Effects of Rocky Desertification Stress on Oat (Avena sativa L.) Seed Germination and Seedling Growth in the Karst Areas of Southwest China
Abstract
1. Introduction
2. Materials and Methods
2.1. Plant Material
2.2. Experimental Design
2.3. Determination of Germination Indices
2.4. Data Analysis
3. Results
3.1. Result Analysis
Effects of Different Stresses on Seed Germination of Oat
3.2. Effects of Different Stresses on Seedling Growth of Oat (Avena sativa L.)
3.2.1. Effects of Calcium Stress on Oat (Avena sativa L.) Seedling Growth
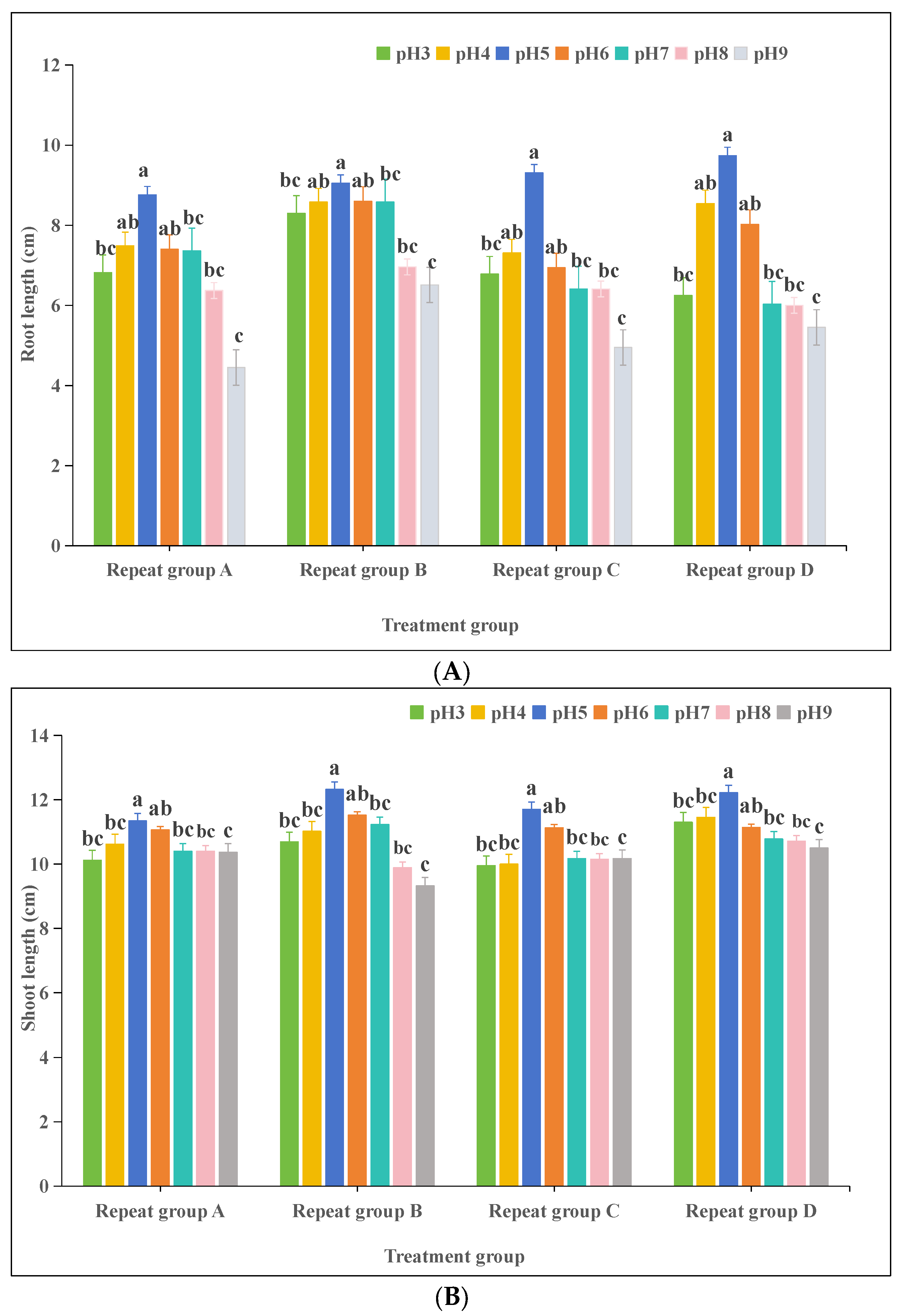
3.2.2. Effects of pH on Oat (Avena sativa L.) Seedling Growth
3.2.3. Effects of Drought Stress on Oat (Avena sativa L.) Seedling Growth
3.3. Effects of Different Stresses on Biomass and Tissue Water Content of Oat (Avena sativa L.)
3.4. Correlation of Growth Indices of Oat (Avena sativa L.) Seedlings Under Different Stresses
4. Discussion
4.1. Effect of CaCl2 Stress on Seed Germination of Oat (Avena sativa L.)
4.2. Effect of Drought Stress on Oat (Avena sativa L.) Seed Germination
4.3. Effect of pH on Seed Germination of Oat (Avena sativa L.)
5. Conclusions
Author Contributions
Funding
Data Availability Statement
Conflicts of Interest
References
- Guo, F.; Jiang, G.; Yuan, D.; Polk, J.S. Evolution of major environmental geological problems in karst areas of Southwestern China. Environ. Earth Sci. 2012, 69, 2427–2435. [Google Scholar] [CrossRef]
- Liu, C.; Huang, Y.; Wu, F.; Liu, W.; Ning, Y.; Huang, Z.; Tang, S.; Liang, Y. Plant adaptability in karst regions. J. Plant Res. 2021, 134, 889–906. [Google Scholar] [CrossRef] [PubMed]
- Zhang, Z.; Hu, B.; Hu, G. Spatial heterogeneity of soil chemical properties in a subtropical karst forest, Southwest China. Sci. World J. 2014, 2014, 473651. [Google Scholar] [CrossRef] [PubMed]
- Daoxian, Y. On the Karst Ecosystem. Acta Geol. Sin. Engl. 2001, 3, 102–104. [Google Scholar] [CrossRef]
- Gunter, C.C.; Palta, J.P. Exchangeable soil calcium may not reliably predict in-season calcium requirements for enhancing potato tuber calcium concentration. Am. J. Potato Res. 2008, 85, 324–331. [Google Scholar] [CrossRef]
- Li, W.; Duan, H.; Chen, F.; Wang, Z.; Huang, X.; Deng, X.; Liu, Y. Identification of quantitative trait loci controlling high calcium response in Arabidopsis thaliana. PLoS ONE 2014, 9, e112511. [Google Scholar] [CrossRef]
- Vancostenoble, B.; Blanchet, N.; Langlade, N.B.; Bailly, C. Maternal drought stress induces abiotic stress tolerance to the progeny at the germination stage in sunflower. Environ. Exp. Bot. 2022, 201, 04939. [Google Scholar] [CrossRef]
