Newly Developed Restorer Lines of Sorghum [Sorghum bicolor (L.) Moench] Resistant to Greenbug
Abstract
1. Introduction
2. Results
2.1. Phenotypic Characterization of New Sorghum Lines
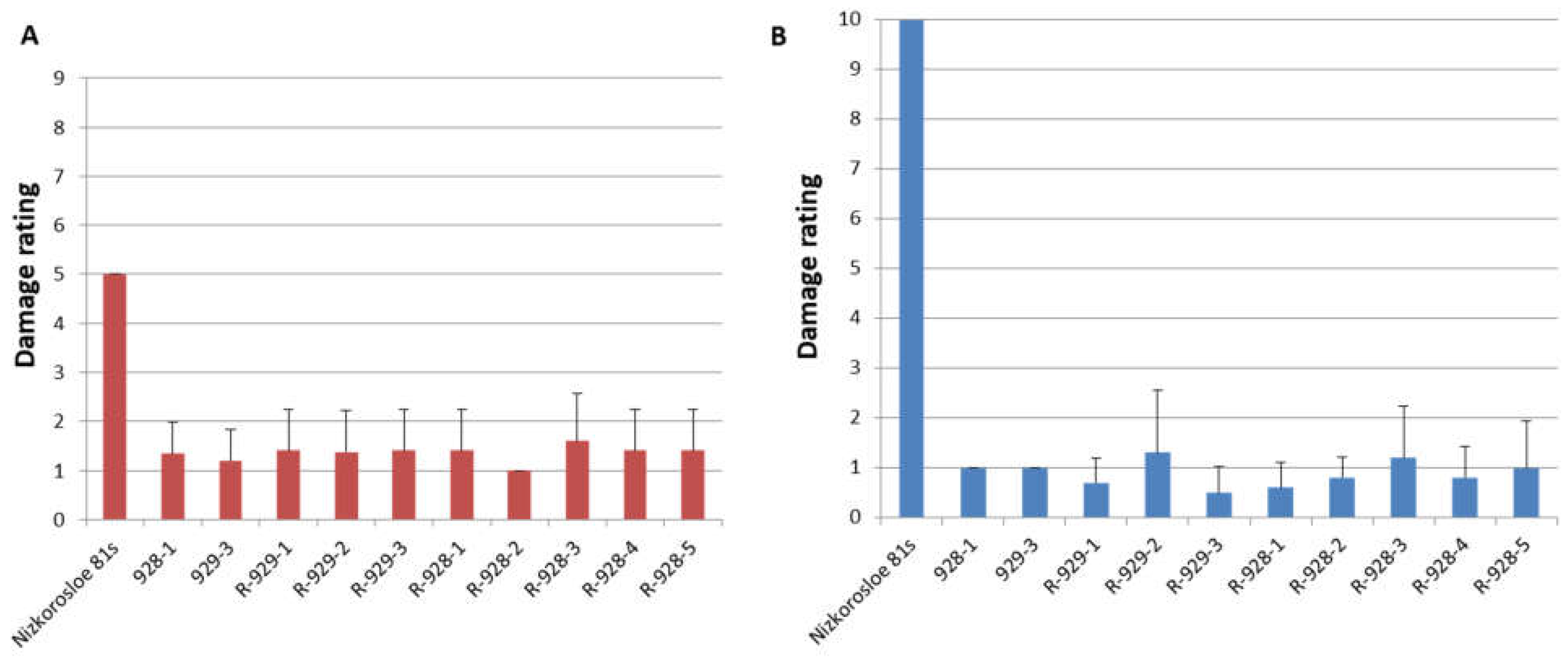
2.2. Phenotypic Evaluation for Aphid Resistance
2.3. Genotyping of Sorghum Lines
2.4. Identification of Alleles of the Rf Genes in the Original Sorghum Genotypes 928-1 and 929-3, and in New Lines
2.5. Development of CAPS Markers and Rf2 Alleles Confirmation
2.6. Analysis of Baking Properties of Sorghum Flour
3. Discussion
4. Materials and Methods
4.1. Plant Materials, Phenotypic Analysis, and Cytological Analysis of Pollen
4.2. Experimental Plants
4.3. Screening for Aphid Resistance
4.3.1. Adult Plant Resistance
4.3.2. Seedling Resistance
4.4. DNA Analysis
4.4.1. Microsatellite Analysis, Genotyping, and Candidate Rf Gene Identification
4.4.2. CAPS Marker Development and Rf2 Alleles Confirmation
4.5. Analysis of Technological Properties of Sorghum Flour
4.6. Statistical Analyses
5. Conclusions
Supplementary Materials
Author Contributions
Funding
Data Availability Statement
Conflicts of Interest
References
- Stephens, J.C.; Holland, R.F. Cytoplasmic male sterility for hybrid sorghum seed production. J. Agron. 1954, 46, 20–23. [Google Scholar] [CrossRef]
- Reddy, B.V.S.; Ramesh, S.; Reddy, P.S.; Ramaiah, B. Combining ability and heterosis as influenced by male-sterility inducing cytoplasms in sorghum (Sorghum bicolor (L.) Moench). Euphytica 2007, 154, 153–164. [Google Scholar] [CrossRef]
- Hanson, M.R.; Bentolila, S. Interactions of mitochondrial and nuclear genes that affect male gametophyte development. Plant Cell 2004, 16, S154–S169. [Google Scholar] [CrossRef]
- Elkonin, L.; Kozhemyakin, V.; Tsvetova, M. The sporophytic type of fertility restoration in the A3 CMS-inducing cytoplasm of sorghum and its modification by plant water availability conditions. Vavilov J. Genet. Breed. 2019, 23, 412–421. [Google Scholar] [CrossRef]
- Klein, R.R.; Klein, P.E.; Chhabra, A.K.; Dong, J.; Pammi, S.; Childs, K.L.; Mullet, J.E.; Rooney, W.L.; Schertz, K.F. Molecular mapping of the Rf1 gene for pollen fertility restoration in sorghum (Sorghum bicolor L.). Theor. Appl. Genet. 2001, 102, 1206–1212. [Google Scholar] [CrossRef]
- Klein, R.R.; Klein, P.E.; Mullet, J.E.; Minx, P.; Rooney, W.L.; Schertz, K.F. Fertility restorer locus Rf1 of sorghum (Sorghum bicolor L.) encodes a pentatricopeptide repeat protein not present in the colinear region of rice chromosome 12. Theor. Appl. Genet. 2005, 111, 994–1012. [Google Scholar] [CrossRef] [PubMed]
