Exploring Novel Genomic Loci and Candidate Genes Associated with Plant Height in Bulgarian Bread Wheat via Multi-Model GWAS
Abstract
1. Introduction
2. Results
2.1. Phenotypic Data Analysis
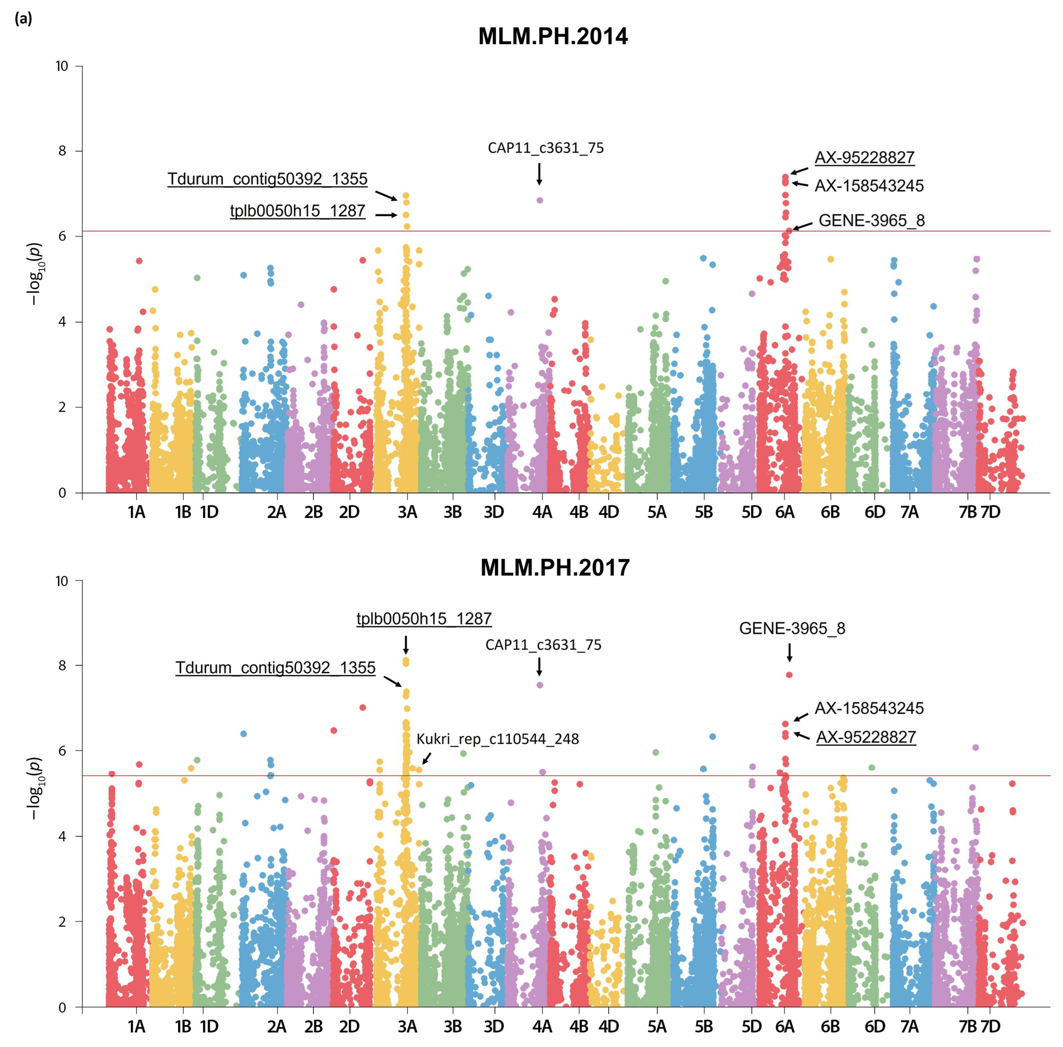
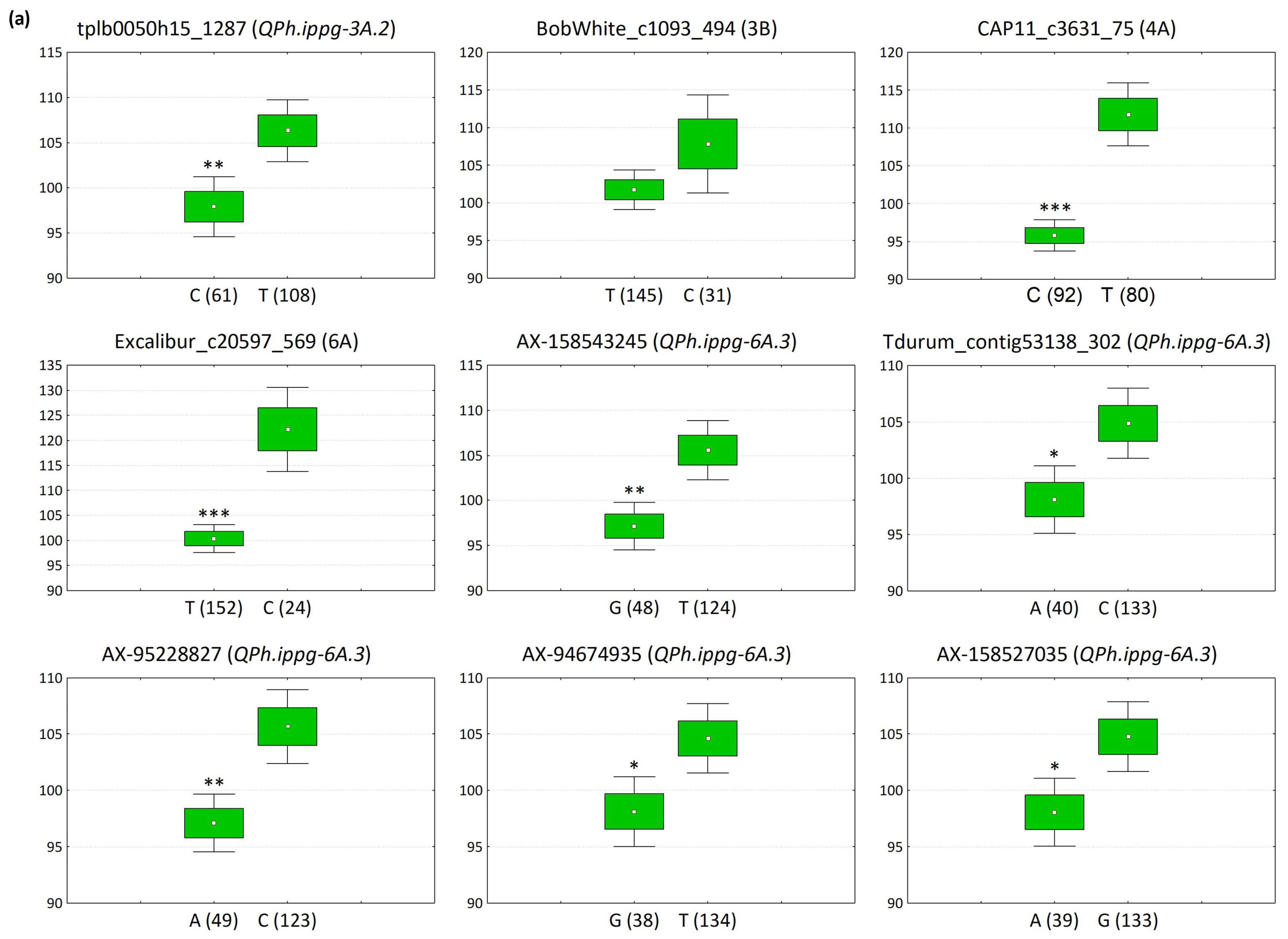
2.2. GWAS Results
2.3. Candidate Genes
3. Discussion
3.1. Phenotypic Variation
3.2. Genomic Loci Significantly Associated with Plant Height in Wheat
3.3. Novel Potential Candidate Genes behind Plant Height in Wheat
3.3.1. Genes Affecting Hormone Biosynthesis and Signaling
3.3.2. Genes Affecting Cell Proliferation and Expansion
3.3.3. Genes Involved in Nutrient Assimilation and Photosynthesis
3.3.4. Genes Enhancing Strength of Wheat Stem
3.3.5. Genes Implicated in Stress Responses
3.3.6. Genes Encoding Regulatory Elements
4. Materials and Methods
4.1. Germplasm
4.2. Experimental Design and Trait Measurements
4.3. Field Experiment Statistical Analyses
4.4. GWAS and Haplotype Analysis
4.5. Candidate Gene Nomination and Expression Analysis
5. Conclusions
Supplementary Materials
Author Contributions
Funding
Data Availability Statement
Acknowledgments
Conflicts of Interest
References
- Schierenbeck, M.; Alqudah, A.M.; Lantos, E.; Avogadro, E.G.; Simón, M.R.; Börner, A. Green Revolution dwarfing Rht genes negatively affected wheat floral traits related to cross-pollination efficiency. Plant J. 2024, 118, 1071–1085. [Google Scholar] [CrossRef] [PubMed]
- Slafer, G.A.; Foulkes, M.J.; Reynolds, M.P.; Murchie, E.H.; Carmo-Silva, E.; Flavell, R.; Gwyn, J.; Sawkins, M.; Griffiths, S. A ‘wiring diagram’ for sink strength traits impacting wheat yield potential. J. Exp. Bot. 2023, 74, 40–71. [Google Scholar] [CrossRef] [PubMed]
- Hedden, P. The genes of the Green Revolution. Trends Genet. 2003, 19, 5–9. [Google Scholar] [CrossRef]
- Busov, V.B.; Brunner, A.M.; Strauss, S.H. Genes for control of plant stature and form. New Phytol. 2008, 177, 589–607. [Google Scholar] [CrossRef]
- Botwright, T.; Rebetzke, G.; Condon, T.; Richards, R. The effect of rht genotype and temperature on coleoptile growth and dry matter partitioning in young wheat seedlings. Funct. Plant Biol. 2001, 28, 417–423. [Google Scholar] [CrossRef]
- Trethowan, R.M.; Singh, R.P.; Huerta-Espino, J.; Crossa, J.; Van Ginkel, M. Coleoptile length variation of near-isogenic Rht lines of modern CIMMYT bread and durum wheats. Field Crops Res. 2001, 70, 167–176. [Google Scholar] [CrossRef]
- Landjeva, S.; Karceva, T.; Korzun, V.; Ganeva, G. Seedling growth under osmotic stress and agronomic traits in Bulgarian semi-dwarf wheat: Comparison of genotypes with Rht8 and/or Rht-B1 genes. Crop Pasture Sci. 2012, 62, 1017–1025. [Google Scholar] [CrossRef]
- Li, S.; Tian, Y.; Wu, K.; Ye, Y.; Yu, J.; Zhang, J.; Liu, Q.; Hu, M.; Li, H.; Tong, Y.; et al. Modulating plant growth–metabolism coordination for sustainable agriculture. Nature 2018, 560, 595–600. [Google Scholar] [CrossRef]
- Rebetzke, G.J.; Richards, R.A.; Fettell, N.A.; Long, M.; Condon, A.G.; Forrester, R.I.; Botwright, T.L. Genotypic increases in coleoptile length improves stand establishment, vigour and grain yield of deep sown wheat. Field Crops Res. 2007, 100, 10–23. [Google Scholar] [CrossRef]
- Jatayev, S.; Sukhikh, I.; Vavilova, V.; Smolenskaya, S.E.; Goncharov, N.P.; Kurishbayev, A.; Zotova, L.; Absattarova, A.; Serikbay, D.; Hu, Y.; et al. Green revolution ‘stumbles’ in a dry environment: Dwarf wheat with Rht genes fails to produce higher grain yield than taller plants under drought. Plant Cell Environ. 2020, 43, 2355–2364. [Google Scholar] [CrossRef]
- Thomas, S.G.; Blázquez, M.A.; Alabadí, D. Della proteins: Master regulators of gibberellin-responsive growth and development. In Annual Plant Reviews, 1st ed.; Hedden, P., Thomas, S.G., Eds.; John Wiley & Sons: Hoboken, NJ, USA, 2016; Volume 49, pp. 189–228. [Google Scholar] [CrossRef]
- Korzun, V.; Röder, M.S.; Ganal, M.W.; Worland, A.J.; Law, C.N. Genetic analysis of the dwarfing gene (Rht8) in wheat. Part I. Molecular mapping of Rht8 on the short arm of chromosome 2D of bread wheat (Triticum aestivum L.). Theor. Appl. Genet. 1998, 96, 1104–1109. [Google Scholar] [CrossRef]
- Chebotar, S.V.; Korzun, V.N.; Sivolap, Y.M. Allele distribution at locus WMS261 marking the dwarfing gene Rht8 in common wheat cultivars of Southern Ukraine. Russ. J. Genet 2001, 37, 894–898. [Google Scholar] [CrossRef]
- Chebotar, G.A.; Motsnyy, I.I.; Chebotar, S.V.; Sivolap, Y.M. Effects of dwarfing genes on the genetic background of wheat varieties in southern Ukraine. Cytol. Genet. 2012, 46, 366–372. [Google Scholar] [CrossRef]
- Ganeva, G.; Korzun, V.; Landjeva, S.; Tsenov, N.; Atanasova, M. Identification, distribution and effects on agronomic traits of the semi-dwarfing Rht alleles in Bulgarian common wheat cultivars. Euphytica 2005, 145, 305–315. [Google Scholar] [CrossRef]
- Liu, Y.; Liu, D.; Zhang, H.; Wang, J.; Sun, J.; Guo, X.; Zhang, A. Allelic variation, sequence determination and microsatellite screening at the XGWM261 locus in Chinese hexaploid wheat (Triticum aestivum) varieties. Euphytica 2005, 145, 103–112. [Google Scholar] [CrossRef]
- Kobiljski, B.; Denčić, S.; Pilipović, J. Molecular screening of domestic germplasm for allelic variants at the dwarfing gene Rht8 locus in wheat. Genetika 2006, 38, 67–74. [Google Scholar] [CrossRef]