- Tian, Y.; Haibara, K.; Toda, H.; Ding, F.; Liu, Y.; Choi, D. Microbial biomass and activity along a natural pH gradient in forest soils in a karst region of the upper Yangtze River, China. J. Forest Res. 2008, 13, 205–214. [Google Scholar] [CrossRef]
- Omami, E.N.; Haigh, A.M.; Medd, R.W. Changes in germinability, dormancy and viability of Amaranthus retroflexus as affected by depth and duration of burial. Weed Res. 2010, 39, 345–354. [Google Scholar] [CrossRef]
- Souza, M.L.; Fagundes, M. Seed size as key factor in germination and seedling development of Copaifera langsdorffii (Fabaceae). Am. J. Plant Sci. 2014, 5, 2566–2573. [Google Scholar] [CrossRef]
- Dodd, G.L.; Donovan, L.A. Water potential and ionic effects on germination and seedling growth of two cold desert shrubs. Am. J. Bot. 1999, 86, 1146–1153. [Google Scholar] [CrossRef] [PubMed]
- Zhao, X.; Huang, L.; Sun, X.; Zhao, L.; Wang, P. Transcriptomic and metabolomic analyses reveal key metabolites, pathways and candidate Genes in Sophora davidii (Franch.) skeels seedlings under drought stress. Front. Plant Sci. 2022, 13, 785702. [Google Scholar] [CrossRef] [PubMed]
- Sarker, B.C.; Hara, M.; Uemura, M. Proline synthesis, physiological responses and biomass yield of eggplants during and after repetitive soil moisture stress. Sci. Hortic. 2005, 103, 387–402. [Google Scholar] [CrossRef]
- Yaklich, R. Moisture stress and soybean seed quality. J. Seed Technol. 1984, 9, 60–67. [Google Scholar]
- Thao, N.P.; Tran, L.P. Potentials toward genetic engineering of drought-tolerant soybean. Crit. Rev. Biotechnol. 2011, 32, 349–362. [Google Scholar] [CrossRef]
- Rao, X.; Zhang, Y.; Gao, Y.; Zhao, L.; Wang, P. Influence of exogenous abscisic acid on germination and physiological traits of Sophora viciifolia seedlings under drought conditions. Appl. Sci. 2024, 14, 4359. [Google Scholar] [CrossRef]
- Wingler, A.; Quick, W.P.; Bungard, R.A. The role of photorespiration during drought stress: An analysis utilizing barley mutants with reduced activities of photorespiratory enzymes. Plant Cell Environ. 1999, 22, 1365–3040. [Google Scholar] [CrossRef]
- Zhou, Z.; Li, J.; Gao, Y.; Wang, X.; Wang, R.; Huang, H.; Zhang, Y.; Zhao, L.; Wang, P. Research on drought stress in Medicago sativa L. from 1998 to 2023: A bibliometric analysis. Front. Plant Sci. 2024, 15, 1406256. [Google Scholar] [CrossRef]
- Zhang, X.J.; Liu, W.T.; Lv, Y.C.; Li, T.L.; Tang, J.Z.; Yang, X.H.; Bai, J.; Jin, X.; Zhou, H.T. Effects of drought stress during critical periods on the photosynthetic characteristics and production performance of Naked oat (Avena nuda L.). Sci. Rep. 2022, 12, 11199. [Google Scholar] [CrossRef]
