Sunpheno: A Deep Neural Network for Phenological Classification of Sunflower Images
Abstract
1. Introduction
2. Results
2.1. Dataset
2.2. Methods and Models
2.3. Sunpheno
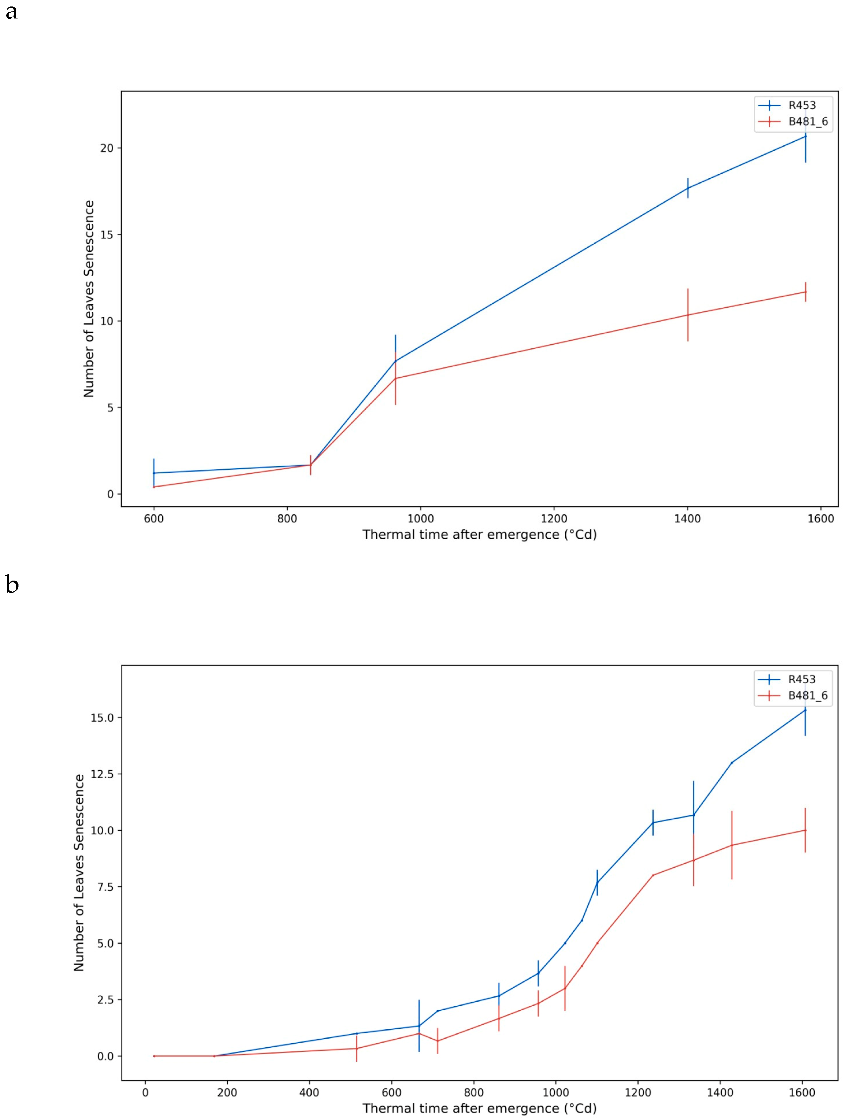
2.4. Case Study
3. Discussion
Conclusions
4. Materials and Methods
4.1. Plant Material and Experimental Conditions
4.2. Physiological Parameters
4.3. Dataset
4.4. Methods
4.4.1. Baseline CNN
4.4.2. VGG19
4.4.3. ResNet Networks (18–50)
4.4.4. Transformer
4.5. Transfer Learning
4.6. Data Augmentation
4.7. Experimental Operation Environment
4.8. Performance Evaluation
Supplementary Materials
Author Contributions
Funding
Data Availability Statement
Acknowledgments
Conflicts of Interest
References
- FAOSTAT. Library of Congress: Washington, DC, USA. Available online: https://lccn.loc.gov/2005617801 (accessed on 25 June 2024).
