Optimizing Irrigation and Nitrogen Application to Enhance Millet Yield, Improve Water and Nitrogen Use Efficiency and Reduce Inorganic Nitrogen Accumulation in Northeast China
Abstract
1. Introduction
2. Results
2.1. Growth Indicators
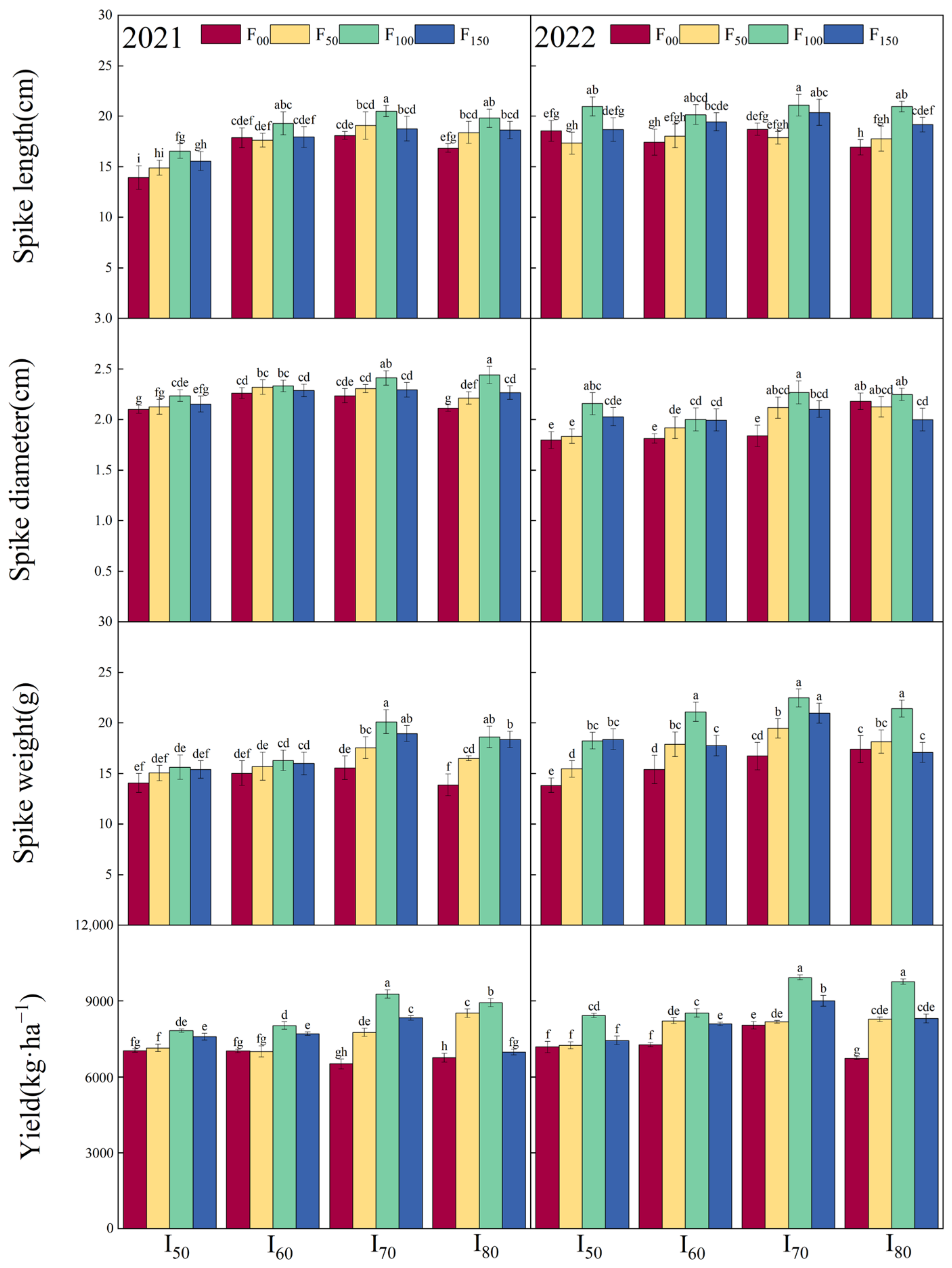
2.2. Yield and Its Components
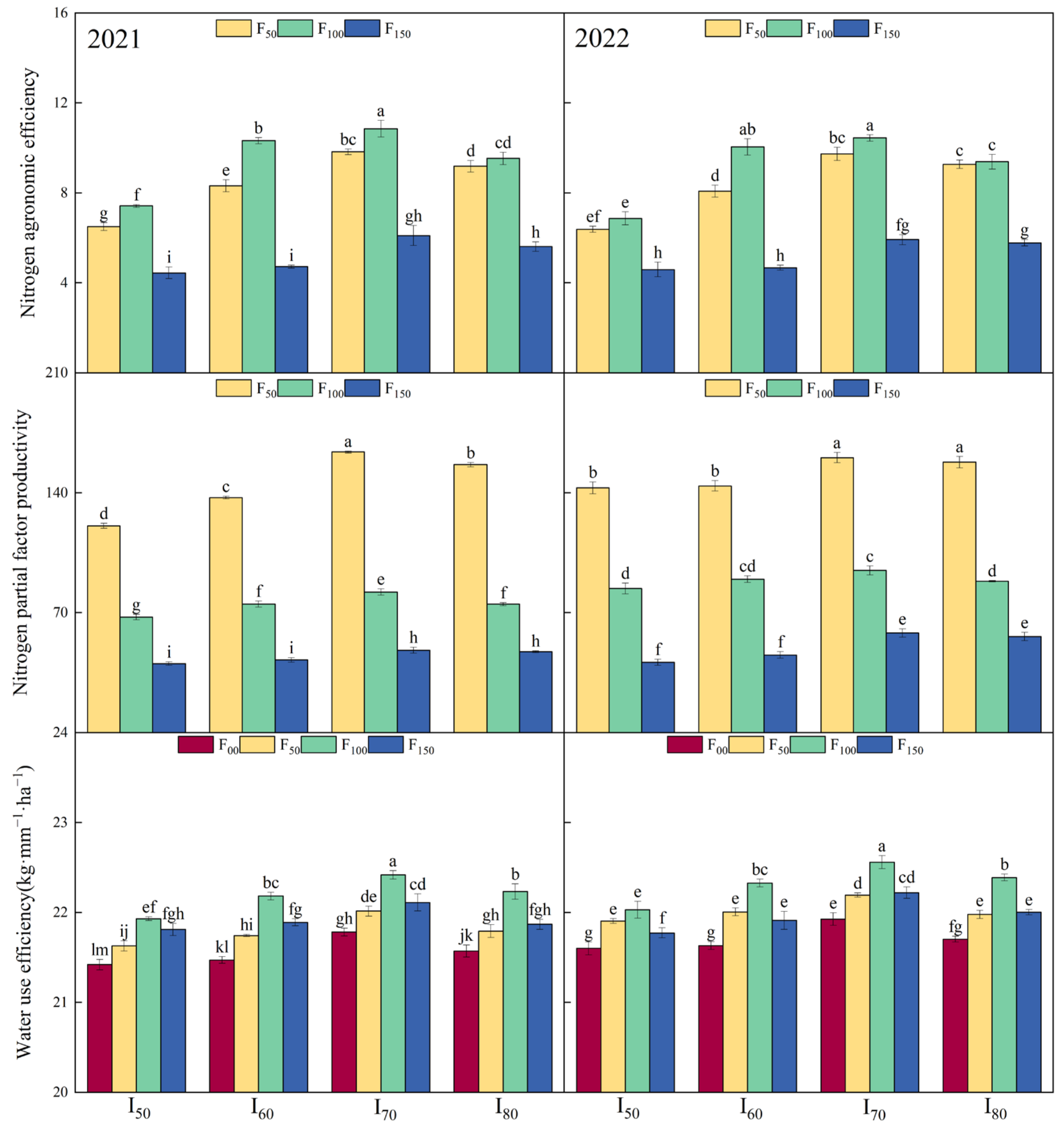
2.3. WUE, AEN and PFPN
2.4. NO3−-N and NH4+-N Accumulation
2.5. Optimization of Irrigation and Nitrogen Fertilizer
3. Discussion
3.1. Effects of Irrigation and Nitrogen Application on Millet Growth and Yield
3.2. Effects of Irrigation and Nitrogen Application on Millet WUE, AEN and PFPN
3.3. Effects of Irrigation and Nitrogen Application on NO3−-N and NH4+-N Accumulation
4. Materials and Methods
4.1. Study Area
4.2. Experimental Design
4.3. Sample Collection and Determination
4.3.1. Growth Indicators and Yield Components of Millet
4.3.2. WUE
4.3.3. AEN and PFPN
4.3.4. NH4+-N and NO3−-N Accumulation in Soil
4.4. Date Analysis
5. Conclusions
Author Contributions
Funding
Data Availability Statement
Acknowledgments
Conflicts of Interest
References
- Nelson, W.J.; Lee, B.C.; Gasperini, F.A.; Hair, D.M. Meeting the Challenge of Feeding 9 Billion People Safely and Securely. J. Agromed. 2012, 17, 347–350. [Google Scholar] [CrossRef] [PubMed]
- Barrett, C.B. Measuring Food Insecurity. Science 2010, 327, 825–828. [Google Scholar] [CrossRef]
- Chen, X.; Cui, Z.; Fan, M.; Vitousek, P.; Zhao, M.; Ma, W.; Wang, Z.; Zhang, W.; Yan, X.; Yang, J.; et al. Producing more grain with lower environmental costs. Nature 2014, 514, 486–489. [Google Scholar] [CrossRef] [PubMed]
- Jindal, P.; Nikhanj, P. A review on processing technologies for value added millet products. J. Food Process Eng. 2023, 46, 14419. [Google Scholar] [CrossRef]
- Pavithra, K.S.; Senthil, A.; Babu Rajendra Prasad, V.; Ravikesavan, R.; Djanaguiraman, M. Variations in photosynthesis associated traits and grain yield of minor millets. Plant Physiol. Rep. 2020, 25, 418–425. [Google Scholar] [CrossRef]
- Zhang, Y.; Han, H.; Zhang, D.; Li, J.; Gong, X.; Feng, B.; Xue, Z.; Yang, P. Effects of ridging and mulching combined practices on proso millet growth and yield in semi-arid regions of China. Field Crops Res. 2017, 213, 65–74. [Google Scholar] [CrossRef]
- Muthamilarasan, M.; Prasad, M. Small Millets for Enduring Food Security Amidst Pandemics. Trends Plant Sci. 2021, 26, 33–40. [Google Scholar] [CrossRef]
