Enhancing Soybean and Maize Yields through Improved Nitrogen and Soil Water Use Efficiencies: A 40-Year Study on the Impact of Farmyard Manure Amendment in Northeast China
Abstract
1. Introduction
2. Materials and Methods
2.1. Experimental Site
2.2. Experimental Design and Field Management
2.3. Sampling and Chemical Analyses
2.3.1. Soil
2.3.2. Soybean and Maize
2.4. Data Calculations
2.5. Statistical Analysis
3. Results
3.1. Soybean and Maize Biomass and Yields
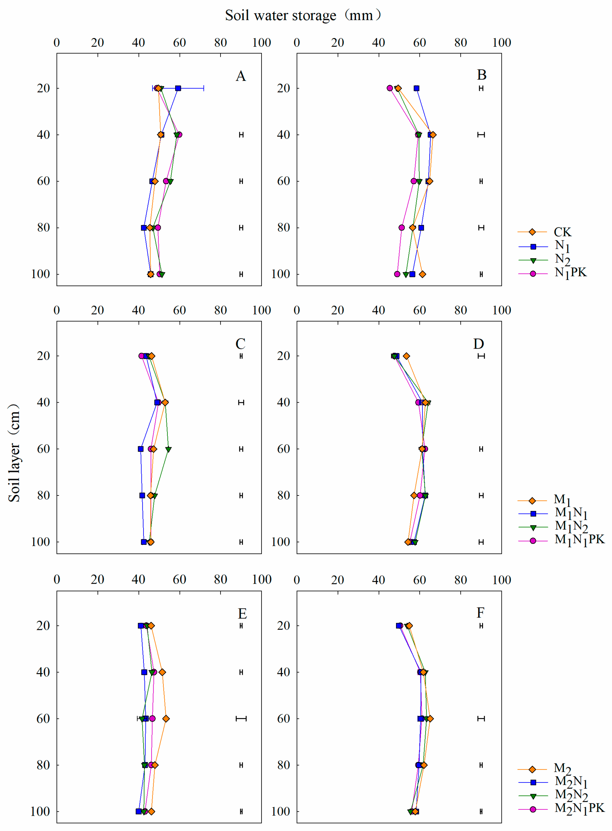
3.2. Soil Water Storage in the Soybean Season
3.3. Soil Water Storage in the Maize Season
3.4. Soil Mineral N Accumulation in the Soybean Season
3.5. Soil Mineral N Accumulation in the Maize Season
3.6. N and Water use Efficiencies in the Soybean and Maize Seasons
4. Discussion
4.1. Effect of Manure Amendment on the Soybean and Maize Biomass and Yields
4.2. Effect of Manure Amendment on Soil Water and N Distributions
4.3. Effect of Manure Amendment on Water and N Use Efficiencies
4.4. Evaluation for Fertilization Recommendation
5. Conclusions
Supplementary Materials
Author Contributions
Funding
Data Availability Statement
Acknowledgments
Conflicts of Interest
References
- Karra, R.; Maslouhi, A.; Bamba, Y.O. Modeling of nitrogen transport in variably saturated soils. Appl. Ecol. Environ. Res. 2018, 16, 1427–1444. [Google Scholar] [CrossRef]
- Erisman, J.W.; Sutton, M.A.; Galloway, J.N.; Klimont, Z.; Winiwarter, W. How a century of ammonia synthesis changed the world. Nat. Geosci. 2008, 1, 636–639. [Google Scholar] [CrossRef]
- Dai, J.; Wang, Z.H.; Li, F.; He, G.; Wang, S.; Li, Q.; Cao, H.; Luo, L.; Zan, Y.; Meng, X.; et al. Optimizing nitrogen input by balancing winter wheat yield and residual nitrate-N in soil in a long-term dryland field experiment in the Loess Plateau of China. Field Crops Res. 2015, 181, 32–41. [Google Scholar] [CrossRef]
- Ju, X.T.; Zhang, C. Nitrogen cycling and environmental impacts in upland agricultural soils in North China: A review. J. Integr. Agric. 2017, 16, 2848–2862. [Google Scholar] [CrossRef]
- Raza, S.; Na, M.; Wang, P.; Ju, X.; Chen, Z.J.; Zhou, J.; Kuzyakov, Y. Dramatic loss of inorganic carbon by nitrogen-induced soil acidification in Chinese croplands. Glob. Change Biol. 2020, 26, 3738–3751. [Google Scholar] [CrossRef]
- Zhang, X.; Davidson, E.A.; Mauzerall, D.L.; Searchinger, T.D.; Dumas, P.; Shen, Y. Managing nitrogen for sustainable development. Nature 2015, 528, 51–59. [Google Scholar] [CrossRef]
- Ehlert, D.; Schmerler, J.; Voelker, U. Variable Rate Nitrogen Fertilisation of Winter Wheat Based on a Crop Density Sensor. Precis. Agric. 2004, 5, 263–273. [Google Scholar] [CrossRef]
- Chen, X.P.; Cui, Z.L.; Fan, M.; Vitousek, P.M.; Zhao, M.; Ma, W.; Wang, Z.L.; Zhang, W.; Yan, X.; Yang, J.; et al. Producing more grain with lower environmental costs. Nature 2014, 514, 486–489. [Google Scholar] [CrossRef] [PubMed]
