Outbreak of Alternaria Black Spot of Pomegranate (Punica granatum L.) in Italy as a Consequence of Unusual Climatic Conditions
Abstract
1. Introduction
2. Results
2.1. Disease Symptoms and Isolates
2.2. Morphological Characterization of Isolates
2.3. Molecular Characterization
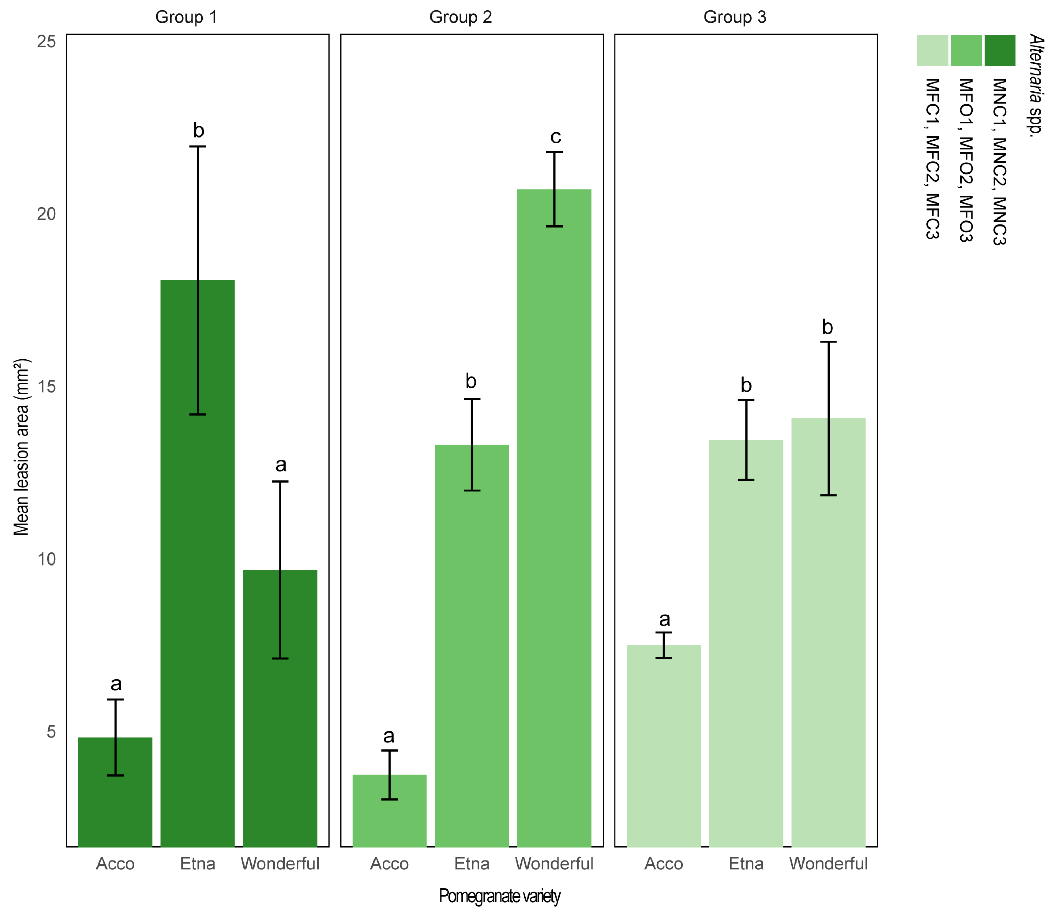
2.4. Pathogenicity Test
3. Discussion
4. Materials and Methods
4.1. Fruit and Leaf Sampling and Alternaria Isolation
4.2. Morphological Characterization of Isolates
4.3. Molecular Characterization of Isolates
| Species | Isolate | Country | Host | Source | Accession Numbers | |||
|---|---|---|---|---|---|---|---|---|
| ITS | EF-1α | GAPDH | OPA 10-2 | |||||
| Alternaria alstroemeriae | CBS 118808 | USA | Alstroemeria sp. | [18] | KP124296 | KP125071 | KP124153 | KP124601 |
| A. alternata | AaMDc5b | Italy | Punica granatum | [4] | MW580731 | MW585112 | MW590490 | MW590532 |
| A. alternata | AaMDc5d | Italy | P. granatum | [4] | MW580755 | MW585133 | MW590514 | MW590556 |
| A. alternata | AaMMH6b | Italy | P. granatum | [4] | MW580756 | MW585134 | MW590515 | MW590557 |
| A. alternata | CBS 102.47 | USA | Citrus sinensis | [18] | KP124304 | KP125080 | KP124161 | KP124610 |
| A. alternata | CBS 102595 | USA | C. jambhiri | [18] | FJ266476 | KC584666 | AY562411 | KP124636 |
| A. alternata | CBS 112252 | - | - | [18] | KP124340 | KP125116 | KP124194 | KP124650 |
| A. alternata | CBS 117.44 | Denmark | Godetia sp. | [18] | KP124303 | KP125079 | KP124160 | KP124609 |
| A. alternata | CBS 916.96 | India | Arachis hypogaea | [18] | AF347031 | KC584634 | AY278808 | KP124632 |
| A. arborescens | AaMDc1b | Italy | P. granatum | [4] | MW580737 | MW585151 | MW590496 | MW590538 |
| A. arborescens | AaMRa1 | Italy | P. granatum | [4] | MW580759 | MW585153 | MW590518 | MW590560 |
| A. arborescens | CBS 108.41 | - | wood | [18] | KP124394 | KP125172 | KP124246 | KP124707 |
| A. arborescens | CBS 109730 | USA | Solanum lycopersicum | [18] | KP124399 | KP125177 | KP124251 | KP124713 |
| A. arborescens | CBS 112749 | South Africa | Malus domestica | [18] | KP124401 | KP125179 | KP124253 | KP124715 |
| A. arborescens | CBS 115517 | South Africa | M. domestica | [18] | KP124404 | KP125182 | KP124256 | KP124718 |
| A. arborescens | AaMDc1a | Italy | P. granatum | [4] | MW580736 | MW585150 | MW590495 | MW590537 |
| A. betae-kenyensis | CBS 118810 | Kenya | Beta vulgaris var. cicla | [18] | KP124419 | KP125197 | KP124270 | KP124733 |
| A. burnsii | CBS 107.38 | India | Cuminum cyminum | [18] | KP124420 | JQ646305 | KP125198 | KP124734 |
| A. eichhorniae | CBS 119778 | Indonesia | Eichhornia crassipes | [18] | KP124426 | KP125205 | KP124277 | KP124741 |
