Genetic Mapping of Flavonoid Grain Pigments in Durum Wheat
Abstract
1. Introduction
2. Results
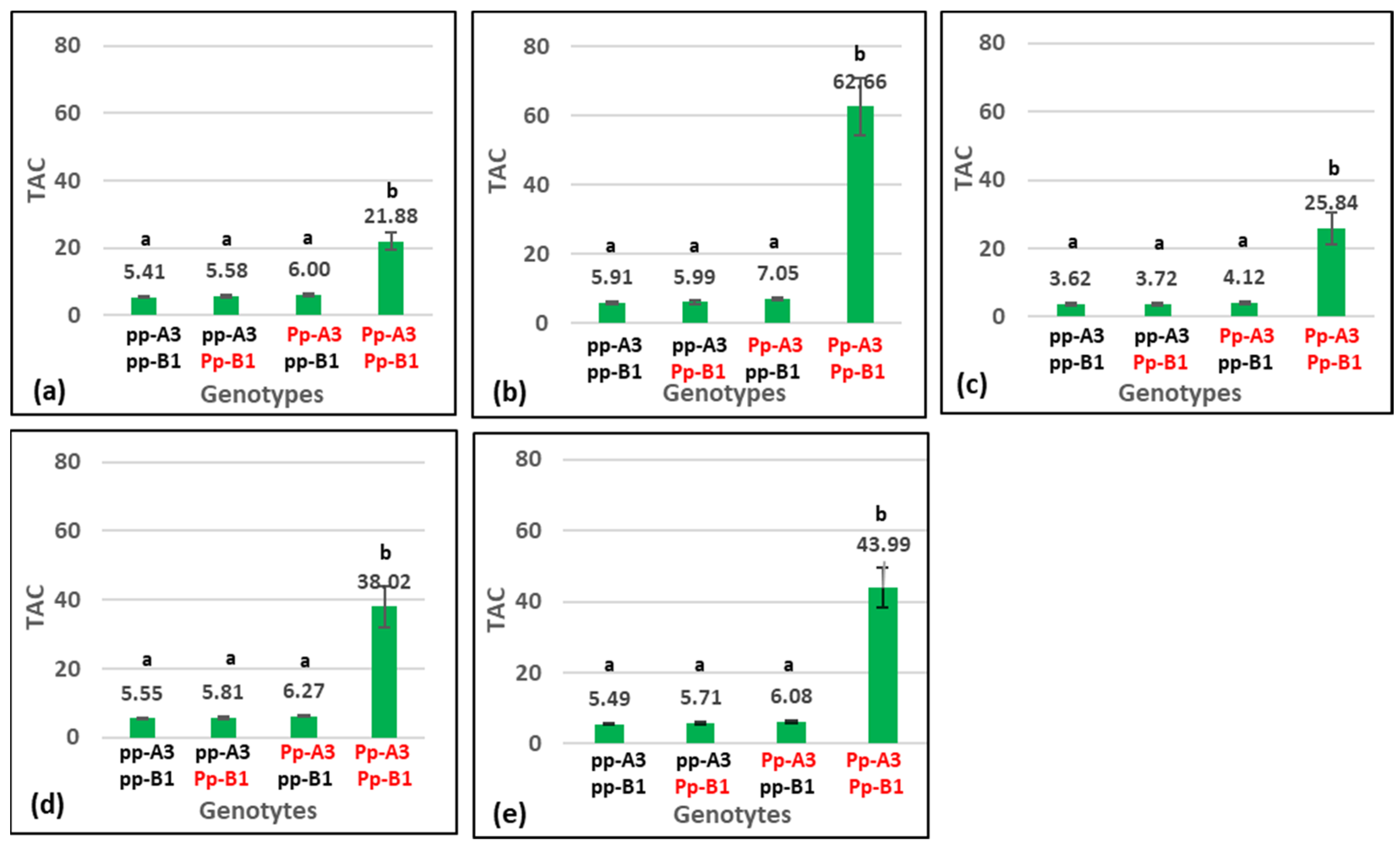
2.1. Phenotypic Variations of Total Anthocyanin Content (TAC) and Grain Color
2.2. Genetic Linkage Map
2.3. Detection of QTL for Total Anthocyanin Content (TAC)
2.4. Detection of QTL for Grain Color
2.5. Candidate Genes
3. Discussion
3.1. Trait Variation and Genotype x Environment Interaction
3.2. QTL for TAC and Grain Color
3.3. Candidate Genes and Transcription Factors
3.4. Concluding Remarks
4. Materials and Methods
4.1. Plant Materials
4.2. Phenotypic Analysis
4.3. DNA Extraction and Molecular Marker Analysis
4.4. Genetic Linkage Map Construction
4.5. Candidate Genes and Transcription Factors
4.6. Statistical and QTL Analyses
Supplementary Materials
Author Contributions
Funding
Data Availability Statement
Conflicts of Interest
Abbreviations
| QTL | Quantitative trait loci |
| LOD | Logarithm of odds |
| PVE | Phenotype variance explained |
| LG | Linkage group |
| TAC | Total anthocyanin content |
| ICIM | Inclusive Composite Interval Mapping |
| TF | Transcription factor |
| SNP | Single nucleotide polymorphism |
References
- International Grains Council. World Grain Statistics. Available online: https://www.igc.int/en/default.aspx (accessed on 1 December 2022).
- FAOSTAT. Production Domain. Crops. Rome: FAO. Available online: https://www.fao.org/faostat/ (accessed on 17 January 2023).