- Cai, A.; Xu, M.; Wang, B.R.; Zhang, W.; Liang, G.; Hou, E.; Luo, Y. Manure acts as a better fertilizer for increasing crop yields than synthetic fertilizer does by improving soil fertility. Soil Tillage Res. 2019, 189, 168–175. [Google Scholar] [CrossRef]
- Li, X.; Wen, Q.X.; Zhang, S.; Li, N.; Yang, J.; Romanyà, J.; Han, X. Long-term changes in organic and inorganic phosphorus compounds as affected by long-term synthetic fertilisers and pig manure in arable soils. Plant Soil 2022, 472, 239–255. [Google Scholar] [CrossRef]
- Dai, J.; Gui, H.L.; Shen, F.; Liu, Y.Y.; Bai, M.S.; Yang, J.; Liu, H.; Luo, P.Y.; Han, X.R.; Siddique, K.H.M. Fertilizer 15N balance in a soybean–maize–maize rotation system based on a 41-year long-term experiment in Northeast China. Front. Plant Sci. 2023, 14, 1105131. [Google Scholar] [CrossRef]
- Duan, Y.; Yang, H.; Shi, T.; Zhang, W.; Xu, M.; Gao, S. Long-term manure application to improve soil macroaggregates and plant-available nitrogen in a Mollisol. Soil Tillage Res. 2021, 211, 105035. [Google Scholar] [CrossRef]
- Quan, Z.; Li, S.; Zhang, X.; Zhu, F.; Li, P.P.; Sheng, R.; Chen, X.; Zhang, L.M.; He, J.Z.; Wei, W.X.; et al. Fertilizer nitrogen use efficiency and fates in maize cropping systems across China: Field 15N tracer studies. Soil Tillage Res. 2020, 197, 104498. [Google Scholar] [CrossRef]
- Xia, Y.; Chen, X.; Zheng, S.; Gunina, A.; Ning, Z.; Hu, Y.; Tang, H.; Rui, Y.; Zhang, Z.; He, H.; et al. Manure application accumulates more nitrogen in paddy soils than rice straw but less from fungal necromass. Agric. Ecosyst. Environ. 2021, 319, 107575. [Google Scholar] [CrossRef]
- Gong, H.R.; Li, J.; Ma, J.; Hou, R.; Zhang, X.; Ouyang, Z. Effects of straw incorporation combined with inorganic-organic fertilization on soil water and nitrogen changes and microbial community structure in winter wheat. Shengtai Xuebao/Acta Ecol. Sin. 2019, 39, 2203–2214. [Google Scholar]
- Li, Y.; Bai, N.; Tao, Z.; Mi, X.; He, G.; Wang, Z. Rethinking application of animal manure for wheat production in China. J. Clean. Prod. 2021, 318, 128473. [Google Scholar] [CrossRef]
- Ladha, J.K.; Pathak, H.; Krupnik, T.J.; Six, J.; Kessel, C.V. Efficiency of Fertilizer Nitrogen in Cereal Production: Retrospects and Prospects. Adv. Agron. 2005, 87, 85–156. [Google Scholar]
- Quan, Z.; Li, S.; Zhu, F.; Zhang, L.M.; He, J.Z.; Wei, W.X.; Fang, Y. Fates of 15N-labeled fertilizer in a black soil-maize system and the response to straw incorporation in Northeast China. J. Soils Sediments 2018, 18, 1441–1452. [Google Scholar] [CrossRef]
- Wang, M.; Pendall, E.; Fang, C.; Li, B.; Nie, M. A global perspective on agroecosystem nitrogen cycles after returning crop residue. Agric. Ecosyst. Environ. 2018, 266, 49–54. [Google Scholar] [CrossRef]
