Deciphering Physio-Biochemical Basis of Tolerance Mechanism for Sesame (Sesamum indicum L.) Genotypes under Waterlogging Stress at Early Vegetative Stage
Abstract
1. Introduction
2. Results
2.1. Screening Experiment
2.2. Morpho-Physiological and Biochemical Characterization of Selected Genotypes
2.2.1. Morpho-Physiological Characters
2.2.2. Biochemical characters
Antioxidant System
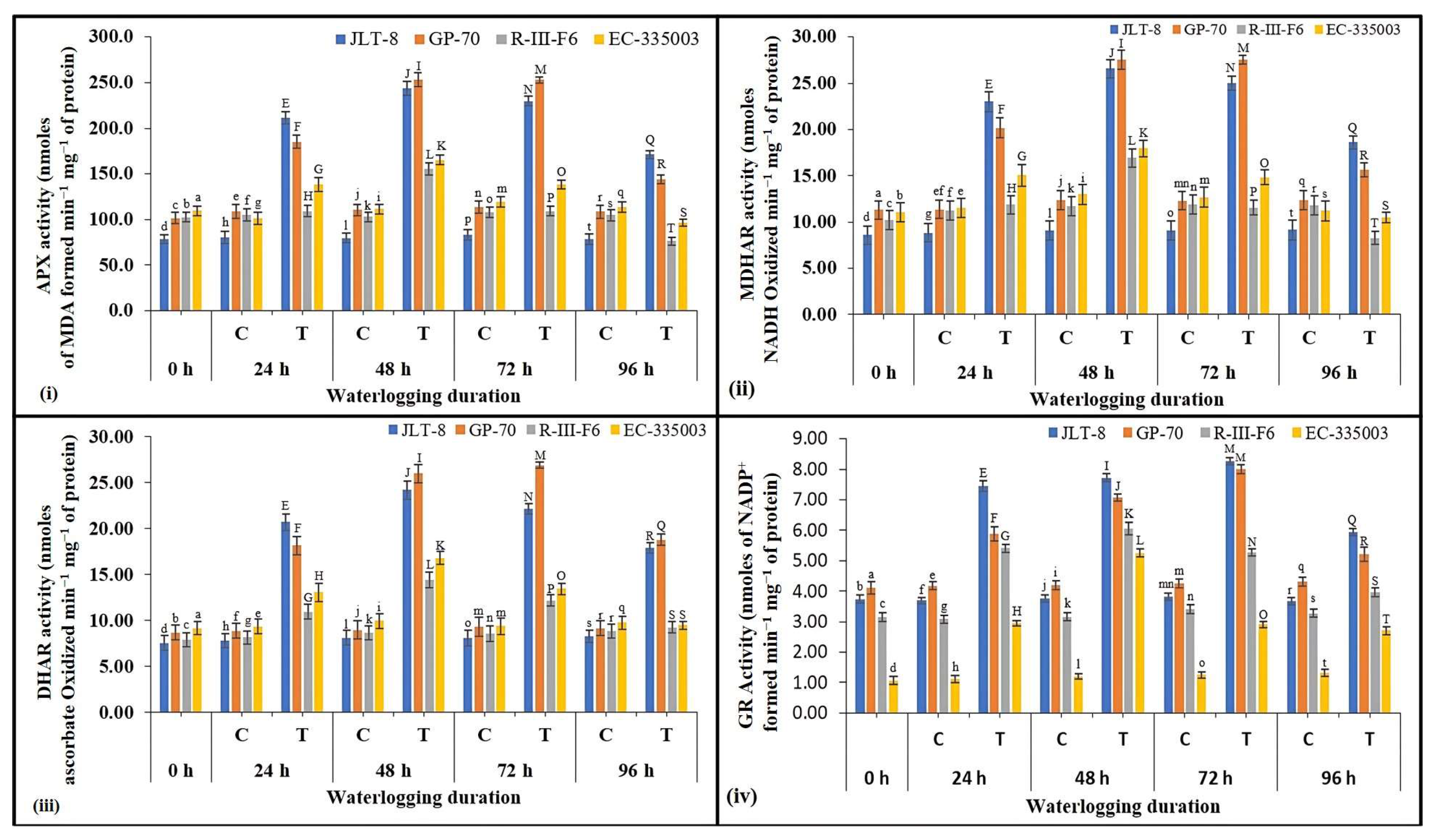
- Status of antioxidant enzymes
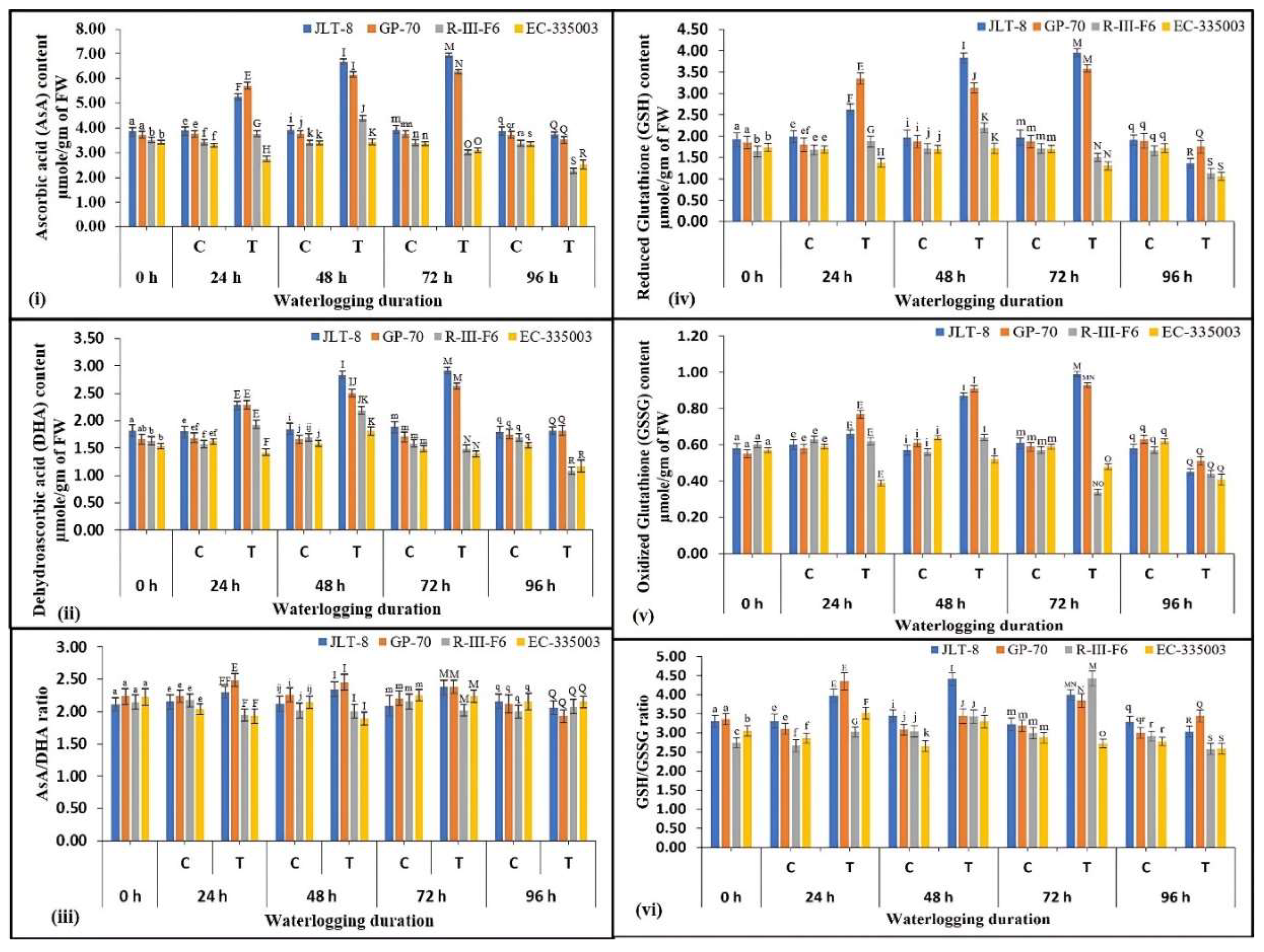
- Halliwell–Asada cycle enzymes and their associated metabolites
- Status of Lipid peroxidation and H2O2 accumulation
- Chlorophyll Content
- Proline concentration
- Anaerobic metabolism
2.3. Principal Component Analysis
3. Discussion
4. Materials and Methods
4.1. Screening of the Plant Material
4.2. Seedling Measurements
4.3. Extraction and Estimation of Enzymes
4.3.1. Extraction and Estimation of Antioxidant Enzymes
4.3.2. Extraction and Estimation of Anaerobic Metabolism Enzymes
4.4. Extraction and Estimation of Metabolites
4.4.1. Extraction and Estimation of Total Glutathione and Reduced Ascorbic Acid Content
4.4.2. Extraction and Estimation of H2O2
4.4.3. Extraction and Estimation of Chlorophyll Content
4.4.4. Extraction and Estimation of MDA Content
4.5. Extraction and Estimation of Proline
4.6. Statistical Analysis
5. Conclusions
Author Contributions
Funding
Data Availability Statement
Conflicts of Interest
References
- Liu, K.; Harrison, M.T.; Yan, H.; Liu, D.L.; Meinke, H.; Hoogenboom, G.; Wang, B.; Peng, B.; Guan, K.; Jaegermeyr, J.; et al. Silver lining to a climate crisis in multiple prospects for alleviating crop waterlogging under future climates. Nat. Commun. 2023, 14, 765. [Google Scholar] [CrossRef] [PubMed]
- Jackson, M.B.; Colmer, T.D. Response and Adaptation by Plants to Flooding Stress. Ann. Bot. 2005, 96, 501–505. [Google Scholar] [CrossRef]
- Anee, T.I.; Nahar, K.; Rahman, A.; Mahmud, J.A.; Bhuiyan, T.F.; Alam, M.U.; Fujita, M.; Hasanuzzaman, M. Oxidative Damage and Antioxidant Defense in Sesamum Indicum after Different Waterlogging Durations. Plants 2019, 8, 196. [Google Scholar] [CrossRef]
- Vartapetian, B.B.; Jackson, M.B. Plant Adaptations to Anaerobic Stress. Ann. Bot. 1997, 79, 3–20. [Google Scholar] [CrossRef]
- Chugh, V.; Gupta, A.K.; Grewal, M.S.; Kaur, N. Response of Antioxidative and Ethanolic Fermentation Enzymes in Maize Seedlings of Tolerant and Sensitive Genotypes under Short-Term Waterlogging. Indian J. Exp. Biol. 2012, 50, 577–582. [Google Scholar]
- Kaur, G.; Vikal, Y.; Kaur, L.; Kalia, A.; Mittal, A.; Kaur, D.; Yadav, I. Elucidating the Morpho-Physiological Adaptations and Molecular Responses under Long-Term Waterlogging Stress in Maize through Gene Expression Analysis. Plant Sci. 2021, 304, 110823. [Google Scholar] [CrossRef] [PubMed]
- Gupta, A.K.; Kaur, N. Sugar Signalling and Gene Expression in Relation to Carbohydrate Metabolism under Abiotic Stresses in Plants. J. Biosci. 2005, 30, 761–776. [Google Scholar] [CrossRef] [PubMed]
- Ghosh, U.K.; Islam, M.N.; Siddiqui, M.N.; Cao, X.; Khan, M.A.R. Proline, a Multifaceted Signalling Molecule in Plant Responses to Abiotic Stress: Understanding the Physiological Mechanisms. Plant Biol. 2021, 24, 227–239. [Google Scholar] [CrossRef]
- Chugh, V.; Kaur, N.; Gupta, A.K.; Rai, A. The Seed Biochemical Signature as a Potent Marker for Water Logging Tolerance in Maize. Plant Stress 2022, 4, 100085. [Google Scholar] [CrossRef]
- Fukao, T.; Bailey-Serres, J. Plant Responses to Hypoxia—Is Survival a Balancing Act? Trends Plant Sci. 2004, 9, 449–456. [Google Scholar] [CrossRef]
- Kürsteiner, O.; Dupuis, I.; Kuhlemeier, C. The Pyruvate decarboxylase1 Gene of Arabidopsis Is Required during Anoxia but Not Other Environmental Stresses. Plant Physiol. 2003, 132, 968–978. [Google Scholar] [CrossRef] [PubMed]
- Chugh, V.; Kaur, N.; Gupta, A.K. Role of Antioxidant and Anaerobic Metabolism Enzymes in Providing Tolerance to Maize (Zea mays L.) Seedlings against Waterlogging. Indian J. Biochem. Biophys. 2011, 48, 346–352. [Google Scholar] [PubMed]
- Ashraf, M.A. Waterlogging stress in plants: A review. Afr. J. Agric. Res. 2012, 7, 1976–1981. [Google Scholar] [CrossRef]
- Subbaiah, C.C. Molecular and Cellular Adaptations of Maize to Flooding Stress. Ann. Bot. 2003, 91, 119–127. [Google Scholar] [CrossRef]
- Li, H.; Cai, J.; Liu, F.; Jiang, D.; Dai, T.; Cao, W. Generation and scavenging of reactive oxygen species in wheat flag leaves under combined shading and waterlogging stress. Funct. Plant Biol. 2011, 39, 71–81. [Google Scholar] [CrossRef] [PubMed]
- Apel, K.; Hirt, H. Reactive oxygen species: Metabolism, oxidative stress, and signal transduction. Annu. Rev. Plant Biol. 2004, 55, 373–399. [Google Scholar] [CrossRef] [PubMed]
