Proline Metabolism in Response to Climate Extremes in Hairgrass
Abstract
1. Introduction
2. Materials and Methods
2.1. Plant Materials and Growth Conditions
2.2. Experimental Details
2.3. Content Determination of Pro, Glu, Orn, GSA, and P5C
2.4. Assay of Pro Metabolism-Related Enzymatic Activities
2.5. Statistical Analysis
3. Results
3.1. Changes in Pro Content
3.2. Changes in Contents of Pro Metabolic Substrates and Intermediate Product
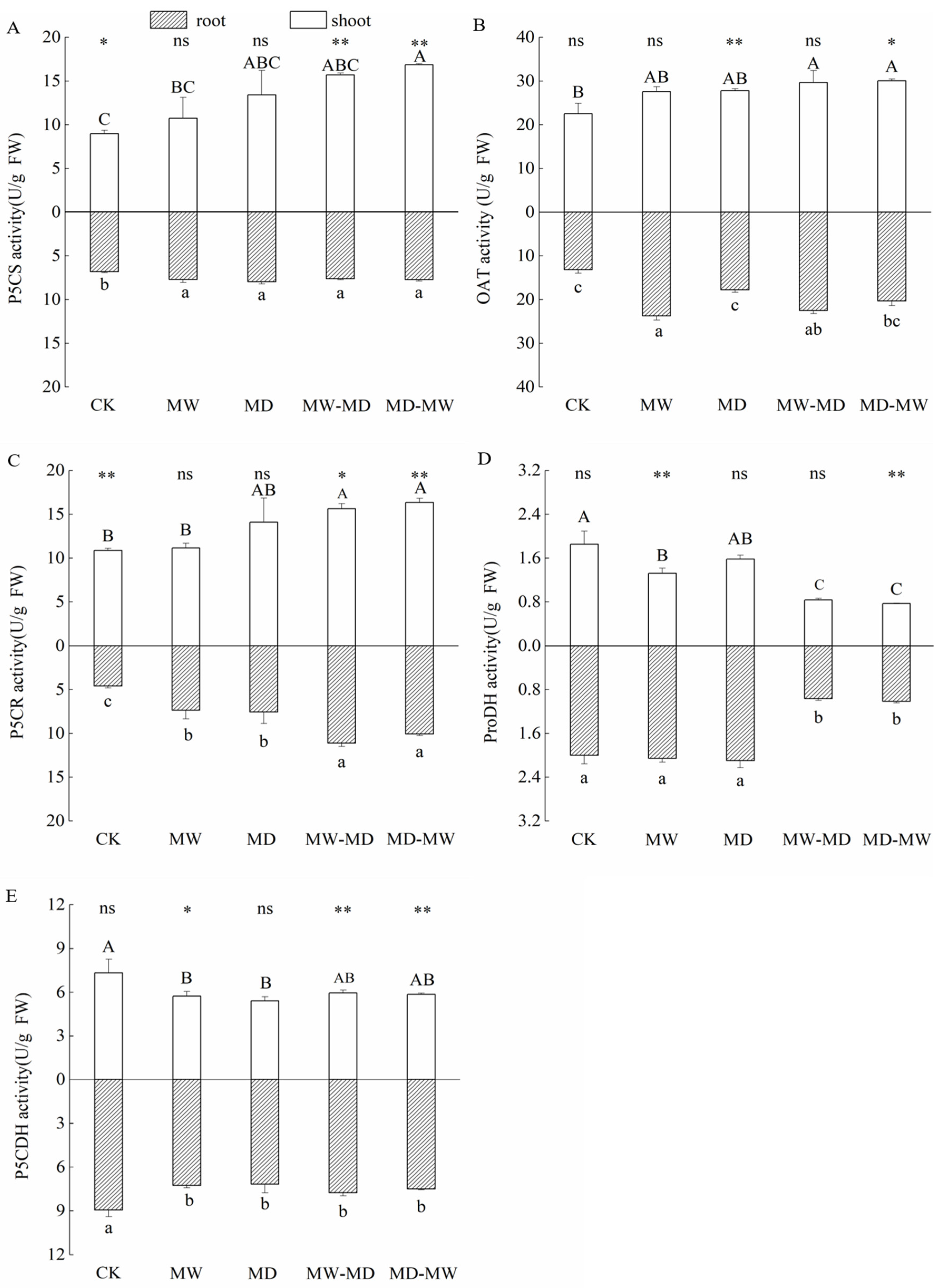
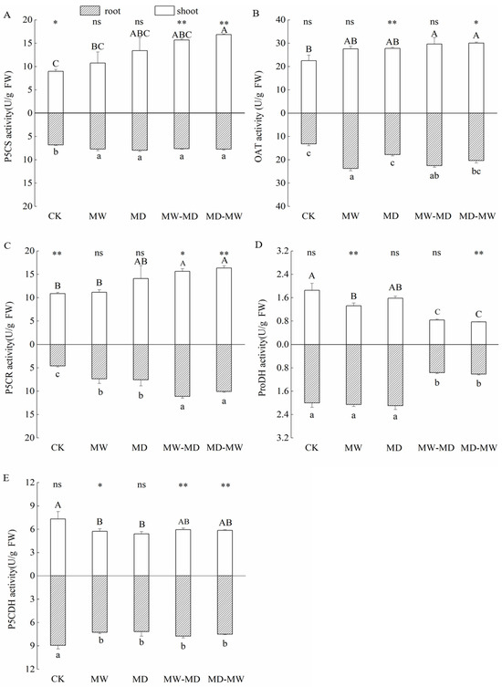
3.3. Changes in Activities of Pro Metabolism-Related Enzymes
3.4. Correlation between Metabolites and Key Enzymes in Pro Metabolism
4. Discussion
4.1. Proline Accumulation
4.2. Changes in Metabolite-Related Substrate Contents and Enzymatic Activities
4.3. Merits and Limitations
5. Conclusions
Author Contributions
Funding
Data Availability Statement
Conflicts of Interest
Appendix A

References
- Gampe, D.; Zscheischler, J.; Reichstein, M.; O’Sullivan, M.; Smith, W.K.; Sitch, S.; Buermann, W. Increasing impact of warm droughts on northern ecosystem productivity over recent decades. Nat. Clim. Chang. 2021, 11, 772–779. [Google Scholar] [CrossRef]
- Maestre, F.T.; Delgado-Baquerizo, M.; Jeffries, T.C.; Eldridge, D.J.; Ochoa, V.; Gozalo, B.; Quero, J.L.; García-Gómez, M.; Gallardo, A.; Ulrich, W.; et al. Increasing aridity reduces soil microbial diversity and abundance in global drylands. Proc. Natl. Acad. Sci. USA 2015, 112, 15684–15689. [Google Scholar] [CrossRef]
- Tito, R.; Vasconcelos, H.L.; Feeley, K.J. Global climate change increases risk of crop yield losses and food insecurity in the tropical Andes. Glob. Chang. Biol. 2018, 24, e592–e602. [Google Scholar] [CrossRef]
- Kaisermann, A.; de Vries, F.T.; Griffiths, R.I.; Bardgett, R.D. Legacy effects of drought on plant–soil feedbacks and plant–plant interactions. New Phytol. 2017, 215, 1413–1424. [Google Scholar] [CrossRef]
- Ding, J.; Liang, P.; Wu, P.; Zhu, M.; Li, C.; Zhu, X.; Gao, D.; Chen, Y.; Guo, W. Effects of waterlogging on grain yield and associated traits of historic wheat cultivars in the middle and lower reaches of the Yangtze River, China. Field Crops Res. 2020, 246, 107695. [Google Scholar] [CrossRef]
- Tian, L.; Li, J.; Bi, W.; Zuo, S.; Li, L.; Li, W.; Sun, L. Effects of waterlogging stress at different growth stages on the photosynthetic characteristics and grain yield of spring maize (Zea mays L.) under field conditions. Agric. Water Manag. 2019, 218, 250–258. [Google Scholar] [CrossRef]
- Zhou, W.; Chen, F.; Meng, Y.; Chandrasekaran, U.; Luo, X.; Yang, W.; Shu, K. Plant waterlogging/flooding stress responses: From seed germination to maturation. Plant Physiol. Biochem. 2020, 148, 228–236. [Google Scholar] [CrossRef]