- Zhang, D.; Zhang, C.; Ren, H.; Xu, Q.; Yao, Z.-G.; Yuan, Y.; Yao, P.; Zhao, N.; Li, Y.; Zhang, S.; et al. Trade-offs between winter wheat production and soil water consumption via leguminous green manures in the Loess Plateau of China. Field Crops Res. 2021, 272, 108278. [Google Scholar] [CrossRef]
- Dai, J.; He, G.; Wang, S.; Cao, H.; Hui, X.; Ma, Q.; Liu, J.; Siddique, K.H.M.; Wang, Z.H.; Sadras, V.O. Matching NPK fertilization to summer rainfall for improved wheat production and reduced environmental cost. Field Crops Res. 2022, 286, 108613. [Google Scholar] [CrossRef]
- Lollato, R.P.; Edwards, J.T.; Ochsner, T.E. Meteorological limits to winter wheat productivity in the U.S. southern Great Plains. Field Crops Res. 2017, 203, 212–226. [Google Scholar] [CrossRef]
- Liu, C.A.; Zhou, L.M.; Jia, J.; Wang, L.J.; Si, J.T.; Li, X.; Pan, C.C.; Siddique, K.H.M.; Li, F. Maize yield and water balance is affected by nitrogen application in a film-mulching ridge-furrow system in a semiarid region of China. Eur. J. Agron. 2014, 52, 103–111. [Google Scholar] [CrossRef]
- Cao, H.B.; Wang, Z.H.; He, G.; Dai, J.; Huang, M.; Wang, S.; Luo, L.; Sadras, V.O.; Hoogmoed, M.; Malhi, S.S. Tailoring NPK fertilizer application to precipitation for dryland winter wheat in the Loess Plateau. Field Crops Res. 2017, 209, 88–95. [Google Scholar] [CrossRef]
- Jia, S.; Liang, A.; Zhang, S.; Chen, X.W.; McLaughlin, N.B.; Sun, B.J.; Zhang, X.; Wu, D.H. Effect of tillage system on soil CO2 flux, soil microbial community and maize (Zea mays L.) yield. Geoderma 2021, 384, 114813. [Google Scholar] [CrossRef]
- Li, S.X.; Wang, Z.; Li, S.; Gao, Y. Effect of nitrogen fertilization under plastic mulched and non-plastic mulched conditions on water use by maize plants in dryland areas of China. Agric. Water Manag. 2015, 162, 15–32. [Google Scholar] [CrossRef]
- Piao, S.; Ciais, P.; Huang, Y.; Shen, Z.; Peng, S.; Li, J.; Zhou, L.; Liu, H.; Ma, Y.; Ding, Y.; et al. The impacts of climate change on water resources and agriculture in China. Nature 2010, 467, 43–51. [Google Scholar] [CrossRef] [PubMed]
- Pinheiro, C.; Chaves, M.M.; Chaves, M.M. Photosynthesis and drought: Can we make metabolic connections from available data? J. Exp. Bot. 2011, 623, 869–882. [Google Scholar] [CrossRef] [PubMed]
- Hatfield, J.L.; Sauer, T.J.; Prueger, J.H. Managing Soils to Achieve Greater Water Use Efficiency. Agron. J. 2001, 93, 271–280. [Google Scholar] [CrossRef]
- Yu, C.Q.; Huang, X.; Chen, H.; Godfray, H.C.J.; Wright, J.S.; Hall, J.W.; Gong, P.; Ni, S.; Qiao, S.; Huang, G.; et al. Managing nitrogen to restore water quality in China. Nature 2019, 567, 516–520. [Google Scholar] [CrossRef] [PubMed]
- FAO. World Reference Base for Soil Resources. In World Soil Resources Reports; FAO: Italy, Rome, 1998. [Google Scholar]
