Phytoplankton in Deep Lakes of the Dinaric Karst: Functional Biodiversity and Main Ecological Features
Abstract
1. Introduction
2. Results
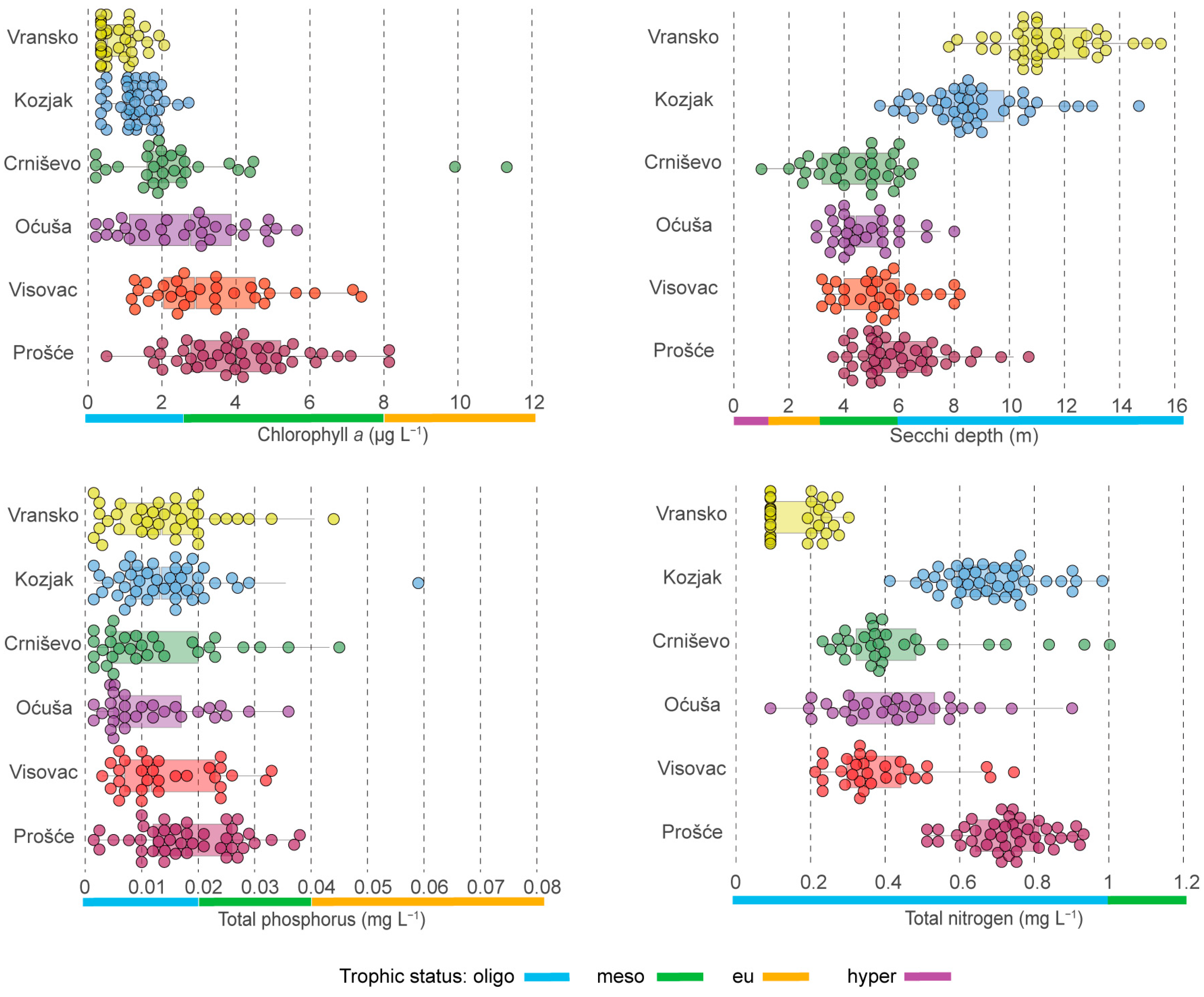
2.1. Environmental Characteristics of Lakes
2.2. Phytoplankton Biomass and Its Relationship to Environmental Parameters
2.3. The Functional Composition of Phytoplankton
2.4. Relationship between Environmental Parameters and the Composition of Phytoplankton
3. Discussion
3.1. Physical and Chemical Properties of the Analysed Lakes and Indicators of Trophic Status
3.2. Relationship between Environmental Variables and Phytoplankton Biomass
3.3. Composition of Phytoplankton FGs and Influence of Environmental Variables
4. Materials and Methods
4.1. Study Area
4.2. Sampling and Sample Analysis
4.3. Data Analysis
Supplementary Materials
Author Contributions
Funding
Data Availability Statement
Acknowledgments
Conflicts of Interest
References
- Heino, J.; Alahuhta, J.; Bini, L.M.; Cai, Y.; Heiskanen, A.-S.; Hellsten, S.; Kortelainen, P.; Kotamäki, N.; Tolonen, K.T.; Vihervaara, P.; et al. Lakes in the era of global change: Moving beyond single-lake thinking in maintaining biodiversity and ecosystem services. Biol. Rev. 2021, 96, 89–106. [Google Scholar] [CrossRef]
- Yue, Y.; Yang, Z.; Cai, L.; Bai, C.; Huang, Y.; Ma, J.; Yang, M. Effects of stratification and mixing on spatiotemporal dynamics and functional potential of microbial community in a subtropical large-deep reservoir driven by nutrients and ecological niche. Ecol. Indic. 2023, 156, 111128. [Google Scholar] [CrossRef]
- Wang, S.; Gao, Y.; Jia, J.; Lu, Y.; Sun, K.; Ha, X.; Li, Z.; Deng, W. Vertically stratified water source characteristics and associated driving mechanisms of particulate organic carbon in a large floodplain lake system. Water Res. 2022, 209, 117963. [Google Scholar] [CrossRef]
- Šarović, K.; Klaić, Z.B. Effect of Climate Change on Water Temperature and Stratification of a Small, Temperate, Karstic Lake (Lake Kozjak, Croatia). Environ. Process. 2023, 10, 49. [Google Scholar] [CrossRef]
- Frost, P.C.; Pearce, N.J.T.; Berger, S.A.; Gessner, M.O.; Makower, A.K.; Marzetz, V.; Nejstgaard, J.C.; Pralle, A.; Schälicke, S.; Wacker, A.; et al. Interactive effects of nitrogen and phosphorus on growth and stoichiometry of lake phytoplankton. Limnol. Oceanogr. 2023, 68, 1172–1184. [Google Scholar] [CrossRef]
- Redoglio, A.; Sperfeld, E. What drives growth responses of nitrogen and phosphorus (co-)limited primary producer communities? Front. Ecol. Evol. 2024, 12, 1368445. [Google Scholar] [CrossRef]
- Reinl, K.L.; Harris, T.D.; Elfferich, I.; Coker, A.; Zhan, Q.; De Senerpont Domis, L.N.; Morales-Williams, A.M.; Bhattacharya, R.; Grossart, H.-P.; North, R.L.; et al. The role of organic nutrients in structuring freshwater phytoplankton communities in a rapidly changing world. Water Res. 2022, 219, 118573. [Google Scholar] [CrossRef] [PubMed]
- Reeder, B.C. Primary productivity limitations in relatively low alkalinity, high phosphorus, oligotrophic Kentucky reservoirs. Ecol. Eng. 2017, 108, 477–481. [Google Scholar] [CrossRef]
- Bergström, A.-K. The use of TN:TP and DIN:TP ratios as indicators for phytoplankton nutrient limitation in oligotrophic lakes affected by N deposition. Aquat. Sci. 2010, 72, 277–281. [Google Scholar] [CrossRef]