- Colasuonno, P.; Marcotuli, I.; Blanco, A.; Maccaferri, M.; Condorelli, G.E.; Tuberosa, R.; Gadaleta, A. Carotenoid pigment content in durum wheat (Triticum turgidum L. ssp. durum): An overview of quantitative trait loci and candidate genes. Front. Plant Sci. 2019, 10, 1347. [Google Scholar] [CrossRef]
- Weststrate, J.A.; Poppel, G.; Verschuren, P.M. Functional foods, trends and future. Br. J. Nutr. 2002, 88, 233–235. [Google Scholar] [CrossRef]
- Dwivedi, S.L.; Mattoo, A.K.; Garg, M.; Dutt, S.; Singh, B.; Ortiz Rios, R.O. Developing germplasm and promoting consumption of anthocyanin-rich grains for health benefits. Front. Sustain. Food Syst. 2022, 6, 137. [Google Scholar] [CrossRef]
- Petroni, K.; Pilu, R.; Tonelli, C. Anthocyanins in corn: A wealth of genes for human health. Planta 2014, 240, 901–911. [Google Scholar] [CrossRef] [PubMed]
- Blesso, C.N. Dietary Anthocyanins and human health. Nutrients 2019, 11, 2107. [Google Scholar] [CrossRef]
- Ficco, D.B.M.; Mastrangelo, A.M.; Trono, D.; Borrelli, G.M.; DeVita, P.; Fares, C.; Beleggia, R.; Platani, C.; Papa, R. The colors of durum wheat: A review. Crop Pasture Sci. 2014, 65, 1–15. [Google Scholar] [CrossRef]
- Pasqualone, A.; Bianco, A.M.; Paradiso, V.M.; Summo, C.; Gambacorta, G.; Caponio, F.; Blanco, A. Production and characterization of functional biscuits obtained from purple wheat. Food Chem. 2015, 180, 64–70. [Google Scholar] [CrossRef] [PubMed]
- Ficco, D.B.M.; Simone, V.; Leonardis, A.M.; Giovanniello, V.; Nobile, M.A.D.; Padalino, L.; Lecce, L.; Borrelli, G.M.; Vita, P. Use of purple durum wheat to produce naturally functional fresh and dry pasta. Food Chem. 2016, 205, 187–195. [Google Scholar] [CrossRef]
- Gamel, T.H.; Wright, A.J.; Pickard, M.; Abdel-Aal, E.S.M. Characterization of anthocyanin-containing purple wheat prototype products as functional foods with potential health benefits. Cereal Chem. 2020, 97, 34–38. [Google Scholar] [CrossRef]
- Kumari, A.; Sharma, S.; Sharma, N.; Chunduri, V.; Kapoor, P.; Kaur, S.; Goyal, A.; Garg, M. Influence of biofortified colored wheats (purple, blue, black) on physicochemical, antioxidant and sensory characteristics of chapatti (Indian flatbread). Molecules 2020, 25, 5071. [Google Scholar] [CrossRef] [PubMed]
- Saini, P.; Kumar, N.; Kumar, S.; Mwaurah, P.W.; Panghal, A.; Attkan, A.K.; Singh, V. Bioactive compounds, nutritional benefits and food applications of colored wheat: A comprehensive review. Crit. Rev. Food Sci. Nutr. 2021, 61, 3197–3210. [Google Scholar] [CrossRef]
- Romano, G.; Tufariello, M.; Calabriso, N.; Del Coco, L.; Fanizzi, F.P.; Blanco, A.; Carluccio, M.A.; Grieco, F.; Laddomada, B. Pigmented cereals and legume grains as healthier alternatives for brewing beers. Food Biosci. 2023, 52, 102463. [Google Scholar] [CrossRef]
- Zeven, A.C. Wheats with purple and blue grains: A review. Euphytica 1991, 56, 243–258. [Google Scholar] [CrossRef]
- Shoeva, O.Y.; Khlestkina, E.K. The specific features of anthocyanin biosynthesis regulation in wheat. In Advances in Wheat Genetics: From Genome to Field; Springer: Tokyo, Japan, 2015; pp. 147–157. [Google Scholar]
- Lachman, J.; Martinek, P.; Kotíková, Z.; Orsák, M.; Šulc, M. Genetics and chemistry of pigments in wheat grain–A review. J. Cereal Sci. 2017, 74, 145–154. [Google Scholar] [CrossRef]
- Dobrovolskaya, O.; Arbuzova, V.S.; Lohwasser, U.; Röder, M.S.; Börner, A. Microsatellite mapping of complementary genes for purple grain color in bread wheat (Triticum aestivum. L.). Euphytica 2006, 150, 355–364. [Google Scholar] [CrossRef]
- Khlestkina, E.K.; Röder, M.S.; Börner, A. Mapping genes controlling anthocyanin pigmentation on the glume and pericarp in tetraploid wheat (Triticum durum L.). Euphytica 2010, 171, 65–69. [Google Scholar] [CrossRef]
- Gordeeva, E.I.; Shoeva, O.Y.; Khlestkina, E.K. Marker-assisted development of bread wheat near-isogenic lines carrying various combinations of purple pericarp (Pp) alleles. Euphytica 2015, 203, 469–476. [Google Scholar] [CrossRef]
- McIntosh, R.A.; Hart, G.E.; Devos, K.M.; Gale, M.D.; Rogers, W.J. Catalogue of gene symbols for wheat. In Proceedings of the Ninth International Wheat Genetics Symposium; Saskatoon, SK, Canada, 2–7 August 1998, University of Saskatchewan Extension Press: Saskatoon, SK, Canada, 1998; Volume 5. Available online: http://wheat.pw.usda.gov/ggpages/pubs.html (accessed on 20 November 2022).