- Wang, X.; Zhang, C.; Zhao, N.; Sun, X.; Hou, S.; Wang, P. Physiological nitrogen uptake and utilisation responses in two native plants from the Qinghai-Tibet Plateau under different water and fertiliser conditions. Agronomy 2024, 14, 440. [Google Scholar] [CrossRef]
- White, P.J.; Broadley, M.R. Calcium in plants. Ann. Bot. 2003, 92, 487–511. [Google Scholar] [CrossRef] [PubMed]
- Chauhan, A.; AbuAmarah, B.A.; Kumar, A.; Verma, J.S.; Ghramh, H.A.; Khan, K.A.; Ansari, M.J. Influence of gibberellic acid and different salt concentrations on germination percentage and physiological parameters of oat cultivars. Saudi J. Biol. Sci. 2019, 26, 1298–1304. [Google Scholar] [CrossRef] [PubMed]
- Yuan, D. World correlation of karst ecosystem: Objectives and implementation plant. Adv. Earth Sci. 2001, 16, 0461. [Google Scholar]
- Wei, X.; Deng, X.; Xiang, W. Calcium content and high calcium adaptation of plants in karst areas of southwestern Hunan, China. Biogeosci. Discuss. 2017, 15, 2991–3002. [Google Scholar] [CrossRef]
- Song, W.Y.; Choi, K.S.; Alexis, D.A.; Martinoia, E.; Lee, Y. Brassica juncea plant cadmium resistance 1 protein (Bj PCR1) facilitates the radial transport of calcium in the root. Proc. Natl. Acad. Sci. USA 2011, 108, 9808–19813. [Google Scholar] [CrossRef]
- Chan, C.W.M.; Schorrak, L.M.; Smith, R.K., Jr.; Bent, A.F.; Sussman, M.R. A cyclic nucleotide-gated ion channel, CNGC2, is crucial for plant development and adaptation to calcium stress. Plant Physiol. 2003, 132, 728–731. [Google Scholar] [CrossRef]
- Wu, G.; Li, M.; Zhong, F.; Fu, C.; Sun, J.; Yu, L. Lonicera confusa has an anatomical mechanism to respond to calcium-rich environment. Plant Soil. 2011, 338, 343–353. [Google Scholar] [CrossRef]
- Borer, C.H.; Hamby, M.N.; Hutchinson, L.H. Plant tolerance of a high calcium environment via foliar partitioning and sequestration. J. Arid Environ. 2012, 85, 28–131. [Google Scholar] [CrossRef]
- Yang, L.; Wang, Y.; Yang, K. Klebsiella variicola improves the antioxidant ability of maize seedlings under saline-alkali stress. PeerJ 2021, 9, e11963. [Google Scholar] [CrossRef]
- Tagliavini, M.; Masia, A.; Quartieri, M. Bulk soil pH and rhizosphere pH of peach trees in calcareous and alkaline soils as affected by the form of nitrogen fertilizers. Plant Soil 1995, 176, 263–271. [Google Scholar] [CrossRef]
- Ferreira, P.; Ricachenevsky, F.; Stefanello, L.; Brunetto, G.; Mimmo, T.; Trentin, E.; Cesco, S.; Pii, Y.; Valentinuzzi, F. Plant species and pH dependent responses to copper toxicity. Environ. Exp. Bot. 2022, 196, 104791. [Google Scholar]
