Coordination of Carbon and Nitrogen Metabolism Through Well-Timed Mid-Stage Nitrogen Compensation in Japonica Super Rice
Abstract
1. Introduction
2. Results
2.1. Tissue N Concentration at the Heading Stage and Maturity
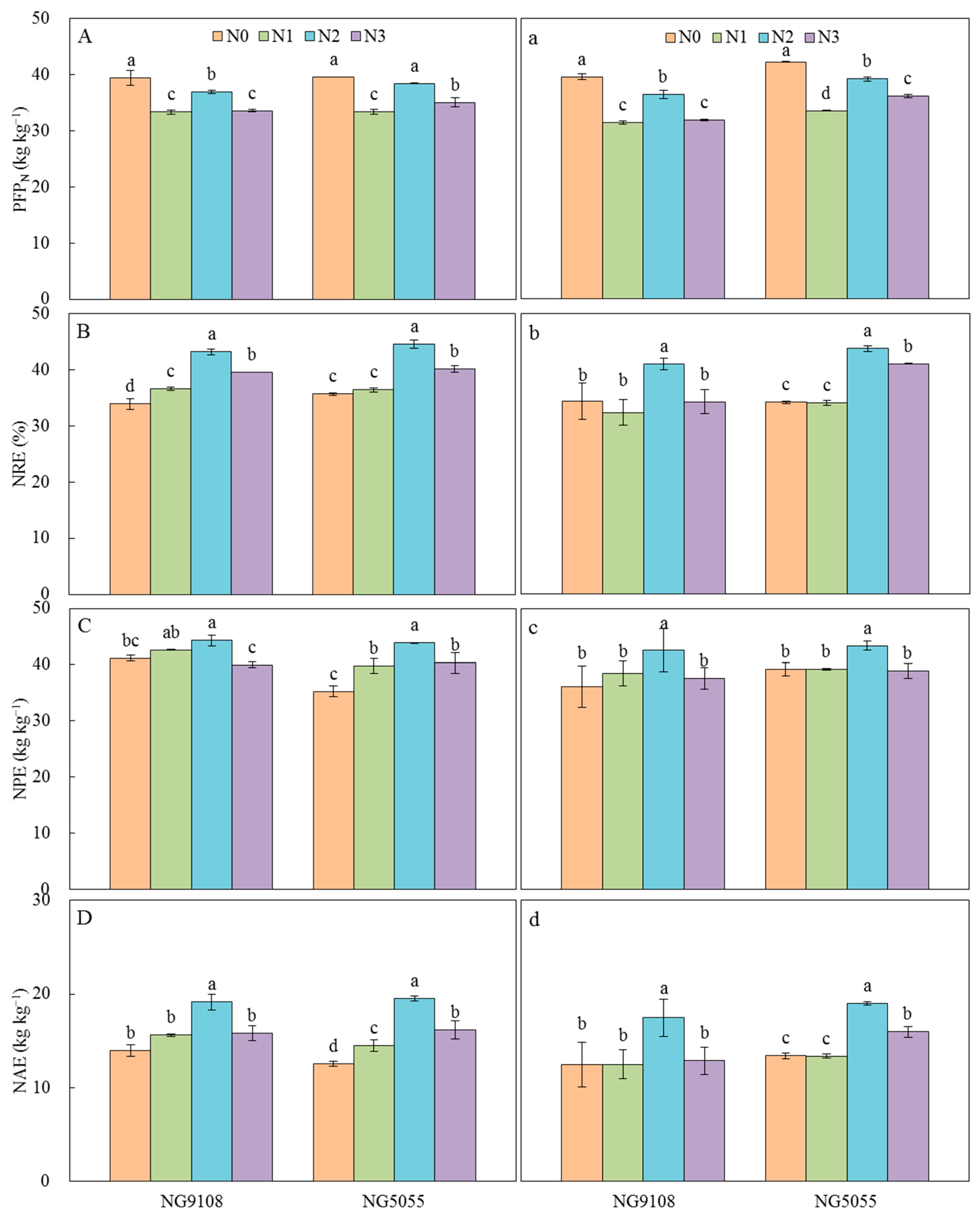
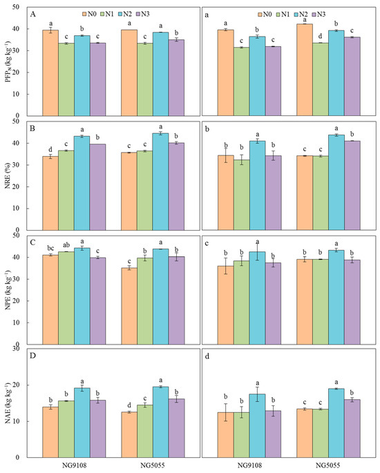
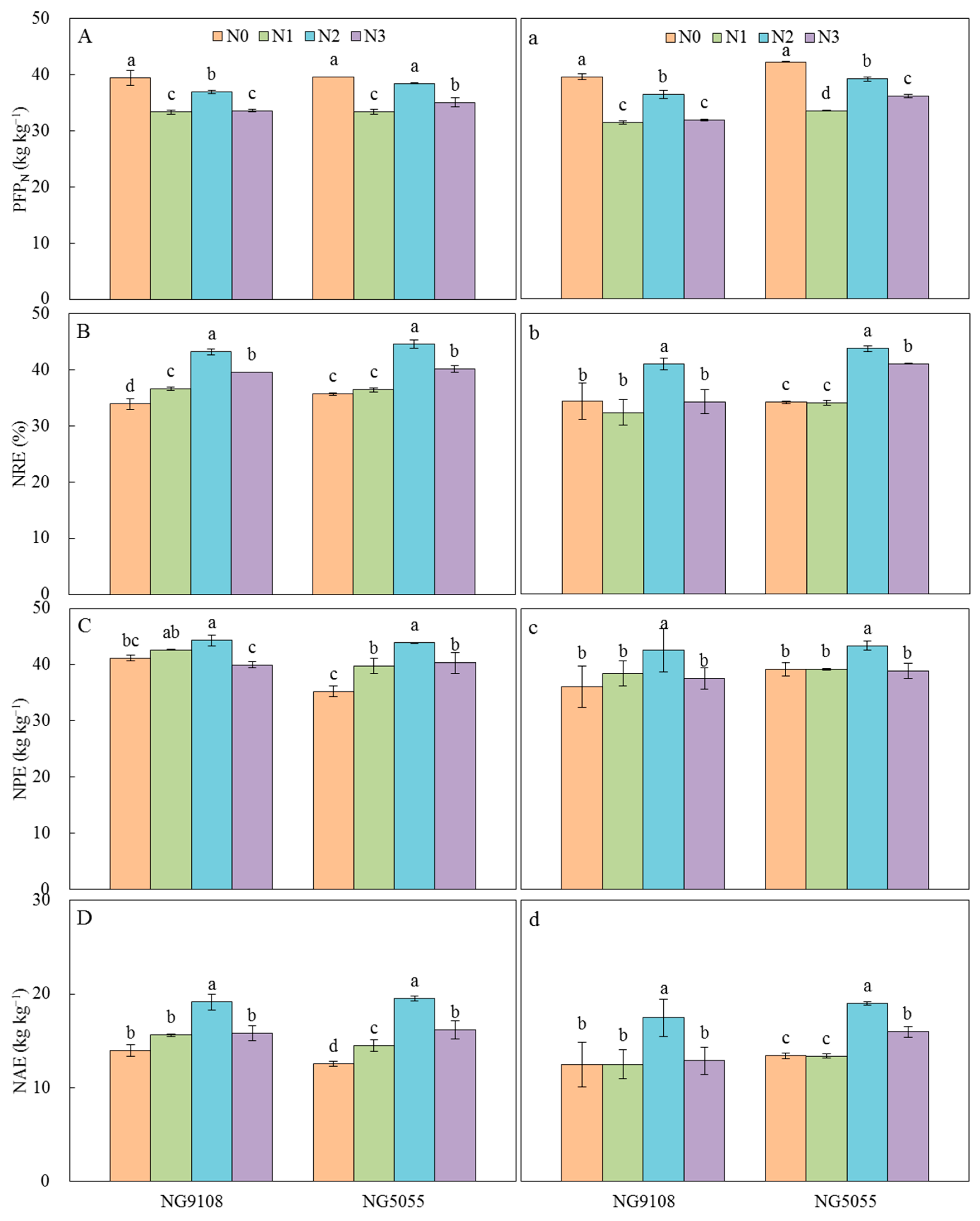
2.2. N Uptake and N Utilization Efficiency
2.3. Concentration of Soluble Sugar and Starch
2.4. Dynamics of Tissue NSC Concentration After Anthesis
2.5. NSC Accumulation and Remobilization
2.6. Grain Yield and Yield Components
3. Discussion
3.1. Effects of Mid-Stage N Compensation Timing on Carbon and N Metabolism of Japonica Super Rice
3.2. Effects of Carbon and N Metabolism on the Yield of Japonica Super Rice
4. Materials and Methods
4.1. Site Description
4.2. Experimental Design and Crop Management
4.3. Field Sampling and Lab Analyses
4.3.1. N Content
NUEg = Grain yield/TNMA
PFPN = Grain yield/Total N application rate
4.3.2. Soluble Sugar and Starch Content
4.3.3. Rice Yield and Its Components
4.4. Statistical Analysis
5. Conclusions
Author Contributions
Funding
Institutional Review Board Statement
Informed Consent Statement
Data Availability Statement
Acknowledgments
Conflicts of Interest
References
- Godfray, H.C.; Beddington, J.R.; Crute, I.R.; Haddad, L.; Lawrence, D.; Muir, J.F.; Pretty, J.; Robinson, S.; Thomas, S.M.; Toulmin, C. Food security: The challenge of feeding 9 billion people. Science 2010, 327, 812–818. [Google Scholar] [CrossRef] [PubMed]
- Wei, S.B.; Li, X.; Lu, Z.F.; Zhang, H.; Ye, X.Y.; Zhou, Y.J.; Li, J.; Yan, Y.Y.; Pei, H.C.; Duan, F.Y.; et al. A transcriptional regulator that boosts grain yields and shortens the growth duration of rice. Science 2022, 377, eabi8455. [Google Scholar] [CrossRef] [PubMed]
- Peng, S.B.; Buresh, R.J.; Huang, J.L.; Zhong, X.H.; Zou, Y.B.; Yang, J.C.; Wang, G.H.; Liu, Y.Y.; Hu, R.F.; Tang, Q.Y.; et al. Improving nitrogen fertilization in rice by sitespecific N management. A review. Agron. Sustain. Dev. 2010, 30, 649–656. [Google Scholar] [CrossRef]
- Peng, S.B.; Khush, G.S.; Virk, P.; Tang, Q.Y.; Zou, Y.B. Progress in ideotype breeding to increase rice yield potential. Field Crops Res. 2008, 108, 32–38. [Google Scholar] [CrossRef]
- Huang, L.Y.; Sun, F.; Yuan, S.; Peng, S.B.; Wang, F. Different mechanisms underlying the yield advantage of ordinary hybrid and super hybrid rice over inbred rice under low and moderate N input conditions. Field Crops Res. 2018, 216, 150–157. [Google Scholar] [CrossRef]
- Liu, H.Y.; Won, P.L.P.; Banayo, N.P.M.; Nie, L.X.; Peng, S.B.; Kato, Y. Late-season nitrogen applications improve grain yield and fertilizer-use efficiency of dry direct-seeded rice in the tropics. Field Crops Res. 2019, 233, 114–120. [Google Scholar] [CrossRef]
- Zhu, Z.L.; Jin, J.Y. Fertilizer use and food security in China. Plant Nutr. Fertil. Sci. 2013, 19, 259–273. [Google Scholar] [CrossRef]
- Cordero, E.; Moretti, B.; Miniotti, E.F.; Tenni, D.; Beltarre, G.; Romani, M.; Sacco, D. Fertilisation strategy and ground sensor measurements to optimise rice yield. Eur. J. Agron. 2018, 99, 177–185. [Google Scholar] [CrossRef]