- Downing, J.A.; McCauley, E. The nitrogen: Phosphorus relationship in lakes. Limnol. Oceanogr. 1992, 37, 936–945. [Google Scholar] [CrossRef]
- Wu, Z.; Li, J.; Sun, Y.; Peñuelas, J.; Huang, J.; Sardans, J.; Jiang, Q.; Finlay, J.C.; Britten, G.L.; Follows, M.J.; et al. Imbalance of global nutrient cycles exacerbated by the greater retention of phosphorus over nitrogen in lakes. Nat. Geosci. 2022, 15, 464–468. [Google Scholar] [CrossRef]
- Zhang, Y.; Peng, C.; Wang, J.; Huang, S.; Hu, Y.; Zhang, J.; Li, D. Temperature and silicate are significant driving factors for the seasonal shift of dominant diatoms in a drinking water reservoir. J. Oceanol. Limnol. 2019, 37, 568–579. [Google Scholar] [CrossRef]
- Stanković, I.; Gligora Udovič, M.; Žutinić, P.; Hanžek, N.; Plenković-Moraj, A. Is salinity a driving factor for the phytoplankton community structure of a brackish shallow Mediterranean lake? Hydrobiologia 2024, 851, 999–1013. [Google Scholar] [CrossRef]
- Salmaso, N.; Tolotti, M. Phytoplankton and anthropogenic changes in pelagic environments. Hydrobiologia 2021, 848, 251–284. [Google Scholar] [CrossRef]
- Stanković, I.; Hanžek, N.; Mischke, U.; Krisa, H.; Velická, Z.; T-Krasznai, E.; Kiss, K.T.; Belkinova, D.; Bălan, M.; Amăriucăi, V.; et al. Phytoplankton biomass and functional composition in the Danube River and selected tributaries: A case study Joint Danube Survey 4. Hydrobiologia 2024, 851, 973–998. [Google Scholar] [CrossRef]
- Maileht, K.; Nõges, T.; Nõges, P.; Ott, I.; Mischke, U.; Carvalho, L.; Dudley, B. Water colour, phosphorus and alkalinity are the major determinants of the dominant phytoplankton species in European lakes. Hydrobiologia 2013, 704, 115–126. [Google Scholar] [CrossRef]
- Verspagen, J.M.H.; Ji, X.; Liu, Q.-X.; Huisman, J. Large-scale variation in phytoplankton community composition of >1000 lakes across the USA. Environ. Res. Ecol. 2022, 1, 015001. [Google Scholar] [CrossRef]
- Reynolds, C.; Huszar, V.; Kruk, C.; Naselli-Flores, L.; Melo, S. Towards a functional classification of the freshwater phytoplankton. J. Plankton Res. 2002, 24, 417–428. [Google Scholar] [CrossRef]
- Padisák, J.; Crossetti, L.O.; Naselli-Flores, L. Use and misuse in the application of the phytoplankton functional classification: A critical review with updates. Hydrobiologia 2009, 621, 1–19. [Google Scholar] [CrossRef]
- Borics, G.; Várbiró, G.; Grigorszky, I.; Krasznai, E.; Szabó, S.; Kiss Keve, T. A new evaluation technique of potamo-plankton for the assessment of the ecological status of rivers. Arch. Hydrobiol. Suppl. Large Rivers 2007, 161, 465–486. [Google Scholar] [CrossRef]
- Bonacci, O.; Pipan, T.; Culver, D.C. A framework for karst ecohydrology. Environ. Geol. 2009, 56, 891–900. [Google Scholar] [CrossRef]
- Gligora Udovič, M.; Cvetkoska, A.; Žutinić, P.; Bosak, S.; Stanković, I.; Špoljarić, I.; Mršić, G.; Kralj Borojević, K.; Ćukurin, A.; Plenković-Moraj, A. Defining centric diatoms of most relevant phytoplankton functional groups in deep karst lakes. Hydrobiologia 2016, 788, 169–191. [Google Scholar] [CrossRef]
- Hanžek, N.; Gligora Udovič, M.; Kajan, K.; Borics, G.; Várbíró, G.; Stoeck, T.; Orlić, S.; Stanković, I. Comparative identification of phytoplankton taxonomic and functional group approach in karst lakes using classical microscopy and eDNA metabarcoding for ecological status assessment. Hydrobiologia 2024, 851, 1015–1034. [Google Scholar] [CrossRef]