- Jordan, D.R.; Mace, E.S.; Henzell, R.G.; Klein, P.E.; Klein, R.R. Molecular mapping and candidate gene identification of the Rf2 gene for pollen fertility restoration in sorghum (Sorghum bicolor (L.) Moench). Theor. Appl. Genet. 2010, 120, 1279–1287. [Google Scholar] [CrossRef]
- Jordan, D.R.; Klein, R.R.; Sakrewski, K.G.; Henzell, R.G.; Klein, P.E.; Mace, E.S. Mapping and characterization of Rf5 a new gene conditioning pollen fertility restoration in A1 and A2 cytoplasm in sorghum (Sorghum bicolor (L.) Moench). Theor. Appl. Genet. 2011, 123, 383–396. [Google Scholar] [CrossRef]
- Praveen, M.; Anurag Uttam, G.; Suneetha, N.; Umakanth, A.; Patil, J.V.; Madhusudhana, R. Inheritance and molecular mapping of Rf6 locus with pollen fertility restoration ability on A1 and A2 cytoplasms in sorghum. Plant Sci. 2015, 238, 73–80. [Google Scholar] [CrossRef]
- Nadeem, M.A.; Nawaz, M.A.; Muhammad, Q.S.; Doğan, Y.; Comertpay, G.; Yıldız, M.; Hatipoğlu, R.; Ahmad, F.; Alsaleh, A.; Labhane, N.; et al. DNA molecular markers in plant breeding: Current status and recent advancements in genomic selection and genome editing. Biotechnol. Biotechnol. Equip. 2018, 32, 261–285. [Google Scholar] [CrossRef]
- Kante, M.; Rattunde, H.F.W.; Nébié, B.; Weltzien, E.; Haussmann, B.I.G.; Leiser, W.L. QTL mapping and validation of fertility restoration in West African sorghum A1 cytoplasm and identification of a potential causative mutation for Rf2. Theor. Appl. Genet. 2018, 131, 2397–2412. [Google Scholar] [CrossRef] [PubMed]
- El-Namaky, R.; Sedeek, S.; Moukoumbi, Y.D.; Ortiz, R.; Manneh, B. Microsatellite-aided screening for fertility restoration genes (Rf) facilitates hybrid improvement. Rice Sci. 2016, 23, 160–164. [Google Scholar] [CrossRef]
- Radchenko, E.E. Inheritance of greenbug resistance in several forms of grain sorghum and sudangrass. Russ. J. Genet. 2006, 42, 55–69. [Google Scholar] [CrossRef]
- Madugula, P.; Uttam, A.G.; Tonapi, V.A.; Ragimasalawada, M. Fine mapping of Rf2, a major locus controlling pollen fertility restoration in sorghum A1 cytoplasm, encodes a PPR gene and its validation through expression analysis. Plant Breed. 2018, 137, 148–161. [Google Scholar] [CrossRef]
- Radchenko, E.E.; Alpatieva, N.V.; Karabitsina, Y.I.; Ryazanova, M.K.; Kuznetsova, E.B.; Romanova, O.I.; Anisimova, I.N. Development and validation of CAPS-marker associated with the Rf2 gene in sorghum (Sorghum bicolor (L.) Moench). Plant Biotechnol. Breed. 2021, 4, 38–47. [Google Scholar] [CrossRef]