- Gasperini, D.; Greenland, A.; Hedden, P.; Dreos, R.; Harwood, W.; Griffiths, S. Genetic and physiological analysis of Rht8 in bread wheat: An alternative source of semi-dwarfism with a reduced sensitivity to brassinosteroids. J. Exp. Bot. 2012, 63, 4419. [Google Scholar] [CrossRef] [PubMed]
- Chai, L.; Xin, M.; Dong, C.; Chen, Z.; Zhai, H.; Zhuang, J.; Cheng, X.; Wang, N.; Geng, J.; Wang, X.; et al. A natural variation in Ribonuclease H-like gene underlies Rht8 to confer “Green Revolution” trait in wheat. Mol. Plant 2022, 15, 377–380. [Google Scholar] [CrossRef] [PubMed]
- Xiong, H.; Zhou, C.; Fu, M.; Guo, H.; Xie, Y.; Zhao, L.; Gu, J.; Zhao, Y.D.; Li, Y.; Zhang, J.; et al. Cloning and functional characterization of Rht8, a “Green Revolution” replacement gene in wheat. Mol. Plant 2022, 15, 373–376. [Google Scholar] [CrossRef]
- Würschum, T.; Langer, S.M.; Longin, C.F.H.; Tucker, M.R.; Leiser, W.L. A modern Green Revolution gene for reduced height in wheat. Plant J. 2017, 92, 892–903. [Google Scholar] [CrossRef]
- Miedaner, T.; Lenhardt, M.; Grehl, J.; Gruner, P.; Koch, S. Dwarfing gene Rht24 does not affect Fusarium head blight resistance in a large European winter wheat diversity panel. Euphytica 2022, 218, 73. [Google Scholar] [CrossRef]
- Tian, X.; Xia, X.; Xu, D.; Liu, Y.; Xie, L.; Hassan, M.A.; Song, J.; Li, F.; Wang, D.; Zhang, Y.; et al. Rht24b, an ancient variation of TaGA2ox-A9, reduces plant height without yield penalty in wheat. New Phytol. 2022, 233, 738–750. [Google Scholar] [CrossRef] [PubMed]
- Mo, Y.; Vanzetti, L.S.; Hale, I.; Spagnolo, E.J.; Guidobaldi, F.; Al-Oboudi, J.; Odle, N.; Pearce, S.; Helguera, M.; Dubcovsky, J. Identification and characterization of Rht25, a locus on chromosome arm 6AS affecting wheat plant height, heading time, and spike development. Theor. Appl. Genet. 2018, 131, 2021–2035. [Google Scholar] [CrossRef] [PubMed]
- Song, J.; Li, L.; Liu, B.; Dong, Y.; Dong, Y.; Li, F.; Liu, S.; Luo, X.; Sun, M.; Ni, Z.; et al. Fine mapping of reduced height locus RHT26 in common wheat. Theor. Appl. Genet. 2023, 136, 62. [Google Scholar] [CrossRef] [PubMed]
- Zhang, J.; Li, C.; Zhang, W.; Zhang, X.; Mo, Y.; Tranquilli, G.E.; Vanzetti, L.S.; Dubcovsky, J. Wheat plant height locus RHT25 encodes a PLATZ transcription factor that interacts with DELLA (RHT1). Proc. Nat. Acad. Sci. USA 2023, 120, e2300203120. [Google Scholar] [CrossRef]
- Xu, D.; Jia, C.; Lyu, X.; Yang, T.; Qin, H.; Wang, Y.; Hao, Q.; Liu, W.; Dai, X.; Zeng, J. In silico curation of QTL-rich clusters and candidate gene identification for plant height of bread wheat. Crop J. 2023, 11, 1480–1490. [Google Scholar] [CrossRef]
- Maccaferri, M.; Bruschi, M.; Tuberosa, R. Sequence-based marker assisted selection in wheat. In Wheat Improvement. Food Security in a Changing Climate; Reynolds, M.P., Braun, H.-J., Eds.; Springer: Cham, Switzerland, 2022; Chapter 28; pp. 513–538. [Google Scholar] [CrossRef]
- Aleksandrov, V.; Kartseva, T.; Alqudah, A.M.; Kocheva, K.; Tasheva, K.; Börner, A.; Misheva, S. Genetic diversity, linkage disequilibrium and population structure of Bulgarian bread wheat assessed by genome-wide distributed SNP markers: From old germplasm to semi-dwarf cultivars. Plants 2021, 10, 1116. [Google Scholar] [CrossRef]
- Kartseva, T.; Aleksandrov, V.; Alqudah, A.M.; Arif, M.A.R.; Kocheva, K.; Doneva, D.; Prokopova, K.; Börner, A.; Misheva, S. GWAS in a Collection of Bulgarian old and modern bread wheat accessions uncovers novel genomic loci for grain protein content and thousand kernel weight. Plants 2024, 13, 1084. [Google Scholar] [CrossRef]
- Bapela, T.; Shimelis, H.; Tsilo, T.J.; Mathew, I. genetic improvement of wheat for drought tolerance: Progress, challenges and opportunities. Plants 2022, 11, 1331. [Google Scholar] [CrossRef]
- Vassileva, V.; Georgieva, M.; Zehirov, G.; Dimitrova, A. Exploring the genotype-dependent toolbox of wheat under drought stress. Agriculture 2023, 13, 1823. [Google Scholar] [CrossRef]
- Tsenov, N.; Stoeva, I.; Atanasova, D. Breeding of end-use quality of winter wheat in Dobrudzha Agricultural Research Institute—Present and prospects. Field Crops Stud. 2010, 6, 217–234. (In Bulgarian) [Google Scholar]
- Uhr, Z.; Dobrikova, A.; Borisova, P.; Yotsova, E.; Dimitrov, E.; Chipilsky, R.; Popova, A.V. Assessment of drought tolerance of eight varieties of common winter wheat—A comparative study. Bulg. J. Agric. Sci. 2022, 28, 668–676. [Google Scholar]
- Vasileva, E.; Angelova, T.; Uhr, Z.; Dimitrov, E.; Andonov, B. Characterization of newly created common winter wheat (Triticum aestivum) genotypes in terms of economic and technological qualities under varying crop parameters. J. Mt. Agric. Balk 2023, 26, 109–135. [Google Scholar]
- Georgieva, V.; Kazandjiev, V.; Bozhanova, V.; Mihova, G.; Ivanova, D.; Todorovska, E.; Uhr, Z.; Ilchovska, M.; Sotirov, D.; Malasheva, P. Climatic changes—A challenge for the Bulgarian farmers. Agriculture 2022, 12, 2090. [Google Scholar] [CrossRef]
- Xu, D.; Bian, Y.; Luo, X.; Jia, C.; Hao, Q.; Tian, X.; Cao, Q.; Chen, W.; Ma, W.; Ni, Z.; et al. Dissecting pleiotropic functions of the wheat Green Revolution gene Rht-B1b in plant morphogenesis and yield formation. Development 2023, 150, dev201601. [Google Scholar] [CrossRef]
- Bellucci, A.; Torp, A.M.; Bruun, S.; Magid, J.; Andersen, S.B.; Rasmussen, S.K. Association mapping in Scandinavian winter wheat for yield, plant height, and traits important for second-generation bioethanol production. Front. Plant Sci. 2015, 6, 1046. [Google Scholar] [CrossRef]