- Gligora Udovic, M.; Žutinić, P.; Kralj Borojevic, K.; Plenković-Moraj, A. Co-occurrence of functional groups in phytoplankton assemblages dominated by diatoms, chrysophytes and dinoflagellates. Fundam. Appl. Limnol. 2015, 1872, 101–111. [Google Scholar] [CrossRef]
- Bellinger, E.; Sigee, D.C. Freshwater Algae: Identification, Enumeration and Use as Bioindicators, 2nd ed.; Wiley-Blackwell: Hoboken, NJ, USA, 2015. [Google Scholar]
- Guildford, S.J.; Hecky, R.E. Total nitrogen, total phosphorus, and nutrient limitation in lakes and oceans: Is there a common relationship? Limnol. Oceanogr. 2000, 45, 1213–1223. [Google Scholar] [CrossRef]
- Horvatinčić, N.; Briansó, J.L.; Obelić, B.; Barešić, J.; Krajcar Bronić, I. Study of Pollution of the Plitvice Lakes by Water and Sediment Analyses. Water Air Soil Pollut. Focus 2006, 6, 475–485. [Google Scholar] [CrossRef]
- Brkić, Ž. Increasing water temperature of the largest freshwater lake on the Mediterranean islands as an indicator of global warming. Heliyon 2023, 9, e19248. [Google Scholar] [CrossRef] [PubMed]
- Perčec Tadić, M.; Pasarić, Z.; Guijarro, J.A. Croatian high-resolution monthly gridded dataset of homogenised surface air temperature. Theor. Appl. Climatol. 2023, 151, 227–251. [Google Scholar] [CrossRef]
- Fetahi, T.; Schagerl, M.; Mengistou, S. Key drivers for phytoplankton composition and biomass in an Ethiopian highland lake. Limnologica 2014, 46, 77–83. [Google Scholar] [CrossRef]
- Nan, J.; Li, J.; Yang, C.; Yu, H. Phytoplankton functional groups succession and their driving factors in a shallow subtropical lake. J. Freshw. Ecol. 2020, 35, 409–427. [Google Scholar] [CrossRef]
- Yang, R.; Fan, X.; Zhao, L.; Yang, K. Identification of major environmental factors driving phytoplankton community succession before and after the regime shift of Erhai Lake, China. Ecol. Indic. 2023, 146, 109875. [Google Scholar] [CrossRef]
- Lu, H.; Wang, F.; Chen, Y.; Yu, Z.; Fang, Z.; Zhou, G. Multianalysis between chlorophyll-a and environmental factors in Qiandao Lake water. Ying Yong Sheng Tai Xue Bao 2003, 14, 1347–1350. [Google Scholar] [PubMed]
- Sriyasak, P.; Chitmanat, C.; Whangchai, N.; Promya, J.; Lebel, L. Effect of water de-stratification on dissolved oxygen and ammonia in tilapia ponds in Northern Thailand. Int. Aquat. Res. 2015, 7, 287–299. [Google Scholar] [CrossRef]
- Kunlasak, K.; Chanagun, C.; Whangchai, N.; Promya, J.; Lebel, L. Relationships of Dissolved Oxygen with Chlorophyll-a and Phytoplankton Composition in Tilapia Ponds. Int. J. Geosci. 2013, 04, 46–53. [Google Scholar] [CrossRef]
- Maberly, S.C.; Van de Waal, D.B.; Raven, J.A. Phytoplankton Growth and Nutrients. In Encyclopedia of Inland Waters, 2nd ed.; Mehner, T., Tockner, K., Eds.; Elsevier: Oxford, UK, 2022; pp. 130–138. [Google Scholar]
- Lui, H.-K.; Chen, C.-T.A. The nonlinear relationship between nutrient ratios and salinity in estuarine ecosystems: Implications for management. Curr. Opin. Environ. Sustain. 2012, 4, 227–232. [Google Scholar] [CrossRef]