- Himi, E.; Maekawa, M.; Miura, H.; Noda, K. Development of PCR markers for Tamyb10 related to R-1, red grain color gene in wheat. Theor. Appl. Genet. 2011, 122, 1561–1576. [Google Scholar] [CrossRef]
- Abdel-Aal, E.S.M.; Abou-Arab, A.A.; Gamel, T.H.; Hucl, P.; Young, J.C.; Rabalski, I. Fractionation of blue wheat anthocyanin compounds and their contribution to antioxidant properties. J. Agric. Food Chem. 2008, 56, 11171–11177. [Google Scholar] [CrossRef]
- Qualset, C.O.; Soliman, K.M.; Jan, C.C.; Dvorak, J.; McGuire, P.E.; Vogt, H.E. Registration of UC66049 Triticum aestivum blue aleurone genetic stock. Crop Sci. 2005, 45, 432. [Google Scholar] [CrossRef]
- Singh, K.; Ghai, M.; Garg, M.; Chhuneja, P.; Kaur, P.; Schnurbusch, T.; Keller, B.; Dhaliwal, H.S. An integrated molecular linkage map of diploid wheat based on a Triticum boeoticum–T. monococcum RIL population. Theor. Appl. Genet. 2007, 115, 301–312. [Google Scholar] [CrossRef] [PubMed]
- Eticha, F.; Grausgruber, H.; Siebenhandl-Ehn, S.; Berghofer, E. Some agronomic and chemical traits of blue aleurone and purple pericarp wheat (Triticum L.). J. Agric. Sci. Technol. 2011, 1, 48–58. [Google Scholar]
- Tereshchenko, O.Y.; Arbuzova, V.S.; Khlestkina, E.K. Allelic state of the genes conferring purple pigmentation in different wheat organs predetermines transcriptional activity of the anthocyanin biosynthesis structural genes. J. Cereal Sci. 2013, 57, 10–13. [Google Scholar] [CrossRef]
- Wang, S.; Wong, D.; Forrest, K.; Allen, A.; Chao, S.; Huang, B.E.; Maccaferri, M.; Salvi, S.; Milner, S.G.; Cattivelli, L.; et al. Characterization of polyploid wheat genomic diversity using a high-density 90,000 single nucleotide polymorphism array. Plant Biotechnol. J. 2014, 12, 787–796. [Google Scholar] [CrossRef]
- Meng, L.; Li, H.; Zhang, L.; Wang, J. QTL IciMapping: Integrated software for genetic linkage map construction and quantitative trait locus mapping in biparental populations. Crop J. 2015, 3, 269–283. [Google Scholar] [CrossRef]
- Maccaferri, M.; Harris, N.S.; Twardziok, S.O.; Pasam, R.K.; Gundlach, H.; Spannagl, M.; Ormanbekova, D.; Lux, T.; Prade, V.M.; Milner, S.G.; et al. Durum wheat genome highlights past domestication signatures and future improvement targets. Nat. Genet. 2019, 51, 885–895. [Google Scholar] [CrossRef]
- Li, H.; Ye, G.; Wang, J. A Modified algorithm for the improvement of composite interval mapping. Genetics 2007, 175, 361–374. [Google Scholar] [CrossRef]
- Frankel, W.N.; Schork, N.J. Who’s afraid of epistasis. Nat. Genet. 1996, 14, 371–373. [Google Scholar] [CrossRef]
- Li, H.; Ribaut, J.M.; Li, Z.; Wang, J. Inclusive Composite Interval Mapping (ICIM) for digenic epistasis of quantitative traits in biparental populations. Theor. Appl. Genet. 2008, 116, 243–260. [Google Scholar] [CrossRef]
- Lap, B.; Rai, M.; Tyagi, W. Playing with colors: Genetics and regulatory mechanisms for anthocyanin pathway in cereals. Biotechnol. Genet. Eng. Rev. 2021, 37, 1–29. [Google Scholar] [CrossRef]
- Iannucci, A.; Suriano, S.; Cancellaro, S.; Trono, D. Anthocyanin profile and main antioxidants in pigmented wheat grains and related millstream fractions. Cereal Chem. 2022, 99, 1282–1295. [Google Scholar] [CrossRef]
- Avni, R.; Nave, M.; Barad, O.; Baruch, K.; Twardziok, S.O.; Gundlach, H.; Hale, I.; Mascher, M.; Spannagl, M.; Wiebe, K.; et al. Wild emmer genome architecture and diversity elucidate wheat evolution and domestication. Science 2017, 357, 93–97. [Google Scholar] [CrossRef] [PubMed]
- International Wheat Genome Sequencing Consortium (IWGSC); Appels, R.; Eversole, K.; Stein, N.; Feuillet, C.; Keller, B.; Rogers, J.; Pozniak, C.J.; Choulet, F.; Distelfeld, A.; et al. Shifting the limits in wheat research and breeding using a fully annotated reference genome. Science 2018, 361, eaar7191. [Google Scholar]
- Chen, S.; Zhao, H.; Luo, T.; Liu, Y.; Nie, X.; Li, H. Characteristics and expression pattern of MYC genes in Triticum aestivum, Oryza sativa, and Brachypodium distachyon. Plants 2019, 8, 274. [Google Scholar] [CrossRef] [PubMed]
- Bi, H.H.; Sun, Y.W.; Xiao, Y.G.; Xia, L.Q. Characterization of DFR allelic variations and their associations with pre-harvest sprouting resistance in a set of red-grained chinese wheat germplasm. Euphytica 2014, 195, 197–207. [Google Scholar] [CrossRef]
- Jiang, W.; Liu, T.; Nan, W.; Jeewani, D.C.; Niu, Y.; Li, C.; Wang, Z. Two transcription factors Tappm1 and Tappb1 co-regulate anthocyanin biosynthesis in purple pericarps of wheat. J. Exp. Bot. 2018, 69, 2555–2567. [Google Scholar] [CrossRef]
- Bai, J.F.; Wang, Y.K.; Guo, L.P.; Guo, X.M.; Guo, H.Y.; Yuan, S.H.; Duan, W.J.; Liu, Z.; Zhao, C.P.; Zhang, F.T.; et al. Genomic identification and characterization of MYC family genes in wheat (Triticum aestivum L.). BMC Genom. 2019, 20, 1032. [Google Scholar] [CrossRef]
- Blanco, E.; Curci, P.L.; Manconi, A.; Sarli, A.; Zuluaga, D.L.; Sonnante, G. R2R3-MYBs in durum wheat: Genome-wide identification, poaceae-specific clusters, expression, and regulatory dynamics under abiotic stresses. Front. Plant Sci. 2022, 13, 896945. [Google Scholar] [CrossRef]