- Li, C.; Jiang, D.; Wollenweber, B.; Li, Y.; Dai, T.; Cao, W. Waterlogging pretreatment during vegetative growth improves tolerance to waterlogging after anthesis in wheat. Plant Sci. 2011, 5, 672–678. [Google Scholar] [CrossRef]
- Gu, X.; Zhang, Q.; Singh, V.P.; Shi, P. Changes in magnitude and frequency of heavy precipitation across China and its potential links to summer temperature. J. Hydrol. 2017, 547, 718–731. [Google Scholar] [CrossRef]
- Pokhrel, Y.; Felfelani, F.; Satoh, Y. Global terrestrial water storage and drought severity under climate change. Nat. Clim. Chang. 2021, 11, 226–233. [Google Scholar] [CrossRef]
- Wang, C.; Guo, E.; Wang, Y.; Jirigala, B.; Kang, Y.; Zhang, Y. Spatiotemporal variations in drought and waterlogging and their effects on maize yields at different growth stages in Jilin Province, China. Nat. Hazards 2023, 118, 155–180. [Google Scholar] [CrossRef]
- Boyer, J.S. Plant productivity and environment. Science 1982, 218, 443–448. [Google Scholar] [CrossRef]
- García, I.; Mendoza, R.; Pomar, M.C. Deficit and excess of soil water impact on plant growth of Lotus tenuis by affecting nutrient uptake and arbuscular mycorrhizal symbiosis. Plant Soil 2008, 304, 117–131. [Google Scholar] [CrossRef]
- Lee, J.; Mudge, K.W. Water deficit affects plant and soil water status, plant growth, and ginsenoside contents in American ginseng. Hortic. Environ. Biotechnol. 2013, 54, 475–483. [Google Scholar] [CrossRef]
- Luo, Q.; Ma, Y.; Chen, Z.; Xie, H.; Wang, Y.; Zhou, L.; Ma, Y. Biochemical responses of hairgrass (Deschampsia caespitosa) to hydrological change. Front. Plant Sci. 2022, 13, 987845. [Google Scholar] [CrossRef]
- Pedersen, O.; Sauter, M.; Colmer, T.D.; Nakazono, M. Regulation of root adaptive anatomical and morphological traits during low soil oxygen. New Phytol. 2021, 229, 42–49. [Google Scholar] [CrossRef]
- Liu, Z.; Qiao, D.; Liu, Z.; Wang, P.; Sun, L.; Li, X. Evaluation of waterlogging tolerance and responses of protective enzymes to waterlogging stress in pumpkin. PeerJ 2023, 11, e15177. [Google Scholar] [CrossRef]
- Luo, Q.; Xie, H.; Chen, Z.; Ma, Y.; Yang, H.; Yang, B.; Ma, Y. Morphology, photosynthetic physiology and biochemistry of nine herbaceous plants under water stress. Front. Plant Sci. 2023, 14, 1147208. [Google Scholar] [CrossRef]
- Schweiger, R.; Maidel, A.M.; Renziehausen, T.; Schmidt-Schippers, R.; Müller, C. Effects of drought, subsequent waterlogging and redrying on growth, physiology and metabolism of wheat. Physiol. Plant. 2023, 175, e13874. [Google Scholar] [CrossRef]
- Ghosh, U.K.; Islam, M.N.; Siddiqui, M.N.; Cao, X.; Khan, M.A.R. Proline, a multifaceted signalling molecule in plant responses to abiotic stress: Understanding the physiological mechanisms. Plant Biol. 2022, 24, 227–239. [Google Scholar] [CrossRef]
- Szabados, L.; Savour, A. Proline: A multifunctional amino acid. Trends Plant Sci. 2010, 15, 89–97. [Google Scholar] [CrossRef]
