0.08 B |
| Page | 3.43 ± 0.06 a | 3.05 ± 0.13 b | 2.40 ± 0.12 c | 3.17 ± 0.10 ab | 2.95 ± 0.1 a | 3.45 ± 0.21 a | 3.37 ± 0.16 a | 2.88 ± 0.11 b | 3.15 ± 0.1 ab | 3.21 ± 0.09 a | 3.11 ± 0.07 A |
| W. Murcott | 2.17 ± 0.13 b | 2.04 ± 0.06 bc | 1.74 ± 0.06 c | 2.77 ± 0.16 a | 2.18 ± 0.11 b | 1.72 ± 0.14 a | 1.66 ± 0.08 ab | 1.44 ± 0.06 b | 1.75 ± 0.07 a | 1.64 ± 0.05 c | 1.91 ± 0.08 C |
| Tango | 2.23 ± 0.06 a | 1.33 ± 0.1 c | 1.4 ± 0.07 c | 1.66 ± 0.05 b | 1.65 ± 0.1 c | 1.59 ± 0.03 a | 1.19 ± 0.06 bc | 1.28 ± 0.03 c | 1.4 ± 0.06 b | 1.36 ± 0.04 d | 1.51 ± 0.06 D |
| 2.73 ± 0.14 a | 2.43 ± 0.20 b | 1.97 ± 0.13 c | 2.67 ± 0.17 a | 2.32 ± 0.20 a | 2.19 ± 0.21 a | 1.87 ± 0.17 b | 2.22 ± 0.18 a | ||||
| 2.45 ± 0.09 A | 2.15 ± 0.1 B | ||||||||||
| 2a | |||||||||||
|---|---|---|---|---|---|---|---|---|---|---|---|
| 0.5 °C | 7.5 °C | ||||||||||
| Control | Vapor Gard | 2,4-D | GA | Mean | Control | Vapor Gard | 2,4-D | GA | Mean | ||
| Owari | 140.45 ± 3.5 ab | 136.79 ± 4.7 b | 130.39 ± 2.5 b | 159.70 ± 11.4 a | 141.83 ± 4.1 d | 149.1 ± 2.35 ab | 157.52 ± 7.09 a | 135.96 ± 3.43 b | 160.05 ± 2.68 a | 150.65 ± 3.1 c | 146.24 ± 2.63 D |
| Page | 333.91 ± 9.7 a | 350.39 ± 21.7 a | 351.77 ± 12.0 a | 344.73 ± 15.1 a | 345.2 ± 7.1 a | 303.76 ± 10.74 a | 317.2 ± 18.11 a | 326.2 ± 24.45 a | 306.23 ± 11.7 a | 313.35 ± 8.02 a | 329.27 ± 5.99 A |
| W. Murcott | 199.93 ± 6.4 ab | 202.04 ± 6.9 a | 177.29 ± 4.6 b | 191.9 ± 10.5 ab | 192.79 ± 4.2 c | 215 ± 6.81 a | 206.73 ± 5.14 a | 203.33 ± 19.08 a | 235.88 ± 7.95 a | 215.23 ± 5.97 b | 204.01 ± 4.11 C |
| Tango | 239.78 ± 9.0 ab | 218.09 ± 6.7 b | 245.2 ± 11.6a b | 254.03 ± 8.3 a | 239.27 ± 5.3 b | 210.82 ± 7.25 b | 204.21 ± 7.52 b | 213.8 ± 7.51 b | 276.1 ± 19.31 a | 226.23 ± 9.11 b | 232.75 ± 5.32 B |
| 288.52 ± 18.4 a | 255.23 ± 21.1 a | 277.75 ± 21.4 a | 377.59 ± 18.9 a | 219.7 ± 14.62 b | 216.0 ± 17.39 b | 225.22 ± 17.6b | 244.56 ± 15.14a | ||||
| 229.77 ± 9.8 A | 226.36 ± 8.05 A | ||||||||||
| 2b | |||||||||||
| 0.5 °C | 7.5 °C | ||||||||||
| Control | Vapor Gard | 2,4-D | GA | Mean | Control | Vapor Gard | 2,4-D | GA | Mean | ||
| Owari | 112.84 ± 3.32 b | 113.1 ± 7.39 b | 132.96 ± 10.6 b | 162.03 ± 8.07 a | 128.11 ± 6.14 c | 110.35 ± 1.58 b | 109.09 ± 0.85 b | 122.63 ± 3.1 a | 121.94 ± 3.42 a | 116 ± 1.97 d | 118.05 ± 4.96 C |
| Page | 228.2 ± 6.76 a | 246.45 ± 4.56 a | 248.21 ± 8.86 a | 250.41 ± 9.72 a | 243.32 ± 4.14 a | 191.18 ± 1.32 b | 214.54 ± 6.62 a | 210.5 ± 5.84 a | 206.3 ± 6.23 ab | 205.63 ± 3.34 c | 224.47 ± 4.28 B |