- Panchal, A.; Singh, R.K.; Prasad, M. Recent advancements and future perspectives of foxtail millet genomics. Plant Growth Regul. 2022, 99, 11–23. [Google Scholar] [CrossRef]
- Sinclair, T.R.; Rufty, T.W. Nitrogen and water resources commonly limit crop yield increases, not necessarily plant genetics. Glob. Food Secur. 2012, 1, 94–98. [Google Scholar] [CrossRef]
- Ma, T.; Sun, S.; Fu, G.; Hall, J.W.; Ni, Y.; He, L.; Yi, J.; Zhao, N.; Du, Y.; Pei, T.; et al. Pollution exacerbates China’s water scarcity and its regional inequality. Nat. Commun. 2020, 11, 650. [Google Scholar] [CrossRef]
- Peng, S. Water resources strategy and agricultural development in China. J. Exp. Bot. 2011, 62, 1709–1713. [Google Scholar] [CrossRef] [PubMed][Green Version]
- An, P.; Ren, W.; Liu, X.; Song, M.; Li, X. Adjustment and Optimization of the Cropping Systems under Water Constraint. Sustainability 2016, 8, 1207. [Google Scholar] [CrossRef]
- Wu, D.; Xu, X.; Chen, Y.; Shao, H.; Sokolowski, E.; Mi, G. Effect of different drip fertigation methods on maize yield, nutrient and water productivity in two-soils in Northeast China. Agric. Water Manag. 2019, 213, 200–211. [Google Scholar] [CrossRef]
- Goyal, M.; Kaur, R. Interactive effect of nitrogen nutrition, nitrate reduction and seasonal variation on oxalate synthesis in leaves of Napier-bajra hybrid (Pennisetum purpureum × P. glaucum). Crop Pasture Sci. 2019, 70, 18282. [Google Scholar] [CrossRef]
- Cui, Z.; Wang, G.; Yue, S.; Wu, L.; Zhang, W.; Zhang, F.; Chen, X. Closing the N-Use Efficiency Gap to Achieve Food and Environmental Security. Environ. Sci. Technol. 2014, 48, 5780–5787. [Google Scholar] [CrossRef]
- Lu, L.; Wang, Q.; Zhang, W.; Gao, M.; Xv, Y.; Li, S.; Dong, H.; Chen, D.; Yan, P.; Dong, Z. Urea Coated with Polyaspartic Acid-Chitosan Increases Foxtail Millet (Setaria italica L. Beauv.) Grain Yield by Improving Nitrogen Metabolism. Plants 2024, 13, 415. [Google Scholar] [CrossRef]
- Bandyopadhyay, T.; Prasad, M. A Precise Method for Analyzing Nitrogen Use in Foxtail Millet. Methods Mol. Biol. 2020, 2057, 113–118. [Google Scholar] [CrossRef]
- Galloway, J.N.; Cowling, E.B. Reactive Nitrogen and The World: 200 Years of Change. Ambio J. Hum. Environ. 2002, 31, 2. [Google Scholar] [CrossRef]