- Daba, S.D.; Tyagi, P.; Brown-Guedira, G.; Mohammadi, M. Genome-wide association study in historical and contemporary US winter wheats identifies height-reducing loci. Crop J. 2020, 8, 243–251. [Google Scholar] [CrossRef]
- Muhammad, A.; Li, J.; Hu, W.; Yu, J.; Khan, S.U.; Khan, M.H.U.; Xie, G.; Wang, J.; Wang, L. Uncovering genomic regions controlling plant architectural traits in hexaploid wheat using different GWAS models. Sci. Rep. 2021, 11, 6767. [Google Scholar] [CrossRef]
- Chebotar, G.O.; Chebotar, S.V.; Motsnyy, I.I.; Sivolap, Y.M. Clarification of the Rht8–Ppd_D1 gene linkage on the 2D chromosome of winter bread wheat. Cytol. Genet. 2013, 47, 70–74. [Google Scholar] [CrossRef][Green Version]
- Chen, Y.; Xiong, H.; Ravelombola, W.; Bhattarai, G.; Barickman, C.; Alatawi, I.; Phiri, T.M.; Chiwina, K.; Mou, B.; Tallury, S.; et al. A genome-wide association study reveals region associated with seed protein content in cowpea. Plants 2023, 12, 2705. [Google Scholar] [CrossRef]
- Uffelmann, E.; Huang, Q.Q.; Munung, N.S.; De Vries, J.; Okada, Y.; Martin, A.R.; Martin, H.C.; Lappalainen, T.; Posthuma, D. Genome-wide association studies. Nat. Rev. Methods Primers 2021, 1, 59. [Google Scholar] [CrossRef]
- Zanke, C.D.; Ling, J.; Plieske, J.; Kollers, S.; Ebmeyer, E.; Korzun, V.; Argillier, O.; Stiewe, G.; Hinze, M.; Neumann, K.; et al. Whole genome association mapping of plant height in winter wheat (Triticum aestivum L.). PLoS ONE 2014, 9, e113287. [Google Scholar] [CrossRef] [PubMed]
- Sukumaran, S.; Dreisigacker, S.; Lopes, M.; Chavez, P.; Reynolds, M.P. Genome-wide association study for grain yield and related traits in an elite spring wheat population grown in temperate irrigated environments. Theor. Appl. Genet. 2015, 128, 353–363. [Google Scholar] [CrossRef] [PubMed]
- Würschum, T.; Langer, S.M.; Longin, C.F.H. Genetic control of plant height in European winter wheat cultivars. Theor. Appl. Genet. 2015, 128, 865–874. [Google Scholar] [CrossRef]
- Rahimi, Y.; Bihamta, M.R.; Taleei, A.; Alipour, H.; Ingvarsson, P.K. Genome-wide association study of agronomic traits in bread wheat reveals novel putative alleles for future breeding programs. BMC Plant Biol. 2019, 19, 541. [Google Scholar] [CrossRef]
- Jung, W.J.; Lee, Y.J.; Kang, C.S.; Seo, Y.W. Identification of genetic loci associated with major agronomic traits of wheat (Triticum aestivum L.) based on genome-wide association analysis. BMC Plant Biol. 2021, 21, 418. [Google Scholar] [CrossRef]
- Martinez, A.F.; Lister, C.; Freeman, S.; Ma, J.; Berry, S.; Wingen, L.; Griffiths, S. Resolving a QTL complex for height, heading, and grain yield on chromosome 3A in bread wheat. J. Exp. Bot. 2021, 72, 2965–2978. [Google Scholar] [CrossRef] [PubMed]
- Borrill, P.; Mago, R.; Xu, T.; Ford, B.; Williams, S.J.; Derkx, A.; Bovill, W.D.; Hyles, J.; Bhatt, D.; Xia, X.; et al. An autoactive NB-LRR gene causes Rht13 dwarfism in wheat. Proc. Nat. Acad. Sci. USA 2022, 119, e2209875119. [Google Scholar] [CrossRef]
- Lephuthing, M.C.; Khumalo, T.P.; Tolmay, V.L.; Dube, E.; Tsilo, T.J. Genetic mapping of quantitative trait loci associated with plant height and yield component traits in a wheat (Triticum aestivum L.) doubled haploid population derived from Tugela-DN× Elands. Agronomy 2022, 12, 2283. [Google Scholar] [CrossRef]
- Liu, H.; Shi, Z.; Ma, F.; Xu, Y.; Han, G.; Zhang, J.; Liu, D.; An, D. Identification and validation of plant height, spike length and spike compactness loci in common wheat (Triticum aestivum L.). BMC Plant Biol. 2022, 22, 568. [Google Scholar] [CrossRef]
- Qiao, L.; Zhang, X.; Li, X.; Yang, Z.; Li, R.; Jia, J.; Yan, L.; Chang, Z. Genetic incorporation of genes for the optimal plant architecture in common wheat. Mol. Breed. 2022, 42, 66. [Google Scholar] [CrossRef] [PubMed]
- Horváth, Á.; Kiss, T.; Berki, Z.; Horváth, Á.D.; Balla, K.; Cseh, A.; Veisz, O.; Karsai, I. Effects of genetic components of plant development on yield-related traits in wheat (Triticum aestivum L.) under stress-free conditions. Front. Plant Sci. 2023, 13, 1070410. [Google Scholar] [CrossRef]
- Liu, Y.; Shen, K.; Yin, C.; Xu, X.; Yu, X.; Ye, B.; Sun, Z.; Dong, J.; Bi, A.; Zhao, X.; et al. Genetic basis of geographical differentiation and breeding selection for wheat plant architecture traits. Genome Biol. 2023, 24, 114. [Google Scholar] [CrossRef]
- Ma, F.; Xu, Y.; Wang, R.; Tong, Y.; Zhang, A.; Liu, D.; An, D. Identification of major QTLs for yield-related traits with improved genetic map in wheat. Front. Plant Sci. 2023, 14, 1138696. [Google Scholar] [CrossRef] [PubMed]
- Tian, Y.; Liu, P.; Cui, F.; Xu, H.; Han, X.; Nie, Y.; Kong, D.; Sang, W.; Li, W. Genome-wide association study for yield and yield-related traits in Chinese spring wheat. Agronomy 2023, 13, 2784. [Google Scholar] [CrossRef]
- Tyrka, M.; Krajewski, P.; Bednarek, P.T.; Rączka, K.; Drzazga, T.; Matysik, P.; Martofel, R.; Woźna-Pawlak, U.; Jasińska, D.; Niewińska, M.; et al. Genome-wide association mapping in elite winter wheat breeding for yield improvement. J. Appl. Genet. 2023, 64, 377–391. [Google Scholar] [CrossRef]
- Ellis, M.H.; Rebetzke, G.J.; Azanza, F.; Richards, R.A.; Spielmeyer, W. Molecular mapping of gibberellin-responsive dwarfing genes in bread wheat. Theor. Appl. Genet. 2005, 111, 423–430. [Google Scholar] [CrossRef] [PubMed]
