Application and Experimental Substantiation of the Radioecological Model for Prediction in Behavior 90Sr in Cultivated Soil-Crop System: A Case Study of Two Experimental Agricultural Fields
Abstract
1. Introduction
2. Materials and Methods
2.1. Sample Collection and Preparation
2.2. Analysis of the Physico-Chemical Properties of Soil
2.3. Radiochemical Analysis and Measurement of Radioactivity
2.4. Estimation of the Transfer Factor
2.5. Statistical Evaluation of the Measurement Results
2.6. Mathematical Modeling of 90Sr Transfer in the Agricultural Soil–Crop System
3. Results and Discussion
3.1. 90Sr Activity Concentration in Investigated Agricultural Soil and Crop Samples
3.2. Physico-Chemical Properties of the Soil
3.3. Linear Correlation Analysis and Analysis of Variance (ANOVA)
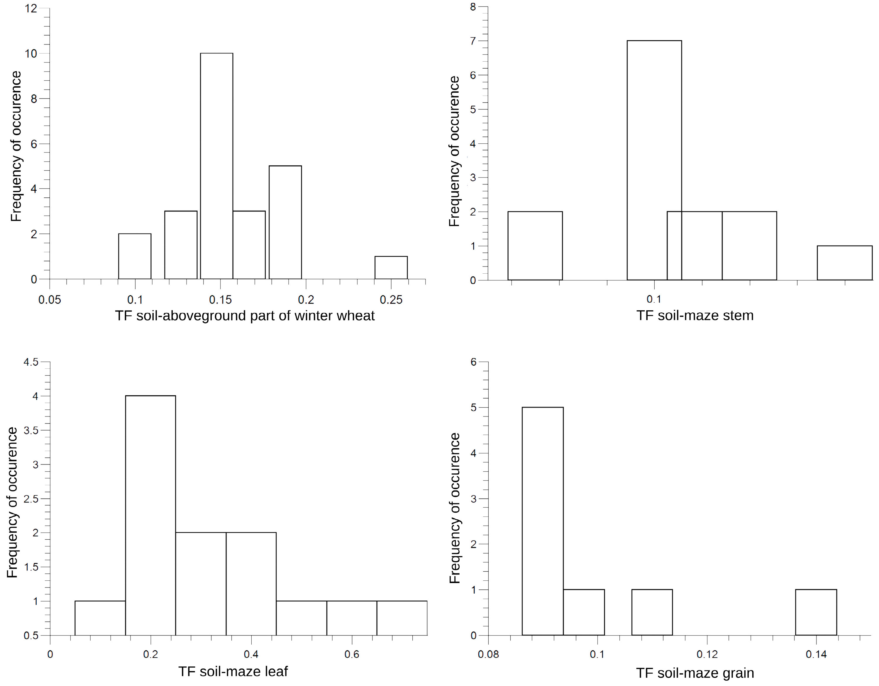
3.4. Calculated Values of the Transfer Factor in the Agricultural Soil–Crop System
3.5. Comparison of the Results of the Applied Mathematical Model and the Experimentally Determined Values of the Transfer Factor
4. Conclusions
Supplementary Materials
Author Contributions
Funding
Data Availability Statement
Acknowledgments
Conflicts of Interest
References
- Priya Latha, A.; George, S. Study of gross alpha and gross beta activity concentration in sediment and soil samples of three southern districts of Tamil Nadu. Int. J. Appl. Sci. 2006, 4, 319–332. [Google Scholar] [CrossRef]
- Cwanek, A.; Lokas, E.; Dinh, C.N.; Zagórski, P.; Singh, S.M.; Szufa, K.; Tomankiewicz, E. 90Sr level and behaviour in the terrestrial environment of Spitsbergen. J. Radioanal. Nucl. Chem. 2021, 327, 485–494. [Google Scholar] [CrossRef]
- Froidevaux, P.; Pittet, P.A.; Bühlmann, D.; Bochud, F.; Straub, M. Ion-imprinted resin for use in an automated solid phase extraction system for determining 90Sr in environmental and human samples. J. Radioanal. Nucl. Chem. 2021, 330, 797–804. [Google Scholar] [CrossRef]
- Başkaya, H.; Doğru, M.; Küçükӧnder, A. Determination of the 137Cs and 90Sr radioisotope activity concentrations found in digestive organs of sheep fed with different feeds. J. Environ. Radioact. 2014, 134, 61–65. [Google Scholar] [CrossRef] [PubMed]
- Jabbar, T.; Khan, K.; Subhani, M.S.; Akhter, P. Determination of 90Sr in environment of district Swat, Pakistan. J. Radioanal. Nucl. Chem. 2009, 279, 377–384. [Google Scholar] [CrossRef]
- Niedrée, B.; Berns, A.E.; Vereecken, H.; Burauel, P. Do Chernobyl-like contaminations with 137Cs and 90Sr affect the microbial community, the fungal biomass and the composition of soil organic matter in soil? J. Environ. Radioact. 2013, 118, 21–29. [Google Scholar] [CrossRef] [PubMed]
- Maskalchuk, L.N.; Baklai, A.A.; Konoplev, A.V.; Leontieva, T.G. Migration of 90Sr in the solid phase of the soil-soil solution-plant systems and ways to reduce it. Radiochemistry 2014, 56, 222–225. [Google Scholar] [CrossRef]