- Emran, S.A.; Krupnik, T.J.; Kumar, V.; Ali, M.Y.; Pittelkow, C.M. Agronomic, economic, and environmental performance of nitrogen rates and source in Bangladesh’s coastal rice agroecosystems. Field Crops Res. 2019, 241, 107567. [Google Scholar] [CrossRef]
- Ke, J.; Sun, J.; Chen, T.T.; Tao, S.B.; Zhu, T.Z.; Yin, C.J.; He, H.B.; You, C.C.; Wu, L.Q.; Guo, S.S. Effects of mixed fertilizers formed by the compounding of two targeted controlled-release nitrogen fertilizers on yield, nitrogen use efficiency, and ammonia volatilization in double-cropping rice. Crop J. 2023, 11, 628–637. [Google Scholar] [CrossRef]
- Fukushima, A.N.A.R. Effects of timing of nitrogen topdressing on morphological traits in different rice varieties. Jpn. J. Crop Sci. 2007, 76, 18–27. [Google Scholar] [CrossRef]
- Zhang, H.C.; Wu, G.C.; Dai, Q.G.; Huo, Z.Y.; Xu, K.; Gao, H.; Wei, H.Y.; LÜ, X.T.; Wan, L.J.; Huang, Y.Z. Precise postponing nitrogen application and its mechanism in rice. Acta Agron. Sin. 2011, 37, 1837–1851. [Google Scholar] [CrossRef]
- Zhang, Z.J.; Chu, G.; Liu, L.J.; Wang, Z.Q.; Wang, X.M.; Zhang, H.; Yang, J.C.; Zhang, J.H. Mid-season nitrogen application strategies for rice varieties differing in panicle size. Field Crops Res. 2013, 150, 9–18. [Google Scholar] [CrossRef]
- Chen, X.Y.; Zhu, Y.; Ma, Z.T.; Zhang, M.Y.; Wei, H.Y.; Zhang, H.C.; Liu, G.D.; Hu, Q.; Li, G.Y.; Xu, F.F. Effects of light intensity and nitrogen fertilizer interaction on carbon and nitrogen metabolism at grain-filling stage and its relationship with yield and quality of southern soft Japonica rice. Acta Agron. Sin. 2023, 49, 3042–3062. [Google Scholar]
- Xu, G.; Fan, X.; Miller, A. Plant nitrogen assimilation and use efficiency. Annu. Rev. Plant Biol. 2012, 63, 153–182. [Google Scholar] [CrossRef]
- Sun, W.F.; Huang, A.B.; Sang, Y.Y.; Fu, Y.; Yang, Z.B. Carbon–nitrogen interaction modulates plant growth and expression of metabolic genes in rice. J. Plant Growth Regul. 2013, 32, 575–584. [Google Scholar] [CrossRef]
- Sun, Y.J.; Sun, Y.Y.; Yan, F.J.; Yang, Z.Y.; Xu, H.; Li, Y.; Wang, H.Y.; Ma, J. Effects of postponing nitrogen topdressing on post-anthesis carbon and nitrogen metabolism in rice cultivars with different nitrogen use efficiencies. Acta Agron. Sin. 2017, 43, 407. [Google Scholar] [CrossRef]
- Zhao, Y.L. Effect of Nitrogen on Rice Yield and Quality and Its Physiological Mechanism. Ph.D. Thesis, Nanjing Agricultural University, Nanjing, China, 2014. [Google Scholar]
- Deng, J.; Ye, J.Y.; Liu, K.; Harrison, M.T.; Zhong, X.F.; Wang, C.H.; Tian, X.H.; Huang, L.Y.; Zhang, Y.B. Optimizing agronomy improves super hybrid rice yield and nitrogen use efficiency through enhanced post-heading carbon and nitrogen metabolism. Agronomy 2022, 13, 13. [Google Scholar] [CrossRef]
- Sun, Y.J.; Sun, Y.Y.; Yan, F.J.; Li, Y.; Wu, Y.X.; Guo, C.C.; Ma, P.; Yang, G.T.; Yang, Z.Y.; Ma, J. Coordinating postanthesis carbon and nitrogen metabolism of hybrid rice through different irrigation and nitrogen regimes. Agronomy 2020, 10, 1187. [Google Scholar] [CrossRef]
- Sun, Y.J.; Ma, J.; Sun, Y.Y.; Xu, H.; Yang, Z.Y.; Liu, S.J.; Jia, X.W.; Zheng, H.Z. The effects of different water and nitrogen managements on yield and nitrogen use efficiency in hybrid rice of China. Field Crops Res. 2012, 127, 85–98. [Google Scholar] [CrossRef]
