Effects of Far-Red Light and Ultraviolet Light-A on Growth, Photosynthesis, Transcriptome, and Metabolome of Mint (Mentha haplocalyx Briq.)
Abstract
1. Introduction
2. Results
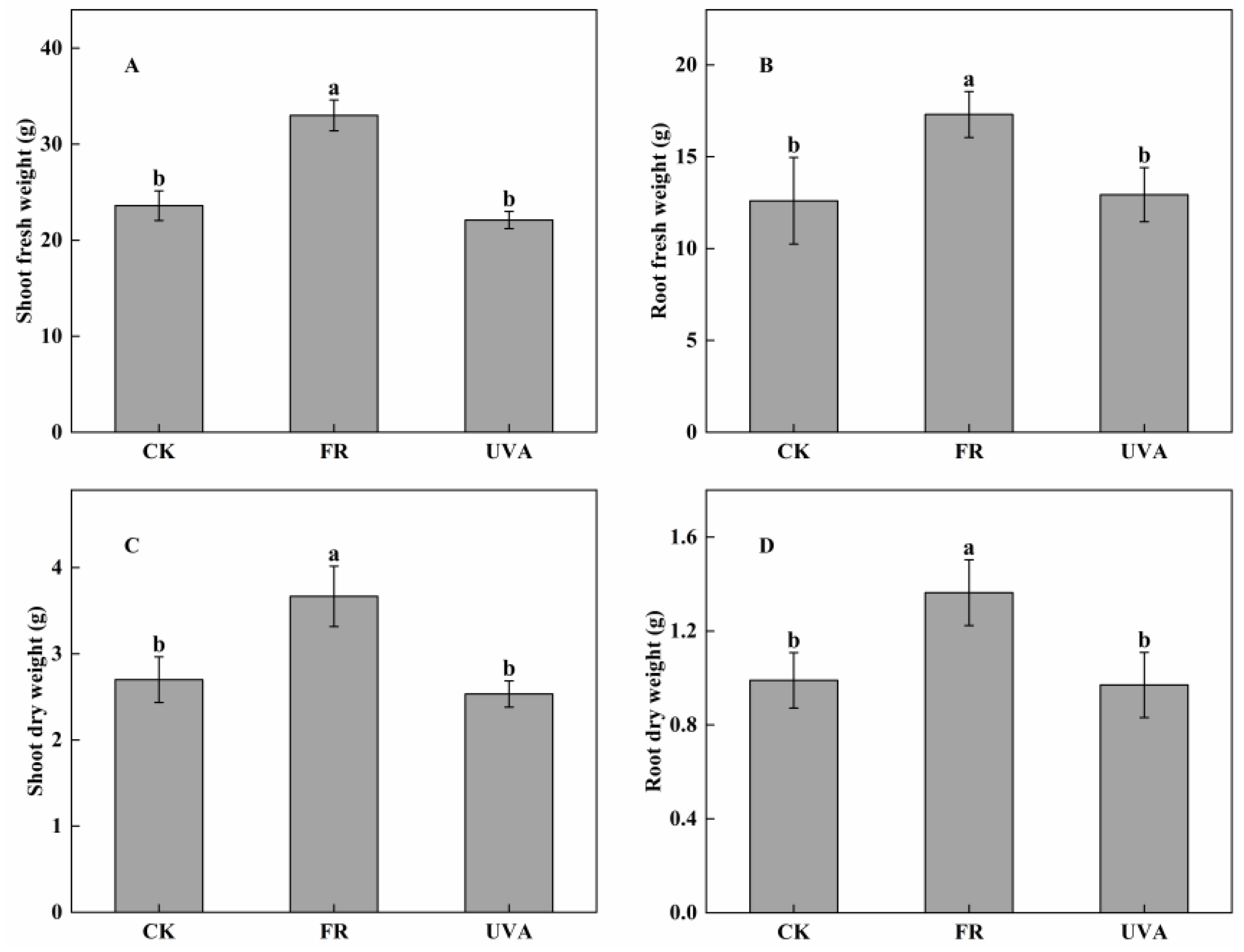
2.1. Effects of Different Light Qualities on Mint Growth Parameters
2.2. Effects of Different Light Qualities on Mint Chlorophyll and Carotenoid Contents
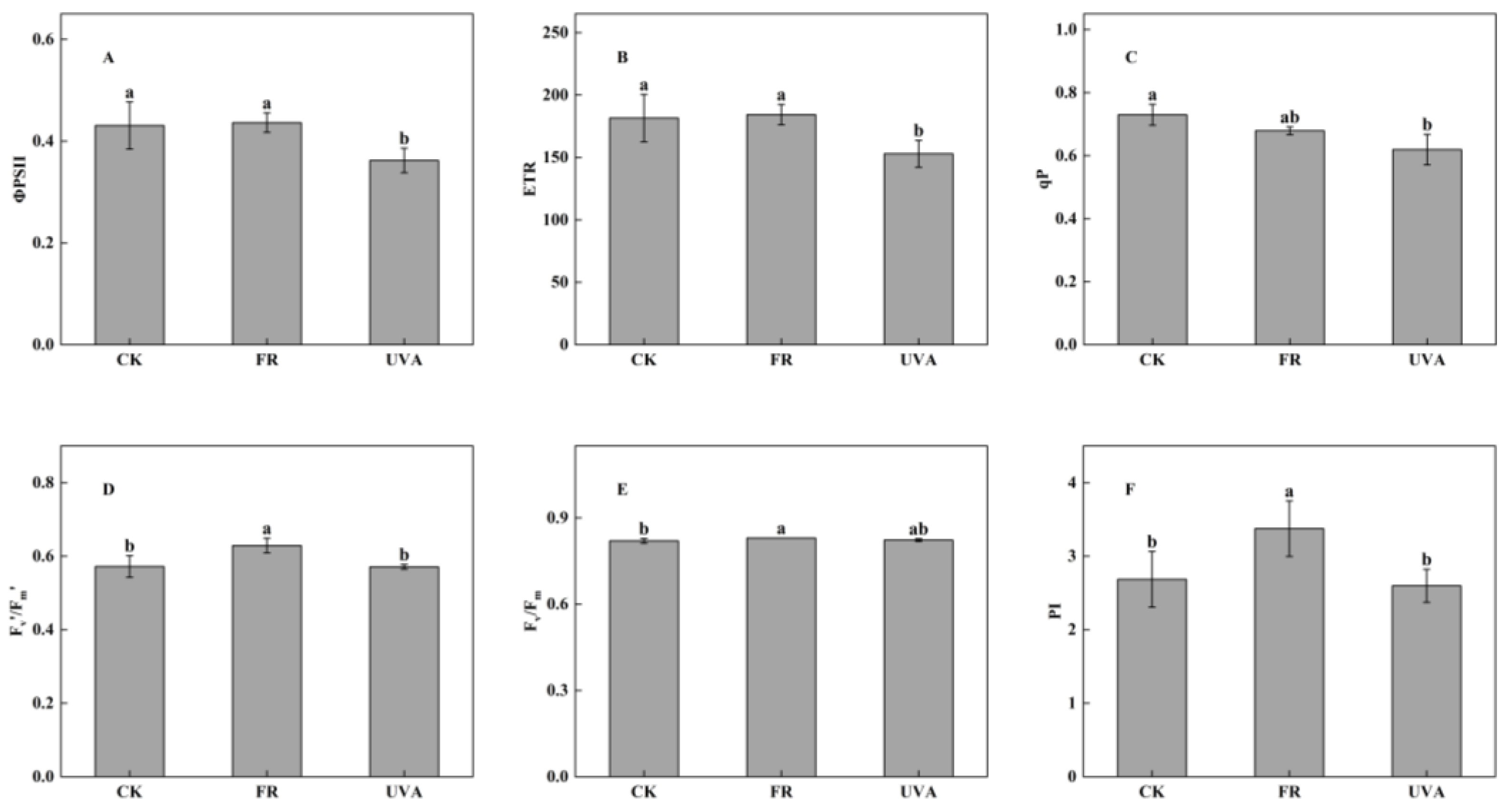
2.3. Effects of Different Light Qualities on Mint Photosynthesis
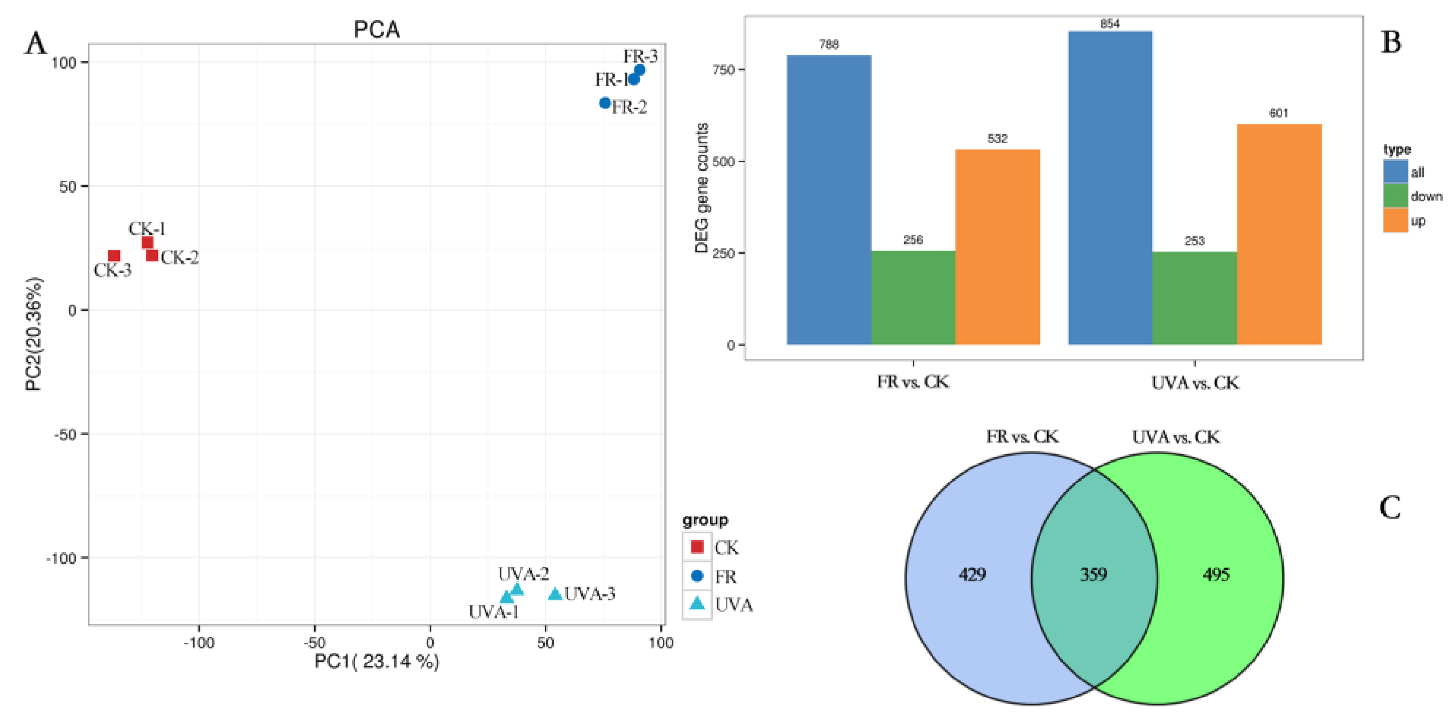
2.4. Effects of Different Light Qualities on Mint Transcriptome
2.4.1. Differentially Expressed Genes (DEGs) Analysis of Mint Under Different Light Qualities
2.4.2. Kyoto Encyclopedia of Genes and Genomes (KEGG) Pathway Enrichment Analysis of DEGs in Mint Under Different Light Qualities
2.5. Effects of Different Light Qualities on Mint Metabolome
2.5.1. Differential Accumulated Metabolites (DAMs) Analysis of Mint Under Different Light Qualities
2.5.2. KEGG Pathway Enrichment Analysis of DAMs in Mint Under Different Light Qualities
2.6. Combined Analysis of Transcriptome and Metabolome in Mint Under Different Light Qualities
2.6.1. The Effects of Different Light Qualities on the Hormone-Related Pathways in Mint
2.6.2. The Effects of Different Light Qualities on the Secondary Metabolism-Related Pathways in Mint
2.7. Validation of RNA-Seq Based DEGs Results by qRT-PCR
2.8. Correlation Analysis
3. Discussion
3.1. Effects of Different Light Qualities on the Growth of Mint
3.2. Effects of Different Light Qualities on the Chlorophyll and Carotenoid Contents of Mint
3.3. Effects of Different Light Qualities on the Photosynthesis of Mint
3.4. Effects of Different Light Qualities on the Transcriptome and Metabolome of Mint
3.4.1. The Effects of Different Light Qualities on the Plant Hormone Signal Transduction Pathway in Mint
3.4.2. The Effects of Different Light Qualities on the Phenylpropanoid Biosynthesis Pathway in Mint
3.4.3. The Effects of Different Light Qualities on the Flavonoid Biosynthesis Pathway in Mint
4. Materials and Methods
4.1. Plant Material and Treatments
4.2. Growth Parameters Measurement
4.3. Measurement of Chlorophyll and Carotenoid Contents
4.4. Leaf Gas Exchange and Chlorophyll Fluorescence Analysis, Fitting of the Light Response Curve
4.5. Transcriptome cDNA Library Preparation and Sequencing and Real-Time Quantitative RT-PCR
4.5.1. Transcriptome cDNA Library Preparation and Sequencing
4.5.2. Real-Time Quantitative RT-PCR
4.6. Metabolite Extraction, Detection, and Qualitative and Quantitative Analysis
4.7. Statistical Analysis
5. Conclusions
Author Contributions
Funding
Data Availability Statement
Acknowledgments
Conflicts of Interest
References
- Miao, C.; Yang, S.J.; Xu, J.; Wang, H.; Zhang, Y.X.; Cui, J.W.; Zhang, H.M.; Jin, H.J.; Lu, P.L.; He, L.Z. Effects of light intensity on growth and quality of lettuce and spinach cultivars in a plant factory. Plants 2023, 12, 3337. [Google Scholar] [CrossRef]