- Shcheglov, I.; Tsvetnova, O.B.; Klyashtorin, A.L. Biogeochemical Migration of Technogenic Radionuclides in Forrest Ecosystems; Nauka: Moscow, Russia, 2001. [Google Scholar]
- Burger, A.; Lichtscheidl, I. Strontium in the environment: Review about reactions of plants towards stable and radioactive strontium isotopes. Sci. Total Environ. 2019, 653, 1458–1512. [Google Scholar] [CrossRef]
- Gajić, B. Fizika Zemljišta; Univerzitet u Beogradu, Poljoprivredni fakultet: Beograd, Republika Srbija, 2016. (In Serbian) [Google Scholar]
- Cohen, B.L. Transport of elements from soil to human diet. Health Phys. 1985, 49, 239–245. [Google Scholar] [CrossRef]
- Kathren, R.L. Radioactivity in the Environment: Sources, Distribution and Surveillance; Harwood Academic Publishers: New York, NY, USA, 1986. [Google Scholar]
- Gastberger, M.; Steinhausler, F.; Gerzabek, M.H.; Lettner, H.; Hubmer, A. Soil-to-plant transfer of fallout caesium and strontium in Austrian lowland and Alpine pastures. J. Environ. Radioact. 2000, 49, 217–233. [Google Scholar] [CrossRef]
- Solecki, J.; Chibowski, S. Determination of transfer factors for 137Cs and 90Sr isotopes in soil-plant system. J. Radioanal. Nucl. Chem. 2002, 252, 89–93. [Google Scholar] [CrossRef]
- James, J.P.; Dileep, B.N.; Ravi, P.M.; Joshi, R.M.; Ajith, T.L.; Hedge, A.G.; Sarkar, P.K. Soil to leaf transfer factor for the radionuclides 226Ra, 40K, 137Cs and 90Sr at Kaiga region, India. J. Environ. Radioact. 2011, 102, 1070–1077. [Google Scholar] [CrossRef] [PubMed]
- Chakraborty, S.R.; Azim, R.; Rezaur Rahman, A.K.M.; Sarker, R. Radioactivity concentrations in soil and transfer factors of radionuclides from soil to grass and plants in the Chittagong city of Bangladesh. J. Phys. Sci. 2013, 24, 95–113. [Google Scholar]
- Sarap, N.B.; Janković, M.M.; Dolijanović, Ž.K.; Kovačević, D.Đ.; Rajačić, M.M.; Nikolić, J.D.; Todorović, D.J. Soil to plant transfer factor for 90Sr and 137Cs. J. Radioanal. Nucl. Chem. 2015, 303, 2523–2527. [Google Scholar] [CrossRef]
- Al-Hamarneh, I.F.; Alkhomashi, N.; Almasoud, F.I. Study on the radioactivity and soil-to-plant transfer factor of 226Ra, 234U and 238U radionuclides in irrigated farms from the northwestern Saudi Arabia. J. Environ. Radioact. 2016, 160, 1–7. [Google Scholar] [CrossRef] [PubMed]
- Lapointe, M.C.; Stuart, M.; Bond, M.J.; Hickling, N.; Gosselin, I.; Chen, H.Q.; Festarini, A. Sr-90 soil to plant transfer factor reduction using calcium and polymer soil amendments. J. Environ. Radioact. 2020, 218, 106258. [Google Scholar] [CrossRef] [PubMed]
- Aba, A.; Ismaeel, A.; Al-Boloushi, O. Estimation of radiostrontium, radiocesium and radiobarium transfer from arid soil to plant: A case study from Kuwait. Nucl. Eng. Technol. 2021, 53, 960–966. [Google Scholar] [CrossRef]