- Alvarez, M.E.; Savouré, A.; Szabados, L. Proline metabolism as regulatory hub. Trends Plant Sci. 2022, 27, 39–55. [Google Scholar] [CrossRef]
- Negussu, M.; Karalija, E.; Vergata, C.; Buti, M.; Subašić, M.; Pollastri, S.; Loreto, F.; Martinelli, F. Drought tolerance mechanisms in chickpea (Cicer arietinum L.) investigated by physiological and transcriptomic analysis. Environ. Exp. Bot. 2023, 215, 105488. [Google Scholar] [CrossRef]
- Zhao, S.; Kamran, M.; Rizwan, M.; Ali, S.; Yan, L.; Alwahibi, M.S.; Elshikh, M.S.; Riaz, M. Regulation of proline metabolism, AsA-GSH cycle, cadmium uptake and subcellular distribution in Brassica napus L. under the effect of nano-silicon. Environ. Pollut. 2023, 335, 122321. [Google Scholar] [CrossRef]
- Hosseinifard, M.; Stefaniak, S.; Javid, M.G.; Soltani, E.; Wojtyla, L.; Garnczarska, M. Contribution of Exogenous Proline to Abiotic Stresses Tolerance in Plants: A Review. Int. J. Mol. Sci. 2022, 23, 5186. [Google Scholar] [CrossRef]
- Aloni, B.; Rosenshtein, G. Effect of flooding on tomato cultivars: The relationship between proline accumulation and other morphological and physiological changes. Physiol. Plant. 1982, 56, 513–517. [Google Scholar] [CrossRef]
- Dos Reis, S.P.D.; Lima, A.M.; De Souza, C.R.B. Recent molecular advances on downstream plant responses to abiotic stress. Int. J. Mol. Sci. 2012, 13, 8628–8647. [Google Scholar] [CrossRef]
- Hayat, S.; Hayat, Q.; Alyemeni, M.N.; Wani, A.S.; Pichtel, J.; Ahmad, A. Role of proline under changing environments. Plant Signal. Behav. 2012, 7, 1456–1466. [Google Scholar] [CrossRef]
- Viehweger, K. How plants cope with heavy metals. Bot. Stud. 2014, 55, 35. [Google Scholar] [CrossRef]
- Tarabih, M.; Eman, E.E. Glycine betaine and proline with thinning technique for resistance abiotic stress of cristalina cactus pear. Science 2020, 23, 68–80. [Google Scholar] [CrossRef]
- Wang, Z.; Yang, Y.; Yadav, V.; Zhao, W.; He, Y.; Zhang, X.; Wei, C. Drought-induced proline is mainly synthesized in leaves and transported to roots in watermelon under water deficit. Hortic. Plant J. 2022, 8, 615–626. [Google Scholar] [CrossRef]
- Furlan, A.L.; Bianucci, E.; Giordano, W.; Castro, S.; Becker, D.F. Proline metabolic dynamics and implications in drought tolerance of peanut plants. Plant Physiol. Biochem. 2020, 151, 566–578. [Google Scholar] [CrossRef]
- Yang, S.L.; Lan, S.S.; Gong, M. Hydrogen peroxide-induced proline and metabolic pathway of its accumulation in maize seedlings. J. Plant Physiol. 2009, 166, 1694–1699. [Google Scholar] [CrossRef]
- Hare, P.D.; Cress, W.A.; Van Staden, J. Proline synthesis and degradation: A model system for elucidating stress-related signal transduction. J. Exp. Bot. 1999, 50, 413–434. [Google Scholar] [CrossRef]
- Lee, T.M.; Liu, C.H. Regulation of NaCl-induced proline accumulation by calmodulin via modification of proline dehydrogenase activity in Ulva fasciata (Chlorophyta). Funct. Plant Biol. 1999, 26, 595–600. [Google Scholar] [CrossRef]