- Bian, Z.H.; Cheng, R.F.; Wang, Y.; Yang, Q.C.; Lu, C.G. Effect of green light on nitrate reduction and edible quality of hydroponically grown lettuce (Lactuca sativa L.) under short-term continuous light from red and blue light-emitting diodes. Environ. Exp. Bot. 2018, 153, 63–71. [Google Scholar] [CrossRef]
- Li, Y.F.; Xin, G.F.; Wei, M.; Shi, Q.H.; Yang, F.J.; Wang, X.F. Carbohydrate accumulation and sucrose metabolism responses in tomato seedling leaves when subjected to different light qualities. Sci. Hortic. 2017, 225, 490–497. [Google Scholar] [CrossRef]
- Behn, H.; Albert, A.; Marx, F.; Noga, G.; Ulbrich, A. Ultraviolet-B and photosynthetically active radiation interactively affect yield and pattern of monoterpenes in leaves of peppermint (Mentha × piperita L.). J. Agric. Food Chem. 2010, 58, 7361–7367. [Google Scholar] [CrossRef] [PubMed]
- Ballaré, C.L.; Caldwell, M.M.; Flint, S.D.; Robinson, S.A.; Bornman, J.F. Effects of solar ultraviolet radiation on terrestrial ecosystems. Patterns, mechanisms, and interactions with climate change. Photochem. Photobiol. Sci. 2011, 10, 226–241. [Google Scholar] [CrossRef]
- Kondo, N.; Kawashima, M. Enhancement of the tolerance to oxidative stress in cucumber (Cucumis sativus L.) seedlings by UV-B irradiation: Possible involvement of phenolic compounds and antioxidative enzymes. J. Plant Res. 2000, 113, 311–317. [Google Scholar] [CrossRef]
- Legendre, R.; van Iersel, M.W. Supplemental far-red light stimulates lettuce growth: Disentangling morphological and physiological effects. Plants 2021, 10, 166. [Google Scholar] [CrossRef] [PubMed]
- Kong, J.H.; Zhao, Y.; Fan, P.G.; Wang, Y.J.; Xu, X.B.; Wang, L.J.; Li, S.H.; Duan, W.; Liang, Z.C.; Dai, Z.W. Far-red light modulates grapevine growth by increasing leaf photosynthesis efficiency and triggering organ-specific transcriptome remodelling: Author. Bmc Plant Biol. 2024, 24, 189. [Google Scholar] [CrossRef] [PubMed]
- Zhang, Z.Z.; Li, X.X.; Chu, Y.N.; Zhang, M.X.; Wen, Y.Q.; Duan, C.Q.; Pan, Q.H. Three types of ultraviolet irradiation differentially promote expression of shikimate pathway genes and production of anthocyanins in grape berries. Plant Physiol. Biochem. 2012, 57, 74–83. [Google Scholar] [CrossRef] [PubMed]
- Chen, Y.C.; Li, T.; Yang, Q.C.; Zhang, Y.T.; Zou, J.; Bian, Z.H.; Wen, X.Z. UVA radiation is beneficial for yield and quality of indoor cultivated lettuce. Front. Plant Sci. 2019, 10, 1563. [Google Scholar] [CrossRef] [PubMed]
- Yang, F.; Liu, Q.L.; Cheng, Y.J.; Feng, L.Y.; Wu, X.L.; Fan, Y.F.; Raza, M.A.; Wang, X.C.; Yong, T.W.; Liu, W.G. Low red/far-red ratio as a signal promotes carbon assimilation of soybean seedlings by increasing the photosynthetic capacity. BMC Plant Biol. 2020, 20, 148. [Google Scholar] [CrossRef] [PubMed]