- McCray, J.M.; Matocha, J.E. Effects of soil water levels on solution bicarbonate, chlorosis and growth of sorghum. J. Plant Nutr. 2008, 15, 1877–1890. [Google Scholar] [CrossRef]
- Canales, F.J.; Montilla-Bascón, G.; Rispail, N.; Prats, E. Salicylic acid regulates polyamine biosynthesis during drought responses in oat. Plant Signal. Behav. 2019, 14, e1651183. [Google Scholar] [CrossRef] [PubMed]
- Gigon, A.; Matos, A.; Laffray, D.; ZuilyFodil, Y.; PhamThi, A. Effect of drought stress on lipid metabolism in the leaves of Arabidopsis thaliana (Ecotype Columbia). Ann. Bo. 2004, 94, 345–351. [Google Scholar] [CrossRef]
- Wang, T.; Du, Y.; He, J.; Turner, N.C.; Wang, B.; Zhang, C.; Cui, T.; Li, F. Recently released genotypes of naked oat (Avena nuda L.) out-yield early releases under water-limited conditions by greater reproductive allocation and desiccation tolerance. Field Crop. Res. 2017, 204, 169–179. [Google Scholar] [CrossRef]
- Lu, Y.T.; Liu, H.; Chen, Y.; Zhang, L.; Song, J.H. Effects of drought and salt stress on seed germination of ephemeral plants in desert of northwest China. Front. Ecol. Evol. 2022, 10, 1026095. [Google Scholar] [CrossRef]
- International Seed Testing Association. The international rules for seed testing. Seed Sci. Technol. 1999, 4, 3–49. [Google Scholar]
- Guo, M.; Zong, J.; Zhang, J.; Wei, L.; Wei, W.; Fan, R.; Zhang, T.; Tang, Z. Effects of temperature and drought stress on the seed germination of a peatlandlily (Lilium concolor var. megalanthum). Front. Plant Sci. 2024, 15, 1462655. [Google Scholar] [CrossRef]
- Zhang, X.; Liu, L.; Gong, J. Comparison of calcium distributionin leaf cells of Carpinus pubescens and Camellia oleifera under drought and calcium stress. Pak. J. Bot. 2017, 49, 2139–2143. [Google Scholar]
- Dayod, M.; Tyerman, S.D.; Leigh, R.A.; Gilliham, M. Calcium storage in plants and the implications for calcium biofortification. Protoplasma 2010, 247, 215–231. [Google Scholar] [CrossRef]
- Salahshoor, F.; Kazemi, F. Effect of calcium on reducing salt stress in seed germination and early growth stage of Festuca ovina L. Plant Soil Environ. 2016, 62, 1722. [Google Scholar] [CrossRef]
- Cai, H.; Gao, D. Phytotoxicity of salts in composted sewage sludge and correlation with sodium chloride, calcium nitrate, and magnesium nitrate. J. Plant Nutr. 2011, 34, 1788–1796. [Google Scholar] [CrossRef]
- Al-Whaibi, M.H.; Bullet, M.H. Performance of faba bean under calcium and gibberellic acid application. Int. J. Plant Dev. Biol. 2010, 4, 60–63. [Google Scholar]
- Qi, R.L.; Li, G.T.; Wang, M.Z.; He, L.; Yang, W.B. Effects of drought and salt stress on germination characteristics of Halimodendron halodendron (Pall.) Voss. North. Hortic. 2021, 15, 81–88. [Google Scholar]