- Sadras, V.O.; Echarte, L.; Andrade, F.H. Profiles of leaf senescence during reproductive growth of sunflower and maize. Ann. Bot. 2000, 85, 187–195. [Google Scholar] [CrossRef]
- Dosio, G.A.A.; Aguirrezábal, L.A.N. Variaciones del rendimiento en girasol. Identificando las causas. Rev. Agromercado Cuad. Girasol 2004, 90, 7–10. [Google Scholar]
- De la Vega, A.J.; Cantore, M.A.; Sposaro, M.M.; Trápani, N.; Pereira, M.L.; Hall, A.J. Canopy stay-green and yield in non-stressed sunflower. Field Crops Res. 2011, 121, 175–185. [Google Scholar] [CrossRef]
- Himelblau, E.; Amasino, R.M. Nutrients mobilized from leaves of Arabidopsis thaliana during leaf senescence. J. Plant Physiol. 2001, 158, 1317–1323. [Google Scholar] [CrossRef]
- Agüera, E.; Cabello, P.; de la Haba, P. Induction of leaf senescence by low nitrogen nutrition in sunflower (Helianthus annuus) plants. Physiol. Plant. 2010, 138, 256–267. [Google Scholar] [CrossRef] [PubMed]
- Moschen, S.; Gialdi, A.I.L.; Paniego, N.; Fernandez, P.; Heinz, R.A. Sunflower Leaf Senescence: A Complex Genetic Process with Economic Impact on Crop Production; Dorszewska, J., Kozubski, W., Eds.; InTech Open: London, UK, 2017. [Google Scholar] [CrossRef]
- Gregersen, P.L.; Culetic, A.; Boschian, L.; Krupinska, K. Plant senescence and crop productivity. Plant Mol. Biol. 2013, 82, 603–622. [Google Scholar] [CrossRef] [PubMed]
- Kusaba, M.; Tanaka, A.; Tanaka, R. Stay-green plants: What do they tell us about the molecular mechanism of leaf senescence. Photosynth. Res. 2013, 117, 221–234. [Google Scholar] [CrossRef] [PubMed]
- Sakamoto, T.; Gitelson, A.A.; Arkebauer, T.J. MODIS-based corn grain yield estimation model incorporating crop phenology information. Remote Sens. Environ. 2013, 131, 215–231. [Google Scholar] [CrossRef]
- Observed Northward Migration of Agro-Climate Zones in Europe Will Further Accelerate Under Climate Change—Ceglar—2019—Earth’s Future—Wiley Online Library. Available online: https://agupubs.onlinelibrary.wiley.com/doi/10.1029/2019EF001178 (accessed on 24 June 2024).
- Du, Q.; Liu, H.; Li, Y.; Xu, L.; Diloksumpun, S. The effect of phenology on the carbon exchange process in grassland and maize cropland ecosystems across a semiarid area of China. Sci. Total Environ. 2019, 695, 133868. [Google Scholar] [CrossRef]
- Cantagallo, J.E.; Medan, D.; Hall, A.J. Grain number in sunflower as affected by shading during floret growth, anthesis and grain setting. Field Crops Res. 2004, 85, 191–202. [Google Scholar] [CrossRef]
- Castillo, F.M.; Canales, J.; Claude, A.; Calderini, D.F. Expansin genes expression in growing ovaries and grains of sunflower are tissue-specific and associate with final grain weight. BMC Plant Biol. 2018, 18, 327. [Google Scholar] [CrossRef] [PubMed]
- Aguirreza, L.A.N.; Lavaud, Y.; Dosio, G.A.A.; Izquierdo, N.G.; Andrade, F.H.; González, L.M. Intercepted Solar Radiation during Seed Filling Determines Sunflower Weight per Seed and Oil Concentration. Crop Sci. 2003, 161, 152–161. [Google Scholar] [CrossRef]