- Tang, W.J.; Ye, J.; Yao, X.M.; Zhao, P.Z.; Xuan, W.; Tian, Y.L.; Zhang, Y.Y.; Xu, S.; An, H.Z.; Chen, G.M.; et al. Genome-wide associated study identifies NAC42-activated nitrate transporter conferring high nitrogen use efficiency in rice. Nat. Commun. 2019, 10, 5279. [Google Scholar] [CrossRef] [PubMed]
- Yin, C.Y.; Zhang, Q.; Wei, H.Y.; Zhang, H.C.; Dai, Q.G.; Huo, Z.Y.; Xu, K.; Ma, Q.; Hang, J.; Zhang, S.F. Differences in nitrogen absorption and use efficiency in rice genotypes with different yield performance. Sci. Agric. Sin. 2010, 43, 39–50. [Google Scholar] [CrossRef]
- Ye, C.; Huang, X.; Chu, G.; Chen, S.; Xu, C.M.; Zhang, X.F.; Wang, D.Y. Effects of postponing topdressing-N on the yield of different types of Japonica rice and its relationship with soil fertility. Agronomy 2019, 9, 868. [Google Scholar] [CrossRef]
- Ye, C.; Ma, H.Y.; Huang, X.; Xu, C.M.; Chen, S.; Chu, G.; Zhang, X.F.; Wang, D.Y. Effects of increasing panicle-stage N on yield and N use efficiency of indica rice and its relationship with soil fertility. Crop J. 2022, 10, 1784–1797. [Google Scholar] [CrossRef]
- Ding, Y.M.; Chen, M.Q.; Ding, W.R.; Ren, Q.M.; Shen, W.Y.; Liu, D.T.; Lu, C.B.; Xiong, F. Research advances on the carbon–nitrogen metabolic interaction mechanisms in cereal crops. Plant Physiol. J. 2024, 60, 753–761. [Google Scholar] [CrossRef]
- Hirano, T.; Saito, Y.; Ushimaru, H.; Michiyama, H. The effect of the amount of nitrogen fertilizer on starch metabolism in leaf sheath of Japonica and indica rice varieties during the heading period. Plant Prod. Sci. 2015, 8, 122–130. [Google Scholar] [CrossRef]
- Zheng, Y.M.; Ding, Y.F.; Liu, Z.H.; Wang, S.H. Effects of panicle nitrogen fertilization on non-structural carbohydrate and grain filling in indica rice. Agric. Sci. China 2010, 9, 1630–1640. [Google Scholar] [CrossRef]
- Zhen, F.X.; Zhou, J.J.; Mahmood, A.; Wang, W.; Chang, X.N.; Liu, B.; Liu, L.L.; Cao, W.X.; Zhu, Y.; Tang, L. Quantifying the effects of short-term heat stress at booting stage on nonstructural carbohydrates remobilization in rice. Crop J. 2020, 8, 194–212. [Google Scholar] [CrossRef]
- Zhu, T.Z.; Yin, C.J.; Zhu, T.C.; Zhou, P.F.; Wu, L.Q.; Wang, G.J.; He, H.B.; You, C.C.; Zhang, Q.Q.; Ke, J. Delaying panicle nitrogen application to emergence of 3rd leaf from flag leaf increases the grain-filling ability and yield of large-panicle rice by increasing stem nonstructural carbohydrates at heading. Field Crops Res. 2024, 312, 109405. [Google Scholar] [CrossRef]
- Huang, L.Y.; Yang, D.S.; Li, X.X.; Peng, S.B.; Wang, F. Coordination of high grain yield and high nitrogen use efficiency through large sink size and high post-heading source capacity in rice. Field Crops Res. 2019, 233, 49–58. [Google Scholar] [CrossRef]
- Zhang, W.J.; Wu, L.M.; Ding, Y.F.; Weng, F.; Wu, X.R.; Li, G.H.; Liu, Z.H.; Tang, S.; Ding, C.Q.; Wang, S.H. Top-dressing nitrogen fertilizer rate contributes to decrease culm physical strength by reducing structural carbohydrate content in Japonica rice. J. Integr. Agric. 2016, 15, 992–1004. [Google Scholar] [CrossRef]
