Infrared Thermography Monitoring of Durum and Common Wheat for Adaptability Assessing and Yield Performance Prediction
Abstract
1. Introduction
2. Results and Discussion
2.1. Introduction to Experimental Analysis
2.2. Evaluation of the Wheat Stress Level Index
2.3. Evaluation of the Wheat Cover Index
2.4. Yield and Its Component Parameters
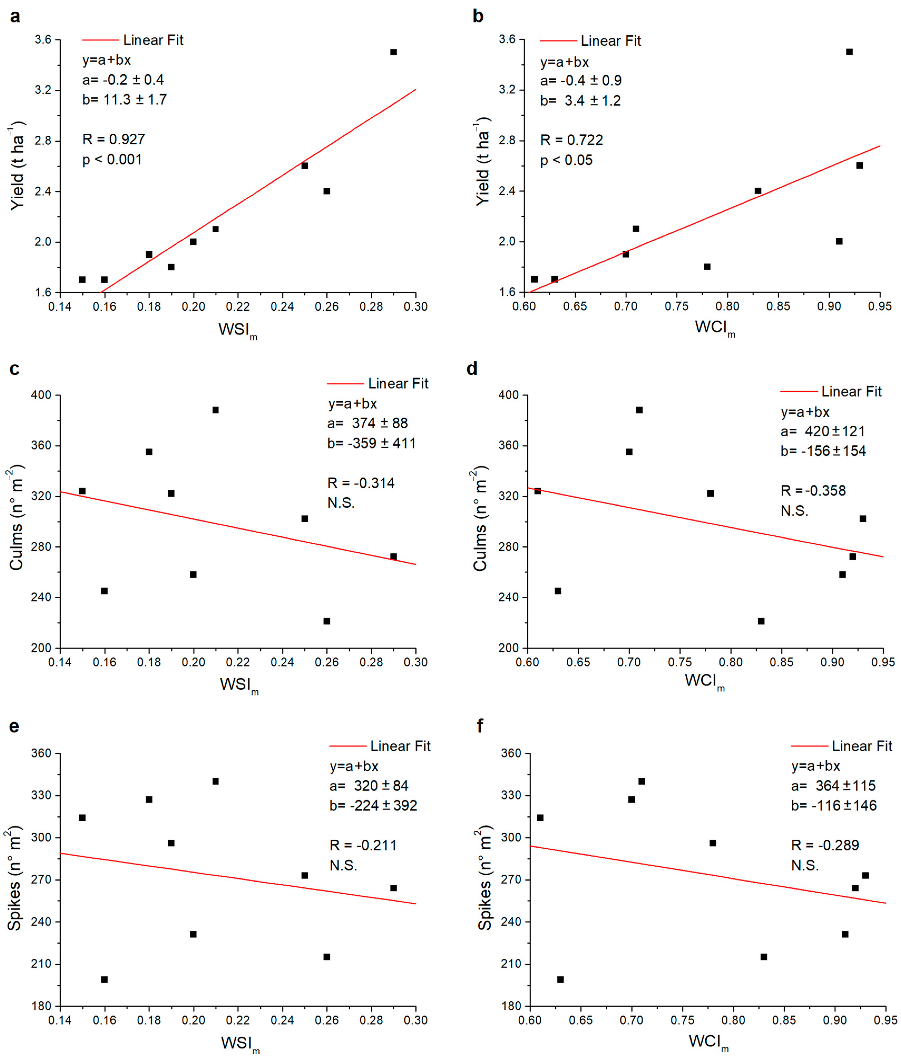
2.5. Data Correlation
3. Materials and Methods
3.1. Experimental Design, Plant Materials and Crop Management
3.2. Yield and Yield Parameter Measurements
3.3. Infrared Thermography Measurements
3.4. Statistical Analysis
4. Conclusions
Author Contributions
Funding
Data Availability Statement
Conflicts of Interest
References
- Mangini, G.; Margiotta, B.; Marcotuli, I.; Signorile, M.A.; Gadaleta, A.; Blanco, A. Genetic diversity and phenetic analysis in wheat (Triticum turgidum subsp. durum and Triticum aestivum subsp. aestivum) landraces based on SNP markers. Genet. Resour. Crop Evol. 2017, 64, 1269–1280. [Google Scholar] [CrossRef]
- Alfonzo, A.; Sicard, D.; Di Miceli, G.; Guezenec, S.; Settanni, L. Ecology of yeasts associated with kernels of several durum wheat genotypes and their role in co-culture with Saccharomyces cerevisiae during dough leavening. Food Microbiol. 2020, 94, 103666. [Google Scholar] [CrossRef] [PubMed]
- Peña-Bautista, R.J.; Hernandez-Espinosa, N.; Jones, J.M.; Guzmán, C.; Braun, H.J. CIMMYT series on carbohydrates, wheat, grains, and health: Wheat-based foods: Their global and regional importance in the food supply, nutrition, and health. Cereal Foods World 2017, 62, 231–249. [Google Scholar] [CrossRef]
- Pomeranz, Y. Bread around the world. In Modern Cereal Science and Technology; Pomeranz, Y., Ed.; VCH Publishers, Inc.: New York, NY, USA, 1987; p. 258. [Google Scholar]
- Braun, H.J.; Atlin, G.; Payne, T. Multi-location testing as a tool to identify plant response to global climate change. In Climate Change and Crop Production; Reynolds, C.R.P., Ed.; CABI: London, UK, 2010; p. 115. [Google Scholar]
- Afzal, F.; Khalil, S.; Gul, A.; Farooq, A.; Ali, H.; Nisar, S.; Sarfraz, B.; Shehzadi, K.J.; Mujueeb-Kazi, A. Bread Wheat (Triticum aestivum L.) Under Biotic and Abiotic Stresses: An Overview. In Crop Production and Global Environmental Issues; Hakeem, K., Ed.; Springer: Cham, Switzerland, 2015; pp. 293–317. [Google Scholar]
- Akter, N.; Rafiqul Islam, M. Heat stress effects and management in wheat. A review. Agron. Sustain. Dev. 2017, 37, 37. [Google Scholar] [CrossRef]
- Ottaiano, L.; Di Mola, I.; Cozzolino, E.; Mori, M. Preliminary Results of the Use of Sowing Time and Variety Choice as Techniques of Adaptability of Durum Wheat (Triticum durum Desf.) to Temperature Increases. Sustainability 2022, 14, 14111. [Google Scholar] [CrossRef]