- Ahmed, S.; Nawata, E.; Hosokawa, M.; Domae, Y.; Sakuratani, T. Alterations in photosynthesis and some antioxidant enzymatic activities of mungbean subjected to waterlogging. Plant Sci. 2002, 163, 117–123. [Google Scholar] [CrossRef]
- Ushimaro, T.; Shibasaka, M.; Tsuji, H. Development of O2−-Detoxification system during adaptation to air of submerged rice seedlings. Plant Cell Physiol. 1992, 33, 1065–1071. [Google Scholar]
- Grassini, P.; Indaco, G.V.; Pereira, M.L.; Hall, A.J.; Trápani, N. Responses to short-term waterlogging during grain filling in sunflower. Field Crops Res. 2007, 101, 352–363. [Google Scholar] [CrossRef]
- Kumutha, D.; Ezhilmathi, K.; Sairam, R.K.; Srivastava, G.C.; Deshmukh, P.S.; Meena, R.C. Waterlogging induced oxidative stress and antioxidant activity in pigeonpea genotypes. Biol. Plant. 2009, 53, 75–84. [Google Scholar] [CrossRef]
- Wang, L.; Li, D.; Zhang, Y.; Gao, Y.; Yu, J.; Wei, X.; Zhang, X. Tolerant and Susceptible Sesame Genotypes Reveal Waterlogging Stress Response Patterns. PLoS ONE 2016, 11, e0149912. [Google Scholar] [CrossRef] [PubMed]
- Wang, L.; Zhang, Y.; Qi, X.; Li, D.; Wei, W.; Zhang, X. Global gene expression responses to waterlogging in roots of sesame (Sesamum indicum L.). Acta Physiol. Plant. 2012, 34, 2241–2249. [Google Scholar] [CrossRef]
- Wei, W.; Li, D.; Wang, L.; Ding, X.; Zhang, Y.; Gao, Y.; Zhang, X. Morpho-anatomical and physiological responses to waterlogging of sesame (Sesamum indicum L.). Plant Sci. 2013, 208, 102–111. [Google Scholar] [CrossRef] [PubMed]
- Sun, J.; Zhang, X.R.; Zhang, Y.X.; Huang, B.; Che, Z. Comprehensive evaluation of waterlogging tolerance of different sesame varieties. Chin. J. Oil Crop Sci. 2008, 30, 518–521. [Google Scholar]
- Sun, J.; Zhang, X.R.; Zhang, Y.X.; Wang, L.H.; Li, D.H. Evaluation of yield characteristics and waterlogging tolerance of sesame germplasm with different plant types after waterlogging. Plant Genet. Resour. 2010, 11, 139–146. [Google Scholar]
- Jia, W.; Ma, M.; Chen, J.; Wu, S. Plant Morphological, Physiological and Anatomical Adaption to Flooding Stress and the Underlying Molecular Mechanisms. Int. J. Mol. Sci. 2021, 22, 1088. [Google Scholar] [CrossRef]
- Attia, A.; El-Hendawy, S.; Al-Suhaibani, N.; Tahir, M.; Muhammad, M.; Vianna, S.; Ullah, H.; Mansour, E.; Datta, A. Sensitivity of the DSSAT model in simulating maize yield and soil carbon dynamics in arid Mediterranean climate: Effect of soil, genotype and crop management. Field Crops Res. 2021, 260, 107981. [Google Scholar] [CrossRef]
- Komivi, D.; Marie, A.M.; Rong, Z.; Qi, Z.; Mei, Y.; Ndiaga, C.; Diaga, D.; Linhai, W.; Xiurong, Z. The contrasting response to drought and waterlogging is underpinned by divergent DNA methylation programs associated with transcript accumulation in sesame. Plant Sci. 2018, 277, 207–217. [Google Scholar] [CrossRef]
- Nishiuchi, S.; Yamauchi, T.; Takahashi, H.; Kotula, L.; Nakazono, M. Mechanisms for coping with submergence and waterlogging in rice. Rice 2012, 5, 2. [Google Scholar] [CrossRef]
- Pan, J.; Sharif, R.; Xu, X.; Chen, X. Mechanisms of waterlogging tolerance in plants: Research progress and prospects. Front. Plant Sci. 2021, 11, 627331. [Google Scholar] [CrossRef] [PubMed]
- Malik, A.I.; Colmer, T.D.; Lambers, H.; Setter, T.L.; Schortemeyer, M. Short-term waterlogging has long-term effects on the growth and physiology of wheat. New Phytol. 2022, 153, 225–236. [Google Scholar] [CrossRef]
- Zheng, C.; Jiang, D.; Liu, F.; Dai, T.; Jing, Q.; Cao, W. Effects of salt and waterlogging stresses and their combination on leaf photosynthesis, chloroplast ATP synthesis, and antioxidant capacity in wheat. Plant Sci. 2009, 176, 575–582. [Google Scholar] [CrossRef]
- Munir, R.; Konnerup, D.; Khan, H.; Siddique, M.; Colmer, T.D. Sensitivity of chickpea and faba bean to root-zone hypoxia, elevated ethylene, and carbon dioxide. Plant Cell Environ. 2019, 42, 85–97. [Google Scholar] [CrossRef]
- Mahmood, U.; Hussain, S.; Hussain, S.; Ali, B.; Ashraf, U.; Zamir, S.; Al-Robai, S.A.; Alzahrani, F.O.; Hano, C.; El-Esawi, M.A. Morpho-Physio-Biochemical and Molecular Responses of Maize Hybrids to Salinity and Waterlogging during Stress and Recovery Phase. Plants 2021, 10, 1345. [Google Scholar] [CrossRef]
- Kyu, K.L.; Malik, A.I.; Colmer, T.D.; Siddique, K.H.M.; Erskine, W. Response of Mungbean (cvs. Celera II-AU and Jade-AU) and Blackgram (cv. Onyx-AU) to Transient Waterlogging. Front. Plant Sci. 2021, 12, 709102. [Google Scholar] [CrossRef]
- Wu, C.; Zeng, A.; Chen, P.; Florez-Palacios, L.; Hummer, W.; Mokua, J.; Klepadlo, M.; Long, Y.; Ma, Q.; Cheng, Y. An effective field screening method for flood tolerance in soybean. Plant Breed. 2017, 136, 710–719. [Google Scholar] [CrossRef]
- Habibullah, M.; Sarkar, S.; Islam, M.M.; Ahmed, K.U.; Rahman, M.Z.; Awad, M.F.; ElSayed, A.I.; Mansour, E.; Hossain, M.S. Assessing the Response of Diverse Sesame Genotypes to Waterlogging Durations at Different Plant Growth Stages. Plants 2021, 10, 2294. [Google Scholar] [CrossRef] [PubMed]
