Evaluation on the Efficacy of Farrerol in Inhibiting Shoot Blight of Larch (Neofusicoccum laricinum)
Abstract
1. Introduction
2. Results
2.1. Identification of Resistant and Susceptible Larch to N. laricinum
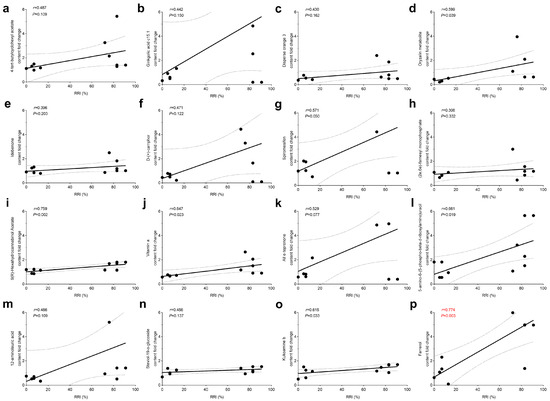
2.2. Identification of 16 Metabolites in Resistant Larch
2.3. WGCNA Screened 32 Genes Significantly Related to Farrerol
2.4. Inhibitory Effect of Farrerol on N. laricinum
3. Discussion
4. Materials and Methods
4.1. Materials
4.2. Methods
4.2.1. Verification of Disease Resistance
4.2.2. Larch Metabolomics Assay and Data Analysis
4.2.3. Screening of Genes Associated with Farrerol Based on Weighted Gene Co-Expression Network Analysis
4.2.4. Gene Functional Enrichment Analysis within Candidate Modules
4.2.5. Antifungal Test
5. Conclusions
Author Contributions
Funding
Data Availability Statement
Conflicts of Interest
References
- Farjon, A. A Handbook of the World’s Conifers; Brill: Leiden, The Netherlands, 2010. [Google Scholar]
- Qu, L.; Wang, Y.; Masyagina, O.; Kitaoka, S.; Fujita, S.; Kita, K.; Prokushkin, A.; Koike, T. Larch: A Promising Deciduous Conifer as an Eco-Environmental Resource. In Conifers—Recent Advances; IntechOpen: London, UK, 2022; pp. 1–37. [Google Scholar]
- Osawa, A.; Zyryanova, O.A.; Matsuura, Y.; Kajimoto, T.; Wein, R.W. Permafrost Ecosystems: Siberian Larch Forests; Springer Ecological Studies: Heidelberg, Germany, 2010; Volume 209, p. 502. [Google Scholar]
- Yang, Y.; Wang, Z.; Xu, X. Taxonomy and Distribution of Global Gymnosperms; Science Press of Shanghai: Shanghai, China, 2017. [Google Scholar]
- Zhang, P.; Shao, G.; Zhao, G.; Le Master, D.C.; Parker, G.R.; Dunning, J.B., Jr.; Li, Q. China’s forest policy for the 21st century. Science 2000, 288, 2135–2136. [Google Scholar] [CrossRef]
- Wang, W.; Ling, Q.; Zu, Y.-G.; Su, D.-X.; Jing, A.; Wang, H.-Y.; Zheng, G.-Y.; Sun, W.; Chen, X.-Q. Changes in soil organic carbon, nitrogen, pH and bulk density with the development of larch (Larix gmelinii) plantations in China. Glob. Chang. Biol. 2011, 17, 2657–2676. [Google Scholar]
- Koike, T.; Yazaki, K.; Funada, R.; Maruyama, Y.; Mori, S.; Sasa, K. Forest heath and vitality in northern Japan—A case study on larch plantation. Res. Note Fac. For. Univ. Joensuu 2000, 92, 49–60. [Google Scholar]