- Meerhoff, M.; Teixeira-de Mello, F.; Kruk, C.; Alonso, C.; González-Bergonzoni, I.; Pacheco, J.P.; Lacerot, G.; Arim, M.; Beklioğlu, M.; Brucet, S.; et al. 4—Environmental Warming in Shallow Lakes: A Review of Potential Changes in Community Structure as Evidenced from Space-for-Time Substitution Approaches. In Advances in Ecological Research; Jacob, U., Woodward, G., Eds.; Academic Press: Cambridge, MA, USA, 2012; Volume 46, pp. 259–349. [Google Scholar]
- Maberly, S.C. The fitness of the environments of air and water for photosynthesis, growth, reproduction and dispersal of photoautotrophs: An evolutionary and biogeochemical perspective. Aquat. Bot. 2014, 118, 4–13. [Google Scholar] [CrossRef]
- Baattrup-Pedersen, A.; Johnsen, T.J.; Larsen, S.E.; Riis, T. Alkalinity and diatom assemblages in lowland streams: How to separate alkalinity from inorganic phosphorus in ecological assessments? Sci. Total Environ. 2022, 823, 153829. [Google Scholar] [CrossRef] [PubMed]
- Ren, L.; Rabalais, N.N.; Turner, R.E. Effects of Mississippi River water on phytoplankton growth and composition in the upper Barataria estuary, Louisiana. Hydrobiologia 2020, 847, 1831–1850. [Google Scholar] [CrossRef]
- Dubourg, P.; North, R.L.; Hunter, K.; Vandergucht, D.M.; Abirhire, O.; Silsbe, G.M.; Guildford, S.J.; Hudson, J.J. Light and nutrient co-limitation of phytoplankton communities in a large reservoir: Lake Diefenbaker, Saskatchewan, Canada. J. Great Lakes Res. 2015, 41, 129–143. [Google Scholar] [CrossRef]
- Filstrup, C.T.; Downing, J.A. Relationship of chlorophyll to phosphorus and nitrogen in nutrient-rich lakes. Inland Waters 2017, 7, 385–400. [Google Scholar] [CrossRef]
- Yu, G.; Zhang, S.; Qin, W.; Guo, Y.; Zhao, R.; Liu, C.; Wang, C.; Li, D.; Wang, Y. Effects of nitrogen and phosphorus on chlorophyll a in lakes of China: A meta-analysis. Environ. Res. Lett. 2022, 17, 074038. [Google Scholar] [CrossRef]
- Schindler, D.W. The dilemma of controlling cultural eutrophication of lakes. Proc. R. Soc. B Biol. Sci. 2012, 279, 4322–4333. [Google Scholar] [CrossRef]
- Schindler, D.W.; Hecky, R.E.; Findlay, D.L.; Stainton, M.P.; Parker, B.R.; Paterson, M.J.; Beaty, K.G.; Lyng, M.; Kasian, S.E.M. Eutrophication of lakes cannot be controlled by reducing nitrogen input: Results of a 37-year whole-ecosystem experiment. Proc. Natl. Acad. Sci. USA 2008, 105, 11254–11258. [Google Scholar] [CrossRef]
- Elser, J.J.; Andersen, T.; Baron, J.S.; Bergström, A.-K.; Jansson, M.; Kyle, M.; Nydick, K.R.; Steger, L.; Hessen, D.O. Shifts in Lake N:P Stoichiometry and Nutrient Limitation Driven by Atmospheric Nitrogen Deposition. Science 2009, 326, 835–837. [Google Scholar] [CrossRef] [PubMed]
- Bergström, A.K.; Jonsson, A.; Jansson, M. Phytoplankton responses to nitrogen and phosphorus enrichment in unproductive Swedish lakes along a gradient of atmospheric nitrogen deposition. Aquat. Biol. 2008, 4, 55–64. [Google Scholar] [CrossRef]
- Dolman, A.M.; Mischke, U.; Wiedner, C. Lake-type-specific seasonal patterns of nutrient limitation in German lakes, with target nitrogen and phosphorus concentrations for good ecological status. Freshw. Biol. 2016, 61, 444–456. [Google Scholar] [CrossRef]
- Dolman, A.M.; Wiedner, C. Predicting phytoplankton biomass and estimating critical N:P ratios with piecewise models that conform to Liebig’s law of the minimum. Freshw. Biol. 2015, 60, 686–697. [Google Scholar] [CrossRef]