- Zhang, J.; Li, G.H.; Huang, Q.Y.; Liu, Z.H.; Ding, C.Q.; Tang, S.; Chen, L.; Wang, S.H.; Ding, Y.F.; Zhang, W.J. Effects of culm carbohydrate partitioning on basal stem strength in a high-yielding rice population. Crop J. 2017, 5, 478–487. [Google Scholar] [CrossRef]
- Wang, D.Y.; Xu, C.M.; Yan, J.X.; Zhang, X.G.; Chen, S.; Chauhan, B.S.; Wang, L.; Zhang, X.F. 15N tracer-based analysis of genotypic differences in the uptake and partitioning of N applied at different growth stages in transplanted rice. Field Crops Res. 2017, 211, 27–36. [Google Scholar] [CrossRef]
- Hu, Q.; Zhu, H.B.; Lu, X.Z.; Jiang, W.Q.; Gao, H.; Zhang, H.C.; Wei, H.Y. Mid-stage nitrogen compensation timing affects the yield formation and grain quality of Japonica rice in the lower reaches of Yangtze River, China. J. Agri. Sci. 2023, 161, 22–39. [Google Scholar] [CrossRef]
- Hu, Y.J.; Zhu, D.W.; Xing, Z.P.; Gong, J.L.; Zhang, H.C.; Dai, Q.G.; Huo, Z.Y.; Xu, K.; Wei, H.Y.; Guo, B.W. Modifying nitrogen fertilization ratio to increase the yield and nitrogen uptake of super Japonica rice. J. Plant Nutr. Fertil. 2015, 21, 12–22. [Google Scholar] [CrossRef]
- Liang, W.X.; Zhang, Z.C.; Wen, X.X.; Liao, Y.C.; Liu, Y. Effect of non-structural carbohydrate accumulation in the stem pre-anthesis on grain filling of wheat inferior grain. Field Crops Res. 2017, 211, 66–76. [Google Scholar] [CrossRef]
- Li, G.H.; Zhou, C.Y.; Yang, Z.J.; Zhang, C.H.; Dai, Q.G.; Huo, Z.Y.; Xu, K. Low nitrogen enhances apoplastic phloem loading and improves the translocation of photoassimilates in rice leaves and stems. Plant Cell Physiol. 2022, 63, 991–1007. [Google Scholar] [CrossRef]



| Year | Cultivar | Treatment | Heading Stage | Maturity | ||||
|---|---|---|---|---|---|---|---|---|
| Nconc Leaf (mg N g−1) | Nconc Stem (mg N g−1) | Nconc Spike (mg N g−1) | Nconc Leaf (mg N g−1) | Nconc Stem (mg N g−1) | Nconc Spike (mg N g−1) | |||
| 2017 | NG9108 | N0 | 10.75 b | 19.60 bc | 11.20 a | 5.25 c | 12.81 b | 11.57 b |
| N1 | 10.98 b | 19.08 c | 10.74 ab | 5.74 b | 14.02 a | 11.51 b | ||
| N2 | 11.04 b | 19.97 b | 11.02 ab | 5.81 b | 13.77 a | 11.62 ab | ||
| N3 | 11.85 a | 21.72 a | 11.48 a | 6.73 a | 14.11 a | 12.11 a | ||
| CK | 10.64 b | 17.88 d | 10.00 b | 4.84 d | 10.70 c | 11.36 b | ||
| NG5055 | N0 | 11.00 bc | 19.90 b | 11.24 ab | 5.45 b | 13.02 c | 11.57 ab | |
| N1 | 11.06 bc | 20.01 b | 10.78 b | 5.33 b | 14.01 b | 12.12 a | ||
| N2 | 11.23 b | 20.17 b | 11.66 a | 5.74 b | 14.45 ab | 11.73 ab | ||
| N3 | 12.00 a | 22.47 a | 11.58 a | 6.76 a | 14.67 a | 12.17 a | ||
| CK | 10.64 c | 18.02 c | 9.99 c | 4.44 c | 11.92 d | 11.02 b | ||
| 2018 | NG9108 | N0 | 10.68 c | 19.05 b | 10.52 b | 5.43 d | 13.07 d | 11.50 b |
| N1 | 10.92 bc | 19.76 b | 11.39 a | 5.62 c | 13.39 c | 11.89 a | ||
| N2 | 11.06 b | 19.52 b | 11.41 a | 5.84 b | 13.97 b | 12.01 a | ||
| N3 | 11.60 a | 20.75 a | 11.92 a | 6.68 a | 14.53 a | 12.16 a | ||
| CK | 10.23 d | 15.42 c | 9.72 c | 4.44 e | 10.73 e | 10.90 c | ||
| NG5055 | N0 | 10.56 c | 19.38 b | 10.77 b | 5.45 b | 12.81 bc | 11.51 b | |
| N1 | 10.92 b | 19.50 b | 11.20 ab | 5.52 b | 13.60 ab | 11.94 ab | ||
| N2 | 11.08 b | 19.87 b | 11.37 a | 5.72 b | 13.96 a | 11.72 ab | ||