- Hou, F.J.; Ben, G.Y.; Yan, J.Y.; Han, F.; Shi, S.B.; Wei, J. Effects of supplemental ultraviolet(UV) radiation on the growth and photosynthesis of soybean growing in the field. Chin. J. Plant Ecolo. 1998, 22, 256–261. [Google Scholar]
- Kong, Y.; Schiestel, K.; Zheng, Y.B. Pure blue light effects on growth and morphology are slightly changed by adding low-level UVA or far-red light: A comparison with red light in four microgreen species. Environ. Exp. Bot. 2019, 157, 58–68. [Google Scholar] [CrossRef]
- Bian, Z.H.; Yang, Q.C.; Liu, W.k. Effects of light quality on the accumulation of phytochemicals in vegetables produced in controlled environments: A review. J. Sci. Food Agric. 2015, 95, 869–877. [Google Scholar] [CrossRef] [PubMed]
- Hasan, M.M.; Bashir, T.; Ghosh, R.; Lee, S.K.; Bae, H. An overview of LEDs’ effects on the production of bioactive compounds and crop quality. Molecules. 2017, 22, 1420. [Google Scholar] [CrossRef]
- Ding, X.T.; Miao, C.; Li, R.G.; He, L.Z.; Zhang, H.M.; Jin, H.J.; Cui, J.W.; Wang, H.; Zhang, Y.X.; Lu, P.L.; et al. Artificial light for improving tomato recovery following grafting: Transcriptome and physiological analyses. Int. J. Mol. Sci. 2023, 24, 15928. [Google Scholar] [CrossRef]
- Castiglione, F.; Pappalardo, F.; Bianca, C.; Russo, G.; Motta, S. Modeling biology spanning different scales: An open challenge. BioMed Res. Int. 2014, 2014, 902545. [Google Scholar] [CrossRef]
- Lin, K.H.; Huang, M.Y.; Hsu, M.H. Morphological and physiological response in green and purple basil plants (Ocimum basilicum) under different proportions of red, green, and blue LED lightings. Sci. Hortic. 2021, 275, 109677. [Google Scholar] [CrossRef]
- Heo, J.W.; Lee, C.W.; Paek, K.Y. Influence of mixed LED radiation on the growth of annual plants. J. Plant Biol. 2006, 49, 286–290. [Google Scholar] [CrossRef]
- Cioć, M.; Szewczyk, A.; Żupnik, M.; Kalisz, A.; Pawłowska, B. LED lighting affects plant growth, morphogenesis and phytochemical contents of Myrtus communis L. in vitro. Plant Cell Tissue Organ. Cult. 2018, 132, 433–447. [Google Scholar] [CrossRef]
- Mamadalieva, N.Z.; Hussain, H.; Xiao, J.B. Recent advances in genus Mentha: Phytochemistry, antimicrobial effects, and food applications. Food Front. 2020, 1, 435–458. [Google Scholar] [CrossRef]
- Lu, Z. Evaluation of flavor quality stability of peppermint essential oils using gas chromatography-mass spectrometry fingerprints in combination with cluster analysis. Mod. Food Sci. Technol. 2018, 34, 283–290. [Google Scholar] [CrossRef]
- Baek, J.P.; Park, K.W.; Craker, L.E.; Kang, H.M. Changes in growth and quality of three mint cultivars at different harvesting periods. Hortic. Environ. Biotechnol. 2016, 57, 207–212. [Google Scholar] [CrossRef]
- Park, Y.J.; Runkle, E.S. Far-red radiation and photosynthetic photon flux density independently regulate seedling growth but interactively regulate flowering. Environ. Exp. Bot. 2018, 155, 206–216. [Google Scholar] [CrossRef]