| A. jacinthicola | CBS 878.95 | Mauritius | Arachis hypogaea | [18] | KP124437 | KP125216 | KP124286 | KP124753 |
| A. longipes | CBS 540.94 | USA | Nicotiana tabacum | [18] | AY278835 | KC584667 | AY278811 | KP124758 |
| A. tomato | CBS 103.30 | - | S. lycopersicum | [18] | KP124445 | KP125224 | KP124294 | KP124762 |
4.4. Pathogenicity Tests on Leaves and Fruits of Different Pomegranate Varieties
4.5. Statistical Analysis
5. Conclusions
Author Contributions
Funding
Data Availability Statement
Acknowledgments
Conflicts of Interest
References
- Passafiume, R.; Perrone, A.; Sortino, G.; Gianguzzi, G.; Saletta, F.; Gentile, C.; Farina, V. Chemical–Physical Characteristics, Polyphenolic Content and Total Antioxidant Activity of Three Italian-Grown Pomegranate Cultivars. NFS J. 2019, 16, 9–14. [Google Scholar] [CrossRef]
- Tinebra, I.; Scuderi, D.; Sortino, G.; Mazzaglia, A.; Farina, V. Pomegranate Cultivation in Mediterranean Climate: Plant Adaptation and Fruit Quality of ‘Mollar de Elche’ and ‘Wonderful’ Cultivars. Agronomy 2021, 11, 156. [Google Scholar] [CrossRef]
- Adiletta, G.; Petriccione, M.; Liguori, L.; Pizzolongo, F.; Romano, R.; Di Matteo, M. Study of Pomological Traits and Physico-Chemical Quality of Pomegranate (Punica granatum L.) Genotypes Grown in Italy. Eur. Food Res. Technol. 2018, 244, 1427–1438. [Google Scholar] [CrossRef]
- Aloi, F.; Riolo, M.; Sanzani, S.M.; Mincuzzi, A.; Ippolito, A.; Siciliano, I.; Pane, A.; Gullino, M.L.; Cacciola, S.O. Characterization of Alternaria Species Associated with Heart Rot of Pomegranate Fruit. J. Fungi 2021, 7, 172. [Google Scholar] [CrossRef] [PubMed]
- Chen, J.; Liao, C.; Ouyang, X.; Kahramanoǧlu, I.; Gan, Y.; Li, M. Antimicrobial Activity of Pomegranate Peel and Its Applications on Food Preservation. J. Food Qual. 2020, 2020, 8850339. [Google Scholar] [CrossRef]
- Pangallo, S.; Li Destri Nicosia, M.G.; Agosteo, G.E.; Abdelfattah, A.; Romeo, F.V.; Cacciola, S.O.; Rapisarda, P.; Schena, L. Evaluation of a Pomegranate Peel Extract as an Alternative Means to Control Olive Anthracnose. Phytopathology 2017, 107, 1462–1467. [Google Scholar] [CrossRef] [PubMed]
- Pangallo, S.; Li Destri Nicosia, M.G.; Raphael, G.; Levin, E.; Ballistreri, G.; Cacciola, S.O.; Rapisarda, P.; Droby, S.; Schena, L. Elicitation of Resistance Responses in Grapefruit and Lemon Fruits Treated with a Pomegranate Peel Extract. Plant Pathol. 2017, 66, 633–640. [Google Scholar] [CrossRef]
- Faedda, R.; Granata, G.; Massimino Cocuzza, G.E.; Lo Giudice, V.; Audoly, G.; Pane, A.; Cacciola, S.O. First Report of Heart Rot of Pomegranate (Punica granatum) Caused by Alternaria alternata in Italy. Plant Dis. 2015, 99, 1446. [Google Scholar] [CrossRef]