- Kibkalo, I. Effectiveness of and perspectives for the sedimentation analysis method in grain quality evaluation in various cereal crops for breeding purposes. Plants 2022, 11, 1640. [Google Scholar] [CrossRef]
- Horn, R.; Radanovic, A.; Fuhrmann, L.; Sprycha, Y.; Hamrit, S.; Jockovic, M.; Miladinovic, D.; Jansen, C. Development and validation of markers for the fertility restorer gene Rf1 in sunflower. Int. J. Mol. Sci. 2019, 20, 1260. [Google Scholar] [CrossRef]
- Wang, Y.; Min, M.; Duan, P.; Ma, Y.; Zhang, T.; Zhang, G.; Wei, B. Development of KASP molecular markers related to the fertility restoration of cytoplasmic male sterility in pepper. Sci. Hortic. 2023, 310, 111760. [Google Scholar] [CrossRef]
- Manjunathagowda, D.C. Perspective and application of molecular markers linked to the cytoplasm types and male-fertility restorer locus in onion (Allium cepa). Plant Breed. 2021, 140, 732–744. [Google Scholar] [CrossRef]
- Zhang, Y.; An, R.; Song, M.; Xie, C.; Wei, S.; Wang, D.; Dong, Y.; Jia, Q.; Huang, S.; Mu, J. A Set of Molecular markers to accelerate breeding and determine seed purity of CMS three-line hybrids in Brassica napus. Plants 2023, 12, 1514. [Google Scholar] [CrossRef]
- Farinati, S.; Draga, S.; Betto, A.; Palumbo, F.; Vannozzi, A.; Lucchin, M.; Barcaccia, G. Current insights and advances into plant male sterility: New precision breeding technology based on genome editing applications. Front. Plant Sci. 2023, 14, 1223861. [Google Scholar] [CrossRef] [PubMed]
- Kiyosawa, A.; Yonemaru, J.I.; Mizuno, H.; Kanamori, H.; Wu, J.; Kawahigashi, H.; Goto, K. Fine mapping of Rf5 region for a sorghum fertility restorer gene and microsynteny analysis across grass species. Breed. Sci. 2022, 72, 141–149. [Google Scholar] [CrossRef]
- Ingle, K.; Moharil, M.; Gahukar, S.; Jadhav, P.; Ghorade, R.; Thakur, N.; Kasanaboina, K.; Ceasar, S.A. Assessment of cytomorphological differences in sorghum fertility restoration. Agriculture 2023, 13, 985. [Google Scholar] [CrossRef]
- Kawahigashi, H.; Yonemaru, J.; Kiyosawa, A.; Mizuno, H.; Kasuga, S. DNA marker analysis of flowering time, semi-dwarf, fertility restorer, and brown midrib genes in sorghum (Sorghum bicolor (L.) Moench). Grassl Sci. 2022, 68, 101–113. [Google Scholar] [CrossRef]
- Carvalho, C.G.P.; Toledo, J.F.F. Extracting female inbred lines from commercial sunflower hybrids. Pesq. Agropec. Bras. 2008, 43, 1159–1162. [Google Scholar] [CrossRef]