- Li, Q.; Kubota, C. Effects of supplemental light quality on growth and phytochemicals of baby leaf lettuce. Environ. Exp. Bot. 2009, 67, 59–64. [Google Scholar] [CrossRef]
- Kurepin, L.V.; Emery, R.J.; Pharis, R.P.; Reid, D.M. Uncoupling light quality from light irradiance effects in Helianthus annuus shoots: Putative roles for plant hormones in leaf and internode growth. J. Exp. Bot. 2007, 58, 2145–2157. [Google Scholar] [CrossRef] [PubMed]
- Liu, B.; Liu, X.B.; Li, Y.S.; Herbert, S.J. Effects of enhanced UV-B radiation on seed growth characteristics and yield components in soybean. Field Crop Res. 2013, 154, 158–163. [Google Scholar] [CrossRef]
- Li, Y.M.; Wu, L.Y.; Jiang, H.Z.; He, R.; Song, S.W.; Su, W.; Liu, H.C. Supplementary far-red and blue lights influence the biomass and phytochemical profiles of two lettuce cultivars in plant factory. Molecules 2021, 26, 7405. [Google Scholar] [CrossRef] [PubMed]
- Leister, D. Enhancing the light reactions of photosynthesis: Strategies, controversies, and perspectives. Mol. Plant. 2023, 16, 4–22. [Google Scholar] [CrossRef] [PubMed]
- Pettai, H.; Oja, V.; Freiberg, A.; Laisk, A. Photosynthetic activity of far-red light in green plants. Biochim. Biophys. Acta Bioenerg. 2005, 1708, 311–321. [Google Scholar] [CrossRef]
- Zhen, S.Y.; van Iersel, M.W. Far-red light is needed for efficient photochemistry and photosynthesis. J. Plant Physiol. 2017, 209, 115–122. [Google Scholar] [CrossRef] [PubMed]
- Zhou, X.T.; Li, Z.L.; He, J.J.; Wang, X.Y.; Liu, Q.L.; Huang, J.; Xie, Y.D.; He, Z.Q. Effects of red to far-red light ratio on growth and photosynthetic characteristics of tomato seedlings under calcium nitrate stress. Photosynthetica 2021, 59, 625–632. [Google Scholar] [CrossRef]
- Tan, T.T.; Li, S.L.; Fan, Y.F.; Wang, Z.L.; Raza, M.A.; Shafiq, I.; Wang, B.B.; Wu, X.L.; Yong, T.W.; Wang, X.C.; et al. Far-red light: A regulator of plant morphology and photosynthetic capacity. Crop J. 2022, 10, 300–309. [Google Scholar] [CrossRef]
- Ranjbarfordoei, A.; Samson, R.; Van Damme, P. Photosynthesis performance in sweet almond [Prunus dulcis (Mill) D. Webb] exposed to supplemental UV-B radiation. Photosynthetica 2011, 49, 107–111. [Google Scholar] [CrossRef]
- Mackerness, S.A.H.; Jordan, B.R.; Thomas, B. Reactive oxygen species in the regulation of photosynthetic genes by ultraviolet-B radiation (UV-B: 280-320 nm) in green and etiolated buds of pea (Pisum sativum L.). J. Photochem. Photobiol. B: Biol. 1999, 48, 180–188. [Google Scholar] [CrossRef]
- Hazrati, S.; Tahmasebi-Sarvestani, Z.; Modarres-Sanavy, S.A.M.; Mokhtassi-Bidgoli, A.; Nicola, S. Effects of water stress and light intensity on chlorophyll fluorescence parameters and pigments of Aloe vera L. Plant Physiol. Biochem. 2016, 106, 141–148. [Google Scholar] [CrossRef]