- Jamil, M.; Bae, L.D.; Yong, J.K.; Ashraf, M.; Chun, L.; Rha, E. Effect of salt (NaCl) stress on germination and early seedling growth of four vegetables species. J. Cen. Eur. Agric. 2006, 7, v7i2.370. [Google Scholar]
- Zhao, L.; Wang, L.; Chen, K.; Sun, H.; Wang, P. Effects of arbuscular mycorrhizal fungi on the growth and physiological performance of Sophora davidii seedling under low-phosphorus stress. J. Plant Growth Regul. 2014, 31, 230–235. [Google Scholar] [CrossRef]
- Wan, P.; Xiong, K.; Zhang, L. Heterogeneity of Spatial-Temporal Distribution of Nitrogen in the Karst Rocky Desertification Soils and Its Implications for Ecosystem Service Support of the Desertification Control—A Literature Review. Sustainability 2022, 14, 14106327. [Google Scholar] [CrossRef]
- Wang, S.Y.; Su, C.W.; Fan, R.X. Influence Factors of Soil Moisture in Karst Rocky Desertification Region—A Case Study of Puding County, Guizhou Province. Res. Soil Water Conserv. 2010, 17, 171–173. [Google Scholar]
- Chen, H.S.; Wang, K.L. Soil Water Research in Karst Mountain Areas of Southwest China. Res. Agric. Mod. 2008, 29, 734–738. [Google Scholar]
- Huang, H.; Wang, X.; Li, J.; Gao, Y.; Yang, Y.; Wang, R.; Zhou, Z.; Wang, P.; Zhang, Y. Trends and directions in oats research under drought and salt stresses: A bibliometric analysis (1993–2023). Plants 2024, 13, 1902. [Google Scholar] [CrossRef]
- Tang, D.; Wei, F.; Qin, S.; Khan, A.; Kashif, M.H.; Zhou, R. Polyethylene glycol induced drought stress strongly influences seed germination, root morphology and cytoplasm of different kenaf genotypes. Ind. Crops Prod. 2019, 137, 180–186. [Google Scholar] [CrossRef]
- Gao, W.; Zhang, Y.; Feng, Z.; Bai, Q.; He, J.; Wang, Y. Effects of melatonin on antioxidant capacity in naked oat seedlings under drought stress. Molecules 2018, 23, 1580. [Google Scholar] [CrossRef] [PubMed]
- Grégoire, T.; Freschet Swart, E.M.; Cornelissen, J.H.C. Integrated plant phenotypic responses to contrasting above and below-ground resources: Key roles of specific leaf area and root mass fraction. New Phytol. 2015, 206, 13352. [Google Scholar]
- Hua, C.J.; Xian, Y.D.; Xing, P.G. Some soil features in karst ecosystem. Adv. Earth Sci. 2003, 18, 37–44. [Google Scholar]
- Wang, L.J.; Li, R.; Sheng, M.Y. Distribution of soil organic carbon related to environmental factors in typical rocky desertification ecosystems. Acta Ecol. Sin. 2017, 37, 5846. [Google Scholar]
- Evetts, L.L.; Burnside, O.C. Germination and seedling development of common milkweed and other species. Weed Sci. 1972, 20, 371–378. [Google Scholar] [CrossRef]