- Ryu, K.; Watanabe, M.; Shibata, H.; Takagi, K.; Nomura, M.; Koike, T. Ecophysiological responses of the larch species in northern Japan to environmental changes as a basis for afforestation. Landsc. Ecol. Eng. 2009, 5, 99–106. [Google Scholar] [CrossRef]
- Hattori, Y.; Ando, Y.; Nakashima, C. Taxonomical re-examination of the genus Neofusicoccum in Japan. Mycoscience 2021, 62, 250–259. [Google Scholar] [CrossRef]
- Yokota, S.-I. Ecological studies on Guignardia laricina (Sawada) W. Yamamoto et K. ITO, the causal fungus of the shoot blight of larch trees, and climatic factors influencing the outbreak of the disease. J. Jpn. For. Soc. 1968, 50, 320–324. [Google Scholar]
- Shang, Y. Taxonomic Study on the Pathogen Fungus of Shoot Blight of Larch. Acta Mycol. Sin. 1987, 6, 248–249. [Google Scholar]
- Zhang, X.; Wu, W.; Liang, Y. Analysis of the Potential Distribution of Shoot Blight of Larch in China Based on the Optimized MaxEnt and Biomod2 Ensemble Models. Forests 2024, 15, 1313. [Google Scholar] [CrossRef]
- Nawaz, M.; Sun, J.; Shabbir, S.; Khattak, W.A.; Ren, G.; Nie, X.; Bo, Y.; Javed, Q.; Du, D.; Sonne, C. A review of plants strategies to resist biotic and abiotic environmental stressors. Sci. Total Environ. 2023, 900, 165832. [Google Scholar] [CrossRef]
- Lamalakshmi Devi, E.; Kumar, S.; Basanta Singh, T.; Sharma, S.K.; Beemrote, A.; Devi, C.P.; Chongtham, S.K.; Singh, C.H.; Yumlembam, R.A.; Haribhushan, A.; et al. Adaptation Strategies and Defence Mechanisms of Plants During Environmental Stress. In Medicinal Plants and Environmental Challenges; Springer: Cham, Switzerland, 2017; pp. 359–413. [Google Scholar]
- Kumar, S.; Korra, T.; Thakur, R.; Arutselvan, R.; Kashyap, A.S.; Nehela, Y.; Chaplygin, V.; Minkina, T.; Keswani, C. Role of plant secondary metabolites in defence and transcriptional regulation in response to biotic stress. Plant Stress 2023, 8, 100154. [Google Scholar]
- Tuladhar, P.; Sasidharan, S.; Saudagar, P. 17—Role of phenols and polyphenols in plant defense response to biotic and abiotic stresses. In Biocontrol Agents and Secondary Metabolites; Jogaiah, S., Ed.; Woodhead Publishing: Sawston, UK, 2021; pp. 419–441. [Google Scholar]
- Gao, K.; Zhao, J.; Li, Y.; Chen, J.J.; Qi, W.; Ding, H. Application of farrerol in preparing bactericides. 2011, pp. 1–5. Available online: https://patents.google.com/patent/CN102037964A/en (accessed on 22 October 2024).