- Jiang, M.; Nakano, S.-I. The crucial influence of trophic status on the relative requirement of nitrogen to phosphorus for phytoplankton growth. Water Res. 2022, 222, 118868. [Google Scholar] [CrossRef] [PubMed]
- Zhou, J.; Han, X.; Brookes, J.D.; Qin, B. High probability of nitrogen and phosphorus co-limitation occurring in eutrophic lakes. Environ. Pollut. 2022, 292, 118276. [Google Scholar] [CrossRef]
- Galbraith, E.D.; Martiny, A.C. A simple nutrient-dependence mechanism for predicting the stoichiometry of marine ecosystems. Proc. Natl. Acad. Sci. USA 2015, 112, 8199–8204. [Google Scholar] [CrossRef]
- Pasztaleniec, A. Phytoplankton in the ecological status assessment of European lakes—Advantages and constraints. Ochr. Srodowiska Zasobów Nat. 2016, 27, 26–36. [Google Scholar] [CrossRef]
- Dory, F.; Nava, V.; Spreafico, M.; Orlandi, V.; Soler, V.; Leoni, B. Interaction between temperature and nutrients: How does the phytoplankton community cope with climate change? Sci. Total Environ. 2024, 906, 167566. [Google Scholar] [CrossRef]
- Conley, D.J.; Paerl, H.W.; Howarth, R.W.; Boesch, D.F.; Seitzinger, S.P.; Havens, K.E.; Lancelot, C.; Likens, G.E. Controlling Eutrophication: Nitrogen and Phosphorus. Science 2009, 323, 1014–1015. [Google Scholar] [CrossRef]
- Coesel, P.F.M. The significance of desmids as indicators of the trophic status of freshwaters. Schweiz. Z. Hydrol. 1983, 45, 388–393. [Google Scholar] [CrossRef]
- Šimunović, M.; Kulaš, A.; Žutinić, P.; Goreta, G.; Gligora Udovič, M. Phytoplankton metrics for trophic and ecological status assessment of a natural karstic lake. Acta Bot. Croat. 2022, 81, 185–196. [Google Scholar] [CrossRef]
- Viviane, M.C.; Marcelo, P.; Paula Yuri, N.; Joan, A. Phytoplankton as trophic descriptors of a series of Mediterranean reservoirs (Catalonia, Spain). Fundam. Appl. Limnol. 2018, 191, 37–52. [Google Scholar] [CrossRef]
- Li, Z.; Gao, Y.; Wang, S.; Lu, Y.; Sun, K.; Jia, J.; Wang, Y. Phytoplankton community response to nutrients along lake salinity and altitude gradients on the Qinghai-Tibet Plateau. Ecol. Indic. 2021, 128, 107848. [Google Scholar] [CrossRef]
- Maberly, S.C.; Chao, A.; Finlay, B.J. Seasonal Patterns of Phytoplankton Taxon Richness in Lakes: Effects of Temperature, Turnover and Abundance. Protist 2022, 173, 125925. [Google Scholar] [CrossRef] [PubMed]
- Becker, V.; Caputo, L.; Ordóñez, J.; Marcé, R.; Armengol, J.; Crossetti, L.O.; Huszar, V.L.M. Driving factors of the phytoplankton functional groups in a deep Mediterranean reservoir. Water Res. 2010, 44, 3345–3354. [Google Scholar] [CrossRef]
- Salonen, K.; Järvinen, M.; Aalto, T.; Likolammi, M.; Lindblom, V.; Münster, U.; Sarvala, J. Dynamic adaptation of phytoplankton vertical migration to changing grazing and nutrient conditions. Hydrobiologia 2024, 851, 3639–3663. [Google Scholar] [CrossRef]
- Bonacci, O. Analysis of variations in water levels of the Vrana Lake on the island of the Cres (Croatia). Hrvat. Časopis Vodn. Gospod. 2014, 22, 337–346. [Google Scholar]
- Bonacci, O. Promjene vodnog režima Bačinskih jezera—The Bačina Lakes water regime changes. Građevinar 1984, 36, 53–58. [Google Scholar]
- EN 16698:2015; Water Quality—Guidance on Quantitative and Qualitative Sampling of Phytoplankton from Inland Waters. CEN–EN: Brussels, Belgium, 2015.