| N3 | 12.17 a | 21.75 a | 11.78 a | 6.82 a | 14.61 a | 12.11 a | ||
| CK | 10.34 c | 17.72 c | 9.72 c | 4.94 c | 12.08 c | 10.63 c | ||
| F value | Year (Y) | ** | ** | NS | NS | NS | NS | |
| Cultivar (C) | NS | ** | NS | NS | ** | NS | ||
| Treatment (T) | ** | ** | ** | ** | ** | ** | ||
| Y × C | NS | NS | NS | * | NS | NS | ||
| Y × T | NS | * | ** | NS | NS | * | ||
| C × T | NS | NS | NS | NS | ** | * | ||
| Y × C × T | NS | ** | NS | * | NS | NS | ||
| Year | Cultivar | Treatment | TNHD (kg ha−1) | TNHD-MA (kg ha−1) | TNMA (kg ha−1) | NUEg (kg kg−1) | NUEb (kg kg−1) | NHI (%) |
|---|---|---|---|---|---|---|---|---|
| 2017 | NG9108 | N0 | 126.35 d | 20.35 c | 146.70 d | 50.70 b | 103.49 b | 69.54 b |
| N1 | 152.70 c | 28.71 b | 181.41 c | 49.66 bc | 99.51 b | 70.33 ab | ||
| N2 | 167.14 a | 32.12 a | 199.26 a | 50.01 bc | 98.80 b | 68.44 c | ||
| N3 | 157.66 b | 31.70 a | 189.36 b | 47.89 c | 92.91 c | 67.54 d | ||
| CK | 70.86 e | 11.74 d | 82.59 e | 58.12 a | 109.14 a | 70.78 a | ||
| NG5055 | N0 | 130.01 d | 21.90 c | 151.92 d | 49.22 c | 101.72 b | 66.64 b | |
| N1 | 156.25 c | 26.66 b | 182.90 c | 49.30 c | 99.09 bc | 66.43 b | ||
| N2 | 171.93 a | 32.92 a | 204.85 a | 50.67 b | 97.92 c | 66.31 b | ||
| N3 | 161.24 b | 31.63 a | 192.87 b | 49.10 c | 92.73 d | 65.59 b | ||
| CK | 74.00 e | 10.50 d | 84.50 e | 60.38 a | 110.93 a | 71.98 a | ||
| 2018 | NG9108 | N0 | 126.62 c | 25.28 c | 151.90 c | 49.28 b | 101.00 b | 69.20 c |
| N1 | 146.94 b | 27.49 bc | 174.42 b | 48.74 b | 98.45 b | 71.40 b | ||
| N2 | 165.93 a | 31.72 a | 197.65 a | 49.82 b | 98.71 b | 68.72 c | ||
| N3 | 149.88 b | 29.66 ab | 179.54 b | 47.95 b | 93.92 c | 67.01 d | ||
| CK | 71.89 d | 15.15 d | 87.05 d | 58.95 a | 111.57 a | 74.41 a | ||
| NG5055 | N0 | 133.03 d | 21.72 c | 154.75 d | 51.60 b | 104.44 b | 67.32 bc | |
| N1 | 153.50 c | 28.56 b | 182.06 c | 49.76 cd | 99.61 c | 67.01 c | ||
| N2 | 173.77 a | 34.64 a | 208.41 a | 50.78 bc | 98.48 c | 68.39 ab | ||
| N3 | 167.32 b | 33.59 a | 200.91 b | 48.59 d | 92.88 d | 66.89 c | ||
| CK | 78.53 e | 11.65 d | 90.17 e | 60.52 a | 111.41 a | 69.39 a | ||
| F value | Year (Y) | NS | ** | NS | NS | NS | ** | |
| Cultivar (C) | ** | NS | ** | ** | NS | ** | ||
| Treatment (T) | ** | ** | ** | ** | ** | ** | ||
| Y × C | ** | NS | ** | NS | NS | NS | ||
| Y × T | ** | ** | ** | NS | NS | NS | ||
| C × T | ** | ** | ** | NS | NS | ** | ||
| Y × C × T | ** | ** | ** | * | NS | ** | ||
| Year | Cultivar | Treatment | Heading Stage | Maturity | ||||
|---|---|---|---|---|---|---|---|---|
| SSconc Leaf (mg g−1) | SSconc Stem (mg g−1) | SSconc Spike (mg g−1) | SSconc Leaf (mg g−1) | SSconc Stem (mg g−1) | SSconc Spike (mg g−1) | |||
| 2017 | NG9108 | N0 | 102.58 b | 108.96 b | 100.39 a | 101.24 b | 113.69 a | 101.50 b |
| N1 | 100.41 b | 105.69 b | 98.99 b | 94.91 c | 110.17 b | 97.96 c | ||
| N2 | 96.34 c | 101.56 c | 98.62 b | 93.12 d | 100.74 c | 95.52 d | ||
| N3 | 95.24 c | 99.95 c | 92.73 c | 91.13 e | 100.24 c | 88.86 e | ||
| CK | 118.45 a | 114.27 a | 100.64 a | 102.63 a | 115.42 a | 106.19 a | ||
| NG5055 | N0 | 104.56 b | 114.38 a | 99.52 ab | 98.74 b | 110.38 b | 95.54 b | |
| N1 | 96.81 c | 109.12 b | 96.22 bc | 95.04 c | 102.71 c | 94.09 b | ||