- Himi, E.; Noda, K. Red grain colour gene (R) of wheat is a Myb-type transcription factor. Euphytica 2005, 143, 239–242. [Google Scholar] [CrossRef]
- Shoeva, O.; Gordeeva, E.; Khlestkina, E. The regulation of anthocyanin synthesis in the wheat pericarp. Molecules 2014, 19, 20266–20279. [Google Scholar] [CrossRef]
- Li, W.; Faris, J.D.; Chittoor, J.M.; Leach, J.E.; Hulbert, S.H.; Liu, D.J.; Chen, P.D.; Gill, B.S. Genomic mapping of defense response genes in wheat. Theor. Appl. Genet. 1999, 98, 226. [Google Scholar] [CrossRef]
- Strygina, K.V.; Khlestkina, E.K. Structural and functional divergence of the Mpc1 genes in wheat and barley. BMC Evol. Biol. 2019, 19, 89–99. [Google Scholar] [CrossRef] [PubMed]
- Wang, L.; Xiang, L.; Hong, J.; Xie, Z.; Li, B. Genome-wide analysis of BHLH transcription factor family reveals their involvement in biotic and abiotic stress responses in wheat (Triticum aestivum L.). 3 Biotech 2019, 9, 236. [Google Scholar] [CrossRef] [PubMed]
- Pires, N.; Dolan, L. Origin and diversification of basic-helix-loop-helix proteins in plants. Mol. Biol. Evol. 2010, 27, 862–874. [Google Scholar] [CrossRef] [PubMed]
- Nesi, N.; Jond, C.; Debeaujon, I.; Caboche, M.; Lepiniec, L. The Arabidopsis TT2 gene encodes an R2R3 MYB domain protein that acts as a key determinant for proanthocyanidin accumulation in developing seed. Plant Cell 2001, 13, 2099–2114. [Google Scholar] [CrossRef]
- Dubos, C.; Stracke, R.; Grotewold, E.; Weisshaar, B.; Martin, C.; Lepiniec, L. MYB transcription factors in Arabidopsis. Trends Plant Sci. 2010, 15, 573–581. [Google Scholar] [CrossRef] [PubMed]
- Gani, A.; Wani, S.M.; Masoodi, F.A.; Hameed, G. Whole-grain cereal bioactive compounds and their health benefits: A review. J. Food Process. Technol. 2012, 3, 146–156. [Google Scholar] [CrossRef]
- Francavilla, A.; Joye, I.J. Characterization of anthocyanins in purple and blue wheat using fluorescence spectroscopy and reversed phase HPLC. Cereals Grains 2020, 20. [Google Scholar]
- Bueno, J.M.; Ramos-Escudero, F.; Sáez-Plaza, P.; Muñoz, A.M.; Jose Navas, M.; Asuero, A.G. Analysis and antioxidant capacity of anthocyanin pigments. Part I: General considerations concerning polyphenols and flavonoids. Crit. Rev. Anal. Chem. 2012, 42, 102–125. [Google Scholar] [CrossRef]
- Lu, X.; Zhou, Y.; Wu, T.; Hao, L. Ameliorative effect of black rice anthocyanin on senescent mice induced by D-galactose. Food Funct. 2014, 5, 2892–2897. [Google Scholar] [CrossRef]
- Giordano, D.; Locatelli, M.; Travaglia, F.; Bordiga, M.; Reyneri, A.; Coïsson, J.D.; Blandino, M. Bioactive compound and antioxidant activity distribution in roller-milled and pearled fractions of conventional and pigmented wheat varieties. Food Chem. 2017, 233, 483–491. [Google Scholar] [CrossRef]
- Cammerata, A.; Laddomada, B.; Milano, F.; Camerlengo, F.; Bonarrigo, M.; Masci, S.; Sestili, F. Qualitative characterization of unrefined durum wheat air-classified fractions. Foods 2021, 10, 2817. [Google Scholar] [CrossRef] [PubMed]
- Cammerata, A.; Sestili, F.; Laddomada, B.; Aureli, G. Bran-enriched milled durum wheat fractions obtained using innovative micronization and air-classification pilot plants. Foods 2021, 10, 1796. [Google Scholar] [CrossRef] [PubMed]
- Alzuwaid, N.T.; Fellows, C.M.; Laddomada, B.; Sisson, M. Impact of wheat bran particle size on the technological and phytochemical properties of durum wheat pasta. J. Cereal Sci. 2020, 95, 103033. [Google Scholar] [CrossRef]
- Alzuwaid, N.T.; Pleming, D.; Fellows, C.M.; Laddomada, B.; Sissons, M. Influence of Durum Wheat Bran Particle Size on Phytochemical Content and on Leavened Bread Baking Quality. Foods 2021, 10, 489. [Google Scholar] [CrossRef]
- Khlestkina, E. The adaptive role of flavonoids: Emphasis on cereals. Cereal Res. Commun. 2013, 41, 185–198. [Google Scholar] [CrossRef]
- Landi, M.; Tattini, M.; Gould, K.S. Multiple functional roles of anthocyanins in plant-environment interactions. Environ. Exp. Bot. 2015, 119, 4–17. [Google Scholar] [CrossRef]
- Mbarki, S.; Sytar, O.; Zivcak, M.; Abdelly, C.; Cerda, A.; Brestic, M. Anthocyanins of colored wheat genotypes in specific response to salt stress. Molecules 2018, 23, 1518. [Google Scholar] [CrossRef]
- Li, X.L.; Xiang, L.Ü.; Wang, X.H.; Qin, P.E.N.G.; Zhang, M.S.; Ren, M.J. Biotic and abiotic stress-responsive genes are stimulated to resist drought stress in purple wheat. J. Integr. Agric. 2020, 19, 33–50. [Google Scholar] [CrossRef]
- Bassoi, M.C.; Flintham, J. Relationship between grain color and preharvest sprouting-resistance in wheat. Pesqui. Agropecu. Bras. 2005, 40, 981–988. [Google Scholar] [CrossRef]
- Sharma, A.; Shahzad, B.; Rehman, A.; Bhardwaj, R.; Landi, M.; Zheng, B. Response of phenylpropanoid pathway and the role of polyphenols in plants under abiotic stress. Molecules 2019, 24, 2452. [Google Scholar] [CrossRef] [PubMed]