- Trenberth, K.E.; Dai, A.; Van Der Schrier, G.; Jones, P.D.; Barichivich, J.; Briffa, K.R.; Sheffield, J. Global warming and changes in drought. Nat. Clim. Chang. 2014, 4, 17–22. [Google Scholar] [CrossRef]
- Zhao, L.; Hu, G.J.; Zou, D.F.; Wu, X.D.; Ma, L.; Sun, Z.; Yuan, L.M.; Zhou, H.Y.; Liu, S.B. Permafrost changes and its effects on hydrological processes on Qinghai-Tibet Plateau. Bull. Chin. Acad. Sci. 2019, 34, 1233–1246. (In Chinese) [Google Scholar]
- Li, L.; Yang, S.; Wang, Z.; Zhu, X.; Tang, H. Evidence of warming and wetting climate over the Qinghai-Tibet Plateau. Arct. Antarct. Alp. Res. 2010, 42, 449–457. [Google Scholar] [CrossRef]
- Luo, D.; Hu, Z.; Dai, L.; Hou, G.; Di, K.; Liang, M.; Cao, R.; Zeng, X. An overall consistent increase of global aridity in 1970–2018. J. Geogr. Sci. 2023, 33, 449–463. [Google Scholar] [CrossRef]
- Zandalinas, S.I.; Mittler, R.; Balfagón, D.; Arbona, V.; Gómez-Cadenas, A. Plant adaptations to the combination of drought and high temperatures. Physiol. Plant. 2018, 162, 2–12. [Google Scholar] [CrossRef]
- Peng, F.; Xue, X.; You, Q.; Sun, J.; Zhou, J.; Wang, T.; Tsunekawa, A. Change in the trade-off between aboveground and belowground biomass of alpine grassland: Implications for the land degradation process. Land Degrad. Dev. 2020, 31, 105–117. [Google Scholar] [CrossRef]
- Wang, P.; Lassoie, J.P.; Morreale, S.J.; Dong, S. A critical review of socioeconomic and natural factors in ecological degradation on the Qinghai-Tibetan Plateau, China. Rangel. J. 2015, 37, 1–9. [Google Scholar] [CrossRef]
- Zhan, T.; Zhang, Z.; Sun, J.; Liu, M.; Zhang, X.; Peng, F.; Tsunekawa, A.; Zhou, H.; Gou, X.; Fu, S. Meta-analysis demonstrating that moderate grazing can improve the soil quality across China’s grassland ecosystems. Appl. Soil Ecol. 2020, 147, 103438. [Google Scholar] [CrossRef]
- Xu, Y.; Dong, S.; Gao, X.; Wu, S.; Yang, M.; Li, S.; Shen, H.; Xiao, J.; Zhi, Y.; Zhao, X.; et al. Target species rather than plant community tell the success of ecological restoration for degraded alpine meadows. Ecol. Indic. 2022, 135, 108487. [Google Scholar] [CrossRef]
- Bardgett, R.D.; Bullock, J.M.; Lavorel, S.; Manning, P.; Schaffner, U.; Ostle, N.; Chomel, M.; Durigan, G.; LFry, E.; Johnson, D.; et al. Combatting global grassland degradation. Nat. Rev. Earth Environ. 2021, 2, 720–735. [Google Scholar] [CrossRef]
- Bates, L.S.; Waldren, R.A.; Teare, I.D. Rapid determination of free proline for water-stress studies. Plant Soil 1973, 39, 205–207. [Google Scholar] [CrossRef]
- Lutts, S.; Majerus, V.; Kinet, J.M. NaCl effects on proline metabolism in rice (Oryza sativa) seedlings. Physiol. Plant. 1999, 105, 450–458. [Google Scholar] [CrossRef]