- Shmarev, A.; Vereshagin, M.; Pashkovskiy, P.; Kreslavski, V.; Allakhverdiev, S. Influence of additional far-red light on photosynthetic and growth parameters of lettuce plants and the resistance of the photosynthetic apparatus to high irradiance. Photosynthetica 2024, 62, 180–186. [Google Scholar] [CrossRef] [PubMed]
- Huang, W.J.; Yang, G.Z.; Liu, D.D.; Li, Q.; Zheng, L.P.; Ma, J. Metabolomics and transcriptomics analysis of vitro growth in pitaya plantlets with different LED Light spectra treatment. Ind. Crops Prod. 2022, 186, 115237. [Google Scholar] [CrossRef]
- Chen, S.; Wang, X.J.; Cheng, Y.; Gao, H.S.; Chen, X.H. Effects of supplemental lighting on flavonoid and anthocyanin biosynthesis in strawberry flesh revealed via metabolome and transcriptome co-analysis. Plants 2024, 13, 1070. [Google Scholar] [CrossRef]
- Wang, Y.S.; Gao, L.P.; Wang, Z.R.; Liu, Y.J.; Sun, M.L.; Yang, D.Q.; Wei, C.L.; Shan, Y.; Luo, Y.; Xia, T. Light-induced gene expression involved in phenylpropanoid biosynthetic pathways in callus of tea (Camellia sinensis L.). Sci. Hortic. 2010, 133, 72–83. [Google Scholar] [CrossRef]
- Warpeha, K.M.; Montgomery, B.L. Light and hormone interactions in the seed-to-seedling transition. Environ. Exp. Bot. 2016, 121, 56–65. [Google Scholar] [CrossRef]
- Banerjee, A.; Roychoudhury, A. Plant responses to light stress: Oxidative damages, photoprotection, and role of phytohormones. In Plant Hormones Under Challenging Environmental Factors; Springer: Amsterdam, The Netherlands, 2016; pp. 181–213. [Google Scholar]
- Iglesias, M.J.; Sellaro, R.; Zurbriggen, M.D.; Casal, J.J. Multiple links between shade avoidance and auxin networks. J. Exp. Bot. 2018, 69, 213–228. [Google Scholar] [CrossRef] [PubMed]
- Hisamatsu, T.; King, R.W.; Helliwell, C.A.; Koshioka, M. The involvement of gibberellin 20-oxidase genes in phytochrome-regulated petiole elongation of Arabidopsis. Plant Physiol. 2005, 138, 1106–1116. [Google Scholar] [CrossRef] [PubMed]
- Falcioni, R.; Moriwaki, T.; Benedito, E.; Bonato, C.M.; de Souza, L.A.; Antunes, W.C. Increased gibberellin levels enhance light capture efficiency in tobacco plants and promote dry matter accumulation. Theor. Exp. Plant Physiol. 2018, 30, 235–250. [Google Scholar] [CrossRef]
- Cerrudo, L.; Keller, M.M.; Cargnel, M.D.; Demkura, P.V.; de Wit, M.; Patitucci, M.S.; Pierik, R.; Pieterse, C.M.; Ballaré, C.L. Low red/far-red ratios reduce Arabidopsis resistance to Botrytis cinerea and jasmonate responses via a COI1-JAZ10-dependent, salicylic acid-independent mechanism. Plant Physiol. 2012, 158, 2042–2052. [Google Scholar] [CrossRef]
- Hou, X.L.; Lee, L.Y.; Xia, K.F.; Yan, Y.Y.; Yu, H. DELLAs modulate jasmonate signaling via competitive binding to JAZs. Dev. Cell 2010, 19, 884–894. [Google Scholar] [CrossRef] [PubMed]
- Liu, Y.; Jafari, F.; Wang, H.Y. Integration of light and hormone signaling pathways in the regulation of plant shade avoidance syndrome. Abiotech 2021, 2, 131–145. [Google Scholar] [CrossRef] [PubMed]
