Nitrogen Application Can Be Reduced without Affecting Carotenoid Content, Maturation, Shelf Life and Yield of Greenhouse Tomatoes
Abstract
1. Introduction
2. Results
2.1. Yield Response
2.2. Time Course of Ripening and Maturation
2.3. Postharvest Storage Ability and Colour Development until Complete Ripeness
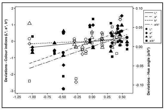
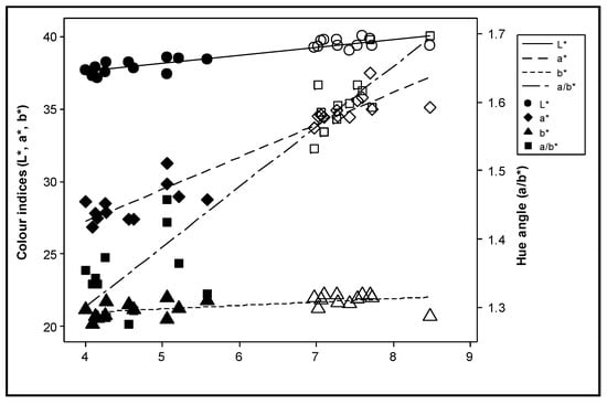
2.4. Colour Indices
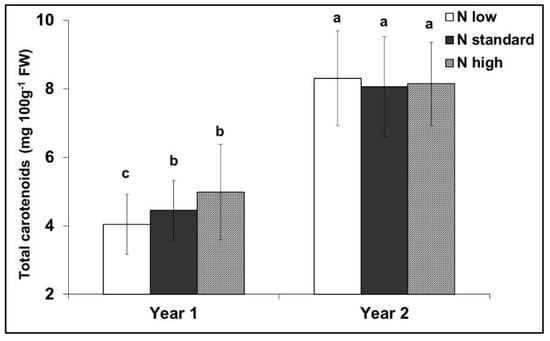
2.5. Carotenoids
3. Discussion
3.1. Yield Response
3.2. Time Course of Ripening and Maturation
3.3. Postharvest Storage Ability and Colour Development until Complete Ripeness
3.4. Colour Indices
3.5. Carotenoids
4. Materials and Methods
4.1. Experimental Design and Management
4.2. Soil Sampling and Chemical Analysis
4.3. Harvests and Data Recorded during the Experiments
4.4. Carotenoid Extraction and Analysis
4.4.1. Extraction
4.4.2. HPLC Method
4.4.3. Lycopene Standard Preparation and Purification for HPLC Quantification
4.5. Colour Indices
4.6. Statistical Analysis
5. Conclusions
Author Contributions
Funding
Data Availability Statement
Acknowledgments
Conflicts of Interest
References
- Giovannucci, E. Tomatoes, Tomato-Based Products, Lycopene, and Cancer: Review of the Epidemiologic Literature. J. Natl. Cancer Inst. 1999, 91, 317–331. [Google Scholar] [CrossRef]
- Masala, G.; Assedi, M.; Bendinelli, B.; Ermini, I.; Sieri, S.; Grioni, S.; Sacerdote, C.; Ricceri, F.; Panico, S.; Mattiello, A.; et al. Fruit and vegetables consumption and breast cancer risk: The EPIC Italy study. Breast Cancer Res. Treat. 2012, 132, 1127–1136. [Google Scholar] [CrossRef] [PubMed]
- Tapiero, H.; Townsend, D.M.; Tew, K.D. The role of carotenoids in the prevention of human pathologies. Biomed. Pharmacother. 2004, 58, 100–110. [Google Scholar] [CrossRef]
- Tang, F.Y. The silver bullet for cancer prevention: Chemopreventive effects of carotenoids. BioMedicine 2012, 2, 117–121. [Google Scholar] [CrossRef]
- Thies, F.; Mills, L.; Moir, S.; Masson, L. Cardiovascular benefits of lycopene: Fantasy or reality? Proc. Nutr. Soc. 2017, 76, 122–129. [Google Scholar] [CrossRef] [PubMed]
- Gitenay, D.; Lyan, B.; Rambeau, M.; Mazur, A.; Rock, E. Comparison of lycopene and tomato effects on biomarkers of oxidative stress in vitamin E deficient rats. Eur. J. Nutr. 2007, 46, 468–475. [Google Scholar] [CrossRef] [PubMed]
- Tierney, A.; Rumble, C.; Billings, L.; George, E. Effect of Dietary and Supplemental Lycopene on Cardiovascular Risk Factors: A Systematic Review and Meta-Analysis Adv. Nutr. 2020, 11, 1453–1488. [Google Scholar] [CrossRef]
- Blum, A.; Merei, M.; Karem, A.; Blum, N.; Ben-Arzi, S.; Wirsansky, I.; Khazim, K. Effects of tomatoes on the lipid profile. Clin. Investig. Med. 2006, 29, 298–300. [Google Scholar]
- Cuevas-Ramos, D.; Almeda-Valdés, P.; Chávez-Manzanera, E.; Meza-Arana, C.E.; Brito-Córdova, G.; Mehta, R.; Pérez-Méndez, O.; Gómez-Pérez, F.J. Effect of tomato consumption on high-density lipoprotein cholesterol level: A randomized, single-blinded, controlled clinical trial. Diabetes Metab. Syndr. Obes. 2013, 6, 263–273. [Google Scholar] [CrossRef]
- Mengel, K.; Kirkby, E.A. Principles of Plant Nutrition, 5th ed.; Kluwer Academic Publishers: Dordrecht, The Netherlands, 2001; p. 849. [Google Scholar] [CrossRef]