- Shaaban, M.; Peng, Q.-a.; Bashir, S.; Wu, Y.; Younas, A.; Xu, X.; Rashti, M.R.; Abid, M.; Zafar-ul-Hye, M.; Núñez-Delgado, A.; et al. Restoring effect of soil acidity and Cu on N2O emissions from an acidic soil. J. Environ. Manag. 2019, 250, 109535. [Google Scholar] [CrossRef]
- Crăciun, I.; Crăciun, M. Water and nitrogen use efficiency under limited water supply for maize to increase land productivity. In Crop Yield Response to Deficit Irrigation; Moutonnet, P., Hera, C., Nielsen, D.R., Eds.; Kluwer Academic Publishers: Alphen aan den Rijn, The Netherlands, 1996; pp. 87–94. [Google Scholar]
- Zhou, S.; Ye, F.; Xia, D.; Liu, Z.; Wu, Y.; Chen, F. Climate change impacts assessment and developing adaptation strategies for rainfed foxtail millet in northern Shanxi, China. Agric. Water Manag. 2023, 290, 108575. [Google Scholar] [CrossRef]
- Matsuura, A.; Tsuji, W.; An, P.; Inanaga, S.; Murata, K. Effect of Pre- and Post-heading Water Deficit on Growth and Grain Yield of Four Millets. Plant Prod. Sci. 2015, 4, 323–331. [Google Scholar] [CrossRef]
- Jahansuz, M.R.; Afshar, R.K.; Heidari, H.; Hashemi, M. Evaluation of Yield and Quality of Sorghum and Millet as Alternative Forage Crops to Corn under Normal and Deficit Irrigation Regimes. Jordan J. Agric. Sci. 2014, 10, 4. [Google Scholar]
- Zhang, J.; Liu, T.; Fu, J.; Zhu, Y.; Jia, J.; Zheng, J.; Zhao, Y.; Zhang, Y.; Wang, G. Construction and application of EST library from Setaria italica in response to dehydration stress. Genomics 2007, 90, 121–131. [Google Scholar] [CrossRef]
- Nagaz, K.; Masmoudi, M.M.; Mechila, N.B. Yield and Water-Use Efficiency of Pearl Millet (Pennisetum glaucum (L.) R. Br.) under Deficit Irrigation with Saline Water in Arid Conditions of Southern Tunisia. Res. J. Agron. 2009, 3, 9–17. [Google Scholar]
- Seghatoleslami, M.J.; Kafi, M.; Majidi, E. Effect of Deficit Irrigation on Yield, Wue and Some Morphological and Phenological Traits of Three Millet Species. Pak. J. Bot. 2008, 40, 1555–1560. [Google Scholar]
- Li, Z.; Li, W.; Wang, J.; Zhang, J.; Wang, Z. Drip irrigation shapes the soil bacterial communities and enhances jujube yield by regulating the soil moisture content and nutrient levels. Agric. Water Manag. 2023, 289, 108563. [Google Scholar] [CrossRef]
- Grafton, R.Q.; Williams, J.; Perry, C.J.; Molle, F.; Ringler, C.; Steduto, P.; Udall, B.; Wheeler, S.A.; Wang, Y.; Garrick, D.; et al. The paradox of irrigation efficiency. Science 2018, 361, 748–750. [Google Scholar] [CrossRef]