- Olorunwa, O.J.; Adhikari, B.; Shi, A.; Barickman, T.C. Screening of cowpea (Vigna unguiculata (L.) Walp.) genotypes for waterlogging tolerance using morpho-physiological traits at early growth stage. Plant Sci. 2022, 315, 111136. [Google Scholar] [CrossRef] [PubMed]
- Zhang, G.; Tanakamaru, K.; Abe, J.; Morita, S. Influence of waterlogging on some anti-oxidative enzymatic activities of two barley genotypes differing in anoxia tolerance. Acta Physiol. Plant. 2007, 29, 171–176. [Google Scholar] [CrossRef]
- Simova-Stoilova, L.; Demirevska, K.; Kingston-Smith, A.; Feller, U. Involvement of the leaf antioxidant system in the response to soil flooding in two Trifolium genotypes differing in their tolerance to waterlogging. Plant Sci. 2012, 183, 43–49. [Google Scholar] [CrossRef] [PubMed]
- Voesenek, L.A.C.J.; Colmer, T.D.; Pierik, R.; Millenaar, F.F.; Peeters, A.J.M. How plants cope with complete submergence. New Phytol. 2006, 170, 213–226. [Google Scholar] [CrossRef]
- Islam, M.T.; Khatoon, M. Waterlogged tolerance of sesame genotypes on the basis of morpho-anatomical features and yield. Bangladesh J. Nuclear Agric. 2020, 33–34, 55–62. [Google Scholar]
- Kim, Y.; Hwang, S.; Waqas, M.; Latif Khan, A.; Lee, J.; Lee, J.-D.; Nguyen, H.T.; Lee, I.-J. Comparative analysis of endogenous hormones level in two soybean (Glycine max L.) lines differing in waterlogging tolerance. Front. Plant Sci. 2015, 6, 714. [Google Scholar] [CrossRef] [PubMed]
- Kaur, E.; Bhardwaj, R.D.; Kaur, S.; Grewal, S.K. Drought stress-induced changes in redox metabolism of barley (Hordeum vulgare L.). Biol. Futura 2021, 72, 347–358. [Google Scholar] [CrossRef] [PubMed]
- Lee, S.-H.; Ahsan, N.; Lee, K.-W.; Kim, D.-H.; Lee, D.-G.; Kwak, S.-S.; Kwon, S.-Y.; Kim, T.-H.; Lee, B.-H. Simultaneous overexpression of both CuZn superoxide dismutase and ascorbate peroxidase in transgenic tall fescue plants confers increased tolerance to a wide range of abiotic stresses. J. Plant Physiol. 2007, 164, 1626–1638. [Google Scholar] [CrossRef] [PubMed]
- Kaur, H.; Gupta, A.K.; Kaur, N.; Sandhu, J.S. Differential response of the antioxidant system in wild and cultivated genotypes of chickpea. Plant Growth Regul. 2008, 57, 109–114. [Google Scholar] [CrossRef]
- Kumar, H.; Chugh, V.; Kumar, M.; Gupta, V.; Rajendra Prasad, S.; Kumar, S.; Singh, C.M.; Kumar, R.; Singh, B.; Panwar, G.; et al. Investigating the impact of terminal heat stress on contrasting wheat cultivars: A comprehensive analysis of phenological, physiological, and biochemical traits. Front. Plant Sci. 2023, 14, 1189005. [Google Scholar] [CrossRef] [PubMed]
- Celi, G.E.A.; Gratão, P.L.; Lanza, M.G.D.B.; Dos Reis, A.R. Physiological and biochemical roles of ascorbic acid on mitigation of abiotic stresses in plants. Plant Physiol. Biochem. 2023, 202, 107970. [Google Scholar] [CrossRef] [PubMed]
- Wang, L.; Dossa, K.; You, J.; Zhang, Y.; Li, D.; Zhou, R.; Yu, J.; Wei, X.; Zhu, X.; Jiang, S.; et al. High-resolution temporal transcriptome sequencing unravels ERF and WRKY as the master players in the regulatory networks underlying sesame responses to waterlogging and recovery. Genomics 2021, 113, 276–290. [Google Scholar] [CrossRef]
- Keya, S.S.; Mostofa, M.G.; Mezanur Rahman, M.; Das, A.K.; Abiar Rahman, M.; Anik, T.R.; Sultana, S.; Arifur Rahman Khan, M.; Robyul Islam, M.; Watanabe, Y.; et al. Effects of glutathione on waterlogging-induced damage in sesame crop. Ind. Crops Prod. 2022, 185, 115092. [Google Scholar] [CrossRef]
- Sairam, R.K.; Kumutha, D.; Ezhilmathi, K.; Deshmukh, P.S.; Srivastava, G.C. Physiology and biochemistry of waterlogging tolerance in plants. Biol. Plant. 2008, 52, 401–412. [Google Scholar] [CrossRef]
- Damanik, R.I.; Maziah, M.; Ismail, M.R.; Ahmad, S.; Zain, A.M. Responses of the antioxidative enzymes in Malaysian rice (Oryza sativa L.) cultivars under submergence condition. Acta Physiol. Plant 2010, 32, 739–747. [Google Scholar] [CrossRef]
- Zhu, Z.; Chen, Z.; Li, L.; Shao, Y. Response of dominant plant species to periodic flooding in the riparian zone of the Three Gorges Reservoir (TGR), China. Sci. Total Environ. 2020, 747, 141101. [Google Scholar] [CrossRef] [PubMed]
- Xu, F.Y.; Wang, X.L.; Wu, Q.X.; Zhang, X.R.; Wang, L.H. Physiological responses differences of different genotype sesames to flooding stress. Adv. J. Food Sci. Technol. 2012, 4, 352–356. [Google Scholar]
- Nakano, Y.; Asada, K. Hydrogen peroxide is scavenged by ascorbate-specific peroxidase in spinach chloroplasts. Plant Cell Physiol. 1981, 22, 867–880. [Google Scholar] [CrossRef]
- Leipner, J.; Fracheboud, Y.; Stamp, P. Effect of growing season on the photosynthetic apparatus and leaf antioxidative defenses in two maize genotypes of different chilling tolerance. Environ. Exp. Bot. 1999, 42, 129–139. [Google Scholar] [CrossRef]