- Bregant, C.; Rossetto, G.; Montecchio, L.; Tundo, S.; Raiola, A.; Linaldeddu, B.T. First Report of Neofusicoccum parvum and Phytophthora palmivora Causing Fruit Rot of Pomegranate in Italy. Ital. J. Mycol. 2024, 53, 65–74. [Google Scholar] [CrossRef]
- Cacciola, S.O.; Gullino, M.L. Emerging and Re-Emerging Fungus and Oomycete Soil-Borne Plant Diseases in Italy. Phytopathol. Mediterr. 2019, 58, 451–472. [Google Scholar] [CrossRef]
- Pollastro, S.; Dongiovanni, C.; Gerin, D.; Pollastro, P.; Fumarola, G.; de Miccolis Angelini, R.M.; Faretra, F. First Report of Coniella granati as a Causal Agent of Pomegranate Crown Rot in Southern Italy. Plant Dis. 2016, 100, 1498. [Google Scholar] [CrossRef]
- Mincuzzi, A.; Sanzani, S.M.; Palou, L.; Ragni, M.; Ippolito, A. Postharvest Rot of Pomegranate Fruit in Southern Italy: Characterization of the Main Pathogens. J. Fungi 2022, 8, 475. [Google Scholar] [CrossRef] [PubMed]
- Munhuweyi, K.; Lennox, C.L.; Meitz-Hopkins, J.C.; Caleb, O.J.; Opara, U.L. Major Diseases of Pomegranate (Punica granatum L.), Their Causes and Management—A Review. Sci. Hortic. 2016, 211, 126–139. [Google Scholar] [CrossRef]
- Xavier, K.V.; KC, A.N.; Vallad, G.E. Diseases of Pomegranate (Punica granatum) in Florida. EDIS 2019, 10, 349. [Google Scholar] [CrossRef]
- Berbegal, M.; López-Cortés, I.; Salazar, D.; Gramaje, D.; Pérez-Sierra, A.; García-Jiménez, J.; Armengol, J. First Report of Alternaria Black Spot of Pomegranate Caused by Alternaria alternata in Spain. Plant Dis. 2014, 98, 689. [Google Scholar] [CrossRef] [PubMed]
- Ezra, D.; Gat, T.; Skovorodnikova, Y.; Vardi, Y.; Kosto, I. First Report of Alternaria Black Spot of Pomegranate Caused by Alternaria alternata in Israel. Australas. Plant Dis. Notes 2010, 5, 1–2. [Google Scholar] [CrossRef]
- Andrew, M.; Peever, T.L.; Pryor, B.M. An Expanded Multilocus Phylogeny Does Not Resolve Morphological Species within the Small-Spored Alternaria Species Complex. Mycologia 2009, 101, 95–109. [Google Scholar] [CrossRef] [PubMed]
- Woudenberg, J.H.C.; Seidl, M.F.; Groenewald, J.Z.; de Vries, M.; Stielow, J.B.; Thomma, B.P.H.J.; Crous, P.W. Alternaria Section Alternaria: Species, Formae Speciales or Pathotypes? Stud. Mycol. 2015, 82, 1–21. [Google Scholar] [CrossRef] [PubMed]
- Addangadi, K.C.; Sipai, A.H.; Muralidharan, C.M. Studies on Alternaria Leaf and Fruit Spot of Pomegranate Caused by Alternaria alternata (Fr.) Keissler. Environ. Ecol. 2021, 39, 1078–1085. Available online: https://www.cabidigitallibrary.org/doi/full/10.5555/20220218596 (accessed on 9 October 2021).