- Santino, A.; Taurino, M.; De Domenico, S.; Bonsegna, S.; Poltronieri, P.; Pastor, V.; Flors, V. Jasmonate signaling in plant development and defense response to multiple (a)biotic stresses. Plant Cell Rep. 2013, 32, 1085–1098. [Google Scholar] [CrossRef] [PubMed]
- Ahres, M.; Pálmai, T.; Gierczik, K.; Dobrev, P.; Vanková, R.; Galiba, G. The impact of far-red light supplementation on hormonal responses to cold acclimation in barley. Biomolecules 2021, 11, 450. [Google Scholar] [CrossRef] [PubMed]
- Mei, X.; Wan, S.H.; Lin, C.Y.; Zhou, C.B.; Hu, L.H.; Deng, C.; Zhang, L.Y. Integration of metabolome and transcriptome reveals the relationship of benzenoid–phenylpropanoid pigment and aroma in purple tea flowers. Front. Plant Sci. 2021, 12, 762330. [Google Scholar] [CrossRef] [PubMed]
- Zhao, S.C.; Tuan, P.A.; Li, X.H.; Kim, Y.B.; Kim, H.; Park, C.G.; Yang, J.L.; Li, C.H.; Park, S.U. Identification of phenylpropanoid biosynthetic genes and phenylpropanoid accumulation by transcriptome analysis of Lycium chinense. BMC Genom. 2013, 14, 802. [Google Scholar] [CrossRef]
- Ferrer, J.L.; Austin, M.B.; Stewart, C., Jr.; Noel, J.P. Structure and function of enzymes involved in the biosynthesis of phenylpropanoids. Plant Physiol. Biochem. 2007, 46, 356–370. [Google Scholar] [CrossRef]
- Soleimani, H.; Mostowfizadeh-Ghalamfarsa, R.; Ghanadian, M.; Karami, A.; Cacciola, S.O. Defense mechanisms induced by celery seed essential oil against powdery mildew incited by Podosphaera fusca in cucumber. J. Fungi 2023, 10, 17. [Google Scholar] [CrossRef] [PubMed]
- Zhang, Y.C.; Chen, G.; Zang, Y.M.; Bhavani, S.; Bai, B.; Liu, W.k.; Zhao, M.M.; Cheng, Y.K.; Li, S.D.; Chen, W. Lr34/Yr18/Sr57/Pm38 confers broad-spectrum resistance to fungal diseases via transport of sinapyl alcohol for cell wall lignification in wheat. Plant Commun. 2024, 5, 101077. [Google Scholar] [CrossRef] [PubMed]
- Wang, Q.; Dai, X.R.; Pang, H.Y.; Cheng, Y.X.; Huang, X.; Li, H.; Yan, X.J.; Lu, F.C.; Wei, H.R.; Sederoff, R.R.; et al. BEL1-like homeodomain protein BLH6a is a negative regulator of CAld5H2 in sinapyl alcohol monolignol biosynthesis in poplar. Front. Plant Sci. 2021, 12, 695223. [Google Scholar] [CrossRef]
- Pangallo, S.; Li Destri Nicosia, M.; Raphael, G.; Levin, E.; Ballistreri, G.; Cacciola, S.; Rapisarda, P.; Droby, S.; Schena, L. Elicitation of resistance responses in grapefruit and lemon fruits treated with a pomegranate peel extract. Plant Pathol. 2017, 66, 633–640. [Google Scholar] [CrossRef]
- Tegelberg, R.; Julkunen-Tiitto, R.; Aphalo, P.J. Red: Far-red light ratio and UV-B radiation: Their effects on leaf phenolics and growth of silver birch seedlings. Plant Cell Environ. 2004, 27, 1005–1013. [Google Scholar] [CrossRef]