- Dosio, G.A.A.; Izquierdo, N.G.; Bordoy, E.I.N.; Aguirrezábal, L.A.N. Leaf senescence did not account for variations in grain and oil yield observed in sunflower under radiation limiting conditions. Agric. For. Meteorol. 2020, 291, 108032. [Google Scholar] [CrossRef]
- Schneiter, A.A.; Miller, J.F. Description of sunflower growth stages. Crop Sci. 1981, 21, 901–903. [Google Scholar] [CrossRef]
- Gosseau, F.; Blanchet, N.; Varès, D.; Burger, P.; Campergue, D.; Colombet, C.; Gody, L.; Liévin, J.-F.; Mangin, B.; Tison, G.; et al. Heliaphen, an outdoor high-throughput phenotyping platform for genetic studies and crop modeling. Front. Plant Sci. 2019, 9, 1908. [Google Scholar] [CrossRef] [PubMed]
- Malik, A.; Vaidya, G.; Jagota, V.; Eswaran, S.; Sirohi, A.; Batra, I.; Rakhra, M.; Asenso, E. Design and Evaluation of a Hybrid Technique for Detecting Sunflower Leaf Disease Using Deep Learning Approach. J. Food Qual. 2022, 2022, 9211700. [Google Scholar] [CrossRef]
- Pérez-Ortiz, M.; Peña, J.M.; Gutiérrez, P.A.; Torres-Sánchez, J.; Hervás-Martínez, C.; López-Granados, F. A semi-supervised system for weed mapping in sunflower crops using unmanned aerial vehicles and a crop row detection method. Appl. Soft Comput. 2015, 37, 533–544. [Google Scholar] [CrossRef]
- de Luna, R.G.; Dadios, E.P.; Bandala, A.A.; Vicerra, R.R.P. Tomato Growth Stage Monitoring for Smart Farm Using Deep Transfer Learning with Machine Learning-based Maturity Grading. AGRIVITA J. Agric. Sci. 2020, 42, 24–36. [Google Scholar] [CrossRef]
- Computer Vision-Based Phenotyping for Improvement of Plant Productivity: A Machine Learning Perspective|GigaScience|Oxford Academic. Available online: https://academic.oup.com/gigascience/article/8/1/giy153/5232233?login=false (accessed on 24 June 2024).
- Deng, J.; Dong, W.; Socher, R.; Li, L.-J.; Li, K.; Fei-Fei, L. ImageNet: A large-scale hierarchical image database. In Proceedings of the 2009 IEEE Conference on Computer Vision and Pattern Recognition, Miami, FL, USA, 20–25 June 2009; pp. 248–255. [Google Scholar] [CrossRef]
- Dosovitskiy, A.; Beyer, L.; Kolesnikov, A.; Weissenborn, D.; Zhai, X.; Unterthiner, T.; Dehghani, M.; Minderer, M.; Heigold, G.; Gelly, S.; et al. An Image is Worth 16x16 Words: Transformers for Image Recognition at Scale. arXiv 2021. [Google Scholar] [CrossRef]
- Simonyan, K.; Zisserman, A. Very Deep Convolutional Networks for Large-Scale Image Recognition. arXiv 2015. [Google Scholar] [CrossRef]
- Devlin, J.; Chang, M.-W.; Lee, K.; Toutanova, K. BERT: Pre-training of Deep Bidirectional Transformers for Language Understanding. arXiv 2019. [Google Scholar] [CrossRef]
- Radford, A.; Wu, J.; Child, R.; Luan, D.; Amodei, D.; Sutskever, I. Language Models are Unsupervised Multitask Learners. OpenAI Blog 2019, 1, 9. [Google Scholar]
- Brown, T.; Mann, B.; Ryder, N.; Subbiah, M.; Kaplan, J.D.; Dhariwal, P.; Neelakantan, A.; Shyam, P.; Sastry, G.; Askell, A.; et al. Language Models are Few-Shot Learners. arXiv 2020. [Google Scholar] [CrossRef]