- Haque, M.; Martinek, P.; Watanabe, N.; Kuboyama, T. Genetic mapping of gibberellic acid-sensitive genes for semi-dwarfism in durum wheat. Cereal Res. Commun. 2011, 39, 171–178. [Google Scholar] [CrossRef]
- González, F.G.; Slafer, G.A.; Miralles, D.J. Grain and floret number in response to photoperiod during stem elongation in fully and slightly vernalized wheats. Field Crops Res. 2003, 81, 17–27. [Google Scholar] [CrossRef]
- Chen, Y.; Carver, B.F.; Wang, S.; Zhang, F.; Yan, L. Genetic loci associated with stem elongation and winter dormancy release in wheat. Theor. Appl. Genet. 2009, 118, 881–889. [Google Scholar] [CrossRef]
- Korzun, V.; Röder, M.; Worland, A.J.; Börner, A. Mapping of the dwarfing (Rht12) and vernalisation response (Vrn1) genes in wheat by using RFLP and microsatellite markers. Plant Breed. 1997, 116, 227–232. [Google Scholar] [CrossRef]
- Flintham, J.E.; Börner, A.; Worland, A.J.; Gale, M.D. Optimizing wheat grain yield: Effects of Rht (gibberellin-insensitive) dwarfing genes. J. Agric. Sci. 1997, 128, 11–25. [Google Scholar] [CrossRef]
- Brinton, J.; Ramirez-Gonzalez, R.H.; Simmonds, J.; Wingen, L.; Orford, S.; Griffiths, S.; Haberer, G.; Spannagl, M.; Walkowak, S.; Pozniak, C.; et al. A haplotype-led approach to increase the precision of wheat breeding. Commun. Biol. 2020, 3, 712. [Google Scholar] [CrossRef]
- Ayalew, H.; Sorrells, M.E.; Carver, B.F.; Baenziger, P.S.; Ma, X.-F. Selection signatures across seven decades of hard winter wheat breeding in the Great Plains of the United States. Plant Genome 2020, 13, e20032. [Google Scholar] [CrossRef] [PubMed]
- Huot, B.; Yao, J.; Montgomery, B.L.; He, S.Y. Growth–defense tradeoffs in plants: A balancing act to optimize fitness. Mol. Plant 2014, 7, 1267–1287. [Google Scholar] [CrossRef]
- Hu, J.H.; Mitchum, M.G.; Barnaby, N.; Ayele, B.T.; Ogawa, M.; Nam, E.; Lai, W.; Hanada, A.; Alonso, J.M.; Ecker, J.R.; et al. Potential sites of bioactive gibberellin production during reproductive growth in Arabidopsis. Plant Cell 2008, 20, 320–336. [Google Scholar] [CrossRef]
- Wang, T.; Li, J.; Jiang, Y.; Zhang, J.; Ni, Y.; Zhang, P.; Yao, Z.; Jiao, Z.; Li, H.; Li, L.; et al. Wheat gibberellin oxidase genes and their functions in regulating tillering. PeerJ 2023, 11, e15924. [Google Scholar] [CrossRef]
- Barboza, L.; Effgen, S.; Alonso-Blanco, C.; Kooke, R.; Keurentjes, J.J.; Koornneef, M.; Alcázar, R. Arabidopsis semidwarfs evolved from independent mutations in GA20ox1, ortholog to green revolution dwarf alleles in rice and barley. Proc. Nat. Acad. Sci. USA 2013, 110, 15818–15823. [Google Scholar] [CrossRef]
- Spielmeyer, W.; Ellis, M.H.; Chandler, P.M. Semidwarf (sd-1), “green revolution” rice, contains a defective gibberellin 20-oxidase gene. Proc. Nat. Acad. Sci. USA 2002, 99, 9043–9048. [Google Scholar] [CrossRef]
- Jia, Q.; Zhang, J.; Westcott, S.; Zhang, X.Q.; Bellgard, M.; Lance, R.; Li, C. GA-20 oxidase as a candidate for the semidwarf gene sdw1/denso in barley. Funct. Integr. Genom. 2009, 9, 255–262. [Google Scholar] [CrossRef]
- Buss, W.; Ford, B.A.; Foo, E.; Schnippenkoetter, W.; Borrill, P.; Brooks, B.; Ashton, A.R.; Chandler, P.M.; Spielmeyer, W. Overgrowth mutants determine the causal role of gibberellin GA2oxidaseA13 in Rht12 dwarfism of wheat. J. Exp. Bot. 2020, 71, 7171–7178. [Google Scholar] [CrossRef] [PubMed]
- Ford, B.A.; Foo, E.; Sharwood, R.; Karafiatova, M.; Vrána, J.; MacMillan, C.; Nichols, D.S.; Steuernagel, B.; Uauy, C.; Doležel, J. Rht18 semidwarfism in wheat is due to increased GA 2-oxidaseA9 expression and reduced GA content. Plant Physiol. 2018, 177, 168–180. [Google Scholar] [CrossRef] [PubMed]
- Helliwell, C.A.; Chandler, P.M.; Poole, A.; Dennis, E.S.; Peacock, W.J. The CYP88A cytochrome P450, ent-kaurenoic acid oxidase, catalyzes three steps of the gibberellin biosynthesis pathway. Proc. Natl. Acad. Sci. USA 2001, 98, 2065–2070. [Google Scholar] [CrossRef]
- Tanabe, S.; Ashikari, M.; Fujioka, S.; Takatsuto, S.; Yoshida, S.; Yano, M.; Yoshimura, A.; Kitano, H.; Matsuoka, M.; Fijisawa, Y.; et al. A novel cytochrome P450 is implicated in brassinosteroid biosynthesis via the characterization of a rice dwarf mutant, dwarf11, with reduced seed length. Plant Cell 2005, 17, 776–790. [Google Scholar] [CrossRef] [PubMed]
- Ramamoorthy, R.; Jiang, S.Y.; Ramachandran, S. Oryza sativa cytochrome P450 family member OsCYP96B4 reduces plant height in a transcript dosage dependent manner. PLoS ONE 2011, 6, e28069. [Google Scholar] [CrossRef]
- Roosjen, M.; Paque, S.; Weijers, D. Auxin response factors: Output control in auxin biology. J. Exp. Bot. 2018, 69, 179–188. [Google Scholar] [CrossRef] [PubMed]
- Liu, L.; Yahaya, B.S.; Li, J.; Wu, F. Enigmatic role of auxin response factors in plant growth and stress tolerance. Front. Plant Sci. 2024, 15, 1398818. [Google Scholar] [CrossRef]
- Okushima, Y.; Mitina, I.; Quach, H.L.; Theologis, A. AUXIN RESPONSE FACTOR 2 (ARF2): A pleiotropic developmental regulator. Plant J. 2005, 43, 29–46. [Google Scholar] [CrossRef]
- Zhang, L.; Liu, P.; Wu, J.; Qiao, L.; Zhao, G.; Jia, J.; Gao, L.; Wang, J. Identification of a novel ERF gene, TaERF8, associated with plant height and yield in wheat. BMC Plant Biol. 2020, 20, 263. [Google Scholar] [CrossRef]