| W. Murcott | 259.2 ± 7.04 a | 225.85 ± 4.86 b | 232.13 ± 3.9 b | 258.85 ± 8.07 a | 244.01 ± 4.8 a | 247.1 ± 5.62 ab | 239.8 ± 6.48 ab | 226.6 ± 10.48 b | 258.1 ± 1.96 a | 242.9 ± 4.26 b | 243.45 ± 3.16 A |
| Tango | 194.96 ± 1.45 c | 217.91 ± 9.28 b | 204.8 ± 6.3 bc | 247.06 ± 3.72 a | 216.18 ± 5.72 b | 238.11 ± 4.84 b | 243.13 ± 7.35 b | 235.03 ± 7.03 b | 291.44 ± 10.52 a | 251.93 ± 6.87 a | 234.05 ± 5.44 A |
| 198.8 ± 14.28 b | 205.8 ± 11.72 b | 199.56 ± 13.5 b | 234.09 ± 10.29 a | 196.68 ± 14.1b c | 205.03 ± 12.9 b | 195.29 ± 13.42 c | 219.45 ± 16.76 a | ||||
| 205.9 ± 7.15 A | 204.11 ± 7.12 A | ||||||||||
Disclaimer/Publisher’s Note: The statements, opinions and data contained in all publications are solely those of the individual author(s) and contributor(s) and not of MDPI and/or the editor(s). MDPI and/or the editor(s) disclaim responsibility for any injury to people or property resulting from any ideas, methods, instructions or products referred to in the content. |
© 2024 by the authors. Licensee MDPI, Basel, Switzerland. This article is an open access article distributed under the terms and conditions of the Creative Commons Attribution (CC BY) license (https://creativecommons.org/licenses/by/4.0/).
Share and Cite
Rezk, A.; Pervaiz, T.; Douhan, G.; Obenland, D.; Arpaia, M.L.; El-kereamy, A. Preharvest Mandarin Rind Disorder: Insights into Varietal Differences and Preharvest Treatments Effects on Postharvest Quality. Plants 2024, 13, 1040. https://doi.org/10.3390/plants13081040
Rezk A, Pervaiz T, Douhan G, Obenland D, Arpaia ML, El-kereamy A. Preharvest Mandarin Rind Disorder: Insights into Varietal Differences and Preharvest Treatments Effects on Postharvest Quality. Plants. 2024; 13(8):1040. https://doi.org/10.3390/plants13081040
Chicago/Turabian StyleRezk, Alaaeldin, Tariq Pervaiz, Greg Douhan, David Obenland, Mary Lu Arpaia, and Ashraf El-kereamy. 2024. "Preharvest Mandarin Rind Disorder: Insights into Varietal Differences and Preharvest Treatments Effects on Postharvest Quality" Plants 13, no. 8: 1040. https://doi.org/10.3390/plants13081040
APA StyleRezk, A., Pervaiz, T., Douhan, G., Obenland, D., Arpaia, M. L., & El-kereamy, A. (2024). Preharvest Mandarin Rind Disorder: Insights into Varietal Differences and Preharvest Treatments Effects on Postharvest Quality. Plants, 13(8), 1040. https://doi.org/10.3390/plants13081040