- Shi, L.; Feng, X.E.; Cui, J.R.; Fang, L.H.; Du, G.H.; Li, Q.S. Synthesis and biological activity of flavanone derivatives. Bioorg. Med. Chem. Lett. 2010, 20, 5466–5468. [Google Scholar] [CrossRef]
- Peng, W.; Pukkala, T.; Jin, X.; Li, F. Optimal management of larch (Larix olgensis A. Henry) plantations in Northeast China when timber production and carbon stock are considered. Ann. For. Sci. 2018, 75, 63. [Google Scholar] [CrossRef]
- Palmieri, D.; Ianiri, G.; Del Grosso, C.; Barone, G.; De Curtis, F.; Castoria, R.; Lima, G. Advances and Perspectives in the Use of Biocontrol Agents against Fungal Plant Diseases. Horticulturae 2022, 8, 577. [Google Scholar] [CrossRef]
- Clemensen, A.K.; Provenza, F.D.; Hendrickson, J.R.; Grusak, M.A. Ecological Implications of Plant Secondary Metabolites—Phytochemical Diversity Can Enhance Agricultural Sustainability. Front. Sustain. Food Syst. 2020, 4, 547826. [Google Scholar] [CrossRef]
- Qin, X.; Xu, X.; Hou, X.; Liang, R.; Chen, L.; Hao, Y.; Gao, A.; Du, X.; Zhao, L.; Shi, Y.; et al. The pharmacological properties and corresponding mechanisms of farrerol: A comprehensive review. Pharm. Biol. 2022, 60, 9–16. [Google Scholar] [CrossRef]
- Balla, A.; Silini, A.; Cherif-Silini, H.; Chenari Bouket, A.; Moser, W.K.; Nowakowska, J.A.; Oszako, T.; Benia, F.; Belbahri, L. The Threat of Pests and Pathogens and the Potential for Biological Control in Forest Ecosystems. Forests 2021, 12, 1579. [Google Scholar] [CrossRef]
- Liu, Y.; Han, S.; Song, L.; Li, L.; Wang, H.; Pan, M.; Tan, J. Screening of bacterial endophytes of larch against Neofusicoccum laricinum and validation of their safety. Microbiol. Spectr. 2024, 12, e0411223. [Google Scholar] [CrossRef]
- Kaur, S.; Samota, M.K.; Choudhary, M.; Choudhary, M.; Pandey, A.K.; Sharma, A.; Thakur, J. How do plants defend themselves against pathogens-Biochemical mechanisms and genetic interventions. Physiol. Physiol. Mol. Biol. Plants 2022, 28, 485–504. [Google Scholar] [CrossRef]
- Shen, S.; Zhan, C.; Yang, C.; Fernie, A.R.; Luo, J. Metabolomics-centered mining of plant metabolic diversity and function: Past decade and future perspectives. Mol. Plant 2023, 16, 43–63. [Google Scholar] [CrossRef]
- Yang, Z.; Nakabayashi, R.; Okazaki, Y.; Mori, T.; Takamatsu, S.; Kitanaka, S.; Kikuchi, J.; Saito, K. Toward better annotation in plant metabolomics: Isolation and structure elucidation of 36 specialized metabolites from Oryza sativa (rice) by using MS/MS and NMR analyses. Metabolomics 2014, 10, 543–555. [Google Scholar] [CrossRef]
- Deresa, E.M.; Diriba, T.F. Phytochemicals as alternative fungicides for controlling plant diseases: A comprehensive review of their efficacy, commercial representatives, advantages, challenges for adoption, and possible solutions. Heliyon 2023, 9, e13810. [Google Scholar] [CrossRef]
- Zaynab, M.; Fatima, M.; Abbas, S.; Sharif, Y.; Umair, M.; Zafar, M.H.; Bahadar, K. Role of secondary metabolites in plant defense against pathogens. Microb. Pathog. 2018, 124, 198–202. [Google Scholar] [CrossRef]
- Al-Khayri, J.M.; Rashmi, R.; Toppo, V.; Chole, P.B.; Banadka, A.; Sudheer, W.N.; Nagella, P.; Shehata, W.F.; Al-Mssallem, M.Q.; Alessa, F.M.; et al. Plant Secondary Metabolites: The Weapons for Biotic Stress Management. Metabolites 2023, 13, 716. [Google Scholar] [CrossRef]
- Bennett, R.N.; Wallsgrove, R.M. Secondary metabolites in plant defence mechanisms. New Phytol. 1994, 127, 617–633. [Google Scholar] [CrossRef]