- del Rıó, L.A.; Javier Corpasa, F.; Barrosob, J.B. Nitric oxide and nitric oxide synthase activity in plants. Phytochemistry 2004, 65, 783–792. [Google Scholar] [CrossRef]
- Astier, J.; Gross, I.; Durne, J. Nitric oxide production in plants: An update. J. Exp. Bot. 2018, 69, 3401–3411. [Google Scholar] [CrossRef] [PubMed]
- Serrano-Mislata, A.; Sablowski, R. The pillars of land plants: New insights into stem development. Curr. Opin. Plant Biol. 2018, 45, 11–17. [Google Scholar] [CrossRef] [PubMed]
- Li, W.; Wen, J.; Song, Y.; Yuan, H.; Sun, B.; Wang, R.; Xu, S. SaRCC1, a Regulator of Chromosome Condensation 1 (RCC1) family protein gene from Spartina alterniflora, negatively regulates salinity stress tolerance in transgenic Arabidopsis. Int. J. Mol. Sci. 2022, 23, 8172. [Google Scholar] [CrossRef]
- Shad, M.A.; Wang, Y.; Zhang, H.; Zhai, S.; Shalmani, A.; Li, Y. Genetic analysis of GEFs and GDIs in rice reveals the roles of OsGEF5, OsGDI1, and OsGEF3 in the regulation of grain size and plant height. Crop J. 2023, 11, 345–360. [Google Scholar] [CrossRef]
- Luptovčiak, I.; Komis, G.; Takáč, T.; Ovečka, M.; Šamaj, J. Katanin: A sword cutting microtubules for cellular, developmental, and physiological purposes. Front. Plant Sci. 2017, 8, 1982. [Google Scholar] [CrossRef]
- Marowa, P.; Ding, A.; Kong, Y. Expansins: Roles in plant growth and potential applications in crop improvement. Plant Cell Rep. 2016, 35, 949–965. [Google Scholar] [CrossRef]
- Cosgrove, D.J. Expanding wheat yields with expansin. New Phytol. 2021, 230, 403–405. [Google Scholar] [CrossRef]
- Gao, Q.; Zhao, M.; Li, F.; Guo, Q.; Xing, S.; Wang, W. Expansins and coleoptile elongation in wheat. Protoplasma 2008, 233, 73–81. [Google Scholar] [CrossRef]
- Boniotti, M.B.; Griffith, M.E. “Cross-talk” between cell division cycle and development in plants. Plant Cell 2002, 14, 11–16. [Google Scholar] [CrossRef]
- Gooding, M.J.; Addisu, M.; Uppal, R.K.; Snape, J.W.; Jones, H.E. Effect of wheat dwarfing genes on nitrogen-use efficiency. J. Agric. Sci. 2012, 150, 3–22. [Google Scholar] [CrossRef]
- Bazhenov, M.S.; Bespalova, L.A.; Kocheshkova, A.A.; Chernook, A.G.; Puzyrnaya, O.Y.; Agaeva, E.V.; Nikitina, E.A.; Igonin, V.N.; Bezhenova, S.S.; Vertikova, E.A.; et al. The association of grain yield and agronomical traits with genes of plant height, photoperiod sensitivity and plastid glutamine synthetase in winter bread wheat (Triticum aestivum L.) Collection. Int. J. Mol. Sci. 2022, 23, 11402. [Google Scholar] [CrossRef] [PubMed]
- Li, X.P.; Zhao, X.Q.; He, X.; Zhao, G.Y.; Li, B.; Liu, D.C.; Zhang, A.M.; Zhong, X.Y.; Tong, Y.P.; Li, Z.S. Haplotype analysis of the genes encoding glutamine synthetase plastic isoforms and their association with nitrogen-use-and yield-related traits in bread wheat. New Phytol. 2011, 189, 449–458. [Google Scholar] [CrossRef] [PubMed]
- Shipman-Roston, R.L.; Ruppel, N.J.; Damoc, C.; Phinney, B.S.; Inoue, K. The significance of protein maturation by plastidic type I signal peptidase 1 for thylakoid development in Arabidopsis chloroplasts. Plant Physiol. 2010, 152, 1297–1308. [Google Scholar] [CrossRef]
- Niu, Y.; Chen, T.; Zhao, C.; Zhou, M. Improving crop lodging resistance by adjusting plant height and stem strength. Agronomy 2021, 11, 2421. [Google Scholar] [CrossRef]
- Hai, L.; Guo, H.; Xiao, S.; Jiang, G.; Zhang, X.; Yan, C.; Xin, Z.; Jia, J. Quantitative trait loci (QTL) of stem strength and related traits in a doubled-haploid population of wheat (Triticum aestivum L.). Euphytica 2005, 141, 1–9. [Google Scholar] [CrossRef]
- Hyles, J.; Vautrin, S.; Pettolino, F.; MacMillan, C.; Stachurski, Z.; Breen, J.; Berges, H.; Wicker, T.; Spielmeyer, W. Repeat-length variation in a wheat cellulose synthase-like gene is associated with altered tiller number and stem cell wall composition. J. Exp. Bot. 2017, 68, 1519–1529. [Google Scholar] [CrossRef]
- Liu, Q.; Zhao, Y.; Rahman, S.; She, M.; Zhang, J.; Yang, R.; Islam, S.; O’Hara, G.; Varshney, R.K.; Liu, H.; et al. The putative vacuolar processing enzyme gene TaVPE3cB is a candidate gene for wheat stem pith-thickness. Theor. Appl. Genet. 2023, 136, 138. [Google Scholar] [CrossRef]
- Parmar, R.; Seth, R.; Singh, P.; Singh, G.; Kumar, S.; Sharma, R.K. Transcriptional profiling of contrasting genotypes revealed key candidates and nucleotide variations for drought dissection in Camellia sinensis (L.) O. Kuntze. Sci. Rep. 2019, 9, 7487. [Google Scholar] [CrossRef] [PubMed]
- Prasad, K.V.; Xing, D.; Reddy, A.S. Vascular plant one-zinc-finger (VOZ) transcription factors are positive regulators of salt tolerance in Arabidopsis. Int. J. Mol. Sci. 2018, 19, 3731. [Google Scholar] [CrossRef]
- Higa-Nishiyama, A.; Ohsato, S.; Banno, S.; Woo, S.H.; Fujimura, M.; Yamaguchi, I.; Kimura, M. Cloning and characterization of six highly similar endo-1, 3-β-glucanase genes in hexaploid wheat. Plant Physiol. Biochem. 2006, 44, 666–673. [Google Scholar] [CrossRef]
- Wang, G.; Cai, G.; Xu, N.; Zhang, L.; Sun, X.; Guan, J.; Meng, Q. Novel DnaJ protein facilitates thermotolerance of transgenic tomatoes. Int. J. Mol. Sci. 2019, 20, 367. [Google Scholar] [CrossRef] [PubMed]
- Guo, H.; Zhang, H.; Wang, G.; Wang, C.; Wang, Y.; Liu, X.; Ji, W. Identification and expression analysis of heat-shock proteins in wheat infected with powdery mildew and stripe rust. Plant Genome 2021, 14, e20092. [Google Scholar] [CrossRef]