- Pablo, R.G.; O’Neill, M.K.; McCaslin, B.D.; Remmenga, M.D.; Keenan, J.G.; Onken, B.M. Evaluation of Corn Grain Yield and Water Use Efficiency Using Subsurface Drip Irrigation. J. Sustain. Agric. 2007, 30, 153–172. [Google Scholar] [CrossRef]
- Zhou, L.; Feng, H.; Zhao, Y.; Qi, Z.; Zhang, T.; He, J.; Dyck, M. Drip irrigation lateral spacing and mulching affects the wetting pattern, shoot-root regulation, and yield of maize in a sand-layered soil. Agric. Water Manag. 2017, 184, 114–123. [Google Scholar] [CrossRef]
- Linn, D.M.; Doran, J.W. Effect of water-filled pore space on carbon dioxide and nitrous oxide production in tilled and nontilled soils. Soil Sci. Soc. Am. J. 1984, 48, 1267–1272. [Google Scholar] [CrossRef]
- Jahanzad, E.; Sadeghpour, A.; Hoseini, M.B.; Barker, A.V.; Hashemi, M.; Keshavarz Afshar, R. Competition, Nitrogen Use Efficiency, and Productivity of Millet–Soybean Intercropping in Semiarid Conditions. Crop Sci. 2015, 55, 2842–2851. [Google Scholar] [CrossRef]
- Leblanc, V.; Vanasse, A.; Bélanger, G.; Seguin, P. Sweet Pearl Millet Yields and Nutritive Value as Influenced by Fertilization and Harvest Dates. Agron. J. 2012, 104, 542–549. [Google Scholar] [CrossRef]
- Wenqian, C.; Peng, L.; Shiwei, Z. Effects of Water and Nitrogen Coupling on Growth, Yield and Water and Nitrogen Utilization after Millet Jointing. Acta Agric. Boreali-Occident. Sin. 2018, 27, 1313–1321. (In Chinese) [Google Scholar] [CrossRef]
- Cheng, J.; Tan, H.; Shan, M.; Duan, M.; Ye, L.; Yang, Y.; He, L.; Shen, H.; Yang, Z.; Wang, X. Genome-wide identification and characterization of the NPF genes provide new insight into low nitrogen tolerance in Setaria. Front. Plant Sci. 2022, 13, 1043832. [Google Scholar] [CrossRef]
- Rosolem, C.A. Exchangeable basic cations and nitrogen distribution in soil as affected by crop residues and nitrogen. Braz. Arch. Biol. Technol. 2011, 54, 441–450. [Google Scholar] [CrossRef]
- Bitew, Y.; Alemayehu, G.; Adego, E.; Assefa, A. Impact of precursor crop and nitrogen fertilizer on the productivity of finger millet based cropping system and soil fertility in Lake Tana basin of Ethiopia. J. Plant Nutr. 2020, 43, 1824–1839. [Google Scholar] [CrossRef]
- Nadeem, F.; Ahmad, Z.; Ul Hassan, M.; Wang, R.; Diao, X.; Li, X. Adaptation of Foxtail Millet (Setaria italica L.) to Abiotic Stresses: A Special Perspective of Responses to Nitrogen and Phosphate Limitations. Front. Plant Sci. 2020, 11, 187. [Google Scholar] [CrossRef]