- Knievel, D.C.; Abdel-Aal, E.S.; Rabalski, I.; Nakamura, T.; Hucl, P. Grain color development and the inheritance of high anthocyanin blue aleurone and purple pericarp in spring wheat (Triticum Aestivum L.). J. Cereal Sci. 2009, 50, 113–120. [Google Scholar] [CrossRef]
- Bustos, D.V.; Riegel, R.; Calderini, D.F. Anthocyanin content of grains in purple wheat is affected by grain position, assimilate availability and agronomic management. J. Cereal Sci. 2012, 55, 257–264. [Google Scholar] [CrossRef]
- Abdel-Aal, E.S.M.; Hucl, P.; Shipp, J.; Rabalski, I. Compositional differences in anthocyanins from blue and purple grained spring wheat grown in four environments in Central Saskatchewan. Cereal Chem. 2016, 93, 32–38. [Google Scholar] [CrossRef]
- Clark, J.A. Improvement of wheat. In Yearbook of Agriculture; U.S. Government Publishing Office: Washington, DC, USA, 1936; pp. 207–302. [Google Scholar]
- Sharman, B.C. ‘Purple pericarp’: A monofactorial dominant in tetraploid wheats. Nature 1958, 181, 929. [Google Scholar] [CrossRef]
- Copp, L.G.L. Purple graines in hexaploid wheat. Wheat Inf. Serv. 1965, 18, 19–20. [Google Scholar]
- Gilchrist, J.A.; Sorrells, M.E. Inheritance of kernel color in ‘Charcoal’wheat. J. Hered. 1982, 73, 457–460. [Google Scholar] [CrossRef]
- Li, X.P.; Lan, S.Q.; Zhang, Y.L.; Liu, Y.P. Identification of molecular markers linked to the genes for purple grain color in wheat (Triticum aestivum). Genet. Resour. Crop Evol. 2010, 57, 1007–1012. [Google Scholar] [CrossRef]
- McIntosh, R.A.; Backer, E.P. Inheritance of purple pericarp in wheat. Proc. Linn. Soc. 1967, 92, 204–208. [Google Scholar]
- Nilsson-Ehle, H. Kreuzungsuntersuchungen an hafer und weizen. Lunds Universitets Arsskrift, N.F. Afd 1909, 5, 122. [Google Scholar]
- Sears, E.R. Cytogenetic Studies with polyploid species of wheat. ii. additional chromosomal aberrations in Triticum vulgare. Genetics 1944, 29, 232–246. [Google Scholar] [CrossRef] [PubMed]
- Allan, R.E.; Vogel, O.A. Monosomic analysis of red seed color in wheat. Crop Sci. 1965, 5, 474–475. [Google Scholar] [CrossRef]
- Metzger, R.J.; Silbaugh, B.A. Location of genes for seed coat color in hexaploidy wheat, Triticum aestivum L. Crop Sci. 1970, 10, 495–496. [Google Scholar] [CrossRef]
- Pauw, R.D.; McCaig, T.N. Utilization of sodium hydroxide to assess kernel color and its inheritance in eleven spring wheat varieties. Can. J. Plant Sci. 1988, 68, 323–329. [Google Scholar] [CrossRef]
- Himi, E.; Matsuura, T.; Miura, H.; Yoshihara, N.; Maekawa, M. A new method for detecting proanthocyanidin content in wheat reveals the relationship between R-1 gene to grain color deepness. Cereal Chem. 2023, 100, 512–521. [Google Scholar] [CrossRef]
- Himi, E.; Taketa, S. Isolation of candidate genes for the barley Ant1 and wheat Rc genes controlling anthocyanin pigmentation in different vegetative tissues. Mol. Genet. Genom. 2015, 290, 1287–1298. [Google Scholar] [CrossRef] [PubMed]
- Zimmermann, I.M.; Heim, M.A.; Weisshaar, B.; Uhrig, J.F. Comprehensive identification of Arabidopsis thaliana MYB transcription factors interacting with R/B-like BHLH proteins. Plant J. 2004, 40, 22–34. [Google Scholar] [CrossRef]
- Butelli, E.; Licciardello, C.; Zhang, Y.; Liu, J.; Mackay, S.; Bailey, P.; Reforgiato-Recupero, G.; Martin, C. Retrotransposons control fruit-specific, cold-dependent accumulation of anthocyanins in blood oranges. Plant Cell 2012, 24, 1242–1255. [Google Scholar] [CrossRef] [PubMed]
- Rahman, M.M.; Lee, K.E.; Lee, E.S.; Matin, M.N.; Lee, D.S.; Yun, J.S.; Kim, J.B.; Kang, S.G. The genetic constitutions of complementary genes Pp and Pb determine the purple color variation in pericarps with cyanidin-3-O-glucoside depositions in black rice. J. Plant Biol. 2013, 56, 24–31. [Google Scholar] [CrossRef]
- Cheng, J.; Liao, L.; Zhou, H.; Gu, C.; Wang, L.; Han, Y. A small indel mutation in an anthocyanin transporter causes variegated coloration of peach flowers. J. Exp. Bot. 2015, 66, 7227–7239. [Google Scholar] [CrossRef]
- Commission Internationale de l’Eclairage (CIE). Colorimetry, 2nd ed.; No. 15.2; CIE: Vienna, Austria, 1986. [Google Scholar]
- Abdel-Aal, E.-S.M.; Hucl, P. A rapid method for quantifying total anthocyanins in blue aleurone and purple pericarp wheats. Cereal Chem. 1999, 76, 350–354. [Google Scholar] [CrossRef]
- SGS Institut Fresenius. Available online: https://sgs-institut-fresenius.de/en/gesundheit-und-ernaehrung/traitgenetics (accessed on 10 December 2022).
- Maccaferri, M.; Ricci, A.; Salvi, S.; Milner, S.G.; Noli, E.; Martelli, P.L.; Casadio, R.; Akhunov, E.; Scalabrin, S.; Vendramin, V.; et al. A high-density, SNP-based consensus map of tetraploid wheat as a bridge to integrate durum and bread wheat genomics and breeding. Plant Biotechnol. J. 2015, 13, 648–663. [Google Scholar] [CrossRef] [PubMed]
- InterOmics. Intranet of Durum Wheat Genome Data. Available online: https://www.interomics.eu/durum-wheat-genome-intranet (accessed on 10 December 2020).