- Dai, Z.; Ding, S.; Chen, J.; Han, R.; Cao, Y.; Li, X.; Tu, S.; Guan, D.-X.; Lena, Q. Selenate increased plant growth and arsenic uptake in As-hyperaccumulator Pteris vittata via glutathione-enhanced arsenic reduction and translocation. J. Hazard. Mater. 2022, 424, 127581. [Google Scholar] [CrossRef]
- Hossain, Z.; López-Climent, M.F.; Arbona, V.; Pérez-Clemente, R.M.; Gómez-Cadenas, A. Modulation of the antioxidant system in citrus under waterlogging and subsequent drainage. J. Plant Physiol. 2009, 166, 1391–1404. [Google Scholar] [CrossRef]
- Hasanuzzaman, M.; Ahmed, N.; Saha, T.; Rahman, M.; Rahman, K.; Alam, M.M.; Rohman, M.M.; Nahar, K. Exogenous salicylic acid and kinetin modulate reactive oxygen species metabolism and glyoxalase system to confer waterlogging stress tolerance in soybean (Glycine max L.). Plant Stress 2022, 3, 100057. [Google Scholar] [CrossRef]
- Wang, S.; Zhou, H.; Feng, N.; Xiang, H.; Liu, Y.; Wang, F.; Wan, L.; Feng, S.-Y.; Liu, M.; Zheng, D. Physiological response of soybean leaves to uniconazole under waterlogging stress at R1 stage. J. Plant Physiol. 2022, 268, 153579. [Google Scholar] [CrossRef]
- Wang, X.; Wang, Q.; Zhang, M.; Zhao, Y.; Dong, P.; Zhao, Y.; Li, H.; Jia, X.; An, P.; Tang, Y.; et al. Foliar Application of Spermidine Alleviates Waterlogging-Induced Damages to Maize Seedlings by Enhancing Antioxidative Capacity, Modulating Polyamines and Ethylene Biosynthesis. Life 2022, 12, 1921. [Google Scholar] [CrossRef]
- Hussain, M.A.; Akhtar, N.; Pitann, B.; Mühling, K.H. High Sulfur (S) Supplementation Imparts Waterlogging Tolerance to Oilseed rape (Brassica napus L.) Through Upregulating S Metabolism and Antioxidant Pathways. J. Plant Growth Regul. 2023, 42, 7591–7605. [Google Scholar] [CrossRef]
- Hasanuzzaman, M.; Bhuyan, M.H.M.B.; Anee, T.I.; Parvin, K.; Nahar, K.; Mahmud, J.A.; Fujita, M. Regulation of Ascorbate-Glutathione Pathway in Mitigating Oxidative Damage in Plants under Abiotic Stress. Antioxidants 2019, 8, 384. [Google Scholar] [CrossRef]
- Winterbourn, C.C. Biological production, detection, and fate of hydrogen peroxide. Antioxid. Redox Signal. 2018, 29, 541–551. [Google Scholar] [CrossRef]
- Abid, M.; Ali, S.; Qi, L.K.; Zahoor, R.; Tian, Z.; Jiang, D.; Snider, J.L.; Dai, T. Physiological and biochemical changes during drought and recovery periods at tillering and jointing stages in wheat (Triticum aestivum L.). Sci. Rep. 2018, 8, 4615. [Google Scholar] [CrossRef]
- Haroldsen, V.M.; Chi-Ham, C.L.; Kulkarni, S.; Lorence, A.; Bennett, A.B. Constitutively expressed DHAR and MDHAR influence fruit, but not foliar ascorbate levels in tomato. Plant Physiol. Biochem. 2011, 49, 1244–1249. [Google Scholar] [CrossRef] [PubMed]
- Pérez-López, U.; Robredo, A.; Lacuesta, M.; Sgherri, C.; Muñoz-Rueda, A.; Navari-Izzo, F.; Mena-Petite, A. The oxidative stress caused by salinity in two barley cultivars is mitigated by elevated CO2. Physiol. Plant. 2009, 135, 29–42. [Google Scholar] [CrossRef]
- Hoque, M.A.; Okuma, E.; Banu, M.N.A.; Nakamura, Y.; Shimoishi, Y.; Murata, Y. Exogenous proline mitigates the detrimental effects of salt stress more than exogenous betaine by increasing antioxidant enzyme activities. J. Plant Physiol. 2007, 164, 553–561. [Google Scholar] [CrossRef] [PubMed]
- Wang, Q.L.; Chen, J.H.; He, N.Y.; Guo, F.Q. Metabolic Reprogramming in Chloroplasts under Heat Stress in Plants. Int. J. Mol. Sci. 2018, 19, 849. [Google Scholar] [CrossRef]
- Lim, P.O.; Kim, H.J.; Nam, H.G. Leaf senescence. Annu. Rev. Plant Biol. 2007, 58, 115–136. [Google Scholar] [CrossRef]
- Bacanamwo, M.; Purcell, L.C. Soybean dry matter and N accumulation responses to flooding stress, N sources and hypoxia. J. Exp. Bot. 1999, 50, 689–696. [Google Scholar] [CrossRef]
- Sreepriya, S.; Girija, T. Assessing the role of ameliorants based on physiological traits in sesame under waterlogged condition. J. Crop Weed 2020, 16, 46–51. [Google Scholar] [CrossRef]
- El Moukhtari, A.; Cabassa-Hourton, C.; Farissi, M.; Savouré, A. How Does Proline Treatment Promote Salt Stress Tolerance During Crop Plant Development? Front. Plant Sci. 2020, 11, 1127. [Google Scholar] [CrossRef]
- Liang, X.; Zhang, L.; Natarajan, S.K.; Becker, D.F. Proline Mechanisms of Stress Survival. Antioxid. Redox Signal. 2013, 19, 998–1011. [Google Scholar] [CrossRef]
- Dikilitas, M.; Simsek, E.; Roychoudhury, A. Role of proline and glycine betaine in overcoming abiotic stresses. In Protective Chemical Agents in the Amelioration of Plant Abiotic Stress: Biochemical and Molecular Perspectives; Tripathi, D.K.A., Ed.; John Wiley & Sons Ltd.: Chichester, UK, 2020; pp. 1–23. [Google Scholar]
- Mfarrej, M.F.B.; Wang, X.; Saleem, M.H.; Hussain, İ.; Rasheed, R.; Ashraf, M.A.; Iqbal, M.; Chattha, M.S.; Alyemeni, M.N. Hydrogen sulphide and nitric oxide mitigate the negative impacts of waterlogging stress on wheat (Triticum aestivum L.). Plant Biol. 2021, 24, 670–683. [Google Scholar] [CrossRef] [PubMed]