- Madhukar, J.; Reddy, S.M. Some New Leaf Spot Diseases of Pomegranate. Indian J. Mycol. Plant Pathol. 1988, 18, 171–172. [Google Scholar]
- Yang, T.; Chen, S.; He, D.; Xu, G.; Tian, F.; Pang, F.; Li, Y.; Huang, S.; Wang, T. Leaf Spot Disease on Punica granatum Caused by Alternaria alternata in China. Plant Dis. 2023, 107, 2227. [Google Scholar] [CrossRef] [PubMed]
- Gat, T.; Liarzi, O.; Skovorodnikova, Y.; Ezra, D. Characterization of Alternaria alternata Causing Black Spot Disease of Pomegranate in Israel Using a Molecular Marker. Plant Dis. 2012, 96, 1513–1518. [Google Scholar] [CrossRef] [PubMed]
- Armitage, A.D.; Barbara, D.J.; Harrison, R.J.; Lane, C.R.; Sreenivasaprasad, S.; Woodhall, J.W.; Clarkson, J.P. Discrete Lineages within Alternaria alternata Species Group: Identification Using New Highly Variable Loci and Support from Morphological Characters. Fungal Biol. 2015, 119, 994–1006. [Google Scholar] [CrossRef] [PubMed]
- Ezra, D.; Kirshner, B.; Gat, T.; Shteinberg, D.; Kosto, I. Heart Rot of Pomegranate, When and How Does the Pathogen Cause the Disease? Acta Hortic. 2015, 1089, 167–172. [Google Scholar] [CrossRef]
- Ezra, D.; Kirshner, B.; Hershcovich, M.; Shtienberg, D.; Kosto, I. Heart Rot of Pomegranate: Disease Etiology and the Events Leading to Development of Symptoms. Plant Dis. 2015, 99, 496–501. [Google Scholar] [CrossRef] [PubMed]
- Ezra, D.; Shulhani, R.; Bar Ya’Akov, I.; Harel-Beja, R.; Holland, D.; Shtienberg, D. Factors Affecting the Response of Pomegranate Fruit to Alternaria alternata, the Causal Agent of Heart Rot. Plant Dis. 2019, 103, 315–323. [Google Scholar] [CrossRef] [PubMed]
- Kanetis, L.; Testempasis, S.; Goulas, V.; Samuel, S.; Myresiotis, C.; Karaoglanidis, G.S. Identification and Mycotoxigenic Capacity of Fungi Associated with Pre- and Postharvest Fruit Rots of Pomegranates in Greece and Cyprus. Int. J. Food Microbiol. 2015, 208, 84–92. [Google Scholar] [CrossRef] [PubMed]
- Luo, Y.; Hou, L.; Förster, H.; Pryor, B.; Adaskaveg, J.E. Identification of Alternaria Species Causing Heart Rot of Pomegranates in California. Plant Dis. 2017, 101, 421–427. [Google Scholar] [CrossRef] [PubMed]
- Tziros, G.T.; Lagopodi, A.L.; Tzavella-Klonari, K. Alternaria alternata Fruit Rot of Pomegranate (Punica granatum) in Greece. Plant Pathol. 2008, 57, 379. [Google Scholar] [CrossRef]
- Zhang, L.; McCarthy, M.J. Black Heart Characterization and Detection in Pomegranate Using NMR Relaxometry and MR Imaging. Postharvest Biol. Technol. 2012, 67, 96–101. [Google Scholar] [CrossRef]
- Schaller, A.; Chater, J.M.; Vallad, G.E.; Moersfelder, J.; Heinitz, C.; Deng, Z. Pomegranate Ceultivars with Diverse Origins Exhibit Strong Resistance to Anthracnose Fruit Rot Caused by Colletotrichum gloeosporioides, a Major Disease in Southeast United States. Horticulturae 2023, 9, 1097. [Google Scholar] [CrossRef]