| N2 | 95.19 c | 103.62 c | 94.97 c | 91.42 d | 99.69 d | 93.38 b | ||
| N3 | 92.07 d | 98.32 d | 92.89 c | 87.62 e | 95.13 e | 89.28 c | ||
| CK | 108.60 a | 115.10 a | 102.25 a | 103.10 a | 119.05 a | 104.12 a | ||
| 2018 | NG9108 | N0 | 101.78 b | 106.30 b | 98.91 ab | 97.79 a | 110.71 a | 98.14 b |
| N1 | 96.09 d | 103.00 bc | 98.75 ab | 93.54 b | 103.62 b | 95.53 c | ||
| N2 | 94.10 d | 101.12 c | 98.11 bc | 91.64 bc | 96.50 c | 91.82 d | ||
| N3 | 93.66 d | 96.40 d | 96.30 c | 89.54 c | 92.18 d | 85.48 e | ||
| CK | 109.13 a | 114.00 a | 100.92 a | 100.06 a | 112.87 a | 102.60 a | ||
| NG5055 | N0 | 100.34 b | 111.77 a | 99.30 a | 95.14 b | 105.03 b | 94.47 b | |
| N1 | 95.17 c | 107.78 b | 94.14 b | 93.24 bc | 101.31 c | 92.64 b | ||
| N2 | 93.67 cd | 101.74 c | 94.84 b | 89.91 cd | 95.81 d | 90.96 bc | ||
| N3 | 90.61 d | 97.24 d | 93.72 b | 87.49 d | 93.27 e | 87.10 c | ||
| CK | 105.20 a | 112.39 a | 100.63 a | 99.20 a | 112.78 a | 100.36 a | ||
| F value | Year (Y) | ** | ** | NS | ** | ** | ** | |
| Cultivar (C) | ** | ** | ** | ** | ** | ** | ||
| Treatment (T) | ** | ** | ** | ** | ** | ** | ||
| Y × C | NS | NS | NS | NS | * | NS | ||
| Y × T | * | NS | * | NS | NS | NS | ||
| C × T | ** | * | ** | NS | ** | ** | ||
| Y × C × T | * | NS | NS | NS | ** | NS | ||
| Year | Cultivar | Treatment | Heading Stage | Maturity | ||||
|---|---|---|---|---|---|---|---|---|
| Sconc Leaf (mg g−1) | Sconc Stem (mg g−1) | Sconc Spike (mg g−1) | Sconc Leaf (mg g−1) | Sconc Stem (mg g−1) | Sconc Spike (mg g−1) | |||
| 2017 | NG9108 | N0 | 60.54 b | 234.15 b | 68.80 b | 81.62 b | 114.89 b | 528.11 b |
| N1 | 58.22 bc | 227.35 c | 64.71 c | 79.35 c | 112.09 c | 513.90 c | ||
| N2 | 53.33 cd | 223.97 d | 65.15 c | 76.01 d | 107.73 d | 503.13 d | ||
| N3 | 52.08 d | 222.28 d | 57.78 d | 74.22 e | 101.98 e | 496.74 e | ||
| CK | 74.45 a | 239.70 a | 71.39 a | 90.21 a | 141.94 a | 546.99 a | ||
| NG5055 | N0 | 62.61 b | 241.90 a | 73.14 ab | 83.19 b | 125.01 b | 499.07 b | |
| N1 | 52.71 c | 224.46 b | 70.34 bc | 77.72 bc | 110.16 c | 494.89 bc | ||
| N2 | 49.55 d | 219.74 c | 67.67 c | 73.34 cd | 109.08 c | 488.76 c | ||
| N3 | 48.56 e | 212.24 d | 63.78 d | 71.54 d | 104.88 d | 467.73 d | ||
| CK | 66.33 a | 243.97 a | 75.78 a | 89.63 a | 139.54 a | 521.50 a | ||
| 2018 | NG9108 | N0 | 59.85 b | 232.37 b | 66.62 b | 77.76 b | 114.17 b | 521.47 b |
| N1 | 53.84 c | 227.99 bc | 63.34 c | 76.49 c | 108.28 c | 506.69 c | ||
| N2 | 50.85 cd | 224.78 c | 63.45 c | 71.64 d | 104.78 d | 499.73 d | ||
| N3 | 48.58 d | 219.31 d | 59.30 d | 70.49 e | 101.28 e | 495.29 e | ||
| CK | 66.26 a | 241.21 a | 70.75 a | 86.57 a | 139.63 a | 538.59 a | ||
| NG5055 | N0 | 60.46 a | 228.49 b | 70.10 b | 80.35 b | 114.99 b | 500.75 b | |
| N1 | 50.40 b | 221.59 c | 66.05 c | 74.66 c | 108.81 c | 486.75 c | ||
| N2 | 48.77 b | 216.88 c | 62.85 d | 71.68 d | 105.08 cd | 475.84 d | ||
| N3 | 47.26 b | 209.06 d | 60.52 e | 69.93 d | 104.16 d | 470.47 d | ||
| CK | 62.62 a | 237.07 a | 72.29 a | 84.70 a | 135.38 a | 519.51 a | ||
| F value | Year (Y) | ** | ** | ** | ** | ** | ** | |
| Cultivar (C) | ** | ** | ** | NS | * | ** | ||
| Treatment (T) | ** | ** | ** | ** | ** | ** | ||