- Ying, H.; Ye, Y.; Cui, Z.; Chen, X.P. Managing nitrogen for sustainable wheat production. J. Clean. Prod. 2017, 162, 1308–1316. [Google Scholar] [CrossRef]
- Novoa, R.; Loomis, R.S. Nitrogen and plant production. Plant Soil 1981, 58, 177–204. [Google Scholar] [CrossRef]
- Huang, M.; Wang, Z.; Luo, L.; Wang, S.; Hui, X.; He, G.; Cao, H.; Ma, X.; Huang, T.; Zhao, Y.; et al. Soil testing at harvest to enhance productivity and reduce nitrate residues in dryland wheat production. Field Crops Res. 2017, 212, 153–164. [Google Scholar] [CrossRef]
- Zhang, X.D.; Dong, Z.; Wu, X.W.; Gan, Y.; Chen, X.J.; Xia, H.A.; Kamran, M.; Jia, Z.K.; Han, Q.F.; Shayakhmetova, A.; et al. Matching fertilization with water availability enhances maize productivity and water use efficiency in a semi-arid area: Mechanisms and solutions. Soil Tillage Res. 2021, 214, 105164. [Google Scholar] [CrossRef]
- Li, F.; Zhang, G.; Chen, J.; Song, Y.; Geng, Z.; Li, K.; Siddique, K.H.M. Straw mulching for enhanced water use efficiency and economic returns from soybean fields in the Loess Plateau China. Sci. Rep. 2022, 12, 17111. [Google Scholar] [CrossRef]
- Zhang, M.; Yao, Y.; Tian, Y.; Ceng, K.; Zhao, M.; Zhao, M.; Yin, B. Increasing yield and N use efficiency with organic fertilizer in Chinese intensive rice cropping systems. Field Crops Res. 2018, 227, 102–109. [Google Scholar] [CrossRef]
- Dabin, Z.; Yao, P.; Na, Z.; Yu, C.B.; Cao, W.; Yajun, G. Contribution of green manure legumes to nitrogen dynamics in traditional winter wheat cropping system in the Loess Plateau of China. Eur. J. Agron. 2016, 72, 47–55. [Google Scholar] [CrossRef]
- Fan, K.K.; Delgado-Baquerizo, M.; Guo, X.S.; Wang, D.; Zhu, Y.G.; Chu, H. Biodiversity of key-stone phylotypes determines crop production in a 4-decade fertilization experiment. ISME J. 2020, 15, 550–561. [Google Scholar] [CrossRef]
- Xie, H.; Li, J.; Zhu, P.; Peng, C.; Wang, J.; He, H.; Zhang, X. Long-term manure amendments enhance neutral sugar accumulation in bulk soil and particulate organic matter in a Mollisol. Soil Biol. Biochem. 2014, 78, 45–53. [Google Scholar] [CrossRef]
- Chilundo, M.; Joel, A.; Wesström, I.; Brito, R.; Messing, I. Response of maize root growth to irrigation and nitrogen management strategies in semi-arid loamy sandy soil. Field Crops Res. 2017, 200, 143–162. [Google Scholar] [CrossRef]
- Li, S.X.; Wang, Z.; Malhi, S.S.; Li, S.; Gao, Y.; Tian, X. Chapter 7: Nutrient and water management effects on crop production, and nutrient and water use efficiency in dryland areas of China. Adv. Agron. 2009, 102, 223–265. [Google Scholar]
- Zhao, F.; Lei, J.; Wang, R.; Wang, H.; Zhang, K.; Yu, Q. Determining agricultural drought for spring wheat with statistical models in a semi-arid climate. J. Agric. Meteorol. 2018, 74, 162–172. [Google Scholar] [CrossRef]
- Cassman, K.G.; Dobermann, A.; Walters, D.T. Agroecosystems, Nitrogen-use Efficiency, and Nitrogen Management. Ambio 2002, 31, 132–140. [Google Scholar] [CrossRef] [PubMed]