- Pakruddin, B.; Hemavathy, R. A Comprehensive Standardized Dataset of Numerous Pomegranate Fruit Diseases for Deep Learning. Data Br. 2024, 54, 110284. [Google Scholar] [CrossRef]
- Li, X.; Lu, X.; He, Y.; Deng, M.; Lv, Y. Identification the Pathogens Causing Rot Disease in Pomegranate (Punica granatum L.) in China and the Antifungal Activity of Aqueous Garlic Extract. Forests 2020, 11, 34. [Google Scholar] [CrossRef]
- Lamichhane, J.R.; Barbetti, M.J.; Chilvers, M.I.; Pandey, A.K.; Steinberg, C. Exploiting Root Exudates to Manage Soil-Borne Disease Complexes in a Changing Climate. Trends Microbiol. 2024, 32, 27–37. [Google Scholar] [CrossRef] [PubMed]
- Garrett, K.A.; Nita, M.; De Wolf, E.D.; Esker, P.D.; Gomez-Montano, L.; Sparks, A.H. Plant Pathogens as Indicators of Climate Change. In Climate Change: Observed Impacts on Planet Earth, 3rd ed.; Elsevier: Amsterdam, The Netherlands, 2021; pp. 499–513. ISBN 9780128215753. [Google Scholar]
- Lamichhane, J.R.; Dürr, C.; Schwanck, A.A.; Robin, M.H.; Sarthou, J.P.; Cellier, V.; Messéan, A.; Aubertot, J.N. Integrated Management of Damping-off Diseases. A Review. Agron. Sustain. Dev. 2017, 37, 10. [Google Scholar] [CrossRef]
- Lahlali, R.; Mohammed, T.; Laasli, S.-E.; Gachara, G.; Ezzouggari, R.; Belabess, Z.; Aberkani, K.; Assougeum, A.; Meddich, A.; El Jarroudi, M.; et al. Effects of Climate Change on Plant Pathogens and Host-Pathogen Interactions. Crop Environ. 2024; in press. [Google Scholar] [CrossRef]
- Fagodiya, R.K.; Trivedi, A.; Fagodia, B.L. Impact of Weather Parameters on Alternaria Leaf Spot of Soybean Incited by Alternaria alternata. Sci. Rep. 2022, 12, 6131. [Google Scholar] [CrossRef] [PubMed]
- Lim, J.A.; Yaacob, J.S.; Mohd Rasli, S.R.A.; Eyahmalay, J.E.; El Enshasy, H.A.; Zakaria, M.R.S. Mitigating the Repercussions of Climate Change on Diseases Affecting Important Crop Commodities in Southeast Asia, for Food Security and Environmental Sustainability—A Review. Front. Sustain. Food Syst. 2023, 6, 1030540. [Google Scholar] [CrossRef]
- Timmer, L.W.; Darhower, H.M.; Zitko, S.E.; Peever, T.L.; Ibáñez, A.M.; Bushong, P.M. Environmental Factors Affecting the Severity of Alternaria Brown Spot of Citrus and Their Potential Use in Timing Fungicide Applications. Plant Dis. 2000, 84, 638–643. [Google Scholar] [CrossRef]
- Saharan, M.S.; Saharan, G.S. Influence of Weather Factors on the Incidence of Alternaria Blight of Cluster Bean (Cyamopsis tetragonoloba (L.) Taub.) on Varieties with Different Susceptibilities. Crop Prot. 2004, 23, 1223–1227. [Google Scholar] [CrossRef]
- White, T.J.; Bruns, T.; Lee, S.; Taylor, J.W. Amplification and Direct Sequencing of Fungal Ribosomal RNA Genes for Phylogenetics. In PCR Protocols: A Guide to Methods and Applications; Innis, M.A., Gelfand, D.H., Sninsky, J.J., White, T.J., Eds.; Academic Press, Inc.: San Diego, CA, USA, 1990; Volume 18, pp. 315–322. [Google Scholar]