- Somaddar, U.; Mia, S.; Khalil, I.; Sarker, U.K.; Uddin, R.; Kaysar, S.; Chaki, A.K.; Robin, A.H.K.; Hashem, A.; Abd_Allah, E.F.; et al. Effect of Reproductive Stage-Waterlogging on the Growth and Yield of Upland Cotton (Gossypium hirsutum). Plants 2023, 12, 1548. [Google Scholar] [CrossRef]
- Loreti, E.; Perata, P. The many facets of hypoxia in plants. Plants 2020, 9, 745. [Google Scholar] [CrossRef]
- Waters, I.; Morrell, S.; Greenway, H.; Colmer, T.D. Effects of Anoxia on Wheat Seedlings. J. Exp. Bot. 1991, 42, 1437–1447. [Google Scholar] [CrossRef]
- Duhan, S.; Sheokand, S. Mechanism of waterlogging stress tolerance in pigeonpea plants: Biochemical and anatomical adaptation under waterlogging. In Plant Ecophysiology and Adaptation under Climate Change: Mechanisms and Perspectives II; Springer: Singapore, 2020; pp. 89–105. [Google Scholar]
- Ellis, M.H.; Dennis, E.S.; James Peacock, W. Arabidopsis Roots and Shoots Have Different Mechanisms for Hypoxic Stress Tolerance. Plant Physiol. 1999, 119, 57–64. [Google Scholar] [CrossRef] [PubMed]
- Klok, E.J.; Wilson, I.W.; Wilson, D.; Chapman, S.C.; Ewing, R.M.; Somerville, S.C.; Peacock, W.J.; Dolferus, R.; Dennis, E.S. Expression Profile Analysis of the Low-Oxygen Response in Arabidopsis Root Cultures[W]. Plant Cell 2002, 14, 2481–2494. [Google Scholar] [CrossRef]
- Sunkar, R.; Bartels, D.; Kirch, H.-H. Overexpression of a stress-inducible aldehyde dehydrogenase gene from Arabidopsis thaliana in transgenic plants improves stress tolerance. Plant J. 2003, 35, 452–464. [Google Scholar] [CrossRef]
- Ventura, I.; Brunello, L.; Iacopino, S.; Valeri, M.C.; Novi, G.; Dornbusch, T.; Perata, P.; Loreti, E. Arabidopsis phenotyping reveals the importance of alcohol dehydrogenase and pyruvate decarboxylase for aerobic plant growth. Sci. Rep. 2020, 10, 16669. [Google Scholar] [CrossRef]
- Liu, J.; Chen, Y.; Wang, W.; Liu, J.; Zhu, C.; Zhong, Y.; Zhang, H.; Liu, X.; Yin, X. Transcription factors AcERF74/75 respond to waterlogging stress and trigger alcoholic fermentation-related genes in kiwifruit. Plant Sci. 2022, 314, 111115. [Google Scholar] [CrossRef]
- Li, Z.; Bai, D.; Zhong, Y.; Abid, M.; Qi, X.; Hu, C.-G.; Fang, J. Physiological Responses of Two Contrasting Kiwifruit (Actinidia spp.) Rootstocks against Waterlogging Stress. Plants 2021, 10, 2586. [Google Scholar] [CrossRef] [PubMed]
- Skibbe, D.S.; Liu, F.; Wen, T.-J.; Yandeau, M.D.; Cui, X.; Cao, J.; Simmons, C.R.; Schnable, P.S. Characterization of the aldehyde dehydrogenase gene families of Zea mays and Arabidopsis. Plant Mol. Biol. 2002, 48, 751–764. [Google Scholar] [CrossRef] [PubMed]
- Shiao, T.; Ellis, M.H.; Dolferus, R.; Dennis, E.S.; Doran, P.M. Overexpression of alcohol dehydrogenase or pyruvate decarboxylase improves growth of hairy roots at reduced oxygen concentrations. Biotechnol. Bioeng. 2002, 77, 455–461. [Google Scholar] [CrossRef] [PubMed]
- Goyal, K.; Kaur, K.; Kaur, G. Foliar treatment of potassium nitrate modulates the fermentative and sucrose metabolizing pathways in contrasting maize genotypes under water logging stress. Physiol. Mol. Biol. 2020, 26, 899–906. [Google Scholar] [CrossRef] [PubMed]
- Gao, M.; Gai, C.; Li, X.; Feng, X.; Lai, R.; Song, Y.; Zeng, R.; Chen, D.; Chen, Y.T. Waterlogging Tolerance of Actinidia valvata Dunn Is Associated with High Activities of Pyruvate Decarboxylase, Alcohol Dehydrogenase and Antioxidant Enzymes. Plants 2023, 12, 2872. [Google Scholar] [CrossRef] [PubMed]
- Pratap, V.; Sharma, V.; Kumar, H.; Kamaluddin Shukla, G.; Kumar, M. Multivariate Analysis of Quantitative Traits in Field Pea (Pisum sativum var. arvense). Legum. Res. 2021. [Google Scholar] [CrossRef]
- Yadav, I.; Sharma, V.; Kumar, M.; Yadav, L.P.; Mishra, A.; Singh, V.; Singh Dhanda, P.; Yadav, A.; Yadav, M.; Singh, S.K.; et al. Assessment of Gene Action and Identification of Heterotic Hybrids for Enhancing Yield in Field Pea. Horticulturae 2023, 9, 997. [Google Scholar] [CrossRef]
- Gupta, D.; Muralia, S.; Khandelwal, V.; Nehra, A. Assessing diversity of sesame genotypes using cluster analysis and principal component analysis. Int. J. Curr. Microbiol. App. Sci. 2021, 10, 304–312. [Google Scholar] [CrossRef]
- Sharma, V.; Singh, C.M.; Chugh, V.; Kamaluddin, K.; Prajapati, P.K.; Mishra, A.; Kaushik, P.; Dhanda, P.S.; Yadav, A.; Satyendra, S. Morpho-Physiological and Biochemical Responses of Field Pea Genotypes under Terminal Heat Stress. Plants 2023, 12, 256. [Google Scholar] [CrossRef] [PubMed]
- Hasanuzzaman, M.; Fujita, M. Selenium Pretreatment Upregulates the Antioxidant Defense and Methylglyoxal Detoxification System and Confers Enhanced Tolerance to Drought Stress in Rapeseed Seedlings. Biol. Trace Elem. Res. 2011, 143, 1758–1776. [Google Scholar] [CrossRef] [PubMed]