- Utermöhl, H. Methods of collecting plankton for various purposes are discussed. SIL Commun. 1953–1996 1958, 9, 1–38. [Google Scholar] [CrossRef]
- EN 15204:2006; Water Quality—Guidance Standard on the Enumeration of Phytoplankton Using Inverted Microscopy (Utermohl Technique). CEN–EN: Brussels, Belgium, 2006.
- Rott, E. Some results from phytoplankton counting intercalibrations. Schweiz. Z. Hydrol. 1981, 43, 34–62. [Google Scholar] [CrossRef]
- EN 16695:2015; Water Quality—Guidance on the Estimation of Phytoplankton Biovolume. CEN–EN: Brussels, Belgium, 2015.
- EN 15708:2009; Water Quality—Guidance Standard for the Surveying, Sampling and Laboratory Analysis of Phytobenthos in Shallow Running Water. CEN–EN: Brussels, Belgium, 2009.
- Guiry, M.D.; Guiry, G.M. 2024. Available online: https://www.algaebase.org/ (accessed on 10 June 2024).
- QGIS.org. QGIS Geographic Information System. 2024. Available online: https://guides.library.cornell.edu/gis (accessed on 10 June 2024).
- Clarke, R.K.; Gorley, R.N. Primer v6: User Manual/Tutorial; PRIMER-E: Plymouth, UK, 2006. [Google Scholar]
- Hassan-Montero, Y.; De-Moya-Anegón, F.; Guerrero-Bote, V.P. SCImago Graphica: A new tool for exploring and visually communicating data. Inf. Prof. 2022, 31, e310502. [Google Scholar] [CrossRef]
- Miliša, M.; Gligora Udovič, M.; Žutinić, P. Izrada Kriterija za Određivanje Stupnjeva Trofije Stajaćica i Tekućica [Development of Criteria for Determining the Degrees of Trophic Status of Stagnant and Running Waters]; Faculty of Science, University of Zagreb: Zagreb, Croatia, 2019; p. 76. [Google Scholar]
- OECD. Eutrophication of Waters. Monitoring, Assessment and Control; Organisation for Economic Co-Operation and Development: Paris, France, 1982; p. 154. [Google Scholar]
- IBM Corp. IBM SPSS Statistics for Windows, Version 26.0; IBM Corp: Armonk, NY, USA, 2019. [Google Scholar]
- ter Braak, C.J.F.; Smilauer, P. Canoco Reference Manual and User’s Guide: Software for Ordination, Version 5.0; Microcomputer Power: Ithaca, NY, USA, 2012. [Google Scholar]






| Parameter | Kozjak | Prošće | Vransko | |||
|---|---|---|---|---|---|---|
| Min-Max | Mean | Min-Max | Mean | Min-Max | Mean | |
| Secchi visibility (m) | 5.3–14.7 | 8.5 | 3.6–10.7 | 5.4 | 7.8–15.5 | 11.0 |
| Temperature (°C) | 7.6–18.8 | 13.3 | 8.4–18.1 | 12.8 | 9.9–21.7 | 17.7 |
| pH | 7.9–8.4 | 8.3 | 7.7–8.4 | 8.2 | 7.9–8.4 | 8.3 |
| Alkalinity (mg CaCO3 L−1) | 202.0–236.0 | 214.0 | 214.0–249.0 | 230.0 | 102.0–139.0 | 112.0 |
| Dissolved oxygen (mg L−1) | 10.0–13.7 | 11.7 | 8.5–15.0 | 11.2 | 8.5–12.7 | 10.7 |
| Oxygen saturation (%) | 96.8–146.9 | 113.2 | 79.8–159.1 | 106.7 | 91.1–134.3 | 115.5 |
| Conductivity (µS cm−1) 25 °C | 359.0–419.0 | 393.5 | 387.0–443.0 | 428.5 | 397.0–475.0 | 436.0 |
| Salinity (‰) | 0.10–0.14 | 0.13 | 0.00–0.15 | 0.13 | 0.11–0.15 | 0.13 |
| Total nitrogen [TN] (mg N L−1) | 0.420–0.990 | 0.685 | 0.520–0.940 | 0.740 | 0.100–0.310 | 0.100 |