- Falcioni, R.; Moriwaki, T.; de Oliveira, D.M.; Andreotti, G.C.; de Souza, L.A.; Dos Santos, W.D.; Bonato, C.M.; Antunes, W.C. Increased gibberellins and light levels promotes cell wall thickness and enhance lignin deposition in xylem fibers. Front. Plant Sci. 2018, 9, 1391. [Google Scholar] [CrossRef]
- Li, Y. Light and Gibberellin Effect on Arabidopsis Photomorphogenesis and Lignin Biosynthesis. Master’s Thesis, Hunan University, Changsha, China, 2008. [Google Scholar]
- Zhao, Q. Lignification: Flexibility, biosynthesis and regulation. Trends Plant Sci. 2016, 21, 713–721. [Google Scholar] [CrossRef] [PubMed]
- Lim, S.S.; Jang, J.M.; Park, W.T.; Uddin, M.R.; Chae, S.C.; Kim, H.H.; Park, S.U. Chemical composition of essential oils from flower and leaf of korean mint, Agastache rugosa. Asian J. Chem. 2013, 25, 4361–4363. [Google Scholar]
- Deng, X.B.; Bashandy, H.; Ainasoja, M.; Kontturi, J.; Pietiäinen, M.; Laitinen, R.A.; Albert, V.A.; Valkonen, J.P.; Elomaa, P.; Teeri, T.H. Functional diversification of duplicated chalcone synthase genes in anthocyanin biosynthesis of Gerbera hybrida. New Phytol. 2014, 201, 1469–1483. [Google Scholar] [CrossRef]
- Lichtenthaler, H.K.; Wellburn, A.R. Determinations of total carotenoids and chlorophylls a and b of leaf extracts in different solvents. Analysis 1983, 4, 142–196. [Google Scholar] [CrossRef]
- Jiang, Y.P.; Ding, X.T.; Zhang, D.; Deng, Q.; Yu, C.L.; Zhou, S.P.; Hui, D.F. Soil salinity increases the tolerance of excessive sulfur fumigation stress in tomato plants. Environ. Exp. Bot. 2017, 133, 70–77. [Google Scholar] [CrossRef]
- Ye, Z.P. A review on modeling of responses of photosynthesis to light and CO2. Chin. J. Plant Ecol. 2010, 34, 727–740. [Google Scholar] [CrossRef]
- Livak, K.J.; Schmittgen, T.D. Analysis of relative gene expression data using real-time quantitative PCR and the 2−ΔΔCT method. Methods 2001, 25, 402–408. [Google Scholar] [PubMed]


















| Treatment | Chlorophyll a (mg g−1) | Chlorophyll b (mg g−1) | Total Chlorophyll (mg g−1) | Carotenoid (mg g−1) | 
|---|---|---|---|---|
| CK | 1.61 ± 0.05 a | 0.54 ± 0.01 a | 2.15 ± 0.06 a | 0.28 ± 0.01 a | 
| FR | 1.45 ± 0.01 b | 0.49 ± 0.01 b | 1.94 ± 0.02 b | 0.22 ± 0.01 c | 
| UVA | 1.57 ± 0.06 a | 0.54 ± 0.02 a | 2.11 ± 0.08 a | 0.25 ± 0.01 b | 
| Group | Diff Number | Up Number | Down Number | 
|---|---|---|---|
| FR vs. CK | 2291 | 1150 | 1141 | 
| UVA vs. CK | 2267 | 911 | 1356 | 
| Treatment | PPFD, µmol m−2 s−1 of Spectral Ranges (nm) | |||||
|---|---|---|---|---|---|---|
| Total | UV | Blue | Green | Red | Far-Red | |
| (380–780) | (380–399) | (400–499) | (500–599) | (600–699) | (700–780) | |
| (µmol m−2 s−1) | (µmol m−2 s−1) | (µmol m−2 s−1) | (µmol m−2 s−1) | (µmol m−2 s−1) | (µmol m−2 s−1) | |
| CK | 221.6 | 0.13 | 67.9 | 28.4 | 125.4 | 5.6 | 
| FR | 221.9 | 0.09 | 68.0 | 28.5 | 125.4 | 27.7 | 
| UVA | 224.1 | 1.85 | 70.7 | 28.2 | 125.2 | 5.4 | 
| Treatment | PPF, µmol s−1 of Spectral Ranges (nm) | |||||
|---|---|---|---|---|---|---|
| Total | UV | Blue | Green | Red | Far-Red | |