- Semioshkina, N.; Voigt, G. Soil-plant transfer of radionuclides in arid environments. J. Environ. Radioact. 2021, 237, 106692. [Google Scholar] [CrossRef]
- Environmental Modelling for Radiation Safety (EMRAS) Programme. Modelling Radiation Exposure and Radionuclide Transfer for Non-Human Species; Report of the Biota Working Group of EMRAS Theme 3; International Atomic Energy Agency (IAEA): Vienna, Austria, 2007. [Google Scholar]
- Roivainen, P.; Muurinen, S.M.; Sorvari, J.; Juutilainen, J.; Naarala, J.; Salomaa, S. Transfer of elements into boreal forest ants at a former uranium mining site. Environ. Pollut. 2022, 304, 119231. [Google Scholar] [CrossRef]
- Koch, J.; Tadmor, J. RADFOOD—A dynamic model for radioactivity transfer through the human food chain. Health Phys. 1986, 50, 1721–1737. [Google Scholar] [CrossRef]
- Whicker, F.W.; Kirchner, T.B. PATHWAY: A dynamic food-chain model to predict radionuclide ingestion after fallout deposition. Health Phys. 1987, 52, 717–737. [Google Scholar] [CrossRef]
- Müller, H.; Prӧhl, G. ECOSYS-87: A dynamic model for assessing radiological consequences of nuclear accidents. Health Phys. 1993, 64, 232–252. [Google Scholar] [CrossRef] [PubMed]
- Brown, J.; Simmonds, J.R. FARMLAND: A Dynamic Model for the Transfer of Radionuclides through Terrestrial Foodchains; Report NRPB-R273; National Radiological Protection Board: Didcot, UK, 1995.
- Robinson, J.B.D. Soil particle-size fractions and nitrogen mineralization. J. Soil Sci. 1967, 18, 109–117. [Google Scholar] [CrossRef]
- Belić, M.; Nešić, L.; Ćirić, V. Praktikum iz Pedologije; Univerzitet u Novom Sadu, Poljoprivredni Fakultet: Novi Sad, Republika Srbija, 2014. (In Serbian) [Google Scholar]
- ISO 10390; Soil Quality—Determination of pH. ISO: Geneva, Switzerland, 2005.
- ISO 10693; Soil Quality—Determination of Carbonate Content-Volumetric Method. ISO: Geneva, Switzerland, 1995.
- Simakov, V.N. Application of phenylanthranilic acid in determining humus, the method of Tyurin. Пoчвoвeдeнue 1957, 8, 72–73. [Google Scholar]
- Walkley, A.; Black, I.A. An examination of the Degtjareff method for determininig soil organic matter and a proposed modification of the chromic acid titration method. Soil Sci. 1934, 37, 29–38. [Google Scholar] [CrossRef]
- Sarap, N.B.; Nodilo, M.; Štrok, M.; Grahek, Ž.; Janković, M.M. Comparison of some of the analytical techniques and their applications to environmental radiostrontium determination. J. Radioanal. Nucl. Chem. 2024, 333, 2697–2707. [Google Scholar] [CrossRef]
- Brnović, R. Stroncijum 90 u životnoj sredini čoveka; Magistarski rad, Farmaceutsko-biokemijski fakultet Sveučilišta u Zagrebu: Beograd, Republika Srbija, 1972. (In Serbian) [Google Scholar]
- United States Department of Agriculture (USDA). Soil Survey Manual; Chapter 3; Soil Conservation Service, USDA, Soil Survey Division Staff, Government Printing Office: Washington, DC, USA, 1993.