- Nascente, A.S.; Crusciol, C.A.C. Cover crops affecting levels of ammonium and nitrate in the soil and upland rice development. Semin. Ciências Agrárias 2013, 34, 2189–2202. [Google Scholar] [CrossRef][Green Version]
- Gheysari, M.; Mirlatifi, S.M.; Homaee, M.; Asadi, M.E.; Hoogenboom, G. Nitrate leaching in a silage maize field under different irrigation and nitrogen fertilizer rates. Agric. Water Manag. 2009, 96, 946–954. [Google Scholar] [CrossRef]
- Nadeem, F.; Ahmad, Z.; Wang, R.; Han, J.; Shen, Q.; Chang, F.; Diao, X.; Zhang, F.; Li, X. Foxtail Millet [Setaria italica (L.) Beauv.] Grown under Low Nitrogen Shows a Smaller Root System, Enhanced Biomass Accumulation, and Nitrate Transporter Expression. Front. Plant Sci. 2018, 9, 205. [Google Scholar] [CrossRef]
- Huang, S.; Zhang, W.; Yu, X.; Huang, Q. Effects of long-term fertilization on corn productivity and its sustainability in an Ultisol of southern China. Agric. Ecosyst. Environ. 2010, 138, 44–50. [Google Scholar] [CrossRef]
- Mao, K.J.; Huang, P.; Zhang, L.; Yu, H.S.; Zhou, X.Z.; Ye, X.Y. Optimisation of extraction conditions for total saponins from Cynanchum wallichii using response surface methodology and its anti-tumour effects. Nat. Prod. Lett. 2018, 32, 2233–2237. [Google Scholar] [CrossRef]
- Zou, H.; Fan, J.; Zhang, F.; Xiang, Y.; Wu, L.; Yan, S. Optimization of drip irrigation and fertilization regimes for high grain yield, crop water productivity and economic benefits of spring maize in Northwest China. Agric. Water Manag. 2020, 230, 105986. [Google Scholar] [CrossRef]
- Yan, F.; Zhang, F.; Fan, X.; Fan, J.; Wang, Y.; Zou, H.; Wang, H.; Li, G. Determining irrigation amount and fertilization rate to simultaneously optimize grain yield, grain nitrogen accumulation and economic benefit of drip-fertigated spring maize in northwest China. Agric. Water Manag. 2021, 243, 106440. [Google Scholar] [CrossRef]
- Yang, Y.J.; Guo, M.J.; Pang, Y.F.; Shao, Q.L.; Wu, Y.Z.; Zhao, H.M.; Ji, A.Q.; Ma, J.H.; Song, X.E.; Sun, C.Q.; et al. Foxtail Millet (Setaria italica (L.) P. Beauvois) Quality Response to Fertilizer Levels, Herbicide, and Selenium. Appl. Ecol. Environ. Res. 2021, 19, 4231–4249. [Google Scholar] [CrossRef]
- Food and Agriculture Organization. Statistics of Production: Crops. 2022. Available online: https://www.fao.org/faostat/en/#home (accessed on 24 January 2024).