- Awad-Allah, M.M.A.; Elekhtyar, N.M.; El-Abd, M.A.-E.-M.; Abdelkader, M.F.M.; Mahmoud, M.H.; Mohamed, A.H.; El-Diasty, M.Z.; Said, M.M.; Shamseldin, S.A.M.; Abdein, M.A. Development of new restorer lines carrying some restoring fertility genes with flowering, yield and grains quality characteristics in rice (Oryza sativa L.). Genes 2022, 13, 458. [Google Scholar] [CrossRef] [PubMed]
- Anisimova, I.N.; Ryabova, D.N.; Malinovskaya, E.V.; Alpatieva, N.V.; Karabitsina, Y.I.; Radchenko, E.E. Polymorphism of grain sorghum from VIR collection for the characters associated with the CMS-Rf genetic system. Agr. Biol. 2017, 52, 952–963. [Google Scholar] [CrossRef]
- Badulin, A.V.; Lyubimenko, T.A. The greenbug is a pest of sorghum. Plant Prot. 1998, 5, 25. [Google Scholar]
- Andrews, D.J.; Bramel-Cox, P.J.; Wilde, G.E. New sources of resistance to greenbug, biotype I, in sorghum. Crop Sci. 1993, 33, 198–199. [Google Scholar] [CrossRef]
- Wu, Y.; Huang, Y. Molecular mapping of QTLs for resistance to the greenbug Schizaphis graminum (Rondani) in Sorghum bicolor (Moench). Theor. Appl. Genet. 2008, 117, 117–124. [Google Scholar] [CrossRef]
- Zhang, H.; Huang, J.; Huang, Y. Identification and characterization of plant resistance genes (R genes) in sorghum and their involvement in plant defense against aphids. Plant Growth Regul. 2022, 96, 443–461. [Google Scholar] [CrossRef]
- Voronova, O.N.; Gavrilova, V.A. Quantitative and qualitative analysis of sunflower pollen (Helianthus L.) and it’s use in breeding work. Proc. Appl. Bot. Gen. Breed. 2019, 180, 95–104. [Google Scholar] [CrossRef]
- Radchenko, E.E. Cereal aphids. In The study of the genetic resources of cereal crops for resistance to harmful organisms. Guidelines; Russian Academy of Agricultural Science: Moscow, Russia, 2008; pp. 214–257. [Google Scholar]
- Dorokhov, D.B.; Kloke, E. Fast and economical technology of RAPD analysis of plant genomes. Russ. J. Genet. 1997, 33, 443–450. [Google Scholar]
- Price, A.L.; Patterson, N.J.; Plenge, R.M.; Weinblatt, M.E.; Shadick, N.A.; Reich, D. Principal components analysis corrects for stratification in genome-wide association studies. Nat. Genet. 2006, 38, 904–909. [Google Scholar] [CrossRef]
- Peakall, R.; Smouse, P.E. GenAlEx 6.5: Genetic analysis in Excel. Population genetic software for teaching and research—An update. Bioinformatics 2012, 28, 2537–2539. [Google Scholar] [CrossRef]