| Total phosphorus [TP] (mg P L−1) | 0.002–0.059 | 0.013 | 0.002–0.038 | 0.018 | 0.002–0.044 | 0.014 |
| Molar TN:TP ratio | 10.5–493.7 | 62.5 | 19.4–523.2 | 45.4 | 2.5–228.4 | 14.8 |
| Biological oxygen demand [BOD] (mg O2 L−1) | 0.3–1.8 | 0.8 | 0.3–1.7 | 1.0 | 0.3–1.5 | 0.6 |
| Chemical oxygen demand [COD] (mg O2 L−1) | 0.4–2.2 | 1.2 | 0.4–3 | 1.4 | 0.4–2.4 | 1.4 |
| Total organic carbon [TOC] (mg C L−1) | 0.69–2.22 | 1.02 | 0.75–2.09 | 1.08 | 1.19–2.93 | 1.67 |
| Silicates [SiO2] (mg L−1) | 0.57–3.41 | 1.60 | 0.35–4.96 | 1.58 | 0.13–1.39 | 0.35 |
| Chlorophyll a [Chl-a] (µg L−1) | 0.35–2.72 | 1.29 | 0.5–8.14 | 4.01 | 0.35–2.06 | 0.50 |
| Total biomass (mg L−1) | 0.12–2.05 | 0.46 | 0.35–4.65 | 1.49 | 0.21–1.21 | 0.38 |
| Parameter | Visovac | Crniševo | Oćuša | |||
| Min-Max | Mean | Min-Max | Mean | Min-Max | Mean | |
| Secchi visibility (m) | 3.2–8.2 | 5.3 | 1.0–6.5 | 4.8 | 3.0–8.0 | 4.4 |
| Temperature (°C) | 13.2–23.0 | 18.0 | 11.8–27.3 | 21.4 | 14.2–27.0 | 22.6 |
| pH | 6.7–8.4 | 8.1 | 7.6–8.4 | 8.1 | 7.5–8.7 | 8.1 |
| Alkalinity (mg CaCO3 L−1) | 171.0–245.0 | 210.1 | 139.0–368.8 | 171.0 | 112.0–201.0 | 150.0 |
| Dissolved oxygen (mg L−1) | 6.9–13.6 | 10.3 | 8.3–13.0 | 10.6 | 5.9–12.7 | 9.9 |
| Oxygen saturation (%) | 73.4–162.3 | 107.3 | 88.1–140.1 | 117.5 | 66.9–153.6 | 111.3 |
| Conductivity (µS cm−1) 25 °C | 482.0–895.0 | 535.0 | 718.0–2930.0 | 1853.0 | 372.0–600.0 | 457.0 |
| Salinity (‰) | 0.16–0.31 | 0.20 | 0.29–1.50 | 0.88 | 0.11–0.30 | 0.22 |
| Total nitrogen [TN] (mg N L−1) | 0.220–0.753 | 0.350 | 0.240–1.010 | 0.385 | 0.100–0.909 | 0.429 |
| Total phosphorus [TP] (mg P L−1) | 0.003–0.033 | 0.012 | 0.002–0.045 | 0.009 | 0.002–0.036 | 0.007 |
| Molar TN:TP ratio | 11.7–150.3 | 33.9 | 11.5–694.1 | 48.6 | 11.4–316.1 | 39.6 |
| Biological oxygen demand [BOD] (mg O2 L−1) | 0.3–2.4 | 0.8 | 0.1–2.4 | 1.2 | 0.1–2.7 | 0.9 |
| Chemical oxygen demand [COD] (mg O2 L−1) | 0.3–3.5 | 1.1 | 0.3–5.4 | 2.6 | 0.3–2.8 | 1.4 |
| Total organic carbon [TOC] (mg C L−1) | 0.65–1.59 | 1.07 | 1.50–3.70 | 2.42 | 0.82–2.9 | 1.28 |
| Silicates [SiO2] (mg L−1) | 0.40–4.52 | 1.95 | 0.17–2.11 | 0.70 | 0.28–3.54 | 1.52 |
| Chlorophyll a [Chl-a] (µg L−1) | 1.18–7.39 | 2.90 | 1.5–11.32 | 2.42 | 0.51–5.67 | 3.22 |
| Total biomass (mg L−1) | 0.38–4.70 | 1.27 | 0.22–6.87 | 0.82 | 0.22–3.81 | 0.86 |
| Environmental Variables | Lakes (n = 209) | |
|---|---|---|
| Chlorophyll a | Total Biomass | |
| Light availability | −0.741 ** | −0.571 ** |
| Alkalinity | 0.307 ** | 0.368 ** |
| Conductivity | 0.207 ** | 0.178 ** |
| pH | −0.276 ** | −0.212 ** |
| Salinity | 0.204 ** | 0.150 * |
| Temperature | n.s. | n.s. |
| Biological oxygen demand | 0.331 ** | 0.256 ** |
| Chemical oxygen demand | 0.165 * | n.s. |
| Dissolved oxygen | −0.152 * | n.s. |
| Oxygen saturation | −0.159 * | n.s. |
| Total nitrogen | 0.222 ** | 0.305 ** |