- Zhu, Z.L.; Chen, D.L. Nitrogen fertilizer use in China—Contributions to food production, impacts on the environment and best management strategies. Nutr. Cycl. Agroecosyst. 2002, 63, 117–127. [Google Scholar] [CrossRef]
- Dong, X.J.; Li, Z.J.; Ma, J.F.; Yu, J.H.; Li, X.Y.; Sun, G.Q.; Zheng, Y.L. Current Situation Analysis of Millet Breeding Varieties from the Spring Sowing Region in Northeast China in 2011–2021. J. Sichuan Agric. Univ. 2024, 42, 57–65+125. (In Chinese) [Google Scholar]
- Lu, X.; Li, Z.; Bu, Q.; Cheng, D.; Sun, Z. Effects of Rainfall Harvesting and Mulching on Corn Yield and Water Use in the Corn Belt of Northeast China. Agron. J. 2014, 106, 2175. [Google Scholar] [CrossRef]
- Pei, J.; Li, H.; Li, S.; An, T.; Farmer, J.; Fu, S.; Wang, J. Dynamics of Maize Carbon Contribution to Soil Organic Carbon in Association with Soil Type and Fertility Level. PLoS ONE 2015, 10, e0120825. [Google Scholar] [CrossRef]
- Araújo, É.d.O.; Tadeu Vitorino, A.C.; Martins Mercante, F. Rates of nitrogen and inoculation of Herbaspirillum seropedicae in corn culture in conditions of fertile soil. Acta Agron. 2016, 65, 16–23. [Google Scholar] [CrossRef]
- Gong, X.; Li, J.; Ma, H.; Chen, G.; Dang, K.; Yang, P.; Wang, M.; Feng, B. Nitrogen deficiency induced a decrease in grain yield related to photosynthetic characteristics, carbon–nitrogen balance and nitrogen use efficiency in proso millet (Panicum miliaceum L.). Arch. Agron. Soil. Sci. 2019, 66, 398–413. [Google Scholar] [CrossRef]
- Jamali, K.D.; Ali, S.A. Yield and Yield Components with Relation to Plant Height in Semi-Dwarf Wheat. Pak. J. Bot. 2008, 40, 1805–1808. [Google Scholar]
- Kara, B.; Kara, B. Effects of Different Tillage Practices on the Trait Associations in Barley. Turk. J. Crops 2008, 13, 32–43. [Google Scholar]
- Golombek, S. Drought tolerance mechanisms of pearl millet. In Proceedings of the Deutscher Tropentag, Witzenhausen, Germany, 9–11 October 2002; Volume 19, p. 37213. [Google Scholar]
- Habiyaremye, C.; Barth, V.; Highet, K.; Coffey, T.; Murphy, K. Phenotypic Responses of Twenty Diverse Proso Millet (Panicum miliaceum L.) Accessions to Irrigation. Sustainability 2017, 9, 389. [Google Scholar] [CrossRef]
- Nematpour, A.; Eshghizadeh, H.R.; Zahedi, M. Comparing the Corn, Millet and Sorghum as Silage Crops Under Different Irrigation Regime and Nitrogen Fertilizer Levels. Int. J. Plant Prod. 2021, 15, 351–361. [Google Scholar] [CrossRef]
- Comas, L.H.T.; Thomas, J.; DeJonge, K.C.; Zhang, H.; Gleason, S.M. Water productivity under strategic growth stage-based deficit irrigation in maize. Agric. Water Manag. 2019, 212, 433–440. [Google Scholar] [CrossRef]
- Sadras, V.O. Yield and water-use efficiency of water- and nitrogen-stressed wheat crops increase with degree of co-limitation. Eur. J. Agron. 2004, 21, 455–464. [Google Scholar] [CrossRef]
- Sarr, P.S.; Khouma, M.; Sene, M.; Guisse, A.; Badiane, A.N.; Yamakawa, T. Effect of pearl millet–cowpea cropping systems on nitrogen recovery, nitrogen use efficiency and biological fixation using the15N tracer technique. Soil Sci. Plant Nutr. 2008, 54, 142–147. [Google Scholar] [CrossRef]
- Ahmad, P. (Ed.) Plant growth under drought stress. In Water Stress and Crop Plants (A Sustainable Approach); John Wiley and Sons Inc.: Hoboken, NJ, USA, 2016; Volume 2, pp. 649–668. [Google Scholar]
- Shao, H.B.; Chu, L.Y.; Jaleel, C.A.; Manivannan, P.; Panneerselvam, R.; Shao, M.A. Understanding water deficit stress-induced changes in the basic metabolism of higher plants-biotechnologically and sustainably improving agriculture and the ecoenvironment in arid regions of the globe. Crit. Rev. Biotechnol. 2009, 29, 131. [Google Scholar] [CrossRef]
- Payne, W.A.; Hossner, L.R.; Onken, A.B.; Wendt, C.W. Nitrogen and Phosphorus Uptake in Pearl Millet and Its Relation to Nutrient and Transpiration Efficiency. Agron. J. 1995, 87, 425–431. [Google Scholar] [CrossRef]