- Hasanuzzaman, M.; Hossain, M.A.; Fujita, M. Selenium-Induced Up-Regulation of the Antioxidant Defense and Methylglyoxal Detoxification System Reduces Salinity-Induced Damage in Rapeseed Seedlings. Biol. Trace Elem. Res. 2011, 143, 1704–1721. [Google Scholar] [CrossRef] [PubMed]
- Lin, K.H.R.; Weng, C.C.; Lo, H.F.; Chen, J.T. Study of the root antioxidative system of tomatoes and eggplants under waterlogged conditions. Plant Sci. 2004, 167, 355–365. [Google Scholar] [CrossRef]
- May, M.J.; Vernoux, T.; Leaver, C.; Montagu, M.V.; Inze, D. Glutathione homeostasis in plants: Implications for environmental sensing and plant development. J. Exp. Bot. 1998, 49, 649–667. [Google Scholar] [CrossRef]
- Zaidi, P.H.; Rafique, S.; Singh, N.N. Response of maize (Zea mays L.) genotypes to excess soil moisture stress: Morpho-physiological effects and basis of tolerance. Eur. J. Agron. 2003, 19, 383–399. [Google Scholar] [CrossRef]
- Marklund, S.; Marklund, G. Involvement of the Superoxide Anion Radical in the Autoxidation of Pyrogallol and a Convenient Assay for Superoxide Dismutase. Eur. J. Biochem. 1974, 47, 469–474. [Google Scholar] [CrossRef]
- Singh, H.; Grewal, S.K.; Singh, R.; Bhardwaj, R.D. Induced defense responses in cultivated and wild chickpea genotypes against Helicoverpa armigera infestation. Biol. Futura 2023, 74, 231–246. [Google Scholar] [CrossRef]
- Esterbauer, H.; Grill, D. Seasonal Variation of Glutathione and Glutathione Reductase in Needles of Picea abies. Plant Physiol. 1978, 61, 119–121. [Google Scholar] [CrossRef]
- Kaur, D.; Grewal, S.K.; Bhardwaj, R.D.; Singh, S. Insights into changes of enzyme activity for maintaining redox homeostasis in chickpea under water deficit stress. Acta Physiol. Plant. 2023, 45, 7. [Google Scholar] [CrossRef]
- Shannon, L.M.; Kay, E.; Lew, J.Y. Peroxidase Isozymes from Horseradish Roots. J. Biol. Chem. 1966, 241, 2166–2172. [Google Scholar] [CrossRef] [PubMed]
- Nakano, Y.; Asada, K. Purification of ascorbate peroxidase in spinach chloroplasts; its inactivation in ascorbate-depleted medium and reactivation by monodehydroascorbate radical. Plant Cell Physiol. 1987, 28, 131–140. [Google Scholar] [CrossRef]
- Chance, B.; Maehly, A.C. Assay of catalases and peroxidases. Methods Enzymol. 1955, 2, 764–775. [Google Scholar] [CrossRef]
- Ke, D.; Yahia, E.; Mateos, M.; Kader, A.A. Ethanolic Fermentation of ‘Bartlett’ Pears as Influenced by Ripening Stage and Atmospheric Composition. J. Am. Soc. Hortic. Sci. 1994, 119, 976–982. [Google Scholar] [CrossRef]
- Liu, F.; Cui, X.; Horner, H.T.; Weiner, H.; Schnable, P.S. Mitochondrial Aldehyde Dehydrogenase Activity Is Required for Male Fertility in Maize. Plant Cell 2001, 13, 1063–1078. [Google Scholar] [CrossRef] [PubMed]
- Lee, T.C.; Langston-Unkefer, P.J. Pyruvate Decarboxylase from Zea mays L. I. Purification and Partial Characterization from Mature Kernels and Anaerobically Treated Roots. Plant Physiol. 1985, 79, 242–247. [Google Scholar] [CrossRef] [PubMed]
- Oba, K.; Uritani, I. Pyruvate decarboxylase from sweet potato roots. Methods Enzymol. 1982, 77, 528–532. [Google Scholar]
- Singla, P.; Bhardwaj, R.D.; Kaur, S.; Kaur, J. Stripe rust induced defence mechanisms in the leaves of contrasting barley genotypes (Hordeum vulgare L.) at the seedling stage. Protoplasma 2019, 257, 169–181. [Google Scholar] [CrossRef]
- Roe, J.H.; Oesterling, M.J. The determination of dehydroascorbic acid and ascorbic acid in plant tissues by the 2,4-dinitrophenylhydrazine method. J. Biol. Chem. 1944, 152, 511–517. [Google Scholar] [CrossRef]
- Sinha, A.K. Colorimetric assay of catalase. Anal. Biochem. 1971, 47, 389–394. [Google Scholar] [CrossRef] [PubMed]
- Hiscox, J.D.; Israelstam, G.F. A method for the extraction of chlorophyll from leaf tissue without maceration. Canad. J. Bot. 1979, 57, 1332–1334. [Google Scholar] [CrossRef]
- Heath, R.L.; Packer, L. Photoperoxidation in isolated chloroplasts. Arch. Biochem. Biophys. 1968, 125, 850–857. [Google Scholar] [CrossRef] [PubMed]
- Bates, L.S.; Waldren, R.P.; Teare, I.D. Rapid determination of free proline for water-stress studies. Plant Soil 1973, 39, 205–207. [Google Scholar] [CrossRef]













| Principal Components | Optimal Condition | Waterlogging Stress | ||||
|---|---|---|---|---|---|---|
| Eigen Value | Variance (%) | Cumulative Variance (%) | Eigen Value | Variance (%) | Cumulative Variance (%) | |
| PC1 | 12.55 | 39.21 | 39.21 | 16.62 | 51.94 | 51.94 |
| PC2 | 7.81 | 24.41 | 63.62 | 7.57 | 23.67 | 75.62 |
| PC3 | 4.59 | 14.35 | 77.97 | 2.59 | 8.11 | 83.74 |
| PC4 | 2.70 | 8.46 | 86.43 | 1.50 | 4.70 | 88.44 |
| PC5 | 1.26 | 3.95 | 90.38 | 0.96 | 3.00 | 91.43 |
| S.No. | Genotype Name | Source of GERMPLASM | Response to Waterlogging | No. of Genotypes Identified |
|---|---|---|---|---|
| JLT-8 | ORS #, Jalgaon, MH | Highly Tolerant * | 02 | |
| GP-70 | ORS, Mauranipur | Highly Tolerant | ||