- Ayed, S.; Othmani, A.; Chaieb, N.; Rezgui, M.; Ben Younes, M. Relation between agro-meteorological indices, heading date and biological/grain yield of durum wheat genotypes. J. Res. Agric. Anim. Sci. 2016, 3, 1–6. [Google Scholar]
- Tack, J.; Barkley, A.; Nalley, L.L. Effect of warming temperatures on US wheat yields. Proc. Natl. Acad. Sci. USA 2015, 112, 6931–6936. [Google Scholar] [CrossRef] [PubMed]
- Salazar-Gutierrez, M.R.; Johnson, J.; Chaves-Cordoba, B.; Hoogenboom, G. Relationship of base temperature to development of winter wheat. Int. J. Plant Prod. 2013, 7, 1735–8043. [Google Scholar]
- Asseng, S.; Foster, I.; Turner, N.C. The impact of temperature variability on wheat yields. Glob. Chang. Biol. 2011, 17, 997–1012. [Google Scholar] [CrossRef]
- Hartmann, D.L.; Klein Tank, A.M.G.; Rusticucci, M.; Alexander, L.V.; Brön-nimann, S.; Charabi, Y.; Dentener, F.J.; Dlugokencky, E.J.; Easterling, D.R.; Kaplan, A.; et al. Observations: Atmosphere and surface. In Climate Change 2013: The Physical Science Basis. Contribution of Working Group I to the Fifth Assessment Report of the Intergovernmental Panel on Climate Change; Cambridge University Press: London, UK; Cambridge University Press: New York, NY, USA, 2013. [Google Scholar]
- Lyon, C.; Saupe, E.E.; Smith, C.J.; Hill, D.J.; Beckerman, A.P.; Stringer, L.C.; Marchant, R.; McKay, J.; Burke, A.; O’Higgins, P.; et al. Climate change research and action must look beyond 2100. Glob. Chang. Biol. 2022, 28, 349–361. [Google Scholar] [CrossRef]
- Jaradat, A.A. Phenotypic divergence in the meta-population of the Hourani durum wheat landrace. J. Food Agric. Environ. 2006, 4, 186–191. [Google Scholar]
- Jaradat, A.A. Wheat Landraces: A Mini Review. Emir. J. Food Agric. 2017, 25, 20–29. [Google Scholar] [CrossRef]
- Carvajal-Yepes, M.; Cardwell, K.; Nelson, A.; Garrett, K.A.; Giovani, B.; Saunders, D.G.O.; Kamoun, S.; Legg, J.P.; Verdier, V.; Lessel, J.; et al. A global surveillance system for crop diseases. Science 2019, 364, 1237–1239. [Google Scholar] [CrossRef]
- Li, L.; Zhang, Q.; Huang, D. A review of imaging techniques for plant phenotyping. Sensors 2014, 14, 20078–20111. [Google Scholar] [CrossRef] [PubMed]
- Karmakar, P.; Teng, S.W.; Murshed, M.; Pang, S.; Li, Y.; Lin, H. Crop monitoring by multimodal remote sensing: A review. Remote Sens. Appl. Soc. Environ. 2024, 33, 101093. [Google Scholar] [CrossRef]
- Polder, G.; Dieleman, J.A.; Hageraats, S.; Meinen, E. Imaging spectroscopy for monitoring the crop status of tomato plants. Comput. Electron. Agric. 2024, 216, 108504. [Google Scholar] [CrossRef]
- Li, D.; Li, C.; Yao, Y.; Li, M.; Liu, L. Modern imaging techniques in plant nutrition analysis: A review. Comput. Electron. Agric. 2020, 174, 105459. [Google Scholar] [CrossRef]
- Pineda, M.; Barón, M.; Pérez-Bueno, M.L. Thermal imaging for plant stress detection and phenotyping. Remote Sens. 2021, 13, 68. [Google Scholar] [CrossRef]