- Plant Bioinformatics Facility. Available online: https://urgi.versailles.inrae.fr/jbrowseiwgsc/ (accessed on 10 December 2022).
- Katoh, K.; Rozewicki, J.; Yamada, K.D. MAFFT Online Service: Multiple sequence alignment, interactive sequence choice and visualization. Brief. Bioinform. 2019, 20, 1160–1166. [Google Scholar] [CrossRef] [PubMed]
- Jiang, C.K.; Rao, G.Y. Insights into the Diversification and Evolution of R2R3-MYB Transcription Factors in Plants. Plant Physiol. 2020, 183, 637. [Google Scholar] [CrossRef] [PubMed]
- Trifinopoulos, J.; Nguyen, L.T.; von Haeseler, A.; Minh, B.Q. W-IQ-TREE: A Fast Online Phylogenetic Tool for Maximum Likelihood Analysis. Nucleic Acids Res. 2016, 44, W232–W235. [Google Scholar] [CrossRef] [PubMed]
- Letunic, I.; Bork, P. Interactive Tree of Life (ITOL) v5: An Online Tool for Phylogenetic Tree Display and Annotation. Nucleic Acids Res. 2021, 49, W293–W296. [Google Scholar] [CrossRef]
- CoHort Software. Available online: https://www.cohortsoftware.com/index.html (accessed on 1 December 2022).
- Voorrips, R. MapChart: Software for the graphical presentation of linkage maps and QTLs. J. Hered. 2002, 93, 77–78. [Google Scholar] [CrossRef]






| Trait | Environment | Durum Wheat Parental Lines | RIL Population | ||||||
|---|---|---|---|---|---|---|---|---|---|
| PG2 | Grecale | Mean | Standard Error | Minimum | Maximum | Variance | h2 | ||
| Anthocyanin content (µg/g) | VAL_2020 | 25.83 ** | 3.92 | 8.86 | 0.69 | 1.50 | 58.39 | 68.71 | ° |
| VAL_2021 | 52.05 ** | 4.29 | 17.91 | 2.37 | 2.08 | 198.56 | 808.78 | 0.91 | |
| BA_2021 | 42.72 ** | 1.41 | 8.06 | 1.04 | 0.70 | 103.61 | 154.02 | ° | |
| VAL_2022 | 39.32 ** | 3.05 | 12.10 | 1.48 | 2.66 | 150.33 | 316.74 | 0.81 | |
| Across environments | 39.98 ** | 3.17 | 13.33 | 1.60 | 2.96 | 144.30 | 370.60 | 0.94 °° | |
| Grain color (0–3) | VAL_2020 | 3 ** | 0 | 1.46 | 0.82 | 0.00 | 3.00 | 0.67 | 0.93 |
| VAL_2021 | 3 ** | 0 | 1.34 | 0.90 | 0.00 | 3.00 | 0.80 | 0.97 | |
| BA_2021 | 3 ** | 0 | 1.36 | 0.87 | 0.00 | 3.00 | 0.75 | 0.95 | |
| VAL_2022 | 3 ** | 0 | 1.26 | 0.84 | 0.00 | 3.00 | 0.71 | 0.95 | |
| Across environments | 3 ** | 0 | 1.37 | 0.82 | 0.00 | 3.00 | 0.68 | 0.97 | |
| L* color index | VAL_2020 | 73.83 ** | 81.9 | 78.6 | 1.8 | 73.7 | 83.1 | 3.2 | 0.88 |
| VAL_2021 | 75.4 ** | 84.0 | 80.7 | 2.2 | 74.3 | 84.7 | 4.7 | 0.97 | |
| BA_2021 | 73.6 ** | 82.5 | 79.4 | 2.1 | 73.6 | 83.9 | 4.4 | 0.79 | |
| VAL_2022 | 76.1 ** | 83.7 | 80.6 | 1.9 | 75.1 | 84.8 | 3.7 | 0.96 | |
| Across environments | 74.7 ** | 83.0 | 79.8 | 1.9 | 74.3 | 84.1 | 3.6 | 0.96 | |
| a* color index | VAL_2020 | 2.36 ** | 0.36 | 1.57 | 0.44 | 0.09 | 2.44 | 0.20 | 0.81 |
| VAL_2021 | 2.60 ** | -0.11 | 1.38 | 0.58 | −0.08 | 3.02 | 0.34 | 0.92 | |
| BA_2021 | 2.64 ** | 0.62 | 1.65 | 0.50 | 0.43 | 2.91 | 0.25 | 0.86 | |
| VAL_2022 | 2.38 ** | 0.02 | 1.36 | 0.50 | 0.04 | 2.71 | 0.25 | 0.91 | |
| Across environments | 2.49 ** | 0.22 | 1.49 | 0.47 | 0.19 | 2.55 | 0.22 | 0.94 | |
| b* color index | VAL_2020 | 11.7 ** | 16.8 | 14.6 | 1.3 | 10.6 | 18.2 | 1.7 | 0.92 |
| VAL_2021 | 12.1 ** | 18.2 | 15.3 | 1.8 | 8.9 | 18.9 | 3.1 | 0.95 | |
| BA_2021 | 11.9 ** | 18.5 | 15.6 | 1.6 | 10.2 | 19.5 | 2.6 | 0.95 | |
| VAL_2022 | 12.5 ** | 18.3 | 15.5 | 1.6 | 9.6 | 18.3 | 2.4 | 0.96 | |
| Across environments | 12.0 ** | 17.9 | 15.2 | 1.5 | 9.9 | 18.7 | 2.3 | 0.97 | |
| Trait | L* | a* | b* | Grain Color | TAC |
|---|---|---|---|---|---|
| L* | 1.00 ** | ||||
| a* | −0.85 ** | 1.00 ** | |||
| b* | 0.77 ** | −0.76 ** | 1.00 ** | ||
| Grain color | −0.87 ** | 0.72 ** | −0.72 ** | 1.00 ** | |
| TAC | −0.73 ** | 0.47 ** | −0.72 ** | 0.63 ** | 1.00 ** |
| QTL | Environment | Chrom. Arm | Genetic Position (cM) | Closest Marker | Physical Position (bp) a | LOD | PVE (%) | Additive Effect |