- Rivard, P.G.; Woodard, P.M. Light, ash, and pH effects on the germination and seedling growth of Typha latifolia (cattail). C. J. Bot. 1989, 67, 2783–2787. [Google Scholar] [CrossRef]
- Yang, H.Y. Does high pH give a reliable assessment of the effect of alkaline soil on seed germination? A case study with Leymus chinensis (Poaceae). Plant Soil. 2015, 394, 35–43. [Google Scholar]
- Jefferson, P.G.; Johnson, D.A.; Rumbaugh, M.D. Water stress and genotypic effects on epicuticular wax production of alfalfa and crested wheatgrass in relation to yield and excised leaf water loss rate. Can. J. Plant Sci. 1989, 69, 481–490. [Google Scholar] [CrossRef]
- Pritchard, H.W.; Baskin, C.C.; Baskin, J.M. Seeds: Ecology, biogeography, and evolution of dormancy and germination. Ann. Bot. 1998, 283, 334. [Google Scholar]
- Donohue, K.; Dorn, L.; Griffith, C. Environmental and genetic influences on the germination of Arabidopsis thaliana in the field. Evolution 2005, 59, 740–757. [Google Scholar] [CrossRef] [PubMed]
- Shelley, B.A.; Luster, D.G.; Garrett, W.M.; McMahon, M.B.; Widmer, T.L. Effects of temperature on germination of sporangia, infection and protein secretion by Phytophthora kernoviae. Fortschr. Phys. 2018, 67, 12782. [Google Scholar] [CrossRef]
- Jun, H.D.; Wu, Q.I.; Juan, L.I. Effect of Quicklime on Acid Soil pH and Metabolic Functional Diversity of Microbial Community. Southwest China J. Agric. Sci. 2017, 21, 1–11. [Google Scholar]







| Different Stresses and Concentrations | |||
|---|---|---|---|
| CaCl2 (mM) | pH | PEG-6000 (MPa) | Control |
| 5 | 3 | 5 | Deionized water |
| 10 | 4 | 10 | |
| 25 | 5 | 15 | |
| 50 | 6 | 20 | |
| 100 | 8 | 25 | |
| 150 | 9 | - | |
| CaCl2 Concentration (mM) | GP (%) | GR (%) | GI (%) | VI (%) | |
|---|---|---|---|---|---|
| CaCl2 | 0 | 76 ± 0.03 a | 91 ± 4.43 a | 23.28 ± 1.67 a | 247.14 ± 15.05 a |
| 5 | 82 ± 0.04 a | 91 ± 1.29 a | 23.41 ± 0.91 a | 256.01 ± 16.53 a | |
| 10 | 77 ± 0.04 a | 88.5 ± 1.71 a | 20.85 ± 0.38 a | 215 ± 10.45 ab | |
| 25 | 76 ± 0.02 a | 87.5 ± 3.10 a | 19.16 ± 1.21 a | 187.81 ± 11.03 b | |
| 50 | 75 ± 0.03 a | 84 ± 2.58 ab | 18.86 ± 0.90 a | 183.86 ± 6.86 b | |
| 100 | 69 ± 0.08 ab | 79 ± 4.65 ab | 13.7 ± 0.78 b | 98.59 ± 6.21 c | |
| 150 | 54 ± 0.04 b | 70 ± 3.46 c | 10.44 ± 0.56 b | 65.40 ± 4.08 c |
| pH Concentration | GP (%) | GR (%) | GI (%) | VI (%) | |
|---|---|---|---|---|---|
| pH | 7 | 76 ± 0.03 ab | 91 ± 0.04 a | 23.28 ± 1.67 a | 247.14 ± 15.05 a |
| 3 | 64 ± 0.03 b | 82 ± 0.02 a | 16.55 ± 0.87 b | 178.79 ± 4.24 b | |
| 4 | 68 ± 0.02 ab | 89 ± 0.03 a | 18.11 ± 0.49 b | 196.28 ± 7.3 ab | |
| 5 | 76 ± 0.02 ab | 93 ± 0.01 a | 19.39 ± 1.14 ab | 219.98 ± 10.51 ab | |