- Vukašinović, I.; Todorović, D.; Đorđević, A.; Rajković, M.B.; Pavlović, V.B. Depth distribution of 137Cs in anthrosol from the experimental field “Radmilovac” near Belgrade, Serbia. Arch. Ind. Hyg. Toxicol. 2013, 64, 425–430. [Google Scholar] [CrossRef][Green Version]
- Paasikallio, A.; Rantavaara, A.; Sippola, J. The transfer of cesium-137 and strontium-90 from soil to food crops after the Chernobyl accident. Sci. Total Environ. 1994, 155, 109–124. [Google Scholar] [CrossRef] [PubMed]
- Štrok, M.; Smodiš, B.; Eler, K. Natural radionuclides in trees grown on a uranium mill tailings waste pile. Environ. Sci. Pollut. Res. 2011, 18, 819–826. [Google Scholar] [CrossRef]
- Wang, C.J.; Wang, J.J.; Chiu, C.Y.; Lai, S.Y.; Lin, Y.M. Transfer factors of 90Sr and 137Cs from soil to the sweet potato collected in Taiwan. J. Environ. Radioact. 2000, 47, 15–27. [Google Scholar] [CrossRef]
- International Atomic Energy Agency (IAEA). Handbook of Parameter Values for the Prediction of Radionuclide Transfer in Terrestrial and Fresh Water Environmentsl; Technical Reports Series No. 472; IAEA: Vienna, Austria, 2010. [Google Scholar]
- Sysoeva, A.A.; Konopleva, I.V.; Sanzharova, N.I. Bioavailability of radiostrontium in soil: Experimental study and modeling. J. Environ. Radioact. 2005, 81, 269–282. [Google Scholar] [CrossRef] [PubMed]
- Dragović, S.; Gajić, B.; Dragović, R.; Janković-Mandić, L.; Slavković-Beńkoski, L.; Mihailović, N.; Momčilović, M.; Ćujić, M. Edaphic factors affecting the vertical distribution of radionuclides in the different soil types of Belgrade, Serbia. J. Environ. Monit. 2012, 14, 127–137. [Google Scholar] [CrossRef] [PubMed]
- Krogh, L.; Breuning-Madsen, H.; Humlekrog Greve, M. Cation-Exchange Capacity Pedotransfer Functions for Danish Soils. Acta Agric. Scand. Sect. B Soil Plant Sci. 2000, 50, 1–12. [Google Scholar] [CrossRef]


| Location Code/Year | ASr-90 (Bq/kg) | ||
|---|---|---|---|
| 2013 | 2014 | 2015 | |
| Experimental field “Radmilovac” | |||
| R1 | 2.98 ± 0.59 | 3.16 ± 0.62 | 1.81 ± 0.37 |
| R2 | 2.68 ± 0.54 | 2.67 ± 0.56 | 2.19 ± 0.45 |
| R3 | 2.49 ± 0.51 | 2.73 ± 0.56 | 1.97 ± 0.41 |
| R4 | 3.74 ± 0.73 | 2.48 ± 0.47 | 1.92 ± 0.35 |
| R5 | 3.63 ± 0.76 | 3.14 ± 0.64 | 2.36 ± 0.48 |
| R6 | 3.51 ± 0.71 | 2.75 ± 0.58 | 2.09 ± 0.42 |
| Experimental field “Rimski Šančevi” | |||
| NS1 | 2.25 ± 0.45 | 1.88 ± 0.38 | 1.72 ± 0.33 |
| NS2 | 2.13 ± 0.41 | 1.55 ± 0.32 | 1.48 ± 0.29 |
| NS3 | 2.56 ± 0.53 | 1.78 ± 0.39 | 1.64 ± 0.32 |
| NS4 | 3.17 ± 0.61 | 2.72 ± 0.53 | 2.67 ± 0.58 |
| NS5 | 2.83 ± 0.54 | 1.99 ± 0.39 | 1.67 ± 0.32 |
| NS6 | 3.01 ± 0.59 | 2.45 ± 0.47 | 2.09 ± 0.42 |
| NS7 | 2.45 ± 0.49 | 1.64 ± 0.33 | 1.54 ± 0.32 |