- Yang, S.M.; Malhi, S.S.; Song, J.R.; Xiong, Y.C.; Yue, W.Y.; Lu, L.; Wang, J.G.; Guo, T.W. Crop Yield, Nitrogen Uptake and Nitrate-Nitrogen Accumulation in Soil as Affected by 23 Annual Applications of Fertilizer and Manure in the Rainfed Region of Northwestern China. Nutr. Cycl. Agroecosystems 2006, 76, 81–94. [Google Scholar] [CrossRef]
- Ju, X.T.; Xing, G.X.; Chen, X.P.; Zhang, S.L.; Zhang, L.J.; Liu, X.; Cui, Z.; Yin, B.; Christie, P.; Zhu, Z.L.; et al. Reducing environmental risk by improving N management in intensive Chinese agricultural systems. Proc. Natl. Acad. Sci. USA 2009, 106, 3041–3046. [Google Scholar] [CrossRef] [PubMed]
- Dai, J.; Wang, Z.H.; Li, M.; He, G.; Li, Q.; Cao, H.; Wang, S.; Gao, Y.J.; Hui, X. Winter wheat grain yield and summer nitrate leaching: Long-term effects of nitrogen and phosphorus rates on the Loess Plateau of China. Field Crops Res. 2016, 196, 180–190. [Google Scholar] [CrossRef]
- Yin, F.H.; Fu, B.J.; Mao, R.Z. Effects of nitrogen fertilizer application rates on nitrate nitrogen distribution in saline soil in the Hai River Basin, China. J. Soils Sediments 2007, 7, 136–142. [Google Scholar] [CrossRef]
- Yang, X.L.; Lu, Y.L.; Tong, Y.A.; Yin, X. A 5-year lysimeter monitoring of nitrate leaching from wheat–maize rotation system: Comparison between optimum N fertilization and conventional farmer N fertilization. Agric. Ecosyst. Environ. 2015, 199, 34–42. [Google Scholar] [CrossRef]
- Ju, X.; Christie, P. Calculation of theoretical nitrogen rate for simple nitrogen recommendations in intensive cropping systems: A case study on the North China Plain. Field Crops Res. 2011, 124, 450–458. [Google Scholar] [CrossRef]
- Miao, Y.F.; Wang, Z.H.; Li, S.X. Relation of nitrate N accumulation in dryland soil with wheat response to N fertilizer. Field Crops Res. 2015, 170, 119–130. [Google Scholar] [CrossRef]
- Duan, Y.H.; Xu, M.; Gao, S.; Liu, H.; Huang, S.; Wang, B. Long-term incorporation of manure with chemical fertilizers reduced total nitrogen loss in rain-fed cropping systems. Sci. Rep. 2016, 6, 33611. [Google Scholar] [CrossRef] [PubMed]
- Zhao, J.Y.; Yu, Z.W. Effects of nitrogen rate on nitrogen fertilizer use of winter wheat and content of soil nitrate-N under different fertility condition. Acta Ecol. Sin. 2006, 26, 815–822. (In Chinese) [Google Scholar]
- Gong, D.; Mei, X.; Hao, W.; Wang, H.; Caylor, K.K. Comparison of ET partitioning and crop coefficients between partial plastic mulched and non-mulched maize fields. Agric. Water Manag. 2017, 181, 23–34. [Google Scholar] [CrossRef]
- Anapalli, S.S.; Ahuja, L.R.; Gowda, P.H.; Ma, L.; Marek, G.; Evett, S.R.; Howell, T.A. Simulation of crop evapotranspiration and crop coefficients with data in weighing lysimeters. Agric. Water Manag. 2016, 177, 274–283. [Google Scholar] [CrossRef]