- Crookston, B.; Blaser, B.; Darapuneni, M.; Rhoades, M. Pearl Millet Forage Water Use Efficiency. Agronomy 2020, 10, 1672. [Google Scholar] [CrossRef]
- Caviglia, O.P.; Melchiori, R.J.M.; Sadras, V.O. Nitrogen utilization efficiency in maize as affected by hybrid and N rate in late-sown crops. Field Crop. Res. 2014, 168, 27–37. [Google Scholar] [CrossRef]
- Liu, X.; Yan, X.; Zhao, B.; Han, X. Study on Relation between Fertilizer Dosage and Its Recovery Efficiency and Their Application. Chin. J. Soil Sci. 2012, 43, 131–135. (In Chinese) [Google Scholar]
- Sun, Y.; Hu, K.; Zhang, K.; Jiang, L.; Xu, Y. Simulation of nitrogen fate for greenhouse cucumber grown under different water and fertilizer management using the EU-Rotate_N model. Agric. Water Manag. 2012, 112, 21–32. [Google Scholar] [CrossRef]
- Ten Berge, H.F.M.; Hijbeek, R.; Van Loon, M.P.; Rurinda, J.; Tesfaye, K.; Zingore, S.; Craufurd, P.; Van Heerwaarden, J.; Brentrup, F.; Schröder, J.J. Maize crop nutrient input requirements for food security in sub-Saharan Africa. Glob. Food Secur. 2019, 23, 9–21. [Google Scholar] [CrossRef]
- Giletto, C.M.; Echeverría, H.E. Nitrogen balance for potato crops in the southeast pampas region, Argentina. Nutr. Cycl. Agroecosyst. 2013, 95, 73–86. [Google Scholar] [CrossRef]
- Wang, Z.; Nie, T.; Lu, D.; Zhang, P.; Li, J.; Li, F.; Zhang, Z.; Chen, P.; Jiang, L.; Dai, C.; et al. Effects of Different Irrigation Management and Nitrogen Rate on Sorghum (Sorghum bicolor L.) Growth, Yield and Soil Nitrogen Accumulation with Drip Irrigation. Agronomy 2024, 14, 215. [Google Scholar] [CrossRef]
- Badr, M.A.; Abou Hussein, S.D.; El-Tohamy, W.A.; Gruda, N. Nutrient uptake and yield of tomato under various methods of fertilizer application and levels of fertigation in arid lands. Gesunde Pflanz. 2010, 62, 11–19. [Google Scholar] [CrossRef]
- Dong, Q.; Dang, T.; Guo, S.; Hao, M. Effect of different mulching measures on nitrate nitrogen leaching in spring maize planting system in south of Loess Plateau. Agric. Water Manag. 2019, 213, 654–658. [Google Scholar] [CrossRef]
- Chen, P.; Nie, T.; Chen, S.; Zhang, Z.; Qi, Z.; Liu, W. Recovery efficiency and loss of 15N-labelled urea in a rice-soil system under water saving irrigation in the Songnen Plain of Northeast China. Agric. Water Manag. 2019, 222, 139–153. [Google Scholar] [CrossRef]
- Yan, J.; Zhang, N.; Kang, F.; Wang, J.; Wang, X. Cultivar replacement increases water use efficiency in foxtail millet in Shaanxi Province, China. Plant Physiol. Biochem. 2021, 164, 73–81. [Google Scholar] [CrossRef] [PubMed]
- Rathore, S.S.; Babu, S.; Singh, V.K.; Shekhawat, K.; Singh, R.K.; Upadhyay, P.K.; Hashim, M.; Sharma, K.C.; Jangir, R.; Singh, R. Sulfur Sources Mediated the Growth, Productivity, and Nutrient Acquisition Ability of Pearlmillet–Mustard Cropping Systems. Sustainability 2022, 14, 14857. [Google Scholar] [CrossRef]
- Liu, Y.; Bai, M.; Shen, F.; Wu, Z.; Yang, J.; Li, N.; Liu, H.; Dai, J.; Han, X. Enhancing Soybean and Maize Yields through Improved Nitrogen and Soil Water Use Efficiencies: A 40-Year Study on the Impact of Farmyard Manure Amendment in Northeast China. Plants 2024, 13, 500. [Google Scholar] [CrossRef] [PubMed]
- Lu, J.; Bai, Z.; Velthof, G.L.; Wu, Z.; Chadwick, D.; Ma, L. Accumulation and leaching of nitrate in soils in wheat-maize production in China. Agric. Water Manag. 2019, 212, 407–415. [Google Scholar] [CrossRef]







| Factors | Plant Height | Stem Diameter | LAI | Aboveground Biomass | ||||
|---|---|---|---|---|---|---|---|---|
| 2021 | 2022 | 2021 | 2022 | 2021 | 2022 | 2021 | 2022 | |
| Irrigation lower limit | ** | ** | ** | ** | ** | ** | ** | ** |
| Nitrogen fertilizer amount | ** | ** | ** | ** | ** | ** | ** | ** |