- García-Ríos, M.; Fujita, T.; LaRosa, P.C.; Locy, R.D.; Clithero, J.M.; Bressan, R.A.; Csonka, L.N. Cloning of a polycistronic cDNA from tomato encoding γ-glutamyl kinase and γ-glutamyl phosphate reductase. Proc. Natl. Acad. Sci. USA 1997, 94, 8249–8254. [Google Scholar] [CrossRef]
- Charest, C.; Ton Phan, C. Cold acclimation of wheat (Triticum aestivum): Properties of enzymes involved in proline metabolism. Physiol. Plant. 1990, 80, 159–168. [Google Scholar] [CrossRef]
- Carter, J.L.; Colmer, T.D.; Veneklaas, E.J. Variable tolerance of wetland tree species to combined salinity and waterlogging is related to regulation of ion uptake and production of organic solutes. New Phytol. 2006, 169, 123–134. [Google Scholar] [CrossRef]
- Mohammadkhani, N.; Heidari, R. Drought induced accumulation of soluble sugars and proline in two maize varieties. World Appl. Sci. J. 2008, 3, 448–453. [Google Scholar]
- Ou, L.J.; Dai, X.Z.; Zhang, Z.Q.; Zou, X.X. Responses of pepper to waterlogging stress. Photosynthetica 2011, 49, 339–345. [Google Scholar] [CrossRef]
- Dilruba, P.; Karmoker, J.L. Effects of waterlogging on ion accumulation and sugar, protein and proline contents in Corchorus capsularis L. Bangladesh J. Bot. 2013, 42, 55–64. [Google Scholar]
- Chanu, W.S.; Sarangthem, K. Changes in proline accumulation, amino acid, sugar and chlorophyll content in leaf and culm of Phourel-amubi, a rice cultivar of Manipur in response to flash flood. Indian J. Plant Physiol. 2015, 20, 10–13. [Google Scholar] [CrossRef]
- Bandurska, H.; Niedziela, J.; Pietrowska-Borek, M.; Nuc, K.; Chadzinikolau, T.; Radzikowska, D. Regulation of proline biosynthesis and resistance to drought stress in two barley (Hordeum vulgare L.) genotypes of different origin. Plant Physiol. Biochem. 2017, 118, 427–437. [Google Scholar] [CrossRef]
- Xu, Y.J.; Zhao, L.F.; Xing, H.F.; Luo, Y.X.; Wei, Z.X. Effects of endophytic bacteria on proline and malondialdehyde of wheat seedlings under salt stress. Acta Ecol. Sin. 2020, 40, 3726–3737. [Google Scholar]
- Mahlare, M.S.; Lewu, M.N.; Lewu, F.B.; Bester, C. Cyclopia subternata growth, yield, proline and relative water content in response to water deficit stress. Water SA 2023, 49, 64–72. [Google Scholar] [CrossRef]
- Rehaman, A.; Fatma, M.; Jan, A.T.; Shah, A.A.; Asgher, M.; Khan, N.A. Co-Application of nitric oxide and vermicompost improves photosynthetic functions, antioxidants, and nitrogen metabolism in maize (Zea mays L.) grown under drought stress. J. Plant Growth Regul. 2023, 42, 3888–3907. [Google Scholar] [CrossRef]
- Tan, M.; Hassan, M.J.; Peng, Y.; Feng, G.; Huang, L.; Liu, L.; Liu, W.; Han, L.; Li, Z. Polyamines metabolism interacts with γ-aminobutyric acid, proline and nitrogen metabolisms to affect drought tolerance of creeping bentgrass. Int. J. Mol. Sci. 2022, 23, 2779. [Google Scholar] [CrossRef]