- Paolo, E.D.; Rinaldi, M. Yield response of corn to irrigation and nitrogen fertilization in a Mediterranean environment. Field Crops Res. 2008, 105, 202–210. [Google Scholar] [CrossRef]
- Girma, K.; Freeman, K.W.; Teal, R.F.; Arnall, D.B.; Tubana, B.S.; Holtz, S.L.; Raun, W.R. Analysis of yield variability in winter wheat due to temporal variability, and nitrogen and phosphorus fertilization. Arch. Agron. Soil Sci. 2007, 53, 435–442. [Google Scholar] [CrossRef]
- Johnson, G.V.; Raun, W.R. Nitrogen Response Index as a Guide to Fertilizer Management. J. Plant Nutr. 2003, 26, 249–262. [Google Scholar] [CrossRef]
- Gaudin, A.C.M.; Janovicek, K.; Deen, B.; Hooker, D.C. Wheat improves nitrogen use efficiency of 572 maize and soybean-based cropping systems. Agric. Ecosyst. Environ. 2015, 210, 1–10. [Google Scholar] [CrossRef]
- Rasmussen, I.S.; Dresbøll, D.B.; Thorup-Kristensen, K. Winter wheat cultivars and nitrogen (N) fertilization—Effects on root growth, N uptake efficiency and N use efficiency. Eur. J. Agron. 2015, 68, 38–49. [Google Scholar] [CrossRef]
- Cui, Z.; Wang, G.L.; Yue, S.; Wu, L.; Zhang, W.; Zhang, F.; Chen, X.P. Closing the N-use efficiency gap to achieve food and environmental security. Environ. Sci. Technol. 2014, 48, 5780–5787. [Google Scholar] [CrossRef]
- Liu, H. Evaluation and Reglation of wheat grain yield and Critical Nutrient Concentrations in Major Wheat Production Areas in China. Ph.D. Thesis, Northwest A&F University, Xianyang, China, 2016. (In Chinese). [Google Scholar]
- López-Bellido, R.; López-Bellido, L. Efficiency of nitrogen in wheat under Mediterranean conditions: Effect of tillage, crop rotation and N fertilization. Field Crops Res. 2001, 71, 31–46. [Google Scholar] [CrossRef]
- Duncan, E.G.; O’Sullivan, C.A.; Roper, M.M.; Biggs, J.S.; Peoples, M.B. Influence of co-application of nitrogen with phosphorus, potassium and sulphur on the apparent efficiency of nitrogen fertiliser use, grain yield and protein content of wheat: Review. Field Crops Res. 2018, 226, 56–65. [Google Scholar] [CrossRef]







| Treatments | Chemical Fertilizer Rates (kg ha–1) | Pig Manure (t ha–1) | ||||||
|---|---|---|---|---|---|---|---|---|
| N | P2O5 | K2O | ||||||
| Soybean | Maize | Soybean | Maize | Soybean | Maize | Soybean * | Maize | |
| CK | 0 | 0 | 0 | 0 | 0 | 0 | 0 | 0 |
| N1 | 30 | 120 | 0 | 0 | 0 | 0 | 0 | 0 |
| N2 | 60 | 180 | 0 | 0 | 0 | 0 | 0 | 0 |
| N1PK | 30 | 120 | 90 | 60 | 90 | 60 | 0 | 0 |
| M1 | 0 | 0 | 0 | 0 | 0 | 0 | 13.5 | 13.5 |
| M1N1 | 30 | 120 | 0 | 0 | 0 | 0 | 13.5 | 13.5 |
| M1N2 | 60 | 180 | 0 | 0 | 0 | 0 | 13.5 | 13.5 |
| M1N1PK | 30 | 120 | 90 | 60 | 90 | 60 | 13.5 | 13.5 |
| M2 | 0 | 0 | 0 | 0 | 0 | 0 | 27 | 27 |
| M2N1 | 30 | 120 | 0 | 0 | 0 | 0 | 27 | 27 |
| M2N2 | 60 | 180 | 0 | 0 | 0 | 0 | 27 | 27 |
| M2N1PK | 30 | 120 | 90 | 60 | 90 | 60 | 27 | 27 |