| Gene, Marker (Marker Alleles) | Total Number of Plants | Phenotypic Classes of F2 Plants | χ2 for Theoretical Ratio 9:3:3:1 Data | |||
|---|---|---|---|---|---|---|
| Aa + AA/Fert | Aa + AA/ster | aa/Fert | aa/ster | |||
| Rf1, Xtxp18 (235, 237) * | 80 | 56 | 12 | 8 | 4 | 6.30 ** |
| Rf2, Xtxp50 (304, 317) | 80 | 61 | 1 | 3 | 15 | 48.65 *** |
| Rf5, Xnhsbm1089 (227, 224) | 66 | 41 | 6 | 16 | 3 | 5.04 ** |
| Rf6, SB2386 (172, 166) | 53 | 36 | 4 | 9 | 4 | 5.04 ** |
| SSR_Xtxp50 Marker | CAPS Markers: HpaI/MseI | ||
|---|---|---|---|
| 935 + 753/−572 bp Homozygous for Maternal Allele | 935 + 753/+572 bp Heterozygous | 935/+572 bp Homozygous for Paternal Allele | |
| 304 bp (rf2/rf2) homozygous for maternal allele | 18 plants | 0 | 0 |
| 304 + 317 bp (Rf2/rf2) heterozygous | 1 plant | 37 plants | 0 |
| 317 bp (Rf2/Rf2) homozygous for paternal allele | 0 | 0 | 24 plants |
Disclaimer/Publisher’s Note: The statements, opinions and data contained in all publications are solely those of the individual author(s) and contributor(s) and not of MDPI and/or the editor(s). MDPI and/or the editor(s) disclaim responsibility for any injury to people or property resulting from any ideas, methods, instructions or products referred to in the content. |
© 2024 by the authors. Licensee MDPI, Basel, Switzerland. This article is an open access article distributed under the terms and conditions of the Creative Commons Attribution (CC BY) license (https://creativecommons.org/licenses/by/4.0/).
Share and Cite
Radchenko, E.E.; Anisimova, I.N.; Ryazanova, M.K.; Kibkalo, I.A.; Alpatieva, N.V. Newly Developed Restorer Lines of Sorghum [Sorghum bicolor (L.) Moench] Resistant to Greenbug. Plants 2024, 13, 425. https://doi.org/10.3390/plants13030425
Radchenko EE, Anisimova IN, Ryazanova MK, Kibkalo IA, Alpatieva NV. Newly Developed Restorer Lines of Sorghum [Sorghum bicolor (L.) Moench] Resistant to Greenbug. Plants. 2024; 13(3):425. https://doi.org/10.3390/plants13030425
Chicago/Turabian StyleRadchenko, Evgeny E., Irina N. Anisimova, Maria K. Ryazanova, Ilya A. Kibkalo, and Natalia V. Alpatieva. 2024. "Newly Developed Restorer Lines of Sorghum [Sorghum bicolor (L.) Moench] Resistant to Greenbug" Plants 13, no. 3: 425. https://doi.org/10.3390/plants13030425
APA StyleRadchenko, E. E., Anisimova, I. N., Ryazanova, M. K., Kibkalo, I. A., & Alpatieva, N. V. (2024). Newly Developed Restorer Lines of Sorghum [Sorghum bicolor (L.) Moench] Resistant to Greenbug. Plants, 13(3), 425. https://doi.org/10.3390/plants13030425