| Total phosphorus | n.s. | 0.180 ** |
| Total organic carbon | n.s. | −0.150 * |
| Silicon dioxide | 0.252 ** | 0.224 ** |
| TN:TP (mol) | 0.147 * | n.s. |
| Kozjak (n = 42) | Prošće (n = 42) | Vransko (n = 36) | Visovac (n = 30) | Crniševo (n = 30) | Oćuša (n = 29) | |
|---|---|---|---|---|---|---|
| FG’s | % | % | % | % | % | % |
| A | 28.58 | 6.49 | 24.31 | - | 17.04 | 31.88 |
| B | 14.77 | 24.3 | 3.87 | 44.04 | - | - |
| D | 6.42 | 3.66 | - | - | - | - |
| T | - | - | 8.22 | - | - | - |
| X3 | - | - | - | 8.85 | - | - |
| X2 | 12.95 | 12.18 | 7.52 | 15.27 | 12.22 | 23.09 |
| X1 | - | - | - | - | 6.59 | - |
| E | 9.37 | 16.38 | 10.25 | - | - | 10.73 |
| Y | 8.21 | 14.47 | - | - | - | 3 |
| F | 3.63 | 9.53 | 5.13 | 9.01 | 15.46 | 8.54 |
| J | - | - | - | - | - | 5.49 |
| L0 | 7.19 | 4.46 | 32.6 | 13.13 | 39.16 | 9.92 |
| Axis 1 | Axis 2 | |
|---|---|---|
| Axis summary statistics and variance in species data a | ||
| Eigenvalues | 0.163 | 0.058 |
| FG–environment correlations | 0.844 | 0.714 |
| Cumulative percentage variance | ||
| Of FG data | 16.3 | 22.1 |
| Of FG–environment relation | 56.1 | 76.1 |
| Correlations of environmental variables and redundancy axes b | ||
| Temp | 0.611 | 0.202 |
| Sal | 0.512 | 0.24 |
| Secchi | −0.034 | −0.597 |
| Alk | −0.568 | 0.363 |
| TN | −0.653 | 0.115 |
| SiO2 | −0.408 | 0.323 |
| TOC | 0.502 | −0.102 |
Disclaimer/Publisher’s Note: The statements, opinions and data contained in all publications are solely those of the individual author(s) and contributor(s) and not of MDPI and/or the editor(s). MDPI and/or the editor(s) disclaim responsibility for any injury to people or property resulting from any ideas, methods, instructions or products referred to in the content. |
© 2024 by the authors. Licensee MDPI, Basel, Switzerland. This article is an open access article distributed under the terms and conditions of the Creative Commons Attribution (CC BY) license (https://creativecommons.org/licenses/by/4.0/).
Share and Cite
Hanžek, N.; Šiljeg, M.; Šikić, T.; Stanković, I. Phytoplankton in Deep Lakes of the Dinaric Karst: Functional Biodiversity and Main Ecological Features. Plants 2024, 13, 2252. https://doi.org/10.3390/plants13162252
Hanžek N, Šiljeg M, Šikić T, Stanković I. Phytoplankton in Deep Lakes of the Dinaric Karst: Functional Biodiversity and Main Ecological Features. Plants. 2024; 13(16):2252. https://doi.org/10.3390/plants13162252
Chicago/Turabian StyleHanžek, Nikola, Mario Šiljeg, Tanja Šikić, and Igor Stanković. 2024. "Phytoplankton in Deep Lakes of the Dinaric Karst: Functional Biodiversity and Main Ecological Features" Plants 13, no. 16: 2252. https://doi.org/10.3390/plants13162252
APA StyleHanžek, N., Šiljeg, M., Šikić, T., & Stanković, I. (2024). Phytoplankton in Deep Lakes of the Dinaric Karst: Functional Biodiversity and Main Ecological Features. Plants, 13(16), 2252. https://doi.org/10.3390/plants13162252