| S-0481 | AICRP ## Sesame, Jabalpur | Moderately tolerant ** | 66 | |
| ES-75 | AICRP Sesame, Jabalpur | Moderately tolerant | ||
| S-0273 | AICRP Sesame, Jabalpur | Moderately tolerant | ||
| Tilo/Hana | AICRP Sesame, Jabalpur | Moderately tolerant | ||
| S-003116 | AICRP Sesame, Jabalpur | Moderately tolerant | ||
| IS-653-A | AICRP Sesame, Jabalpur | Moderately tolerant | ||
| NIC-17477-I | AICRP Sesame, Jabalpur | Moderately tolerant | ||
| 12-Jun | AICRP Sesame, Jabalpur | Moderately tolerant | ||
| S-0449 | AICRP Sesame, Jabalpur | Moderately tolerant | ||
| NIL-16426 | AICRP Sesame, Jabalpur | Moderately tolerant | ||
| S-0539 | AICRP Sesame, Jabalpur | Moderately tolerant | ||
| SI-1687-I | AICRP Sesame, Jabalpur | Moderately tolerant | ||
| NCR/82/No/Bo/NS | AICRP Sesame, Jabalpur | Moderately tolerant | ||
| NIC-8062 | AICRP Sesame, Jabalpur | Moderately tolerant | ||
| SI-1925 | AICRP Sesame, Jabalpur | Moderately tolerant | ||
| IS-77 | AICRP Sesame, Jabalpur | Moderately tolerant | ||
| S-0627 | AICRP Sesame, Jabalpur | Moderately tolerant | ||
| IS-99-A | AICRP Sesame, Jabalpur | Moderately tolerant | ||
| EC-334967 | AICRP Sesame, Jabalpur | Moderately tolerant | ||
| SI-3315-16 | AICRP Sesame, Jabalpur | Moderately tolerant | ||
| NIC-7982 | AICRP Sesame, Jabalpur | Moderately tolerant | ||
| IS-446-1-84 | AICRP Sesame, Jabalpur | Moderately tolerant | ||
| EC-310455 | AICRP Sesame, Jabalpur | Moderately tolerant | ||
| SI-3114 | AICRP Sesame, Jabalpur | Moderately tolerant | ||
| EC-334969 | AICRP Sesame, Jabalpur | Moderately tolerant | ||
| EC-334995-I | AICRP Sesame, Jabalpur | Moderately tolerant | ||
| ES-64 | AICRP Sesame, Jabalpur | Moderately tolerant | ||
| IS-564 | AICRP Sesame, Jabalpur | Moderately tolerant | ||
| S-0210 | AICRP Sesame, Jabalpur | Moderately tolerant | ||
| IS-350 | AICRP Sesame, Jabalpur | Moderately tolerant | ||
| NIC-8343 | AICRP Sesame, Jabalpur | Moderately tolerant | ||
| GRT-8359 | AICRP Sesame, Jabalpur | Moderately tolerant | ||
| S-0281 | AICRP Sesame, Jabalpur | Moderately tolerant | ||
| IS-712 | AICRP Sesame, Jabalpur | Moderately tolerant | ||
| GRT-83128 | AICRP Sesame, Jabalpur | Moderately tolerant | ||
| NIC-16218 | AICRP Sesame, Jabalpur | Moderately tolerant | ||
| KJS-21 | AICRP Sesame, Jabalpur | Moderately tolerant | ||
| S-0268-C | AICRP Sesame, Jabalpur | Moderately tolerant | ||
| SI-1865-1-B | AICRP Sesame, Jabalpur | Moderately tolerant | ||
| IS-346 | AICRP Sesame, Jabalpur | Moderately tolerant | ||
| ES-742-B | AICRP Sesame, Jabalpur | Moderately tolerant | ||
| GRT-8630-C | AICRP Sesame, Jabalpur | Moderately tolerant | ||
| ES-141-1-84-C | AICRP Sesame, Jabalpur | Moderately tolerant | ||
| OMT-4 | AICRP Sesame, Jabalpur | Moderately tolerant | ||
| Belatal Local | AICRP Sesame, Jabalpur | Moderately tolerant | ||
| IS-52 | AICRP Sesame, Jabalpur | Moderately tolerant | ||
| IS-552 | AICRP Sesame, Jabalpur | Moderately tolerant | ||
| IS-178-C | AICRP Sesame, Jabalpur | Moderately tolerant | ||
| Sel-07-2 | ORS, Jalgaon, MH | Moderately tolerant | ||
| NIC 8401 | ORS, Jalgaon, MH | Moderately tolerant | ||
| JT-11 | ORS, Jalgaon, MH | Moderately tolerant | ||
| Thilrani | ORS, Jalgaon, MH | Moderately tolerant | ||
| KMR-24 | ORS, Jalgaon, MH | Moderately tolerant | ||
| JLS-1392-2 | ORS, Jalgaon, MH | Moderately tolerant | ||
| RT-127 | ORS, Jalgaon, MH | Moderately tolerant | ||
| LT-5 | ORS, Jalgaon, MH | Moderately tolerant | ||
| Prachi | ORS, Jalgaon, MH | Moderately tolerant | ||
| HT 1 | Cultivar | Moderately tolerant | ||
| GT-5 | Cultivar | Moderately tolerant | ||
| MT-10-23-3 | ORS, Mauranipur | Moderately tolerant | ||
| MT-10-8-1 | ORS, Mauranipur | Moderately tolerant | ||
| MT-8-04 | ORS, Mauranipur | Moderately tolerant | ||
| GP-79 | ORS, Mauranipur | Moderately tolerant | ||
| GP-4 | ORS, Mauranipur | Moderately tolerant | ||
| GP-63 | ORS, Mauranipur | Moderately tolerant | ||
| TIC-74 | AICRP Sesame, Jabalpur | Susceptible $ | 69 | |
| Anand Local | AICRP Sesame, Jabalpur | Susceptible | ||
| IS-722-2-84-I | AICRP Sesame, Jabalpur | Susceptible | ||
| S-0606 | AICRP Sesame, Jabalpur | Susceptible | ||
| G-10 | AICRP Sesame, Jabalpur | Susceptible | ||
| Oct-81 | AICRP Sesame, Jabalpur | Susceptible | ||
| EC-182832 | AICRP Sesame, Jabalpur | Susceptible | ||
| G-18 | AICRP Sesame, Jabalpur | Susceptible | ||
| NIC-8282 | AICRP Sesame, Jabalpur | Susceptible | ||
| IS-387 | AICRP Sesame, Jabalpur | Susceptible | ||
| IS-205-I | AICRP Sesame, Jabalpur | Susceptible | ||
| NIC-9835 | AICRP Sesame, Jabalpur | Susceptible | ||
| ES-110-A | AICRP Sesame, Jabalpur | Susceptible | ||
| S-0619 | AICRP Sesame, Jabalpur | Susceptible | ||
| S-0069 | AICRP Sesame, Jabalpur | Susceptible | ||
| ES-139-2-84 | AICRP Sesame, Jabalpur | Susceptible | ||
| IC-152485 | AICRP Sesame, Jabalpur | Susceptible | ||