- Ishimwe, R.; Abutaleb, K.; Ahmed, F. Applications of thermal imaging in agriculture—A review. Adv. Remote Sens. 2014, 3, 128–140. [Google Scholar] [CrossRef]
- Vadivambal, R.; Jayas, D.S. Applications of thermal imaging in agriculture and food industry—A review. Food Bioprocess Technol. 2011, 4, 186–199. [Google Scholar] [CrossRef]
- Aryalekshmi, B.N.; Biradar, R.C.; Mohammed Ahamed, J. Thermal Imaging Techniques in Agricultural Applications. Int. J. Innov. Technol. Explor. Eng. 2019, 8, 2162–2168. [Google Scholar]
- Capraro, A.C.W.; Steppe, K.; Van Asten, P.J.A.; Laderach, P.; Jassogne, L.T.P.; Grab, S.W. Application of thermography for monitoring stomatal conductance of Coffea Arabica under different shading systems. Sci. Total Environ. 2017, 609, 755–763. [Google Scholar] [CrossRef] [PubMed]
- Guilioni, L.; Jones, H.G.; Leinonen, I.; Lhomme, J.P. On the relationships between stomatal resistance and leaf temperatures in thermography. Agric. For. Meteorol. 2008, 148, 1908–1912. [Google Scholar] [CrossRef]
- Garbea, C.S.; Schurrb, U.; Jähnea, B. Thermographic measurements on plant leaves. Thermosense XXIV 2002, 4710, 1–9. [Google Scholar]
- Rippa, M.; Battaglia, V.; Cermola, M.; Sicignano, M.; Lahoz, E.; Mormile, P. Monitoring of the copper persistence on plant leaves using pulsed thermography. Environ. Monit. Assess. 2022, 194, 60. [Google Scholar] [CrossRef]
- Oerke, E.C.; Fröhling, P.; Steiner, U. Thermographic assessment of scab disease on apple leaves. Precis. Agric. 2011, 12, 699–715. [Google Scholar] [CrossRef]
- Cohen, Y.; Alchanatis, V.; Sela, E.; Saranga, Y.; Cohen, S.; Meron, S.; Bosak, A.; Tsipris, J.; Ostrovsky, V.; Orolov, V.; et al. Crop water status estimation using thermography: Multi-year model development using ground-based thermal images. Precis. Agric. 2015, 16, 311–329. [Google Scholar] [CrossRef]
- Rippa, M.; Ambrosone, A.; Leone, A.; Mormile, P. Active thermography for real time monitoring of UV-B plant interactions. J. Photochem. Photobiol. B Biol. 2020, 208, 111900. [Google Scholar] [CrossRef]
- Blonquist, J.M., Jr.; Norman, J.M.; Bugbee, B. Automated measurement of canopy stomatal conductance based on infrared temperature. Agric. For. Meteorol. 2009, 149, 1931–1945. [Google Scholar] [CrossRef]
- Bajons, P.; Klinger, G.; Schlosser, V. Determination of stomatal conductance by means of infrared thermography. Infrared Phys. Technol. 2005, 46, 429–439. [Google Scholar] [CrossRef]
- Zhou, Z.; Diverres, G.; Kang, C.; Thapa, S.; Karkee, M.; Zhang, Q.; Keller, M. Ground-Based Thermal Imaging for Assessing Crop Water Status in Grapevines over a Growing Season. Agronomy 2022, 12, 322. [Google Scholar] [CrossRef]
- Galieni, A.; D’Ascenzo, N.; Stagnari, F.; Pagnani, G.; Xie, Q.; Pisante, M. Past and Future of Plant Stress Detection: An Overview from Remote Sensing to Positron Emission Tomography. Front. Plant Sci. 2021, 11, 609155. [Google Scholar] [CrossRef]