| Y × C | NS | ** | ** | NS | * | NS | ||
| Y × T | * | ** | NS | NS | NS | * | ||
| C × T | ** | ** | * | * | ** | * | ||
| Y × C × T | NS | ** | NS | NS | ** | * | ||
| Year | Cultivar | Treatment | NSC Per Spikelet (mg) | NSC at Heading (g m−2) | NSC at Maturity (g m−2) | NSC Translocation (g m−2) | Remobilized NSC Reserve (%) | Stem NSC Contribution to Grain (%) |
|---|---|---|---|---|---|---|---|---|
| 2017 | NG9108 | N0 | 6.19 a | 188.6 b | 111.1 c | 77.5 c | 41.1 b | 10.4 a |
| N1 | 5.41 c | 210.0 a | 117.6 b | 92.3 ab | 43.6 b | 10.1 ab | ||
| N2 | 5.20 cd | 218.4 a | 121.6 a | 96.8 a | 44.3 a | 9.7 ab | ||
| N3 | 4.94 d | 188.2 b | 103.3 d | 84.9 bc | 45.1 a | 9.4 bc | ||
| CK | 5.74 b | 116.7 c | 75.6 e | 41.1 d | 35.2 c | 8.6 c | ||
| NG5055 | N0 | 6.30 a | 192.5 c | 113.6 b | 78.9 c | 41.0 b | 10.5 a | |
| N1 | 5.86 b | 218.4 b | 127.3 a | 91.0 b | 41.7 ab | 10.1 b | ||
| N2 | 5.19 c | 224.1 a | 128.1 a | 96.0 a | 42.8 a | 9.3 c | ||
| N3 | 4.83 d | 189.4 d | 109.9 c | 79.4 c | 41.9 ab | 8.4 d | ||
| CK | 5.68 b | 118.3 e | 76.8 d | 41.5 d | 35.1 c | 8.1 d | ||
| 2018 | NG9108 | N0 | 6.41 a | 192.4 c | 111.3 b | 81.1 bc | 42.2 c | 10.8 a |
| N1 | 5.63 b | 201.5 b | 114.5 ab | 87.1 b | 43.2 bc | 10.2 b | ||
| N2 | 5.17 c | 213.4 a | 118.1 a | 95.3 a | 44.7 a | 9.7 c | ||
| N3 | 5.05 c | 181.3 d | 101.8 c | 79.5 c | 43.9 ab | 9.2 c | ||
| CK | 5.54 b | 114.9 e | 76.7 d | 38.2 d | 33.3 d | 7.4 d | ||
| NG5055 | N0 | 6.26 a | 195.5 c | 121.0 a | 74.5 c | 38.1 c | 9.3 a | |
| N1 | 5.44 b | 208.7 b | 123.6 a | 85.1 b | 40.8 b | 9.4 a | ||
| N2 | 5.10 c | 221.7 a | 123.8 a | 98.0 a | 44.2 a | 9.3 a | ||
| N3 | 5.02 c | 197.1 c | 111.2 b | 85.9 b | 43.6 a | 8.8 b | ||
| CK | 5.51 b | 121.6 d | 78.5 c | 43.1 d | 35.5 d | 7.9 c | ||
| F value | Year (Y) | NS | NS | NS | NS | NS | ** | |
| Cultivar (C) | NS | ** | ** | NS | ** | ** | ||
| Treatment (T) | ** | ** | ** | ** | ** | ** | ||
| Y × C | ** | * | * | NS | NS | NS | ||
| Y × T | ** | ** | ** | NS | NS | ** | ||
| C × T | NS | NS | ** | NS | ** | * | ||
| Y × C × T | ** | * | * | ** | ** | ** | ||
| Year | Cultivar | Treatment | Grain Yield (t ha−1) | Panicles (per m2) | Spikelets (per Panicle) | Total Spikelets (103 per m2) | Grain Filling Percentage (%) | Grain Weight (mg) |
|---|---|---|---|---|---|---|---|---|
| 2017 | NG9108 | N0 | 7.44 c | 310.1 c | 98.3 d | 30.5 c | 93.2 ab | 27.0 b |
| N1 | 9.01 b | 335.6 a | 115.0 c | 38.6 b | 90.8 c | 26.9 b | ||
| N2 | 9.96 a | 323.5 b | 129.7 a | 42.0 a | 92.3 b | 27.1 ab | ||
| N3 | 9.07 b | 312.8 c | 121.8 b | 38.1 b | 93.2 ab | 27.2 ab | ||
| CK | 4.80 d | 224.2 d | 90.7 e | 20.3 d | 94.4 a | 27.7 a | ||
| NG5055 | N0 | 7.48 d | 323.5 c | 94.5 d | 30.6 d | 94.5 b | 26.9 b | |
| N1 | 9.02 c | 358.4 a | 104.0 c | 37.3 c | 92.3 d | 26.9 b | ||
| N2 | 10.38 a | 342.3 b | 126.1 a | 43.2 a | 93.5 c | 26.9 b | ||
| N3 | 9.47 b | 334.3 bc | 117.3 b | 39.2 b | 93.9 c | 27.1 b | ||
| CK | 5.10 e | 241.7 d | 86.2 e | 20.8 e | 95.2 a | 27.6 a | ||
| 2018 | NG9108 | N0 | 7.48 c | 327.6 c | 91.6 d | 30.0 c | 95.8 ab | 26.7 b |
| N1 | 8.50 b | 353.1 a | 101.4 c | 35.8 b | 93.9 c | 26.7 b | ||
| N2 | 9.85 a | 346.4 b | 119.3 a | 41.3 a | 94.7 bc | 26.5 b | ||