- Yang, F.; Han, C.; Li, Z.; Guo, Y.; Chan, Z. Dissecting tissue-and species-specific responses of two Plantago species to waterlogging stress at physiological level. Environ. Exp. Bot. 2015, 109, 177–185. [Google Scholar] [CrossRef]
- Stallmann, J.; Schweiger, R.; Pons, C.A.A.; Müller, C. Wheat growth, applied water use efficiency and flag leaf metabolome under continuous and pulsed deficit irrigation. Sci. Rep. 2020, 10, 10112. [Google Scholar] [CrossRef] [PubMed]
- Shao, G.; Cheng, X.; Liu, N.; Zhang, Z. Effect of drought pretreatment before anthesis and post-anthesis waterlogging on water relation, photosynthesis, and growth of tomatoes. Arch. Agron. Soil Sci. 2016, 62, 935–946. [Google Scholar] [CrossRef]
- Fichman, Y.; Gerdes, S.Y.; Kovács, H.; Szabados, L.; Zilberstein, A.; Csonka, L.N. Evolution of proline biosynthesis: Enzymology, bioinformatics, genetics, and transcriptional regulation. Biol. Rev. 2015, 90, 1065–1099. [Google Scholar] [CrossRef] [PubMed]
- Kishor, P.K.; Sangam, S.; Amrutha, R.N.; Laxmi, P.S.; Naidu, K.R.; Rao, K.S.; Rao, S.; Reddy, K.J.; Theriappan, P.; Sreenivasulu, N. Regulation of proline biosynthesis, degradation, uptake and transport in higher plants: Its implications in plant growth and abiotic stress tolerance. Curr. Sci. 2005, 88, 424–438. [Google Scholar]
- Ejaz, S.; Fahad, S.; Anjum, M.A.; Nawaz, A.; Naz, S.; Hussain, S.; Ahmad, S. Role of osmolytes in the mechanisms of antioxidant defense of plants. Sustain. Agric. Rev. 2020, 39, 95–117. [Google Scholar]
- Choudhary, N.; Sairam, R.; Tyagi, A. Expression of Δ1-pyrroline-5-carboxylate synthetase gene during drought in rice (Oryza sativa L.). Indian J. Biochem. Biophys. 2005, 42, 366–370. [Google Scholar] [PubMed]
- Das, B.; Padhiary, A.K.; Behera, S.; Mishra, S.P.; Jena, M.; Swain, S.; Rout, S. Biochemical changes in some rice varieties in response to waterlogged and submerged conditions. Int. J. Pure Appl. Biosci. 2017, 5, 972–978. [Google Scholar] [CrossRef]
- Singh, M.; Kumar, J.; Singh, S.; Singh, V.P.; Prasad, S.M. Roles of osmoprotectants in improving salinity and drought tolerance in plants: A review. Rev. Environ. Sci. Bio/Technol. 2015, 14, 407–426. [Google Scholar] [CrossRef]
- Zegaoui, Z.; Planchais, S.; Cabassa, C.; Djebbar, R.; Belbachir, O.A.; Carol, P. Variation in relative water content, proline accumulation and stress gene expression in two cowpea landraces under drought. J. Plant Physiol. 2017, 218, 26–34. [Google Scholar] [CrossRef]
- Sikder, R.K.; Wang, X.; Zhang, H.; Gui, H.; Dong, Q.; Jin, D.; Song, M. Nitrogen enhances salt tolerance by modulating the antioxidant defense system and osmoregulation substance content in Gossypium hirsutum. Plants 2020, 9, 450. [Google Scholar] [CrossRef]






| Treatment | Watering Schedule |
|---|---|
| Control, CK | The irrigation threshold was designed at 70–80% field capacity during the whole period of the experiment |