- Liu, T.T.; Xu, M.Z.; Gao, S.Q.; Zhang, Y.; Yang, H.U.; Peng, J.I.N.; Cai, L.N.; Cheng, Y.; Chen, J.P.; Yang, J.; et al. Genome-wide identification and analysis of the regulation wheat DnaJ family genes following wheat yellow mosaic virus infection. J. Integr. Agric. 2022, 21, 153–169. [Google Scholar] [CrossRef]
- Chowdhary, A.A.; Mishra, S.; Mehrotra, S.; Upadhyay, S.K.; Bagal, D.; Srivastava, V. Plant transcription factors: An overview of their role in plant life. In Plant Transcription Factors: Contribution in Development, Metabolism, and Environmental Stress; Srivastava, V., Mishra, S., Mehrotra, S., Upadhyay, S.K., Eds.; Academic Press: Cambridge, MA, USA, 2023; pp. 3–20. [Google Scholar] [CrossRef]
- Laurie, S.; Halford, N.G. The role of protein kinases in the regulation of plant growth and development. Plant Growth Regul. 2001, 34, 253–265. [Google Scholar] [CrossRef]
- Bartels, A.; Han, Q.; Nair, P.; Stacey, L.; Gaynier, H.; Mosley, M.; Huang, Q.Q.; Pearson, J.K.; Hsieh, T.F.; An, Y.Q.C.; et al. Dynamic DNA methylation in plant growth and development. Int. J. Mol. Sci. 2018, 19, 2144. [Google Scholar] [CrossRef] [PubMed]
- Ferraz, R.; Coimbra, S.; Correia, S.; Canhoto, J. RNA methyltransferases in plants: Breakthroughs in function and evolution. Plant Physiol. Biochem. 2023, 194, 449–460. [Google Scholar] [CrossRef]
- Börner, A. Preservation of plant genetic resources in the biotechnology era. Biotechnol. J. 2006, 1, 1393–1404. [Google Scholar] [CrossRef]
- Zheleva, D.; Todorovska, E.; Jacquemin, J.M.; Atanassov, A.; Christov, N.; Panayotov, I.; Tsenov, N. Allele distribution at microsatellite locus Xgwm 261 marking the dwarfing gene rht8 in hexaploid wheat from Bulgarian and Belgian gene bank collections and its application in breeding programs. Biotechnol. Biotechnol. Equip. 2006, 20, 45–56. [Google Scholar] [CrossRef][Green Version]
- Worland, A.J. Gibberellic acid insensitive dwarfing genes in Southern European wheats. Euphytica 1986, 35, 857–866. [Google Scholar] [CrossRef]
- Ellis, M.; Spielmeyer, W.; Gale, K.; Rebetzke, G.; Richards, R. “Perfect” markers for the Rht-B1b and Rht-D1b dwarfing genes in wheat. Theor. Appl. Genet. 2002, 105, 1038–1042. [Google Scholar] [CrossRef]
- Wang, J.; Zhang, Z. GAPIT Version 3: Boosting Power and Accuracy for Genomic Association and Prediction. Genom. Proteom. Bioinform. 2021, 19, 629–640. [Google Scholar] [CrossRef] [PubMed]
- StatSoft Inc. STATISTICA; Version 14; StatSoft Inc.: Tulsa, OK, USA, 2020. [Google Scholar]
- VanRaden, P.M. Efficient methods to compute genomic predictions. J. Dairy Sci. 2008, 91, 4414–4423. [Google Scholar] [CrossRef] [PubMed]
- Yu, J.; Pressoir, G.; Briggs, W.; Bi, I.V.; Yamasaki, M.; Doebley, J.F.; McMullen, M.D.; Gaut, B.S.; Nielsen, D.M.; Holland, J.B.; et al. A unified mixed-model method for association mapping that accounts for multiple levels of relatedness. Nat. Genet. 2006, 38, 203–208. [Google Scholar] [CrossRef]
- Benjamini, Y.; Hochberg, Y. Controlling the false discovery rate: A practical and powerful approach to multiple testing. J. R. Stat. Soc. Ser. B (Methodol.) 1995, 57, 289–300. [Google Scholar] [CrossRef]
- Liu, X.; Huang, M.; Fan, B.; Buckler, E.S.; Zhang, Z. Iterative usage of fixed and random effect models for powerful and efficient genome-wide association studies. PLoS Genet. 2016, 12, e1005767. [Google Scholar] [CrossRef]
- Huang, M.; Liu, X.; Zhou, Y.; Summers, R.M.; Zhang, Z. BLINK: A package for the next level of genome-wide association studies with both individuals and markers in the millions. Gigascience 2019, 8, giy154. [Google Scholar] [CrossRef]
- Narawatthana, S.; Phansenee, Y.; Thammasamisorn, B.O.; Vejchasarn, P. Multi-model genome-wide association studies of leaf anatomical traits and vein architecture in rice. Front. Plant Sci. 2023, 14, 1107718. [Google Scholar] [CrossRef]
- Turner, S. qqman: An R package for visualizing GWAS results using Q–Q and manhattan plots. J. Open Source Softw. 2018, 3, 731. [Google Scholar] [CrossRef]
- Alaux, M.; Rogers, G.; Letellier, T.; Flores, R.; Alfama, F.; Pommier, C.; Mohellibi, N.; Durand, S.; Kimmel, E.; Michotey, C.; et al. Linking the International Wheat Genome Sequencing Consortium bread wheat reference genome sequence to wheat genetic and phenomic data. Genome Biol. 2018, 19, 111. [Google Scholar] [CrossRef]
- Borrill, P.; Ramírez-González, R.H.; Uauy, C. expVIP: A Customizable RNA-seq Data Analysis and Platform Visualization. Plant. Physiol. 2016, 170, 2172–2186. [Google Scholar] [CrossRef]
- Ramírez-González, R.H.; Borrill, P.; Lang, D.; Harrington, S.A.; Brinton, J.; Venturini, L.; Davey, M.; Jacobs, J.; Van Ex, F.; Pasha, A.; et al. The transcriptional landscape of polyploid wheat. Science 2018, 361, eaar6089. [Google Scholar] [CrossRef] [PubMed]








| Env. | 2014 | 2017 | 2021 | Average | BLUE |
|---|---|---|---|---|---|
| Mean (cm) * | 120.5 a | 90.0 c | 99.0 b | 103.2 | 103.2 |
| Min (cm) | 89.4 | 61.5 | 67.3 | 77.0 | 82.6 |
| Max (cm) | 170.0 | 140.2 | 147.0 | 148.4 | 140.5 |
| Std. Dev. | 21.56 | 19.93 | 18.33 | 19.46 | 16.73 |
| Std. Err. | 1.61 | 1.49 | 1.37 | 1.45 | 1.25 |
| CV (%) | 17.9 | 22.1 | 18.5 | 18.9 | 16.2 |
| h2 | 0.89 | 0.97 | 0.77 | 0.98 |
| Chr. | QTL a | SNP | Allele b | Position (bp) | −log(p) | Effect (cm) | PVE (%) c | Model_Environment |
|---|---|---|---|---|---|---|---|---|