| N3 | 8.61 b | 327.6 c | 109.6 b | 35.9 b | 95.2 ab | 27.1 ab | ||
| CK | 5.13 d | 228.2 d | 90.9 d | 20.7 d | 95.8 a | 27.8 a | ||
| NG5055 | N0 | 7.99 d | 332.9 c | 93.8 d | 31.2 d | 95.3 a | 27.8 ab | |
| N1 | 9.06 c | 363.8 a | 105.5 c | 38.4 c | 94.0 c | 26.6 c | ||
| N2 | 10.58 a | 353.1 b | 123.1 a | 43.4 a | 94.6 b | 26.9 c | ||
| N3 | 9.76 b | 347.7 b | 112.9 b | 39.3 b | 94.9 b | 27.4 b | ||
| CK | 5.46 e | 244.3 d | 90.4 e | 22.1 e | 95.6 a | 28.1 a | ||
| F value | Year (Y) | NS | ** | ** | NS | ** | NS | |
| Cultivar (C) | ** | ** | ** | ** | * | * | ||
| Treatment (T) | ** | ** | ** | ** | ** | ** | ||
| Y × C | ** | ** | ** | ** | ** | ** | ||
| Y × T | ** | ** | ** | * | NS | ** | ||
| C × T | ** | ** | NS | * | NS | NS | ||
| Y × C × T | NS | NS | * | NS | NS | NS | ||
| Treatment | Basal Nitrogen (1 Day Before Transplanting) | Tillering Nitrogen (7 Days After Transplanting) | Mid-Stage Nitrogen Compensation Timing | Total Nitrogen | ||
|---|---|---|---|---|---|---|
| Mid-Tillering (43–45 Days Before Heading) | Panicle Initiation (33–35 Days Before Heading) | Spikelet Differentiation (18–20 Days Before Heading) | ||||
| N0 | 94.5 | 94.5 | 0 | 0 | 0 | 189 |
| N1 | 94.5 | 94.5 | 81 | 0 | 0 | 270 |
| N2 | 94.5 | 94.5 | 0 | 81 | 0 | 270 |
| N3 | 94.5 | 94.5 | 0 | 0 | 81 | 270 |
| CK | 0 | 0 | 0 | 0 | 0 | 0 |
Disclaimer/Publisher’s Note: The statements, opinions and data contained in all publications are solely those of the individual author(s) and contributor(s) and not of MDPI and/or the editor(s). MDPI and/or the editor(s) disclaim responsibility for any injury to people or property resulting from any ideas, methods, instructions or products referred to in the content. |
© 2024 by the authors. Licensee MDPI, Basel, Switzerland. This article is an open access article distributed under the terms and conditions of the Creative Commons Attribution (CC BY) license (https://creativecommons.org/licenses/by/4.0/).
Share and Cite
Hu, Q.; Zhang, K.; Jiang, W.; Qiu, S.; Li, G.; Xu, F.; Zhu, Y.; Liu, G.; Gao, H.; Zhang, H.; et al. Coordination of Carbon and Nitrogen Metabolism Through Well-Timed Mid-Stage Nitrogen Compensation in Japonica Super Rice. Plants 2024, 13, 3351. https://doi.org/10.3390/plants13233351
Hu Q, Zhang K, Jiang W, Qiu S, Li G, Xu F, Zhu Y, Liu G, Gao H, Zhang H, et al. Coordination of Carbon and Nitrogen Metabolism Through Well-Timed Mid-Stage Nitrogen Compensation in Japonica Super Rice. Plants. 2024; 13(23):3351. https://doi.org/10.3390/plants13233351
Chicago/Turabian StyleHu, Qun, Kaiwei Zhang, Weiqin Jiang, Shi Qiu, Guangyan Li, Fangfu Xu, Ying Zhu, Guodong Liu, Hui Gao, Hongcheng Zhang, and et al. 2024. "Coordination of Carbon and Nitrogen Metabolism Through Well-Timed Mid-Stage Nitrogen Compensation in Japonica Super Rice" Plants 13, no. 23: 3351. https://doi.org/10.3390/plants13233351
APA StyleHu, Q., Zhang, K., Jiang, W., Qiu, S., Li, G., Xu, F., Zhu, Y., Liu, G., Gao, H., Zhang, H., & Wei, H. (2024). Coordination of Carbon and Nitrogen Metabolism Through Well-Timed Mid-Stage Nitrogen Compensation in Japonica Super Rice. Plants, 13(23), 3351. https://doi.org/10.3390/plants13233351