- Bonanomi, G.; Battista Chirico, G.; Palladino, M.; Gaglione, S.A.; Crispo, D.G.; Lazzaro, U.; Sica, B.; Cesarano, G.; Tushar, F.I.; Sarker, C.; et al. Combined application of photo-selective mulching films and beneficial microbes affects crop yield and irrigation water productivity in intensive farming systems. Agric. Water Manag. 2017, 184, 104–113. [Google Scholar] [CrossRef]
- Wang, L.; Poque, S.; Valkonen, J.P. Phenotyping viral infection in sweet potato using a high-throughput chlorophyll fluorescence and thermal imaging platform. Plant Methods 2019, 15, 116. [Google Scholar] [CrossRef]
- Rippa, M.; Pasqualini, A.; Curcio, R.; Mormile, P.; Pane, C. Active vs. Passive Thermal Imaging for Helping the Early Detection of Soil-Borne Rot Diseases on Wild Rocket [Diplotaxis tenuifolia (L.) D.C.]. Plants 2023, 12, 1615. [Google Scholar] [CrossRef] [PubMed]
- Rippa, M.; Del Regno, C.; Cappetta, E.; Russo, A.; Mele, F.; Curcio, R.; De Rosa, A.; Leone, A.; Mormile, P.; Ruocco, M.; et al. Pulsed thermography as a reliable tool to detect presymptomatic stages of Botrytis cinerea infection in plants. ACS Agric. Sci. Technol. 2023, 3, 499–507. [Google Scholar] [CrossRef]
- Pane, C.; Manganiello, G.; Nicastro, N.; Carotenuto, F. Early detection of wild rocket tracheofusariosis using hyperspectral image-based machine learning. Remote Sens. 2022, 14, 84. [Google Scholar] [CrossRef]
- McKinney, H.H. Influence of soil temperature and moisture on infection of wheat seedlings by Helminthosporium sativum. J. Agric. Res. 1923, 26, 195–217. [Google Scholar]
- Elsayed, S.; Elhoweity, M.; Ibrahim, H.H.; Dewir, Y.H.; Migdadi, H.M.; Schmidhalter, U. Thermal imaging and passive reflectance sensing to estimate the water status and grain yield of wheat under different irrigation regimes. Agric. Water Manag. 2017, 189, 98–110. [Google Scholar] [CrossRef]
- Banerjee, K.; Krishnan, P. Normalized Sunlit Shaded Index (NSSI) for characterizing the moisture stress in wheat crop using classified thermal and visible images. Ecol. Indic. 2020, 110, 105947. [Google Scholar] [CrossRef]
- Yuxuan, W.; Zia-Khan, S.; Owusu-Adu, S.; Miedaner, T.; Müller, J. Early detection of Zymoseptoria tritici in winter wheat by infrared thermography. Agriculture 2019, 9, 139. [Google Scholar]
- Romero-Bravo, S.; Méndez-Espinoza, A.M.; Garriga, M.; Estrada, F.; Escobar, A.; González-Martinez, L.; Poblete-Echeverría, C.; Sepulveda, D.; Matus, I.; Castillo, D.; et al. Thermal Imaging Reliability for Estimating Grain Yield and Carbon Isotope Discrimination in Wheat Genotypes: Importance of the Environmental Conditions. Sensors 2019, 19, 2676. [Google Scholar] [CrossRef] [PubMed]