- Carbone, I.; Kohn, L.M. A Method for Designing Primer Sets for Speciation Studies in Filamentous Ascomycetes. Mycologia 1999, 91, 553–556. [Google Scholar] [CrossRef]
- Berbee, M.L.; Pirseyedi, M.; Hubbard, S. Cochliobolus Phylogenetics and the Origin of Known, Highly Virulent Pathogens, Inferred from ITS and Glyceraldehyde-3-Phosphate Dehydrogenase Gene Sequences. Mycologia 1999, 91, 964–977. [Google Scholar] [CrossRef]
- Hall, M.P.; Nagel, R.J.; Fagg, W.S.; Shiue, L.; Cline, M.S.; Perriman, R.J.; Donohue, J.P.; Ares, M. Quaking and PTB Control Overlapping Splicing Regulatory Networks during Muscle Cell Differentiation. RNA 2013, 19, 627–638. [Google Scholar] [CrossRef] [PubMed]







| Isolate | Host, Cultivar | Source | Morphotype | Location | GenBank Accession Numbers | |||
|---|---|---|---|---|---|---|---|---|
| ITS | EF-1α | GPDH | OPA 10-2 | |||||
| MNC1 | P. granatum ‘Wonderful’ | Fruit | 1 | Sicily, IT | PP791893 | PP820781 | PP803578 | PP803608 |
| MNC2 | P. granatum ‘Wonderful’ | Fruit | 1 | Sicily, IT | PP791895 | PP820783 | PP803580 | PP803610 |
| MNC3 | P. granatum ‘Wonderful’ | Fruit | 1 | Sicily, IT | PP791894 | PP820782 | PP803579 | PP803609 |
| MNC4 | P. granatum ‘Wonderful’ | Fruit | 1 | Sicily, IT | PP791896 | PP820784 | PP803581 | PP803611 |
| MNC5 | P. granatum ‘Wonderful’ | Fruit | 1 | Sicily, IT | PP791897 | PP820785 | PP803582 | PP803612 |
| MNC6 | P. granatum ‘Wonderful’ | Fruit | 1 | Sicily, IT | PP791898 | PP820786 | PP803583 | PP803613 |
| MNC7 | P. granatum ‘Wonderful’ | Fruit | 1 | Sicily, IT | PP791899 | PP820787 | PP803584 | PP803614 |
| MNC8 | P. granatum ‘Wonderful’ | Fruit | 1 | Sicily, IT | PP791900 | PP820788 | PP803585 | PP803615 |
| MNC9 | P. granatum ‘Wonderful’ | Fruit | 1 | Sicily, IT | PP791901 | PP820789 | PP803586 | PP803616 |
| MNC10 | P. granatum ‘Wonderful’ | Fruit | 1 | Sicily, IT | PP791902 | PP820790 | PP803587 | PP803617 |
| MFO1 | P. granatum ‘Wonderful’ | Leaf | 2 | Sicily, IT | PP791890 | PP820778 | PP803575 | PP803605 |
| MFO2 | P. granatum ‘Wonderful’ | Leaf | 2 | Sicily, IT | PP791889 | PP820777 | PP803574 | PP803604 |
| MFO3 | P. granatum ‘Wonderful’ | Leaf | 2 | Sicily, IT | PP791888 | PP820776 | PP803573 | PP803603 |
| MFO4 | P. granatum ‘Wonderful’ | Leaf | 2 | Sicily, IT | PP791887 | PP820775 | PP803572 | PP803602 |
| MFO5 | P. granatum ‘Wonderful’ | Leaf | 2 | Sicily, IT | PP791886 | PP820774 | PP803571 | PP803601 |
| MFO6 | P. granatum ‘Wonderful’ | Leaf | 2 | Sicily, IT | PP791885 | PP820773 | PP803570 | PP803600 |
| MFO7 | P. granatum ‘Wonderful’ | Leaf | 2 | Sicily, IT | PP791883 | PP820771 | PP803568 | PP803598 |
| MFO8 | P. granatum ‘Wonderful’ | Leaf | 2 | Sicily, IT | PP791884 | PP820772 | PP803569 | PP803599 |
| MFO9 | P. granatum ‘Wonderful’ | Leaf | 2 | Sicily, IT | PP791891 | PP820779 | PP803576 | PP803606 |