- Armita, D.; Rahayu, A.P.; Maghfoer, M.D.; Fuadi, D.A.F. Effect of potassium fertilization on the yield and quality of two tomato varieties. Biosci. Res. 2017, 14, 1150–1155. [Google Scholar]
- Fracchiolla, M.; Renna, M.; Durante, M.; Mita, G.; Serio, F.; Cazzato, E. Cover Crops and Manure Combined with Commercial Fertilizers Differently Affect Yield and Quality of Processing Tomato (Solanum lycopersicum L.) Organically Grown in Puglia. Agriculture 2021, 11, 757. [Google Scholar] [CrossRef]
- Dumas, Y.; Dadomo, M.; Lucca, G.D.; Grolier, P. Effects of environmental factors and agricultural techniques on antioxidant content of tomatoes. J. Sci. Food Agric. 2003, 83, 369–382. [Google Scholar] [CrossRef]
- Syamila, M.; Gedi, M.; Briars, R.; Ayed, C.; Gray, D.A. Effect of temperature, oxygen and light on the degradation of β-carotene, lutein and α-tocopherol in spray-dried spinach juice powder during storage. Food Chem. 2019, 284, 188–197. [Google Scholar] [CrossRef]
- Mukhtar, T.; Rehman, S.U.; Smith, D.; Sultan, T.; Seleiman, M.F.; Alsadon, A.A.; Amna; Ali, S.; Chaudhary, H.J.; Solieman, T.H.I.; et al. Mitigation of Heat Stress in Solanum lycopersicum L. by ACC-deaminase and Exopolysaccharide Producing Bacillus cereus: Effects on Biochemical Profiling. Sustainability 2020, 12, 2159. [Google Scholar] [CrossRef]
- Massey, D.; Winsor, G.W. Some responses of tomatoes to nitrogen in recirculating solutions. Acta Hort. 1980, 98, 127–137. [Google Scholar] [CrossRef]
- Starck, J.R.; Okruszko, B. Τhe effect of nitrogen on yield of greenhouse tomatoes grown in peat, pine bark and sawdust. Acta Hortic. 1984, 145, 74–80. [Google Scholar] [CrossRef]
- Kirda, C.; Baytorun, N.; Derici, M.R.; Dasgan, H.Y.; Tanriverdi, C.; Gumus, Z. Nitrogen fertiliser recovery and yield response of greenhouse grown and fertigated tomato to root—Zone soil water tension. Turk J. Agric. For. 2003, 27, 323–328. [Google Scholar]
- Segura, M.L.; Contreras, J.I.; Salinas, R.; Lao, M.T. Influence of salinity and fertilization level on greenhouse tomato yield and quality. Commun. Soil Sci. Plant Anal. 2009, 40, 485–497. [Google Scholar] [CrossRef]
- Al-Mohammadi, F.; AL-Zu’bi, Y. Soil chemical properties and yield of tomato as influenced by different levels of irrigation water and fertilizer. J. Agric. Sci. Technol. 2011, 13, 289–299. [Google Scholar]
- Montemurro, F.; Maiorana, M.; Lacertosa, G. Plant and soil nitrogen indicators and performance of tomato grown at different nitrogen fertilization levels. J. Food Agric. Environ. 2007, 5, 143–148. [Google Scholar]
- Bénard, C.; Gautier, H.; Bourgaud, F.; Grasselly, D.; Navez, B.; Caris-Veyrat, C.; Weiss., M.; Génard, M. Effects of Low Nitrogen Supply on Tomato (Solanum lycopersicum) Fruit Yield and Quality with Special Emphasis on Sugars, Acids, Ascorbate, Carotenoids, and Phenolic Compounds. J. Agric. Food Chem. 2009, 57, 4112–4123. [Google Scholar] [CrossRef] [PubMed]
- Savvas, D.; Ropokis, A.; Ntatsi, G.; Kittas, C. Current situation of greenhouse vegetable production in Greece. Acta Hortic. 2016, 1142, 443–448. [Google Scholar] [CrossRef]