- Gracia-Romero, A.; Kefauver, S.C.; Fernandez-Gallego, J.A.; Vergara-Díaz, O.; Nieto-Taladriz, M.T.; Araus, J.L. UAV and Ground Image-Based Phenotyping: A Proof of Concept with Durum Wheat. Remote Sens. 2019, 11, 1244. [Google Scholar] [CrossRef]
- Ehrler, W.L. Cotton leaf temperatures as related to soil water depletion and meteorological factors. Agron. J. 1973, 65, 404–409. [Google Scholar] [CrossRef]
- Idso, S.B.; Jackson, R.D.; Reginato, R.J. Remote-sensing of crop yields. Science 1977, 196, 19–25. [Google Scholar] [CrossRef]
- Ashfaq, W.; Fuentes, S.; Brodie, G.; Gupta, D. The role of silicon in regulating physiological and biochemical mechanisms of contrasting bread wheat cultivars under terminal drought and heat stress environments. Front. Plant Sci. 2022, 13, 955490. [Google Scholar] [CrossRef]
- Ashfaq, W.; Brodie, G.; Fuentes, S.; Gupta, D. Infrared Thermal Imaging and Morpho-Physiological Indices Used for Wheat Genotypes Screening under Drought and Heat Stress. Plants 2022, 11, 3269. [Google Scholar] [CrossRef] [PubMed]
- Jackson, R.D.; Idso, S.B.; Reginato, R.J.; Pinter, P.J. Canopy temperature as a crop water stress indicator. Water Resour. Res. 1981, 17, 1133–1138. [Google Scholar] [CrossRef]
- Zhou, Z.; Majeed, Y.; Diverres Naranjo, G.; Gambacorta, E.M.T. Assessment for crop water stress with infrared thermal imagery in precision agriculture: A review and future prospects for deep learning applications. Comput. Electron. Agric. 2021, 182, 106019. [Google Scholar] [CrossRef]
- Idso, S.B.; Reginato, R.J.; Jackson, R.D.; Pinter, P.J. Foliage and air temperatures: Evidence for a dynamic “equivalence point”. Agric. Meteorol. 1981, 24, 223–226. [Google Scholar] [CrossRef]
- Rodriguez, D.; Sadras, V.O.; Christensen, L.K.; Belford, R. Spatial assessment of the physiological status of wheat crops as afected by water and nitrogen supply using infrared thermal imagery. Aust. J. Agric. Res. 2005, 56, 983–993. [Google Scholar] [CrossRef]
- Jones, H.G. Use of infrared thermometry for estimation of stomatal conductance as a possible aid to irrigation scheduling. Agric. For. Meteorol. 1999, 95, 139–149. [Google Scholar] [CrossRef]
- Maes, W.H.; Achten, W.M.J.; Reubens, B.; Muys, B. Monitoring stomatal conductance of Jatropha curcas seedlings under diferent levels of water shortage with infrared thermography. Agric. For. Meteorol. 2011, 151, 554–564. [Google Scholar] [CrossRef]
- Mertens, S.; Verbraeken, L.; Sprenger, H.; De Meyer, S.; Demuynck, K.; Cannoot, B.; Merchie, J.; De Block, J.; Vogel, J.T.; Bruce, W.; et al. Monitoring of drought stress and transpiration rate using proximal thermal and hyperspectral imaging in an indoor automated plant phenotyping platform. Plant Methods 2023, 19, 132. [Google Scholar] [CrossRef]
- Lindenthal, M.; Steiner, U.; Dehne, H.W.; Oerke, E.C. Effect of downy mildew development on transpiration of cucumber leaves visualized by digital infrared thermography. Phytopathology 2005, 95, 233–240. [Google Scholar] [CrossRef]