|---|---|---|---|---|---|---|---|---|
| Total anthocyanin compounds | ||||||||
| QTAC.mgb-2A | VAL_2020 | 2AL | 113 | IWB64479 | 670,992,300 | 4.3 | 12.0 | 2.9 |
| VAL_2021 | 2AL | 115 | AX-109978841 | 672,230,615 | 4.7 | 13.4 | 9.9 | |
| BA_2021 | 2AL | 113 | IWB64479 | 670,992,300 | 2.9 | 8.8 | 3.7 | |
| VAL_2022 | 2AL | 113 | IWB64479 | 670,992,300 | 3.6 | 10.5 | 5.7 | |
| Across environments | 2AL | 113 | IWB64479 | 670,992,300 | 4.6 | 12.8 | 6.9 | |
| QTAC.mgb-7B | VAL_2020 | 7BS | 39 | IWB3173 | 89,972,586 | 5.0 | 14.4 | 3.2 |
| VAL_2021 | 7BS | 38 | IWB73677 | 83,850,422 | 5.9 | 16.9 | 11.2 | |
| BA_2021 | 7BS | 38 | IWB73677 | 83,850,422 | 3.8 | 11.3 | 4.2 | |
| VAL_2022 | 7BS | 38 | IWB73677 | 83,850,422 | 5.1 | 15.1 | 6.9 | |
| Across environments | 7BS | 38 | IWB73677 | 83,850,422 | 6.0 | 16.7 | 7.9 | |
| Grain color | ||||||||
| QGc.mgb-2A | BA_2021 | 2AL | 113 | IWB64479 | 670,992,300 | 2.9 | 6.3 | 0.2 |
| VAL_2021 | 2AL | 118 | AX-109978841 | 672,230,615 | 5.7 | 14.8 | 0.4 | |
| VAL_2022 | 2AL | 118 | AX-109978841 | 672,230,615 | 5.5 | 13.6 | 0.3 | |
| Across environments | 2AL | 118 | AX-109978841 | 672,230,615 | 4.9 | 12.4 | 0.3 | |
| QGc.mgb-7B | VAL_2020 | 7BS | 38 | IWB73677 | 83,850,422 | 7.0 | 18.4 | 0.3 |
| VAL_2021 | 7BS | 38 | IWB73677 | 83,850,422 | 13.0 | 27.2 | 0.5 | |
| BA_2021 | 7BS | 38 | IWB73677 | 83,850,422 | 10.4 | 23.4 | 0.4 | |
| VAL_2022 | 7BS | 38 | IWB73677 | 83,850,422 | 13.1 | 28.7 | 0.5 | |
| Across environments | 7BS | 38 | IWB73677 | 83,850,422 | 12.4 | 27.3 | 0.4 | |
| QGc.mgb-3B | VAL_2020 | 3BL | 161 | AX-108862484 | 775,341,071 | 4.0 | 10.1 | 0.3 |
| VAL_2021 | 3BL | 148 | IWB47344 | 756,364,388 | 3.9 | 6.8 | 0.2 | |
| BA_2021 | 3BL | 161 | AX-108862484 | 775,341,071 | 6.8 | 14.7 | 0.3 | |
| VAL_2022 | 3BL | 148 | IWB47344 | 756,364,388 | 3.0 | 5.5 | 0.2 | |
| Across environments | 3BL | 148 | IWB47344 | 756,364,388 | 4.5 | 8.5 | 0.2 | |
| Grain color * | ||||||||
| QGc.mgb-3A | VAL_2020 | 3AL_2 | 83 | AX-95136614 | 695,008,707 | 8.4 | 18.4 | 0.3 |
| VAL_2021 | 3AL_2 | 83 | AX-95136614 | 695,008,707 | 4.6 | 14.2 | 0.2 | |
| BA_2021 | 3AL_2 | 83 | AX-95136614 | 695,008,707 | 8.6 | 23.1 | 0.3 | |
| VAL_2022 | 3AL_2 | 83 | AX-95136614 | 695,008,707 | 5.5 | 17.6 | 0.2 | |
| Across environments | 3AL_2 | 83 | AX-95136614 | 695,008,707 | 7.8 | 20.5 | 0.2 | |
| QGc.mgb-3B | VAL_2020 | 3BL | 158 | AX-158563324 | 774,808,623 | 6.4 | 15.2 | 0.3 |
| VAL_2021 | 3BL | 148 | IWB47344 | 756,364,388 | 6.3 | 20.0 | 0.2 | |
| BA_2021 | 3BL | 148 | IWB47344 | 756,364,388 | 8.2 | 21.8 | 0.3 | |
| VAL_2022 | 3BL | 148 | IWB47344 | 756,364,388 | 5.1 | 16.2 | 0.2 | |
| Across environments | 3BL | 148 | IWB47344 | 756,364,388 | 8.1 | 21.3 | 0.2 | |
| Genotype | Grain Color | L* | a* | b* |
|---|---|---|---|---|
| R-A1/R-B1 | 1.4 b | 79.8 b | 1.6 b | 15.41 b |
| R-A1/r-B1 | 1.2 b | 80.0 b | 1.5 b | 15.63 b |
| r-A1/R-B1 | 1.2 b | 80.1 b | 1.5 b | 15.55 b |
| r-A1/r-B1 | 0.3 a | 82.4 a | 0.8 a | 16.71 a |
| QTL | Species * | Ch. | Gene | Triticum ortholog TF ** | ID | Position | Annotation |
|---|---|---|---|---|---|---|---|
| QTAC.mgb-2A/QGC.mgb-2A | T. t. durum | 2A | Pp-A3 | Myc-A1.1 | TRITD2Av1G241410 | 661,787,635-661,794,834 | bHLH DNA-binding superfamily protein. |
| T. t. durum | 2A | Pp-A3 | Myc-A1.2 | TRITD2Av1G241610 | 662,425,745-662,427,498 | bHLH DNA-binding superfamily protein. | |
| T. t. durum | 2B | Pp-B3 | Myc-B1.1 | TRITD2Bv1G202430 | 604,115,921-604,121,056 | bHLH transcription factor. | |
| T. t. durum | 2B | Pp-B3 | Myc-B1.2 | TRITD2Bv1G202460 | 604,213,485-604,217,695 | bHLH transcription factor. | |
| T. t. dicoccoides | 2A | Pp-A3 | Myc-A1 | TRIDC2AG059100 | 660,742,692-660,747,726 | ||