| NS8 | 2.32 ± 0.44 | 1.87 ± 0.37 | 1.27 ± 0.26 |
| NS9 | 2.69 ± 0.54 | 2.25 ± 0.43 | 1.98 ± 0.41 |
| NS10 | 2.29 ± 0.43 | 1.42 ± 0.27 | 1.24 ± 0.25 |
| ASr-90 (Bq/kg) | ||||||
|---|---|---|---|---|---|---|
| Experimental field “Radmilovac” | ||||||
| Year/crop type | 2013 (Winter wheat) | |||||
| Part of crop/ location code | R1 | R2 | R3 | R4 | R5 | R6 |
| Root | 1.72 ± 0.26 | 1.50 ± 0.23 | 1.37 ± 0.21 | 1.60 ± 0.24 | 1.05 ± 0.16 | 1.13 ± 0.17 |
| Rest of plant | 0.51 ± 0.07 | 0.46 ± 0.07 | 0.45 ± 0.07 | 0.53 ± 0.08 | 0.46 ± 0.07 | 0.49 ± 0.07 |
| Year/crop type | 2014 (Maize) | |||||
| Root | 1.38 ± 0.22 | 1.32 ± 0.21 | 0.93 ± 0.14 | 1.67 ± 0.25 | 1.38 ± 0.22 | 1.48 ± 0.22 |
| Stem | 0.36 ± 0.05 | 0.29 ± 0.04 | 0.27 ± 0.04 | 0.44 ± 0.06 | 0.34 ± 0.05 | 0.38 ± 0.06 |
| Leaf | 0.68 ± 0.11 | 0.64 ± 0.09 | 0.58 ± 0.08 | 0.80 ± 0.12 | 0.54 ± 0.07 | 0.60 ± 0.09 |
| Grain | 0.30 ± 0.04 | 0.27 ± 0.04 | 0.25 ± 0.04 | 0.35 ± 0.05 | 0.29 ± 0.04 | 0.31 ± 0.04 |
| Year/crop type | 2015 (Winter wheat) | |||||
| Root | 1.37 ± 0.21 | 1.24 ± 0.19 | 1.14 ± 0.17 | 1.47 ± 0.22 | 0.77 ± 0.11 | 0.79 ± 0.15 |
| Rest of plant | 0.33 ± 0.05 | 0.31 ± 0.05 | 0.28 ± 0.04 | 0.36 ± 0.06 | 0.26 ± 0.04 | 0.28 ± 0.05 |
| Experimental field “Rimski Šančevi” | ||||||
| Year | 2013 | |||||
| Part of crop/location code | NS1 ww | NS4 ww | NS5 ww | NS9 ww | NS10 r | |
| Root | 0.74 ± 0.11 | 0.96 ± 0.14 | 0.84 ± 0.12 | 0.93 ± 0.14 | 0.52 ± 0.08 | |
| Rest of plant | 0.39 ± 0.06 | 0.45 ± 0.06 | 0.41 ± 0.06 | 0.43 ± 0.07 | 0.23 ± 0.03 | |
| NS2 m | NS3 s | NS6 s | NS7 s | NS8 s | ||
| Root | 1.15 ± 0.18 | 1.24 ± 0.18 | 1.31 ± 0.21 | 1.03 ± 0.15 | 1.17 ± 0.18 | |
| Stem | 0.21 ± 0.03 | 0.82 ± 0.12 | 0.64 ± 0.09 | 0.57 ± 0.09 | 0.72 ± 0.11 | |
| Leaf | 0.95 ± 0.14 | 0.98 ± 0.14 | 1.17 ± 0.18 | 0.89 ± 0.13 | 0.93 ± 0.14 | |
| Grain | <0.14 | 0.27 ± 0.04 | 0.38 ± 0.06 | 0.31 ± 0.05 | 0.24 ± 0.04 | |
| Year | 2014 | |||||
| NS1 ww | NS6 ww | NS7 ww | NS8 ww | NS10 r | ||
| Root | 0.74 ± 0.11 | 0.79 ± 0.12 | 0.86 ± 0.13 | 0.81 ± 0.11 | 0.48 ± 0.07 | |
| Rest of plant | 0.35 ± 0.05 | 0.36 ± 0.05 | 0.42 ± 0.06 | 0.37 ± 0.05 | 0.23 ± 0.03 | |
| NS2 m | NS3 s | NS4 m | NS5 m | NS9 s | ||
| Root | 1.17 ± 0.18 | 1.20 ± 0.18 | 1.13 ± 0.17 | 1.07 ± 0.16 | 1.27 ± 0.19 | |
| Stem | 0.19 ± 0.03 | 0.75 ± 0.11 | 0.19 ± 0.03 | 0.19 ± 0.03 | 0.66 ± 0.09 | |
| Leaf | 0.82 ± 0.12 | 0.94 ± 0.14 | 0.81 ± 0.12 | 0.91 ± 0.14 | 1.12 ± 0.17 | |
| Grain | <0.10 | 0.22 ± 0.03 | <0.11 | <0.08 | 0.20 ± 0.03 | |
| Year | 2015 | |||||
| NS1 ww | NS4 ww | NS5 ww | NS9 ww | NS10 r | ||
| Root | 0.65 ± 0.09 | 0.88 ± 0.13 | 0.75 ± 0.11 | 0.81 ± 0.11 | 0.47 ± 0.07 | |
| Rest of plant | 0.26 ± 0.04 | 0.32 ± 0.05 | 0.25 ± 0.04 | 0.21 ± 0.03 | 0.19 ± 0.03 | |