- Elsayed, S.; Rischbeck, P.; Schmidhalter, U. Comparing the performance of active and passive reflectance sensors to assess the normalized relative canopy temperature and grain yield of drought-stressed barley cultivars. Field Crop. Res. 2015, 177, 148–160. [Google Scholar] [CrossRef]








| Durum Wheat | Common Wheat | ||
|---|---|---|---|
| Variety | Composition | Variety | Composition |
| Senatore Cappelli (SC) | pure | Risciola (RS) | pure |
| Marzellina (MZ) | pure | Romanella (RM) | pure |
| Saragolla Lucana (SL) | pure | Gentilrosso (GR) | pure |
| MixD1 | 33% SC–33% MZ–33% SL | MixC1 | 33% RS–33% RM–33% GR |
| MixD2 | 50% SC–25% MZ–25% SL | MixC2 | 50% RS–25% RM–25% GR |
| MixD3 | 25% SC–50% MZ–25% SL | MixC3 | 25% RS–50% RM–25% GR |
| MixD4 | 25% SC–25% MZ–50% SL | MixC4 | 25% RS–25% RM–50% GR |
| Pigreco (PG) | pure | Axum (AX) | pure |
| Svevo (SV) | pure | Alteo (AL) | pure |
| Durum Wheat | Common Wheat | ||||||||||
|---|---|---|---|---|---|---|---|---|---|---|---|
| Variety | WSI | WSIm | Variety | WSI | WSIm | ||||||
| S.E. | H.B. | M.W.R. | F.R. | S.E. | H.B. | M.W.R. | F.R. | ||||
| SC | 0.21 | 0.31 | 0.27 | 0.21 | 0.25 | RS | 0.18 | 0.23 | 0.23 | 0.17 | 0.20 |
| MZ | 0.16 | 0.19 | 0.23 | 0.17 | 0.19 | RM | 0.17 | 0.25 | 0.21 | 0.18 | 0.20 |
| SL | 0.18 | 0.22 | 0.23 | 0.19 | 0.20 | GR | 0.19 | 0.22 | 0.25 | 0.17 | 0.21 |
| MixD1 | 0.14 | 0.20 | 0.21 | 0.16 | 0.18 | MixC1 | 0.12 | 0.18 | 0.17 | 0.13 | 0.15 |
| MixD2 | 0.18 | 0.24 | 0.24 | 0.19 | 0.21 | MixC2 | 0.13 | 0.19 | 0.18 | 0.14 | 0.16 |
| MixD3 | 0.15 | 0.19 | 0.17 | 0.14 | 0.16 | MixC3 | 0.12 | 0.17 | 0.16 | 0.15 | 0.15 |
| MixD4 | 0.14 | 0.17 | 0.18 | 0.13 | 0.15 | MixC4 | 0.16 | 0.21 | 0.19 | 0.17 | 0.18 |
| PG | 0.23 | 0.31 | 0.28 | 0.23 | 0.26 | AX | 0.18 | 0.21 | 0.30 | 0.19 | 0.22 |
| SV | 0.24 | 0.32 | 0.33 | 0.26 | 0.29 | AL | 0.23 | 0.32 | 0.27 | 0.21 | 0.26 |
| PP-WSIm | 0.18 | 0.24 | 0.24 | 0.19 | PP-WSIm | 0.16 | 0.22 | 0.22 | 0.17 | ||
| Durum Wheat | Common Wheat | ||
|---|---|---|---|
| Variety | WCIm | Variety | WCIm |
| SC | 0.93 ± 0.05 | RS | 0.78 ± 0.04 |
| MZ | 0.78 ± 0.04 | RM | 0.80 ± 0.04 |
| SL | 0.91 ± 0.04 | GR | 0.93 ± 0.05 |
| MixD1 | 0.70 ± 0.03 | MixC1 | 0.65 ± 0.03 |
| MixD2 | 0.71 ± 0.03 | MixC2 | 0.63 ± 0.04 |
| MixD3 | 0.63 ± 0.04 | MixC3 | 0.64 ± 0.04 |
| MixD4 | 0.61 ± 0.04 | MixC4 | 0.75 ± 0.04 |
| PG | 0.83 ± 0.04 | AX | 0.83 ± 0.05 |
| SV | 0.92 ± 0.05 | AL | 0.85 ± 0.04 |
| Variety | Yield (t ha−1) | Culms (n° m2) | Spikes (n° m2) | Total Biomass (t ha−1) |
|---|---|---|---|---|
| SC | 2.6 ± 0.2 ab | 302 ± 15 ab | 273 ± 8 ab | 10.0 ± 1.0 a |
| MZ | 1.8 ± 0.2 b | 322 ± 32 ab | 296 ± 24 ab | 6.6 ± 0.6 ab |
| SL | 2.0 ± 0.2 b | 258 ± 25 ab | 231 ± 11 ab | 7.7 ± 0.6 ab |