| 6 | 80 ± 0.03 a | 91 ± 0.01 a | 19.63 ± 0.91 ab | 219.68 ± 12.94 ab | |
| 8 | 77 ± 0.07 ab | 92 ± 0.02 a | 20.11 ± 1.42 ab | 213.46 ± 17.61 ab | |
| 9 | 71 ± 0.03 ab | 88 ± 0.04 a | 18.68 ± 0.92 ab | 191.45 ± 8.69 b |
| PEG-6000 Concentration (MPa) | GP (%) | GR (%) | GI (%) | VI (%) | |
|---|---|---|---|---|---|
| PEG-6000 | 0 | 76 ± 0.03 ab | 91 ± 4.43 a | 23.28 ± 1.71 a | 247.14 ± 15.90 a |
| −0.06 | 92 ± 0.01 a | 98 ± 0 a | 23.85 ± 0.79 a | 206.61 ± 14.59 ab | |
| −0.17 | 89 ± 0.03 a | 96 ± 1.50 a | 23.13 ± 0.13 a | 187.16 ± 2.59 b | |
| −0.32 | 88 ± 0.01 a | 95 ± 1.29 a | 20.44 ± 0.32 a | 107.91 ± 6.78 c | |
| −0.53 | 70 ± 0.04 b | 86 ± 1.41 a | 13.15 ± 0.64 b | 15.84 ± 5.01 d | |
| −0.79 | 16 ± 0.08 c | 28 ± 11.17 b | 3.23 ± 1.29 c | 0.18 ± 0.18 d |
Disclaimer/Publisher’s Note: The statements, opinions and data contained in all publications are solely those of the individual author(s) and contributor(s) and not of MDPI and/or the editor(s). MDPI and/or the editor(s) disclaim responsibility for any injury to people or property resulting from any ideas, methods, instructions or products referred to in the content. |
© 2024 by the authors. Licensee MDPI, Basel, Switzerland. This article is an open access article distributed under the terms and conditions of the Creative Commons Attribution (CC BY) license (https://creativecommons.org/licenses/by/4.0/).
Share and Cite
Huang, H.; Yang, Y.; Li, J.; Gao, Y.; Wang, X.; Wang, R.; Zhou, Z.; Wang, P.; Zhao, L. Effects of Rocky Desertification Stress on Oat (Avena sativa L.) Seed Germination and Seedling Growth in the Karst Areas of Southwest China. Plants 2024, 13, 3260. https://doi.org/10.3390/plants13223260
Huang H, Yang Y, Li J, Gao Y, Wang X, Wang R, Zhou Z, Wang P, Zhao L. Effects of Rocky Desertification Stress on Oat (Avena sativa L.) Seed Germination and Seedling Growth in the Karst Areas of Southwest China. Plants. 2024; 13(22):3260. https://doi.org/10.3390/plants13223260
Chicago/Turabian StyleHuang, Haiyan, Yuting Yang, Junqin Li, Yang Gao, Xiangtao Wang, Rui Wang, Zijun Zhou, Puchang Wang, and Lili Zhao. 2024. "Effects of Rocky Desertification Stress on Oat (Avena sativa L.) Seed Germination and Seedling Growth in the Karst Areas of Southwest China" Plants 13, no. 22: 3260. https://doi.org/10.3390/plants13223260
APA StyleHuang, H., Yang, Y., Li, J., Gao, Y., Wang, X., Wang, R., Zhou, Z., Wang, P., & Zhao, L. (2024). Effects of Rocky Desertification Stress on Oat (Avena sativa L.) Seed Germination and Seedling Growth in the Karst Areas of Southwest China. Plants, 13(22), 3260. https://doi.org/10.3390/plants13223260