| NS2 m | NS3 s | NS6 m | NS7 m | NS8 m | ||
| Root | 1.15 ± 0.17 | 0.95 ± 0.14 | 1.08 ± 0.16 | 1.18 ± 0.17 | 1.03 ± 0.15 | |
| Stem | 0.13 ± 0.02 | 0.78 ± 0.12 | 0.06 ± 0.01 | 0.08 ± 0.01 | 0.14 ± 0.02 | |
| Leaf | 1.07 ± 0.16 | 0.84 ± 0.13 | 0.83 ± 0.12 | 0.82 ± 0.12 | 0.78 ± 0.12 | |
| Grain | <0.11 | 0.41 ± 0.08 | <0.05 | <0.06 | <0.03 | |
| Location Code | Mechanical Composition (%) | Texture [36] | Hygroscopic Humidity (%) | Density (g/cm3) | |||
|---|---|---|---|---|---|---|---|
| Coarse Sand | Fine Sand | Silt | Clay | ||||
| R1 | 3.73 | 2.95 | 62.26 | 31.06 | SCL | 2.55 | 1.29 |
| R2 | 4.12 | 3.27 | 63.42 | 29.19 | SCL | 2.62 | 1.33 |
| R3 | 2.87 | 3.13 | 61.25 | 32.75 | SCL | 2.42 | 1.31 |
| R4 | 9.23 | 7.11 | 56.31 | 27.35 | SCL | 2.84 | 1.30 |
| R5 | 8.41 | 5.02 | 53.83 | 32.74 | SCL | 2.37 | 1.27 |
| R6 | 7.97 | 6.28 | 52.48 | 33.27 | SCL | 2.22 | 1.25 |
| Average value | 6.06 | 4.63 | 58.26 | 31.06 | / | 2.50 | 1.29 |
| NS1 | 12.99 | 16.59 | 33.47 | 36.95 | CL | 3.07 | 1.33 |
| NS2 | 8.56 | 21.60 | 32.84 | 37.00 | CL | 3.15 | 1.30 |
| NS3 | 15.46 | 15.84 | 35.08 | 33.62 | CL | 3.20 | 1.31 |
| NS4 | 12.68 | 24.53 | 34.85 | 27.95 | SCL | 2.65 | 1.35 |
| NS5 | 12.01 | 20.45 | 33.42 | 34.12 | CL | 2.94 | 1.32 |
| NS6 | 10.04 | 53.89 | 9.04 | 27.05 | SaCL | 3.17 | 1.39 |
| NS7 | 9.57 | 20.34 | 34.23 | 35.86 | CL | 3.10 | 1.36 |
| NS8 | 8.32 | 22.22 | 34.93 | 34.56 | CL | 3.07 | 1.37 |
| NS9 | 11.42 | 25.54 | 36.15 | 26.89 | CL | 2.71 | 1.34 |
| NS10 | 11.49 | 6.88 | 44.09 | 37.54 | SCL | 3.15 | 1.38 |
| Average value | 11.25 | 22.79 | 32.81 | 33.15 | / | 3.02 | 1.34 |
| Location Code | pH in H2O | pH in KCl | CaCO3 (%) |
|---|---|---|---|
| R1 | 6.23 | 6.77 | 1.40 |
| R2 | 6.38 | 6.75 | 1.28 |
| R3 | 6.56 | 7.00 | 1.52 |
| R4 | 7.00 | 7.56 | 1.20 |
| R5 | 7.12 | 7.87 | 1.35 |
| R6 | 7.35 | 7.92 | 1.64 |
| Average value | 6.77 | 7.31 | 1.40 |
| NS1 | 7.61 | 6.54 | 0.70 |
| NS2 | 7.43 | 6.58 | / |
| NS3 | 7.80 | 6.93 | 2.52 |
| NS4 | 7.76 | 7.15 | 4.21 |
| NS5 | 7.80 | 7.02 | 0.24 |
| NS6 | 7.58 | 6.73 | / |
| NS7 | 7.68 | 6.86 | 1.26 |
| NS8 | 7.99 | 7.12 | 3.93 |
| NS9 | 7.67 | 7.12 | 6.88 |
| NS10 | 7.69 | 6.98 | 1.26 |
| Average value | 7.70 | 6.90 | 2.10 |
| Location Code | Humus (%) | Total Organic Carbon (%) | Organic Carbon in Humic Acid (%) | Organic Carbon in Fulvic Acid (%) |
|---|---|---|---|---|
| R1 | 2.01 | 0.42 | 0.24 | 0.18 |
| R2 | 2.37 | 0.38 | 0.22 | 0.16 |
| R3 | 2.47 | 0.34 | 0.20 | 0.14 |
| R4 | 2.08 | 0.40 | 0.27 | 0.13 |
| R5 | 2.12 | 0.26 | 0.18 | 0.08 |
| R6 | 2.63 | 0.23 | 0.14 | 0.09 |
| Average value | 2.28 | 0.34 | 0.21 | 0.13 |
| NS1 | 3.03 | 0.25 | 0.13 | 0.12 |
| NS2 | 2.80 | 0.26 | 0.15 | 0.11 |