| 1A | QPh.ippg-1A | AX-94907052 | T/G | 12819799 | 7.2; 6.3 | 8.5; 7.0 | 0.3; 0.0 | BLINK_2021; BLUE |
| 1B | QPh.ippg-1B | AX-158521149 | A/T | 529395106 | Not significant | |||
| BS00036362_51 | A/G | 530478430 | Not significant | |||||
| BS00000066_51 | T/C | 530480842 | 10.8 | −15.0 | 0.0 | BLINK_BLUE | ||
| wsnp_BG606586B_Ta_2_13 | A/G | 530480991 | 5.6 | −9.1 | 0.0 | BLINK_BLUE | ||
| BS00010130_51 | A/G | 530959498 | 9.1 | 14.1 | 0.0 | BLINK_BLUE | ||
| RAC875_s110519_303 | A/G | 530959790 | 10.0 | −14.3 | 1.5 | BLINK_BLUE | ||
| 1D | QPh.ippg-1D | AX-158571058 | T/C | 303309200 | 12.2; 11.0 | −16.1; −13.6 | 0.0; 0.0 | BLINK_2021; BLUE |
| 2A | QPh.ippg-2A.1 | CAP12_c259_307 | T/C | 15875857 | 10.8; 6.1 | 18.3; 11.6 | 0.0; 0.0 | BLINK_2021; BLUE |
| QPh.ippg-2A.2 | Kukri_c29592_559 | T/G | 545406692 | 20.5; 17.9 | 18.6; 15.6 | 6.7; 6.8 | BLINK_2021; BLUE | |
| QPh.ippg-2A.3 | BobWhite_c17783_174 | A/C | 744820620 | 9.4; 6.3 | 13.8; 9.7 | 0.8; 0.0 | BLINK_2021; BLUE | |
| 2D | QPh.ippg-2D | AX-94425197 | A/G | 592783707 | 13.6; 10.3 | 16.9; 12.9 | 1.3; 2.8 | BLINK_2021; BLUE |
| 3A | QPh.ippg-3A.1 | Kukri_c86406_100 | T/C | 21374604 | 10.5; 8.0 | 14.2; 10.9 | 5.9; 1.9 | BLINK_2021; BLUE |
| QPh.ippg-3A.2 | IAAV3488 | A/C | 510828578 | 6.6 | −10.1 | 6.8 | MLM_2017 | |
| wsnp_Ex_c10667_17387885 | A/G | 514109963 | 7.0; 8.0 | 11.1; 11.7 | 7.0; 8.6 | MLM_2014; 2017 | ||
| wsnp_Ex_c2148_4035913 | A/G | 514311380 | 5.5 | 9.1 | 5.5 | MLM_2017 | ||
| wsnp_Ex_c32003_40728918 | A/G | 514313603 | 5.4 | −8.9 | 5.4 | MLM_2017 | ||
| tplb0050h15_1287 | C/T | 514494005 | 6.5; 8.1 | −10.7; −11.8 | 6.5; 8.7 | MLM_2014; 2017 | ||
| QPh.ippg−3A.3 | AX-158523079 | C/G | 514560784 | 7.3 | −11.0 | 7.7 | MLM_2017 | |
| Excalibur_c29205_537 | A/G | 514623977 | 5.5 | −9.1 | 5.4 | MLM_2017 | ||
| Excalibur_rep_c76510_255 | C/T | 515889945 | Not significant | |||||
| Tdurum_contig50392_1355 | A/G | 522060474 | 6.8; 7.4 | 11.2; 11.3 | 6.9; 8.0 | MLM_2014; 2017 | ||
| wsnp_Ex_rep_c69752_68711460 | A/C | 523556188 | 5.9 | 10.1 | 6.1 | MLM_2017 | ||
| Ex_c18484_2048 | A/C | 525200865 | 6.0 | −10.1 | 6.1 | MLM_2017 | ||
| Ex_c18484_2026 | C/T | 525200887 | 5.8 | 9.8 | 5.9 | MLM_2017 | ||
| AX-110568350 | A/G | 526863833 | 6.6 | −10.5 | 6.9 | MLM_2017 | ||
| wsnp_BE494474A_Ta_2_2 | G/T | 528521643 | 6.2; 6.3 | 10.9; 10.6 | 6.1; 6.5 | MLM_2014; 2017 | ||
| QPh.ippg-3A.4 | Kukri_rep_c110544_248 | A/G | 742613091 | 5.5; 6.5 | 9.9; −5.3 | 5.5; 2.2 | MLM_2017; FarmCPU_2014 | |
| 3B | QPh.ippg-3B | BobWhite_c1093_494 | T/C | 591458339 | 6.1; 7.0 | −7.9; −7.7 | 9.3; 0.0 | BLINK_2021; BLUE |
| 4A | QPh.ippg-4A.1 | AX-95188776 | A/G | 45142425 | 7.1; 5.5 | 11.5; 8.8 | 9.3; 3.1 | BLINK_2021; BLUE |
| QPh.ippg-4A.2 | CAP11_c3631_75 | C/T | 570466352 | 6.9; 7.5 | −11.7; −11.9 | 6.9; 7.9 | MLM_2014; 2017 | |
| 4B | QPh.ippg-4B | wsnp_CAP12_rep_c4278_1949864 | A/C | 552018200 | 6.4; 7.8 | 11.5; 11.7 | 0.0; 0.0 | BLINK_2021; BLUE |
| 5A | QPh.ippg-5A | Excalibur_c26671_57 | T/C | 591319170 | 7.2; 6.4 | −6.6; −5.5 | 0.1; 0.0 | BLINK_2021; BLUE |
| 5B | QPh.ippg-5B.1 | AX-108742604 | A/G | 12860184 | 5.6; 7.0 | 7.7; 7.9 | 3.4; 4.6 | BLINK_2021; BLUE |
| QPh.ippg-5B.2 | RAC875_rep_c111720_149 | T/C | 526590533 | 7.2; 10.2 | 11.2; 12.4 | 0.0; 1.9 | BLINK_2021; BLUE | |
| QPh.ippg-5B.3 | RFL_Contig5616_1779 | C/T | 692564868 | 6.3; 7.4 | 11.1; 8.0 | 6.5; 4.4 | MLM_2017; BLUE | |
| 5D | QPh.ippg-5D | AX-95147884 | A/G | 238666906 | 12.6; 5.8 | 16.4; 9.2 | 0.0; 0.0 | BLINK_2021; BLUE |
| 6A | QPh.ippg-6A.1 | Excalibur_c20597_569 | T/C | 6725084 | 6.5; 13.0 | −9.3; −12.6 | 0.0; 1.3 | BLINK_2021; BLUE |
| QPh.ippg-6A.2 | AX-158526868 | T/C | 452959034 | 8.0; 7.4; 7.0 | 4.6; 3.7; 6.2 | 11.4; 11.0; 5.2 | BLINK_2014; 2017; FarmCPU_2014 | |
| QPh.ippg-6A.3 | AX-158543245 | G/T | 454638223 | 7.3; 6.6 | −12.8; −11.5 | 7.4; 6.8 | MLM_2014; 2017 | |
| Tdurum_contig53138_302 | A/C | 454649350 | 7.0; 5.8 | −13.1; −11.2 | 7.1; 5.8 | MLM_2014; 2017 | ||
| IAAV7384 | G/T | 454649422 | 7.3; 6.3 | 13.2; 11.6 | 7.4; 6.4 | MLM_2014; 2017 | ||
| AX-95228827 | A/C | 454655948 | 7.4; 6.4 | −12.9; −11.3 | 7.5; 6.6 | MLM_2014; 2017 | ||
| BS00036878_51 | A/G | 455646736 | 7.3; 6.4 | 13.5; 12.0 | 7.4; 6.6 | MLM_2014; 2017 | ||
| AX-94674935 | G/T | 455658391 | 6.5; 5.4 | −12.6; −10.9 | 6.4; 5.4 | MLM_2014; 2017 | ||
| AX-158527035 | A/G | 456601664 | 6.8; 5.7 | −13.0; −11.2 | 6.8; 5.7 | MLM_2014; 2017 | ||
| AX-158587929 | A/G | 456751529 | 6.6 | 12.3 | 6.5 | MLM_2014 | ||
| IACX2250 | A/G | 456752252 | Not significant | |||||
| QPh.ippg-6A.4 | GENE-3965_8 | G/T | 514496178 | 6.1; 7.8 | −10.4; −11.5 | 6.0; 8.3 | MLM_2014; 2017 | |
| 7A | QPh.ippg-7A | AX-94599642 | A/G | 675113805 | 9.9; 6.2 | 10.7; 7.2 | 0.4; 0.0 | BLINK_2021; BLUE |
| QTL a | Interval (Mbp) | SNP | Gene ID b | Annotation | Expression |
|---|---|---|---|---|---|
| QPh.ippg-2A.2 | 543. 9–546.9 | Kukri_c29592_559 | TraesCS2A01G319400 | Zinc finger protein | No |
| QPh.ippg-2D | 590.2–595.4 | AX-94425197 | TraesCS2D01G496400 | Cyclin-related family protein | Yes |
| TraesCS2D01G492700 | Regulator of chromosome condensation | Yes | |||
| TraesCS2D01G500600 | Glutamine synthetase | Yes | |||
| QPh.ippg-3A.1 | 19.4–23.4 | Kukri_c86406_100 | TraesCS3A01G041000 | Signal peptidase subunit family protein | Yes |
| TraesCS3A01G041200 | Ethylene-responsive transcription factor | Yes | |||