| (380–780) | (380–399) | (400–499) | (500–599) | (600–699) | (700–780) | |
| (µmol s−1) | (µmol s−1) | (µmol s−1) | (µmol s−1) | (µmol s−1) | (µmol s−1) | |
| CK | 848.016 | 0.0480 | 224.760 | 94.068 | 529.080 | 0.060 | 
| FR | 953.496 | 0.024 | 224.040 | 93.480 | 530.160 | 105.792 | 
| UVA | 873.192 | 16.908 | 231.600 | 93.336 | 531.240 | 0.108 | 
| Gene Symbol | Forward Primer (5’ to 3’) | Reverse Primer (5’ to 3’) | Product Length (bp) | Tm (°C) | 
|---|---|---|---|---|
| GAPDH (JN587699.1) | TGATGTCTCTGTGGTTGATCT | TCCTCCTTGATTGCTGCTT | 81 | 60 | 
| TRINITY_DN23381_c0_g1 | GCACAGAATATGTGCCAACT | CTCAACCTCTTGCATGATTCC | 100 | 60 | 
| TRINITY_DN9042_c0_g2 | AGGGCTTGGAGGAAGTAG | AGAAGGACTCCTCGAAGAT | 106 | 60 | 
| TRINITY_DN11178_c0_g1 | CGCTGATATATTAGCCCTCG | GGAGCTGGTAGGTTTATGG | 129 | 60 | 
| Time (min) | Velocity of Flow (μL min−1) | A% | B% | 
|---|---|---|---|
| 0.0 | 400 | 98 | 2 | 
| 0.25 | 400 | 98 | 2 | 
| 10.0 | 400 | 2 | 98 | 
| 13.0 | 400 | 2 | 98 | 
| 13.1 | 400 | 98 | 2 | 
| 15.0 | 400 | 98 | 2 | 
| Disclaimer/Publisher’s Note: The statements, opinions and data contained in all publications are solely those of the individual author(s) and contributor(s) and not of MDPI and/or the editor(s). MDPI and/or the editor(s) disclaim responsibility for any injury to people or property resulting from any ideas, methods, instructions or products referred to in the content. | 
© 2024 by the authors. Licensee MDPI, Basel, Switzerland. This article is an open access article distributed under the terms and conditions of the Creative Commons Attribution (CC BY) license (https://creativecommons.org/licenses/by/4.0/).
Share and Cite
Yu, L.; Bu, L.; Li, D.; Zhu, K.; Zhang, Y.; Wu, S.; Chang, L.; Ding, X.; Jiang, Y. Effects of Far-Red Light and Ultraviolet Light-A on Growth, Photosynthesis, Transcriptome, and Metabolome of Mint (Mentha haplocalyx Briq.). Plants 2024, 13, 3495. https://doi.org/10.3390/plants13243495
Yu L, Bu L, Li D, Zhu K, Zhang Y, Wu S, Chang L, Ding X, Jiang Y. Effects of Far-Red Light and Ultraviolet Light-A on Growth, Photosynthesis, Transcriptome, and Metabolome of Mint (Mentha haplocalyx Briq.). Plants. 2024; 13(24):3495. https://doi.org/10.3390/plants13243495
Chicago/Turabian StyleYu, Lishu, Lijun Bu, Dandan Li, Kaili Zhu, Yongxue Zhang, Shaofang Wu, Liying Chang, Xiaotao Ding, and Yuping Jiang. 2024. "Effects of Far-Red Light and Ultraviolet Light-A on Growth, Photosynthesis, Transcriptome, and Metabolome of Mint (Mentha haplocalyx Briq.)" Plants 13, no. 24: 3495. https://doi.org/10.3390/plants13243495
APA StyleYu, L., Bu, L., Li, D., Zhu, K., Zhang, Y., Wu, S., Chang, L., Ding, X., & Jiang, Y. (2024). Effects of Far-Red Light and Ultraviolet Light-A on Growth, Photosynthesis, Transcriptome, and Metabolome of Mint (Mentha haplocalyx Briq.). Plants, 13(24), 3495. https://doi.org/10.3390/plants13243495
 
        


 
       