| T. t. dicoccoides | 2B | Pp-B3 | Myc-B1 | TRIDC2BG062210 | 611,414,598-611,419,239 | ||
| T. aestivum | 2A | Pp-A3 | Myc-A1.1 | TraesCS2A02G409400 | 667,010,726-667,015,774 | MYC-like regulatory protein. TaMYC1 [38]; TaMYC3-A1 and TaMYC3-A2 [39]; TaPpb1 [40]. | |
| T. aestivum | 2A | Pp-A3 | Myc-A1.2 | TraesCS2A02G409600 | 667,647,089-667,652,609 | MYC-like regulatory protein. TaMYC1 [38]; TaMYC3-A1 and TaMYC3-A2 [39]; TaPpm1 [40]. | |
| T. aestivum | 2B | Pp-B3 | Myc-B1 | TraesCS2B02G428000 | 615,352,721-615,356,928 | TaMYC3-B [41] | |
| T. aestivum | 2D | Pp-D3 | Myc-D1 | TraesCS2D02G406900 | 522,521,462-522,526,938 | ||
| T. t. durum | 7A | Pp-A1 | Mpc1-A1 | TRITD7Av1G053110 | 117,987,002-117,987,868 | MYB transcription factor. TdMYB7A107 [42]. | |
| QTAC.mgb-7B/QTAC.mgb-7B | T. t. durum | 7B | Pp-B1 | Mpc1-B1 | TRITD7Bv1G027860 | 77,346,121-77,348,220 | MYB transcription factor. |
| T. t. dicoccoides | 7A | Pp-A1 | Mpc1-A1 | TRIDC7AG020520 | 118,943,357-118,944,094 | ||
| T. t. dicoccoides | 7B | Pp-B1 | Mpc1-B1 | TRIDC7BG010500 | 81,313,184-81,314,083 | ||
| T. aestivum | 7A | Pp-A1 | Mpc1-A1 | TraesCS7A02G165700 | 121,397,856-121,399,015 | ||
| T. aestivum | 7B | Pp-B1 | Mpc1-B1 | TraesCS7B02G070400 | 77,430,167-77,432,792 | TaPpb1 [40]. | |
| T. aestivum | 7D | Pp-D1 | Mpc1-D1 | TraesCS7D02G166500 | 117242813-117245836 | ||
| QGc.mgb-3A | T. t. durum | 3A | R-A1 | Myb10-A1 | TRITD3Av1G260970 | 694,983,038-694,991,683 | MYB transcription factor. TdMYB3A056 [42]. |
| QGc.mgb-3B | T. t. durum | 3B | R-B1 | Myb10-B1 | TRITD3Bv1G255520 | 769,811,153-769,814,329 | MYB transcription factor. |
| T. t. dicoccoides | 3A | R-A1 | Myb10-A1 | TRIDC3AG066490 | 701,352,578-701,365,988 | ||
| T. t. dicoccoides | 3B | R-B1 | Myb10-B1 | TRIDC3BG075410 | 771,960,350-771,962,476 | ||
| T. aestivum | 3A | - | |||||
| T. aestivum | 3B | R-B1 | Myb10-B1 | TraesCS3B02G515900 | 757,918,264-757,920,082 | Tamyb10-B1 [22,43]. | |
| T. aestivum | 3D | R-D1 | Myb10-B1 | TraesCS3D02G468400 | 570,801,163-570,803,376 | Tamyb10-D1 [22,43]. |
Disclaimer/Publisher’s Note: The statements, opinions and data contained in all publications are solely those of the individual author(s) and contributor(s) and not of MDPI and/or the editor(s). MDPI and/or the editor(s) disclaim responsibility for any injury to people or property resulting from any ideas, methods, instructions or products referred to in the content. |
© 2023 by the authors. Licensee MDPI, Basel, Switzerland. This article is an open access article distributed under the terms and conditions of the Creative Commons Attribution (CC BY) license (https://creativecommons.org/licenses/by/4.0/).
Share and Cite
Sgaramella, N.; Nigro, D.; Pasqualone, A.; Signorile, M.A.; Laddomada, B.; Sonnante, G.; Blanco, E.; Simeone, R.; Blanco, A. Genetic Mapping of Flavonoid Grain Pigments in Durum Wheat. Plants 2023, 12, 1674. https://doi.org/10.3390/plants12081674
Sgaramella N, Nigro D, Pasqualone A, Signorile MA, Laddomada B, Sonnante G, Blanco E, Simeone R, Blanco A. Genetic Mapping of Flavonoid Grain Pigments in Durum Wheat. Plants. 2023; 12(8):1674. https://doi.org/10.3390/plants12081674
Chicago/Turabian StyleSgaramella, Natalia, Domenica Nigro, Antonella Pasqualone, Massimo Antonio Signorile, Barbara Laddomada, Gabriella Sonnante, Emanuela Blanco, Rosanna Simeone, and Antonio Blanco. 2023. "Genetic Mapping of Flavonoid Grain Pigments in Durum Wheat" Plants 12, no. 8: 1674. https://doi.org/10.3390/plants12081674
APA StyleSgaramella, N., Nigro, D., Pasqualone, A., Signorile, M. A., Laddomada, B., Sonnante, G., Blanco, E., Simeone, R., & Blanco, A. (2023). Genetic Mapping of Flavonoid Grain Pigments in Durum Wheat. Plants, 12(8), 1674. https://doi.org/10.3390/plants12081674