| Irrigation lower limit × nitrogen fertilizer amount | ** | ** | ** | ** | ns | ns | ** | ** |
| Factors | Spike Diameter | Spike Length | Spike Weight | Yield | ||||
|---|---|---|---|---|---|---|---|---|
| 2021 | 2022 | 2021 | 2022 | 2021 | 2022 | 2021 | 2022 | |
| Irrigation lower limit | ** | ** | ** | ns | ** | ** | ** | ** |
| Nitrogen fertilizer amount | ** | ** | ** | ** | ** | ** | ** | ** |
| Irrigation lower limit × nitrogen fertilizer amount | * | ** | ns | ns | ** | ** | ** | ** |
| Factors | WUE | AEN | PFPN | NO3−-N Accumulation | NH4+-N Accumulation | |||||
|---|---|---|---|---|---|---|---|---|---|---|
| 2021 | 2022 | 2021 | 2022 | 2021 | 2022 | 2021 | 2022 | 2021 | 2022 | |
| Irrigation lower limit | ** | ** | ** | ** | ** | ** | ** | ** | ** | ** |
| Nitrogen fertilizer amount | ** | ** | ** | ** | ** | ** | ** | ** | ** | ** |
| Irrigation lower limit × nitrogen fertilizer amount | ns | * | ** | ** | ** | ** | ns | ** | ** | * |
| Response Variable | Regression Equations | R2 |
|---|---|---|
| Yield | z = −3170.44 + 13.23 × x + 320.89 × y + 0.29 × x × y − 0.16 × x2 − 2.42 × y2 | 0.86 |
| PFPN | z = 130.01 − 1.91 × x + 2.86 × y − 0.36 × 10−3 × x × y + 0.0046 x2 − 0.18 × 10−1 × y2 | 0.99 |
| AEN | z = −28.44 + 0.19 × x + 0.85 × y − 0.55 × 10−3 × x × y−0.95 × 10−3 × x2−0.55 × 10−2 × y2 | 0.97 |
| WUE | z = 17.77 + 9.29 × 10−3 × x + 0.12 × y + 0.42 × 10−4 × x × y−0.65 × 10−4 × x2 − 0.87 × 10−3 × y2 | 0.92 |
| Items | Value |
|---|---|
| Field capacity (%) | 30.93 |
| Total N content (g·kg−1) | 0.27 |
| Soil organic matter content (g·kg−1) | 32.2 |
| Total P content (g·kg−1) | 1.07 |
| Available phosphorus content (mg·kg−1) | 24.81 |
| Available potassium content (mg·kg−1) | 262.22 |
| pH | 7.12 |
| Soil texture | Loamy soil |
Disclaimer/Publisher’s Note: The statements, opinions and data contained in all publications are solely those of the individual author(s) and contributor(s) and not of MDPI and/or the editor(s). MDPI and/or the editor(s) disclaim responsibility for any injury to people or property resulting from any ideas, methods, instructions or products referred to in the content. |
© 2024 by the authors. Licensee MDPI, Basel, Switzerland. This article is an open access article distributed under the terms and conditions of the Creative Commons Attribution (CC BY) license (https://creativecommons.org/licenses/by/4.0/).
Share and Cite
Nie, T.; Li, J.; Jiang, L.; Zhang, Z.; Chen, P.; Li, T.; Dai, C.; Sun, Z.; Yin, S.; Wang, M. Optimizing Irrigation and Nitrogen Application to Enhance Millet Yield, Improve Water and Nitrogen Use Efficiency and Reduce Inorganic Nitrogen Accumulation in Northeast China. Plants 2024, 13, 3067. https://doi.org/10.3390/plants13213067
Nie T, Li J, Jiang L, Zhang Z, Chen P, Li T, Dai C, Sun Z, Yin S, Wang M. Optimizing Irrigation and Nitrogen Application to Enhance Millet Yield, Improve Water and Nitrogen Use Efficiency and Reduce Inorganic Nitrogen Accumulation in Northeast China. Plants. 2024; 13(21):3067. https://doi.org/10.3390/plants13213067
Chicago/Turabian StyleNie, Tangzhe, Jianfeng Li, Lili Jiang, Zhongxue Zhang, Peng Chen, Tiecheng Li, Changlei Dai, Zhongyi Sun, Shuai Yin, and Mengxue Wang. 2024. "Optimizing Irrigation and Nitrogen Application to Enhance Millet Yield, Improve Water and Nitrogen Use Efficiency and Reduce Inorganic Nitrogen Accumulation in Northeast China" Plants 13, no. 21: 3067. https://doi.org/10.3390/plants13213067
APA StyleNie, T., Li, J., Jiang, L., Zhang, Z., Chen, P., Li, T., Dai, C., Sun, Z., Yin, S., & Wang, M. (2024). Optimizing Irrigation and Nitrogen Application to Enhance Millet Yield, Improve Water and Nitrogen Use Efficiency and Reduce Inorganic Nitrogen Accumulation in Northeast China. Plants, 13(21), 3067. https://doi.org/10.3390/plants13213067