- Raffel, C.; Shazeer, N.; Roberts, A.; Lee, K.; Narang, S.; Matena, M.; Zhou, Y.; Li, W.; Liu, P.J. Exploring the Limits of Transfer Learning with a Unified Text-to-Text Transformer. arXiv 2023. [Google Scholar] [CrossRef]
- Singh, A.; Ganapathysubramanian, B.; Singh, A.K.; Sarkar, S. Machine Learning for High-Throughput Stress Phenotyping in Plants. Trends Plant Sci. 2016, 21, 110–124. [Google Scholar] [CrossRef] [PubMed]
- Deery, D.; Jimenez-Berni, J.; Jones, H.; Sirault, X.; Furbank, R. Proximal remote sensing buggies and potential applications for field-based phenotyping. Agronomy 2014, 4, 349–379. [Google Scholar] [CrossRef]
- Gulac, F.; Bayazit, U. Plant and Phenology Recognition from Field Images Using Texture and Color Features. In Proceedings of the 2018 Innovations in Intelligent Systems and Applications (INISTA), Thessaloniki, Greece, 3–5 July 2018; pp. 1–6. [Google Scholar] [CrossRef]
- Muneeb, M.; Feng, S.F.; Henschel, A. Deep learning pipeline for image classification on mobile phones. In Proceedings of the 9th International Conference on Artificial Intelligence and Applications (AIAPP 2022), Vancouver, BC, Canada, 28–29 May 2022; pp. 1–20. [Google Scholar] [CrossRef]
- Shaheed, K.; Qureshi, I.; Abbas, F.; Jabbar, S.; Abbas, Q.; Ahmad, H.; Sajid, M.Z. EfficientRMT-Net—An Efficient ResNet-50 and Vision Transformers Approach for Classifying Potato Plant Leaf Diseases. Sensors 2023, 23, 9516. [Google Scholar] [CrossRef]
- Bayazit, U.; Altilar, D.; Bayazit, N. Classification and phenological staging of crops from in situ image sequences by deep learning. Turk. J. Electr. Eng. Comput. Sci. 2022, 30, 1299–1316. [Google Scholar] [CrossRef]
- Gialdi, A.I.L.; Moschen, S.; Villán, C.S.; Fernández, M.P.L.; Maldonado, S.; Paniego, N.; Heinz, R.A.; Fernandez, P. Identification and characterization of contrasting sunflower genotypes to early leaf senescence process combining molecular and physiological studies (Helianthus annuus L.). Plant Sci. 2016, 250, 40–50. [Google Scholar] [CrossRef][Green Version]
- Ngugi, L.C.; Abdelwahab, M.; Abo-Zahhad, M. Tomato leaf segmentation algorithms for mobile phone applications using deep learning. Comput. Electron. Agric. 2020, 178, 105788. [Google Scholar] [CrossRef]
- Restrepo-Arias, J.F.; Branch-Bedoya, J.W.; Awad, G. Image classification on smart agriculture platforms: Systematic literature review. Artif. Intell. Agric. 2024, 13, 1–17. [Google Scholar] [CrossRef]
- Darwin, B.; Dharmaraj, P.; Prince, S.; Popescu, D.E.; Hemanth, D.J. Recognition of Bloom/Yield in Crop Images Using Deep Learning Models for Smart Agriculture: A Review. Agronomy 2021, 11, 646. [Google Scholar] [CrossRef]
- Deng, R.; Jiang, Y.; Tao, M.; Huang, X.; Bangura, K.; Liu, C.; Lin, J.; Qi, L. Deep learning-based automatic detection of productive tillers in rice. Comput. Electron. Agric. 2020, 177, 105703. [Google Scholar] [CrossRef]
- Moschen, S.; Marino, J.; Nicosia, S.; Higgins, J.; Alseekh, S.; Astigueta, F.; Luoni, S.B.; Rivarola, M.; Fernie, A.R.; Blanchet, N.; et al. Exploring gene networks in two sunflower lines with contrasting leaf senescence phenotype using a system biology approach. BMC Plant Biol. 2019, 19, 446. [Google Scholar] [CrossRef]