| NS3 | 2.86 | 0.24 | 0.18 | 0.06 |
| NS4 | 2.29 | 0.18 | 0.05 | 0.13 |
| NS5 | 2.66 | 0.28 | 0.14 | 0.14 |
| NS6 | 2.93 | 0.24 | 0.11 | 0.13 |
| NS7 | 2.97 | 0.33 | 0.11 | 0.22 |
| NS8 | 2.93 | 0.31 | 0.17 | 0.14 |
| NS9 | 2.52 | 0.26 | 0.19 | 0.07 |
| NS10 | 2.36 | 0.25 | 0.12 | 0.13 |
| Average value | 2.74 | 0.26 | 0.14 | 0.12 |
| TF | ||||||
|---|---|---|---|---|---|---|
| Experimental field “Radmilovac” | ||||||
| Year/crop type | 2013 (Winter wheat) | |||||
| Part of crop/location code | R1 | R2 | R3 | R4 | R5 | R6 |
| Root | 0.58 | 0.56 | 0.55 | 0.43 | 0.29 | 0.32 |
| Rest of plant | 0.17 | 0.17 | 0.18 | 0.14 | 0.13 | 0.14 |
| Year/crop type | 2014 (Maize) | |||||
| Root | 0.44 | 0.49 | 0.34 | 0.67 | 0.44 | 0.54 |
| Stem | 0.11 | 0.11 | 0.10 | 0.18 | 0.11 | 0.14 |
| Leaf | 0.22 | 0.24 | 0.21 | 0.32 | 0.17 | 0.22 |
| Grain | 0.10 | 0.10 | 0.09 | 0.14 | 0.09 | 0.11 |
| Year/crop type | 2015 (Winter wheat) | |||||
| Root | 0.76 | 0.57 | 0.58 | 0.77 | 0.33 | 0.38 |
| Rest of plant | 0.18 | 0.14 | 0.14 | 0.19 | 0.11 | 0.13 |
| Experimental field “Rimski Šančevi” | ||||||
| Year | 2013 | |||||
| Part of crop/location code | NS1ww | NS4ww | NS5ww | NS9ww | NS10r | |
| Root | 0.33 | 0.30 | 0.30 | 0.35 | 0.23 | |
| Rest of plant | 0.17 | 0.14 | 0.14 | 0.16 | 0.10 | |
| NS2m | NS3s | NS6s | NS7s | NS8s | ||
| Root | 0.54 | 0.48 | 0.44 | 0.42 | 0.50 | |
| Stem | 0.10 | 0.32 | 0.21 | 0.23 | 0.31 | |
| Leaf | 0.45 | 0.38 | 0.39 | 0.36 | 0.40 | |
| Grain | / | 0.11 | 0.13 | 0.13 | 0.10 | |
| Year | 2014 | |||||
| NS1ww | NS6ww | NS7ww | NS8ww | NS10r | ||
| Root | 0.39 | 0.32 | 0.52 | 0.43 | 0.34 | |
| Rest of plant | 0.19 | 0.15 | 0.26 | 0.20 | 0.16 | |
| NS2m | NS3s | NS4m | NS5m | NS9s | ||
| Root | 0.76 | 0.67 | 0.42 | 0.54 | 0.56 | |
| Stem | 0.12 | 0.42 | 0.07 | 0.10 | 0.29 | |
| Leaf | 0.53 | 0.53 | 0.30 | 0.46 | 0.50 | |
| Grain | / | 0.12 | / | / | 0.09 | |
| Year | 2015 | |||||
| NS1ww | NS4ww | NS5ww | NS9ww | NS10r | ||
| Root | 0.38 | 0.33 | 0.45 | 0.41 | 0.38 | |
| Rest of plant | 0.15 | 0.12 | 0.15 | 0.11 | 0.15 | |
| NS2m | NS3s | NS6m | NS7m | NS8m | ||
| Root | 0.78 | 0.58 | 0.52 | 0.77 | 0.81 | |
| Stem | 0.09 | 0.48 | 0.03 | 0.05 | 0.11 | |
| Leaf | 0.72 | 0.51 | 0.40 | 0.53 | 0.61 | |
| Grain | / | 0.25 | / | / | / | |
| Year | 2013 | 2014 | 2015 | Average Value of TFmod/TFexpRatio | |||
|---|---|---|---|---|---|---|---|
| Location Code | TFmod | TFexp | TFmod | TFexp | TFmod | TFexp | |
| R1 | 0.13 | 0.17 | 0.12 | 0.11 | 0.18 | 0.18 | 0.94 |
| R2 | 0.14 | 0.17 | 0.10 | 0.11 | 0.11 | 0.14 | 0.84 |
| R3 | 0.15 | 0.18 | 0.13 | 0.10 | 0.11 | 0.14 | 0.97 |
| R4 | 0.15 | 0.14 | 0.12 | 0.18 | 0.14 | 0.19 | 0.82 |
| R5 | 0.18 | 0.13 | 0.12 | 0.11 | 0.15 | 0.11 | 1.28 |