| SI-3275 | AICRP Sesame, Jabalpur | Susceptible | ||
| IS-436-3-84 | AICRP Sesame, Jabalpur | Susceptible | ||
| IS-449 | AICRP Sesame, Jabalpur | Susceptible | ||
| EC-334987 | AICRP Sesame, Jabalpur | Susceptible | ||
| IS-641-2-84 | AICRP Sesame, Jabalpur | Susceptible | ||
| IC-2621694 | AICRP Sesame, Jabalpur | Susceptible | ||
| G-19 | AICRP Sesame, Jabalpur | Susceptible | ||
| EC-204704 | AICRP Sesame, Jabalpur | Susceptible | ||
| IS-90 | AICRP Sesame, Jabalpur | Susceptible | ||
| I-68 | AICRP Sesame, Jabalpur | Susceptible | ||
| IS-686 | AICRP Sesame, Jabalpur | Susceptible | ||
| TMV-12-52 | AICRP Sesame, Jabalpur | Susceptible | ||
| KMR-48 | AICRP Sesame, Jabalpur | Susceptible | ||
| GRT-83138 | AICRP Sesame, Jabalpur | Susceptible | ||
| S-0223 | AICRP Sesame, Jabalpur | Susceptible | ||
| IS-62-I | AICRP Sesame, Jabalpur | Susceptible | ||
| EC-303423-C | AICRP Sesame, Jabalpur | Susceptible | ||
| S-0403 | AICRP Sesame, Jabalpur | Susceptible | ||
| Juland Sahame | AICRP Sesame, Jabalpur | Susceptible | ||
| GSM-21 | AICRP Sesame, Jabalpur | Susceptible | ||
| NIC-17362-A | AICRP Sesame, Jabalpur | Susceptible | ||
| 847-1-C | AICRP Sesame, Jabalpur | Susceptible | ||
| GRT-8336 | AICRP Sesame, Jabalpur | Susceptible | ||
| SI-3075 | AICRP Sesame, Jabalpur | Susceptible | ||
| SI-2670 | AICRP Sesame, Jabalpur | Susceptible | ||
| IS-151-B | AICRP Sesame, Jabalpur | Susceptible | ||
| IS-8480-B | AICRP Sesame, Jabalpur | Susceptible | ||
| SI-1248-B | AICRP Sesame, Jabalpur | Susceptible | ||
| IS-646-3-84-C | AICRP Sesame, Jabalpur | Susceptible | ||
| RT-54 | ORS, Jalgaon, MH | Susceptible | ||
| Uma | ORS, Jalgaon, MH | Susceptible | ||
| RT-283 | ORS, Jalgaon, MH | Susceptible | ||
| EC 377015 | ORS, Jalgaon, MH | Susceptible | ||
| EC 370840 | ORS, Jalgaon, MH | Susceptible | ||
| IS-1162 | ORS, Jalgaon, MH | Susceptible | ||
| Pragati (MT 75) | Cultivar | Susceptible | ||
| RT 351 | Cultivar | Susceptible | ||
| HT 2 | Cultivar | Susceptible | ||
| GT-6 | Cultivar | Susceptible | ||
| GT-10 | Cultivar | Susceptible | ||
| Local Rath | ORS, Mauranipur | Susceptible | ||
| Local Material-7 | ORS, Mauranipur | Susceptible | ||
| GP-174 | ORS, Mauranipur | Susceptible | ||
| GP-179 | ORS, Mauranipur | Susceptible | ||
| GP-177 | ORS, Mauranipur | Susceptible | ||
| GP-182 | ORS, Mauranipur | Susceptible | ||
| GP-164 | ORS, Mauranipur | Susceptible | ||
| GP-18 | ORS, Mauranipur | Susceptible | ||
| GP-153 | ORS, Mauranipur | Susceptible | ||
| GP-80 | ORS, Mauranipur | Susceptible | ||
| GP-190 | ORS, Mauranipur | Susceptible | ||
| GP-152 | ORS, Mauranipur | Susceptible | ||
| GP-140 | ORS, Mauranipur | Susceptible | ||
| NIC-161848 | AICRP Sesame, Jabalpur | Highly Susceptible $$ | 05 | |
| EC-335003 | AICRP Sesame, Jabalpur | Highly Susceptible | ||
| RJS-Bo | AICRP Sesame, Jabalpur | Highly Susceptible | ||
| TKG-306 | ORS, Jalgaon, MH | Highly Susceptible | ||
| R-III-F6 | ORS, Mauranipur | Highly Susceptible |
Disclaimer/Publisher’s Note: The statements, opinions and data contained in all publications are solely those of the individual author(s) and contributor(s) and not of MDPI and/or the editor(s). MDPI and/or the editor(s) disclaim responsibility for any injury to people or property resulting from any ideas, methods, instructions or products referred to in the content. |
© 2024 by the authors. Licensee MDPI, Basel, Switzerland. This article is an open access article distributed under the terms and conditions of the Creative Commons Attribution (CC BY) license (https://creativecommons.org/licenses/by/4.0/).
Share and Cite
Chugh, V.; Mishra, V.; Sharma, V.; Kumar, M.; Ghorbel, M.; Kumar, H.; Rai, A.; Kumar, R. Deciphering Physio-Biochemical Basis of Tolerance Mechanism for Sesame (Sesamum indicum L.) Genotypes under Waterlogging Stress at Early Vegetative Stage. Plants 2024, 13, 501. https://doi.org/10.3390/plants13040501
Chugh V, Mishra V, Sharma V, Kumar M, Ghorbel M, Kumar H, Rai A, Kumar R. Deciphering Physio-Biochemical Basis of Tolerance Mechanism for Sesame (Sesamum indicum L.) Genotypes under Waterlogging Stress at Early Vegetative Stage. Plants. 2024; 13(4):501. https://doi.org/10.3390/plants13040501
Chicago/Turabian StyleChugh, Vishal, Vigya Mishra, Vijay Sharma, Mukul Kumar, Mouna Ghorbel, Hitesh Kumar, Ashutosh Rai, and Rahul Kumar. 2024. "Deciphering Physio-Biochemical Basis of Tolerance Mechanism for Sesame (Sesamum indicum L.) Genotypes under Waterlogging Stress at Early Vegetative Stage" Plants 13, no. 4: 501. https://doi.org/10.3390/plants13040501
APA StyleChugh, V., Mishra, V., Sharma, V., Kumar, M., Ghorbel, M., Kumar, H., Rai, A., & Kumar, R. (2024). Deciphering Physio-Biochemical Basis of Tolerance Mechanism for Sesame (Sesamum indicum L.) Genotypes under Waterlogging Stress at Early Vegetative Stage. Plants, 13(4), 501. https://doi.org/10.3390/plants13040501