- Kiniry, J.R.; Blanchet, R.; Williams, J.R.; Texier, V.; Jones, K.; Cabelguenne, M. Sunflower simulation using the EPIC and ALMANAC models. Field Crops Res. 1992, 30, 403–423. [Google Scholar] [CrossRef]
- He, K.; Zhang, X.; Ren, S.; Sun, J. Deep Residual Learning for Image Recognition. arXiv 2015. [Google Scholar] [CrossRef]
- Vaswani, A.; Shazeer, N.; Parmar, N.; Uszkoreit, J.; Jones, L.; Gomez, A.N.; Kaiser, Ł.; Polosukhin, I. Attention is all you need. In Proceedings of the 31st International Conference on Neural Information Processing Systems (NIPS’17), Long Beach, CA, USA, 4–9 December 2017; Curran Associates Inc.: Red Hook, NY, USA, 2017; pp. 6000–6010. [Google Scholar]








| CNN from Scratch | VGG19 | ResNet18 | ResNet50 | VITB16 | |
|---|---|---|---|---|---|
| Macro average precision | 0.83 | 0.91 | 0.95 | 0.96 | 0.94 |
| Macro average recall | 0.84 | 0.91 | 0.95 | 0.96 | 0.94 |
| Macro F1 score | 0.84 | 0.91 | 0.95 | 0.96 | 0.94 |
| Error | 0.16 | 0.09 | 0.05 | 0.04 | 0.06 |
| Confidence interval (95%, z = 1.96) | 0.03 | 0.02 | 0.02 | 0.02 | 0.02 |
| Accuracy | 83.70 | 90.96 | 94.52 | 95.70 | 94.22 |
| Accuracy +/− | 2.79 | 2.16 | 1.72 | 1.53 | 1.76 |
| Number of parameters | 63,001 | 139,601,733 | 11,179,077 | 23,518,277 | 85,802,501 |
| Time of test 675 images (s) | 63,091 | 18,552 | 17,252 | 18,542 | 18,049 |
Disclaimer/Publisher’s Note: The statements, opinions and data contained in all publications are solely those of the individual author(s) and contributor(s) and not of MDPI and/or the editor(s). MDPI and/or the editor(s) disclaim responsibility for any injury to people or property resulting from any ideas, methods, instructions or products referred to in the content. |
© 2024 by the authors. Licensee MDPI, Basel, Switzerland. This article is an open access article distributed under the terms and conditions of the Creative Commons Attribution (CC BY) license (https://creativecommons.org/licenses/by/4.0/).
Share and Cite
Luoni, S.A.B.; Ricci, R.; Corzo, M.A.; Hoxha, G.; Melgani, F.; Fernandez, P. Sunpheno: A Deep Neural Network for Phenological Classification of Sunflower Images. Plants 2024, 13, 1998. https://doi.org/10.3390/plants13141998
Luoni SAB, Ricci R, Corzo MA, Hoxha G, Melgani F, Fernandez P. Sunpheno: A Deep Neural Network for Phenological Classification of Sunflower Images. Plants. 2024; 13(14):1998. https://doi.org/10.3390/plants13141998
Chicago/Turabian StyleLuoni, Sofia A. Bengoa, Riccardo Ricci, Melanie A. Corzo, Genc Hoxha, Farid Melgani, and Paula Fernandez. 2024. "Sunpheno: A Deep Neural Network for Phenological Classification of Sunflower Images" Plants 13, no. 14: 1998. https://doi.org/10.3390/plants13141998
APA StyleLuoni, S. A. B., Ricci, R., Corzo, M. A., Hoxha, G., Melgani, F., & Fernandez, P. (2024). Sunpheno: A Deep Neural Network for Phenological Classification of Sunflower Images. Plants, 13(14), 1998. https://doi.org/10.3390/plants13141998