- Ray, S.; Mondal, S.; Chowdhury, S.; Kundu, S. Differential responses of resistant and susceptible tomato varieties to inoculation with Alternaria solani. Physiol. Mol. Plant Pathol. 2015, 90, 78–88. [Google Scholar] [CrossRef]
- Ul Haq, I.; Sarwar, M.K.; Faraz, A.; Latif, M.Z. Synthetic Chemicals: Major Component of Plant Disease Management BT. In Plant Disease Management Strategies for Sustainable Agriculture through Traditional and Modern Approaches; Ul Haq, I., Ijaz, S., Eds.; Springer International Publishing: Cham, Switzerland, 2020; pp. 53–81. [Google Scholar]
- Klapwijk, M.J.; Bylund, H.; Schroeder, M.; Björkman, C. Forest management and natural biocontrol of insect pests. For. An. Int. J. For. Res. 2016, 89, 253–262. [Google Scholar] [CrossRef]
- Zhu, G.; Wang, S.; Huang, Z.; Zhang, S.; Liao, Q.; Zhang, C.; Lin, T.; Qin, M.; Peng, M.; Yang, C.; et al. Rewiring of the fruit metabolome in tomato breeding. Cell 2018, 172, 249–261. [Google Scholar] [CrossRef]
- Robotti, E.; Marengo, E. Chemometric multivariate tools for candidate biomarker identification: LDA, PLS-DA, SIMCA, Ranking-PCA. Methods Mol. Biol. 2016, 1384, 237–267. [Google Scholar]





| Index | Name |
|---|---|
| MATE1009 | 4-tert-butylcyclohexyl acetate |
| MATE1224 | Ginkgolic acid c15:1 |
| MATE1432 | Disperse orange 3 |
| MATE2126 | Oryzalin metabolite |
| MATE2455 | Idebenone |
| MATE261 | D-(+)-camphor |
| MATE2651 | Spiromesifen |
| MATE2777 | (2e,6e)-farnesyl monophosphate |
| MATE3234 | 9(R)-Hexahydrocannabinol Acetate |
| MATE3380 | Vitamin a |
| MATE3474 | All e-teprenone |
| MATE3944 | 5-amino-6-(5-phospho-beta-d-ribosylamino)uracil |
| MATE4643 | 12-aminolauric acid |
| MATE853 | Steviol-19-o-glucoside |
| MATE995 | Kukoamine b |
| MATE23 | Farrerol |
Disclaimer/Publisher’s Note: The statements, opinions and data contained in all publications are solely those of the individual author(s) and contributor(s) and not of MDPI and/or the editor(s). MDPI and/or the editor(s) disclaim responsibility for any injury to people or property resulting from any ideas, methods, instructions or products referred to in the content. |
© 2024 by the authors. Licensee MDPI, Basel, Switzerland. This article is an open access article distributed under the terms and conditions of the Creative Commons Attribution (CC BY) license (https://creativecommons.org/licenses/by/4.0/).
Share and Cite
Bruda, E.A.; Xia, R.; Zhang, R.; Wang, H.; Yu, Q.; Hu, M.; Wang, F. Evaluation on the Efficacy of Farrerol in Inhibiting Shoot Blight of Larch (Neofusicoccum laricinum). Plants 2024, 13, 3004. https://doi.org/10.3390/plants13213004
Bruda EA, Xia R, Zhang R, Wang H, Yu Q, Hu M, Wang F. Evaluation on the Efficacy of Farrerol in Inhibiting Shoot Blight of Larch (Neofusicoccum laricinum). Plants. 2024; 13(21):3004. https://doi.org/10.3390/plants13213004
Chicago/Turabian StyleBruda, Evaristo A., Rui Xia, Ruizhi Zhang, Haoru Wang, Qi Yu, Mengyao Hu, and Feng Wang. 2024. "Evaluation on the Efficacy of Farrerol in Inhibiting Shoot Blight of Larch (Neofusicoccum laricinum)" Plants 13, no. 21: 3004. https://doi.org/10.3390/plants13213004
APA StyleBruda, E. A., Xia, R., Zhang, R., Wang, H., Yu, Q., Hu, M., & Wang, F. (2024). Evaluation on the Efficacy of Farrerol in Inhibiting Shoot Blight of Larch (Neofusicoccum laricinum). Plants, 13(21), 3004. https://doi.org/10.3390/plants13213004