| R6 | 0.20 | 0.14 | 0.12 | 0.14 | 0.15 | 0.13 | 1.12 |
| NS1 | 0.25 | 0.17 | 0.22 | 0.19 | 0.19 | 0.15 | 1.29 |
| NS2 | 0.09 | 0.10 | 0.08 | 0.12 | 0.05 | 0.09 | 0.70 |
| NS3 | 0.31 | 0.32 | 0.39 | 0.42 | 0.39 | 0.30 | 1.06 |
| NS4 | 0.22 | 0.14 | 0.08 | 0.07 | 0.17 | 0.12 | 1.40 |
| NS5 | 0.23 | 0.15 | 0.08 | 0.10 | 0.16 | 0.15 | 1.17 |
| NS6 | 0.23 | 0.21 | 0.22 | 0.15 | 0.03 | 0.03 | 1.15 |
| NS7 | 0.26 | 0.23 | 0.23 | 0.26 | 0.03 | 0.05 | 0.88 |
| NS8 | 0.29 | 0.31 | 0.22 | 0.20 | 0.06 | 0.11 | 0.87 |
| NS9 | 0.22 | 0.16 | 0.24 | 0.25 | 0.12 | 0.11 | 1.16 |
| NS10 | 0.11 | 0.10 | 0.22 | 0.16 | 0.19 | 0.15 | 1.24 |
Disclaimer/Publisher’s Note: The statements, opinions and data contained in all publications are solely those of the individual author(s) and contributor(s) and not of MDPI and/or the editor(s). MDPI and/or the editor(s) disclaim responsibility for any injury to people or property resulting from any ideas, methods, instructions or products referred to in the content. |
© 2024 by the authors. Licensee MDPI, Basel, Switzerland. This article is an open access article distributed under the terms and conditions of the Creative Commons Attribution (CC BY) license (https://creativecommons.org/licenses/by/4.0/).
Share and Cite
Sarap, N.B.; Daković, M.Ž.; Djalovic, I.; Dolijanović, Ž.; Prasad, P.V.V.; Janković, M.M. Application and Experimental Substantiation of the Radioecological Model for Prediction in Behavior 90Sr in Cultivated Soil-Crop System: A Case Study of Two Experimental Agricultural Fields. Plants 2024, 13, 1798. https://doi.org/10.3390/plants13131798
Sarap NB, Daković MŽ, Djalovic I, Dolijanović Ž, Prasad PVV, Janković MM. Application and Experimental Substantiation of the Radioecological Model for Prediction in Behavior 90Sr in Cultivated Soil-Crop System: A Case Study of Two Experimental Agricultural Fields. Plants. 2024; 13(13):1798. https://doi.org/10.3390/plants13131798
Chicago/Turabian StyleSarap, Nataša B., Marko Ž. Daković, Ivica Djalovic, Željko Dolijanović, P.V. Vara Prasad, and Marija M. Janković. 2024. "Application and Experimental Substantiation of the Radioecological Model for Prediction in Behavior 90Sr in Cultivated Soil-Crop System: A Case Study of Two Experimental Agricultural Fields" Plants 13, no. 13: 1798. https://doi.org/10.3390/plants13131798
APA StyleSarap, N. B., Daković, M. Ž., Djalovic, I., Dolijanović, Ž., Prasad, P. V. V., & Janković, M. M. (2024). Application and Experimental Substantiation of the Radioecological Model for Prediction in Behavior 90Sr in Cultivated Soil-Crop System: A Case Study of Two Experimental Agricultural Fields. Plants, 13(13), 1798. https://doi.org/10.3390/plants13131798