| Year | Treatment | ||||||||||||
|---|---|---|---|---|---|---|---|---|---|---|---|---|---|
| CK | N1 | N2 | N1PK | M1 | M1N1 | M1N2 | M1N1PK | M2 | M2N1 | M2N2 | M2N1PK | ||
| 2017 | PFPN a | -- | 34.14c | 13.43d | 73.80b | -- | 80.17b | 47.13c | 99.31a | -- | 67.44b | 43.04c | 78.16b |
| PEN b | 13.08a | 8.67de | 8.92cde | 9.09cde | 10.98b | 9.95bcd | 10.95b | 9.42cde | 10.24bc | 9.25cde | 10.11bc | 8.34e | |
| WUE c | 2.04c | 2.26c | 1.75c | 5.46ab | 5.17ab | 5.12ab | 6.51a | 6.52a | 4.22b | 4.20b | 5.54ab | 5.16ab | |
| 2018 | PFPN | -- | 90.06d | 56.38d | 318.82b | -- | 366.80ab | 161.76c | 320.54b | -- | 380.17a | 204.52c | 375.56a |
| PEN | 46.22b | 24.65e | 36.99c | 37.08c | 51.18a | 39.93c | 31.17d | 31.76d | 38.02c | 47.08b | 38.21c | 39.03c | |
| WUE | 7.05e | 6.17e | 7.03b | 19.29d | 24.54bc | 26.02ab | 21.63cd | 21.83cd | 24.14bc | 27.30ab | 29.45a | 25.83ab | |
Disclaimer/Publisher’s Note: The statements, opinions and data contained in all publications are solely those of the individual author(s) and contributor(s) and not of MDPI and/or the editor(s). MDPI and/or the editor(s) disclaim responsibility for any injury to people or property resulting from any ideas, methods, instructions or products referred to in the content. |
© 2024 by the authors. Licensee MDPI, Basel, Switzerland. This article is an open access article distributed under the terms and conditions of the Creative Commons Attribution (CC BY) license (https://creativecommons.org/licenses/by/4.0/).
Share and Cite
Liu, Y.; Bai, M.; Shen, F.; Wu, Z.; Yang, J.; Li, N.; Liu, H.; Dai, J.; Han, X. Enhancing Soybean and Maize Yields through Improved Nitrogen and Soil Water Use Efficiencies: A 40-Year Study on the Impact of Farmyard Manure Amendment in Northeast China. Plants 2024, 13, 500. https://doi.org/10.3390/plants13040500
Liu Y, Bai M, Shen F, Wu Z, Yang J, Li N, Liu H, Dai J, Han X. Enhancing Soybean and Maize Yields through Improved Nitrogen and Soil Water Use Efficiencies: A 40-Year Study on the Impact of Farmyard Manure Amendment in Northeast China. Plants. 2024; 13(4):500. https://doi.org/10.3390/plants13040500
Chicago/Turabian StyleLiu, Yuying, Minsong Bai, Feng Shen, Zhengchao Wu, Jinfeng Yang, Na Li, Houjun Liu, Jian Dai, and Xiaori Han. 2024. "Enhancing Soybean and Maize Yields through Improved Nitrogen and Soil Water Use Efficiencies: A 40-Year Study on the Impact of Farmyard Manure Amendment in Northeast China" Plants 13, no. 4: 500. https://doi.org/10.3390/plants13040500
APA StyleLiu, Y., Bai, M., Shen, F., Wu, Z., Yang, J., Li, N., Liu, H., Dai, J., & Han, X. (2024). Enhancing Soybean and Maize Yields through Improved Nitrogen and Soil Water Use Efficiencies: A 40-Year Study on the Impact of Farmyard Manure Amendment in Northeast China. Plants, 13(4), 500. https://doi.org/10.3390/plants13040500