| Moderate waterlogging, MW | The irrigation threshold was designed at 80% field capacity during the whole period of the experiment and subjected to waterlogging after anthesis (maintenance of an approximately 3 cm water level below the soil surface) |
| Moderate drought, MD | Plants were irrigated at 50% of the control, that is, at 30–40% field water capacity for the whole period of the experiment |
| Alternating moderate waterlogging and drought, MW-MD | Plants were exposed to waterlogging for 14 days, and then they were subjected to drought for 14 days |
| Alternating moderate drought and waterlogging, MD-MW | Plants were exposed to drought for 14 days, and then they were subjected to waterlogging for 14 days |
| Variables | Shoot | Root | ||||
|---|---|---|---|---|---|---|
| df | F | p | df | F | p | |
| Pro | 4 | 86.89 | <0.001 | 4 | 5.322 | 0.015 |
| Glu | 4 | 2.697 | 0.093 | 4 | 13.104 | 0.001 |
| Orn | 4 | 4.591 | 0.023 | 4 | 4.594 | 0.023 |
| GSA | 4 | 23.364 | <0.001 | 4 | 31.855 | <0.001 |
| P5C | 4 | 10.501 | 0.001 | 4 | 23.877 | <0.001 |
| Variables | Shoot | Root | ||||
|---|---|---|---|---|---|---|
| df | F | p | df | F | p | |
| P5CS | 4 | 3.959 | 0.035 | 4 | 4.325 | 0.027 |
| P5CDH | 4 | 2.478 | 0.111 | 4 | 4.054 | 0.033 |
| OAT | 4 | 3.079 | 0.068 | 4 | 25.420 | <0.001 |
| P5CR | 4 | 3.706 | 0.042 | 4 | 11.047 | 0.001 |
| ProDH | 4 | 14.706 | <0.001 | 4 | 37.440 | <0.001 |
Disclaimer/Publisher’s Note: The statements, opinions and data contained in all publications are solely those of the individual author(s) and contributor(s) and not of MDPI and/or the editor(s). MDPI and/or the editor(s) disclaim responsibility for any injury to people or property resulting from any ideas, methods, instructions or products referred to in the content. |
© 2024 by the authors. Licensee MDPI, Basel, Switzerland. This article is an open access article distributed under the terms and conditions of the Creative Commons Attribution (CC BY) license (https://creativecommons.org/licenses/by/4.0/).
Share and Cite
Luo, Q.; Ma, Y.; Xie, H.; Chang, F.; Guan, C.; Yang, B.; Ma, Y. Proline Metabolism in Response to Climate Extremes in Hairgrass. Plants 2024, 13, 1408. https://doi.org/10.3390/plants13101408
Luo Q, Ma Y, Xie H, Chang F, Guan C, Yang B, Ma Y. Proline Metabolism in Response to Climate Extremes in Hairgrass. Plants. 2024; 13(10):1408. https://doi.org/10.3390/plants13101408
Chicago/Turabian StyleLuo, Qiaoyu, Yonggui Ma, Huichun Xie, Feifei Chang, Chiming Guan, Bing Yang, and Yushou Ma. 2024. "Proline Metabolism in Response to Climate Extremes in Hairgrass" Plants 13, no. 10: 1408. https://doi.org/10.3390/plants13101408
APA StyleLuo, Q., Ma, Y., Xie, H., Chang, F., Guan, C., Yang, B., & Ma, Y. (2024). Proline Metabolism in Response to Climate Extremes in Hairgrass. Plants, 13(10), 1408. https://doi.org/10.3390/plants13101408