| MFO10 | P. granatum ‘Wonderful’ | Leaf | 2 | Sicily, IT | PP791892 | PP820780 | PP803577 | PP803607 |
| MFC1 | P. granatum ‘Wonderful’ | Leaf | 3 | Sicily, IT | PP791903 | PP820791 | PP803588 | PP803618 |
| MFC2 | P. granatum ‘Wonderful’ | Leaf | 3 | Sicily, IT | PP791904 | PP820792 | PP803589 | PP803619 |
| MFC3 | P. granatum ‘Wonderful’ | Leaf | 3 | Sicily, IT | PP791905 | PP820793 | PP803590 | PP803620 |
| MFC4 | P. granatum ‘Wonderful’ | Leaf | 3 | Sicily, IT | PP791906 | PP820794 | PP803591 | PP803621 |
| MFC5 | P. granatum ‘Wonderful’ | Leaf | 3 | Sicily, IT | PP791907 | PP820795 | PP803592 | PP803622 |
| MFC6 | P. granatum ‘Wonderful’ | Leaf | 3 | Sicily, IT | PP791908 | PP820796 | PP803593 | PP803623 |
| MFC7 | P. granatum ‘Wonderful’ | Leaf | 3 | Sicily, IT | PP791909 | PP820797 | PP803594 | PP803624 |
| MFC8 | P. granatum ‘Wonderful’ | Leaf | 3 | Sicily, IT | PP791910 | PP820798 | PP803595 | PP803625 |
| MFC9 | P. granatum ‘Wonderful’ | Leaf | 3 | Sicily, IT | PP791911 | PP820799 | PP803596 | PP803626 |
| MFC10 | P. granatum ‘Wonderful’ | Leaf | 3 | Sicily, IT | PP791912 | PP820800 | PP803597 | PP803627 |
Disclaimer/Publisher’s Note: The statements, opinions and data contained in all publications are solely those of the individual author(s) and contributor(s) and not of MDPI and/or the editor(s). MDPI and/or the editor(s) disclaim responsibility for any injury to people or property resulting from any ideas, methods, instructions or products referred to in the content. |
© 2024 by the authors. Licensee MDPI, Basel, Switzerland. This article is an open access article distributed under the terms and conditions of the Creative Commons Attribution (CC BY) license (https://creativecommons.org/licenses/by/4.0/).
Share and Cite
Tirrò, G.; Conti Taguali, S.; Pane, A.; Riolo, M.; Ezra, D.; Cacciola, S.O. Outbreak of Alternaria Black Spot of Pomegranate (Punica granatum L.) in Italy as a Consequence of Unusual Climatic Conditions. Plants 2024, 13, 2007. https://doi.org/10.3390/plants13142007
Tirrò G, Conti Taguali S, Pane A, Riolo M, Ezra D, Cacciola SO. Outbreak of Alternaria Black Spot of Pomegranate (Punica granatum L.) in Italy as a Consequence of Unusual Climatic Conditions. Plants. 2024; 13(14):2007. https://doi.org/10.3390/plants13142007
Chicago/Turabian StyleTirrò, Gaetano, Sebastiano Conti Taguali, Antonella Pane, Mario Riolo, David Ezra, and Santa Olga Cacciola. 2024. "Outbreak of Alternaria Black Spot of Pomegranate (Punica granatum L.) in Italy as a Consequence of Unusual Climatic Conditions" Plants 13, no. 14: 2007. https://doi.org/10.3390/plants13142007
APA StyleTirrò, G., Conti Taguali, S., Pane, A., Riolo, M., Ezra, D., & Cacciola, S. O. (2024). Outbreak of Alternaria Black Spot of Pomegranate (Punica granatum L.) in Italy as a Consequence of Unusual Climatic Conditions. Plants, 13(14), 2007. https://doi.org/10.3390/plants13142007