| QPh.ippg-3A.2 | 510.7–516.3 | wsnp_Ex_c10667_17387885 tplb0050h15_1287 | TraesCS3A01G282200 | F-box family protein | Yes |
| TraesCS3A01G284800 | Regulator of chromosome condensation | Yes | |||
| TraesCS3A01G285400 | Transducin/WD40 repeat-like protein | No | |||
| TraesCS3A01G286100 | Senescence/dehydration-associated protein-like protein | Yes | |||
| QPh.ippg-3A.3 | 514.5–528.5 | Tdurum_contig50392_1355 wsnp_BE494474A_Ta_2_2 | TraesCS3A01G289700 | WRKY transcription factor | Yes |
| TraesCS3A01G289900 | Cellulose synthase | Yes | |||
| TraesCS3A01G291000 | F-box family protein | Yes | |||
| TraesCS3A01G291600 | Elongation factor 4 | Yes | |||
| TraesCS3A01G291900 | Vascular plant one zinc finger TF | Yes | |||
| TraesCS3A01G292200 | F-box protein SKIP8 | Yes | |||
| TraesCS3A01G292400 | Auxin response factor | Yes | |||
| TraesCS3A01G293700 | BZIP transcription factor | Yes | |||
| TraesCS3A01G294000 | Gibberellin 2-oxidase | Yes | |||
| TraesCS3A01G294400 | Katanin p60 ATPase-containing subunit 4b | Yes | |||
| QPh.ippg-3A.4 | 740.6–744.6 | Kukri_rep_c110544_248 | TraesCS3A01G528800 | Vacuolar-processing enzyme | Yes |
| TraesCS3A01G530100 | Dual-specificity RNA methyltransferase | Yes | |||
| QPh.ippg-3B | 589.7–593.3 | BobWhite_c1093_494 | TraesCS3B01G376000 | Methionine-tRNA ligase, putative | Yes |
| TraesCS3B01G376800 | Expansin | Yes | |||
| QPh.ippg-4A.1 | 43.1–47.1 | AX-95188776 | TraesCS4A01G053400 | E3 ubiquitin-protein ligase | Yes |
| TraesCS4A01G053500 | Glucan endo-1,3-beta-glucosidase 3 | Yes | |||
| QPh.ippg-4A.2 | 568.5–572.5 | CAP11_c3631_75 | TraesCS4A01G257500 | myb-like protein X | Yes |
| TraesCS4A01G257700 | Inositol-tetrakisphosphate 1-kinase | Yes | |||
| QPh.ippg-5B.1 | 11.4–14.4 | AX-108742604 | TraesCS5B01G012900 | WD-repeat protein, putative | Yes |
| TraesCS5B01G013700 | F-box protein | Yes | |||
| QPh.ippg-5B.3 | 691.1–694.1 | RFL_Contig5616_1779 | TraesCS5B01G535100 | NBS-LRR-like resistance protein | Yes |
| TraesCS5B01G536500 | Kinase-like protein | Yes | |||
| TraesCS5B01G536600 | Myb-like protein X | Yes | |||
| QPh.ippg-6A.1 | 5.2–8.2 | Excalibur_c20597_569 | TraesCS6A01G013600 | Nitric oxide synthase 1 | Yes |
| TraesCS6A01G012100 | Cytochrome P450 | Yes | |||
| TraesCS6A01G012300 | Cytochrome P450 | Yes | |||
| TraesCS6A01G012400 | Cytochrome P450 | Yes | |||
| TraesCS6A01G015400 | O-methyltransferase family protein | Yes | |||
| TraesCS6A01G015800 | Cytosine-specific methyltransferase | Yes | |||
| TraesCS6A01G016200 | Ubiquitin-conjugating enzyme E2, putative | Yes | |||
| QPh.ippg-6A.2 | 451.5–454.5 | AX-158526868 | TraesCS6A01G241400 | Chaperone protein dnaJ-like | Yes |
| TraesCS6A01G241800 | Cyclin-like | Yes | |||
| TraesCS6A01G242600 | Shikimate/quinate hydroxycinnamoyl transferase | Yes | |||
| QPh.ippg-6A.3 | 453.9–457.4 | AX-158543245 Tdurum_contig53138_302 IAAV7384 AX-95228827 BS00036878_51 AX-94674935 AX-158527035 | TraesCS6A01G242800 | Kinase family protein | No |
| TraesCS6A01G242900 | Transcription initiation factor TFIID subunit | Yes | |||
| TraesCS6A01G243300 | Ethylene-responsive transcription factor | Yes | |||
| TraesCS6A01G244100 | Protein kinase | Yes | |||
| TraesCS6A01G244200 | Retrovirus-related Pol polyprotein from transposon TNT 1-94 | Yes | |||
| TraesCS6A01G244900 | Cytochrome P450 | Yes | |||
| TraesCS6A01G245000 | Protein kinase | Yes | |||
| TraesCS6A01G284200 | Ubiquitin-conjugating enzyme E2, putative | Yes | |||
| QPh.ippg-6A.4 | 513.0–516.0 | GENE-3965_8 | TraesCS6A01G283400 | Eukaryotic aspartyl protease family protein | No |
Disclaimer/Publisher’s Note: The statements, opinions and data contained in all publications are solely those of the individual author(s) and contributor(s) and not of MDPI and/or the editor(s). MDPI and/or the editor(s) disclaim responsibility for any injury to people or property resulting from any ideas, methods, instructions or products referred to in the content. |
© 2024 by the authors. Licensee MDPI, Basel, Switzerland. This article is an open access article distributed under the terms and conditions of the Creative Commons Attribution (CC BY) license (https://creativecommons.org/licenses/by/4.0/).
Share and Cite
Kartseva, T.; Aleksandrov, V.; Alqudah, A.M.; Schierenbeck, M.; Tasheva, K.; Börner, A.; Misheva, S. Exploring Novel Genomic Loci and Candidate Genes Associated with Plant Height in Bulgarian Bread Wheat via Multi-Model GWAS. Plants 2024, 13, 2775. https://doi.org/10.3390/plants13192775
Kartseva T, Aleksandrov V, Alqudah AM, Schierenbeck M, Tasheva K, Börner A, Misheva S. Exploring Novel Genomic Loci and Candidate Genes Associated with Plant Height in Bulgarian Bread Wheat via Multi-Model GWAS. Plants. 2024; 13(19):2775. https://doi.org/10.3390/plants13192775
Chicago/Turabian StyleKartseva, Tania, Vladimir Aleksandrov, Ahmad M. Alqudah, Matías Schierenbeck, Krasimira Tasheva, Andreas Börner, and Svetlana Misheva. 2024. "Exploring Novel Genomic Loci and Candidate Genes Associated with Plant Height in Bulgarian Bread Wheat via Multi-Model GWAS" Plants 13, no. 19: 2775. https://doi.org/10.3390/plants13192775
APA StyleKartseva, T., Aleksandrov, V., Alqudah, A. M., Schierenbeck, M., Tasheva, K., Börner, A., & Misheva, S. (2024). Exploring Novel Genomic Loci and Candidate Genes Associated with Plant Height in Bulgarian Bread Wheat via Multi-Model GWAS. Plants, 13(19), 2775. https://doi.org/10.3390/plants13192775