| MixD1 | 1.9 ± 0.3 b | 355 ± 16 ab | 327 ± 11 a | 7.8 ± 0.9 ab |
| MixD2 | 2.1 ± 0.4 b | 388 ± 39 a | 340 ± 40 a | 8.6 ± 0.8 ab |
| MixD3 | 1.7 ± 0.3 b | 245 ± 30 b | 199 ± 54 b | 7.5 ± 0.5 ab |
| MixD4 | 1.7 ± 0.3 b | 324 ± 40 ab | 314 ± 33 a | 7.2 ± 1.4 ab |
| PG | 2.4 ± 0.2 ab | 221 ± 29 b | 215 ± 31 ab | 5.7 ± 0.6 b |
| SV | 3.5 ± 0.3 a | 272 ± 10 ab | 264 ± 3 ab | 7.6 ± 0.9 ab |
| Significance | ** | * | * | * |
| Variety | Yield (t ha−1) | Culms (n° m2) | Spikes (n° m2) | Total Biomass (t ha−1) |
|---|---|---|---|---|
| RS | 2.1 ± 0.2 ac | 380 ± 43 ab | 364 ± 36 ab | 6.5 ± 0.8 ab |
| RM | 1.8 ± 0.1 bc | 414 ± 34 ab | 394 ± 35 ab | 6.2 ± 0.1 ab |
| GR | 2.2 ± 0.2 ac | 377 ± 46 ab | 352 ± 51 ab | 7.7 ± 0.5 ab |
| MixC1 | 1.5 ± 0.1 c | 275 ± 22 b | 260 ± 20 b | 6.1 ± 0.2 ab |
| MixC2 | 1.5 ± 0.2 c | 298 ± 41 ab | 275 ± 46 b | 6.2 ± 0.5 ab |
| MixC3 | 1.6 ± 0.3 c | 367 ± 41 ab | 341 ± 46 ab | 5.6 ± 0.5 b |
| MixC4 | 2.1 ± 0.1 ac | 360 ± 34 ab | 367 ± 46 ab | 6.4 ± 0.1 ab |
| AX | 2.8 ± 0.2 ab | 380 ± 55 ab | 378 ± 46 ab | 6.8 ± 0.6 ab |
| AL | 3.0 ± 0.3 a | 492 ± 23 a | 485 ± 46 a | 6.8 ± 0.5 ab |
| Significance | ** | * | * | * |
Disclaimer/Publisher’s Note: The statements, opinions and data contained in all publications are solely those of the individual author(s) and contributor(s) and not of MDPI and/or the editor(s). MDPI and/or the editor(s) disclaim responsibility for any injury to people or property resulting from any ideas, methods, instructions or products referred to in the content. |
© 2024 by the authors. Licensee MDPI, Basel, Switzerland. This article is an open access article distributed under the terms and conditions of the Creative Commons Attribution (CC BY) license (https://creativecommons.org/licenses/by/4.0/).
Share and Cite
Rippa, M.; Di Mola, I.; Ottaiano, L.; Cozzolino, E.; Mormile, P.; Mori, M. Infrared Thermography Monitoring of Durum and Common Wheat for Adaptability Assessing and Yield Performance Prediction. Plants 2024, 13, 836. https://doi.org/10.3390/plants13060836
Rippa M, Di Mola I, Ottaiano L, Cozzolino E, Mormile P, Mori M. Infrared Thermography Monitoring of Durum and Common Wheat for Adaptability Assessing and Yield Performance Prediction. Plants. 2024; 13(6):836. https://doi.org/10.3390/plants13060836
Chicago/Turabian StyleRippa, Massimo, Ida Di Mola, Lucia Ottaiano, Eugenio Cozzolino, Pasquale Mormile, and Mauro Mori. 2024. "Infrared Thermography Monitoring of Durum and Common Wheat for Adaptability Assessing and Yield Performance Prediction" Plants 13, no. 6: 836. https://doi.org/10.3390/plants13060836
APA StyleRippa, M., Di Mola, I., Ottaiano, L., Cozzolino, E., Mormile, P., & Mori, M. (2024). Infrared Thermography Monitoring of Durum and Common Wheat for Adaptability Assessing and Yield Performance Prediction. Plants, 13(6), 836. https://doi.org/10.3390/plants13060836