- Benton, J., Jr. Tomato Plant Culture in the Field, Greenhouse and Home Garden, 2nd ed.; CRC Press, Taylor, and Francis group: Boca Raton, FL, USA, 2007; p. 420. [Google Scholar] [CrossRef]
- Barry, C.S.; Giovannoni, J.J. Ethylene and fruit ripening. J. Plant Growth Regul. 2007, 26, 143–159. [Google Scholar] [CrossRef]
- Bapat, V.A.; Trivedi, P.K.; Ghosh, A.; Sane, V.A.; Ganapathi, T.R.; Nath, P. Ripening of fleshy fruit: Molecular insight and the role of ethylene. Biotechnol. Adv. 2010, 28, 94–107. [Google Scholar] [CrossRef]
- Rees, D. Introduction. In Crop Postharvest: Science and Technology, Perishables; Rees, D.G., Farrell, J.E., Orchard, J., Eds.; Willey-Blackwell Publishing: Oxford, UK, 2012; Volume 3, pp. 1–4. [Google Scholar] [CrossRef]
- Arias, R.; Lee, T.C.; Specca, D.; Janes, H. Quality comparison of hydroponic tomatoes (Lycopersicon esculentum) ripened on and off vine. J. Food Sci. 2000, 65, 545–548. [Google Scholar] [CrossRef]
- Bakker, C.J.; Swanton, C.J.; McKeown, A.W. Broccoli growth in response to increasing rates of pre-plant nitrogen. I. Yield and quality. Can. J. Plant Sci. 2009, 89, 527–537. [Google Scholar] [CrossRef]
- Fernández-Escobar, R.; Braz Frade, R.; Lopez Campayo, M.; Beltrán Maza, G. Effect of nitrogen fertilization on fruit maturation of olive trees. Acta Hortic. 2014, 1057, 101–105. [Google Scholar] [CrossRef]
- Mozafar, A. Nitrogen fertilizers and the amount of vitamins in plants: A review. J. Plant Nutr. 1993, 16, 2479–2506. [Google Scholar] [CrossRef]
- Chenard, C.H.; Kopsell, D.A.; Kopsell, D.E. Nitrogen concentration affects nutrient and carotenoid accumulation in parsley. J. Plant Nutr. 2005, 28, 285–297. [Google Scholar] [CrossRef]
- Kopsell., D.A.; Barickman, T.C.; Sams, C.E.; Mcelroy, J.S. Influence of nitrogen and sulfur on biomass production and carotenoid and glucosinolate concentrations in watercress (Nasturtium officinale R. Br.). J. Agric. Food Chem. 2007, 55, 10628–10634. [Google Scholar] [CrossRef] [PubMed]
- Kopsell, D.A.; Kopsell, D.E.; Curran-Celentano, J. Carotenoid pigments in kale are influenced by nitrogen concentration and form. J. Sci. Food Agric. 2007, 87, 900–907. [Google Scholar] [CrossRef]
- Evers, A.M.; Ketoja, E.; Hagg, M.; Plaami, S.; Hakkinen, U.; Pessala, R. Decreased nitrogen rates and irrigation effect on celery yield and internal quality. Plant Foods Hum. Nutr. 1997, 51, 173–186. [Google Scholar] [CrossRef] [PubMed]
- Ferrante, A.; Spinardi, A.; Maggiore, T.; Testoni, A.; Gallina, P.M. Effect of nitrogen fertilisation levels on melon fruit quality at the harvest time and during storage. J. Sci. Food Agric. 2008, 88, 707–713. [Google Scholar] [CrossRef]
- SImonne, A.H.; Fuzere, J.M.; Simonne, E.; Hochmuth, R.C.; Marshall, M.R. Effects of nitrogen rates on chemical composition of yellow grape tomato grown in a subtropical climate. J. Plant Nutr. 2007, 30, 927–935. [Google Scholar] [CrossRef]
- Smolen, S.; Sady, W. The effect of various nitrogen fertilization and foliar nutrition regimes on the concentrations of sugars, carotenoids and phenolic compounds in carrot (Daucus carota L.). Sci Hortic. 2009, 120, 315–324. [Google Scholar] [CrossRef]
- Gruda, N.; Savvas, D.; Colla, G.; Rouphael, Y. Impacts of genetic material and current technologies on product quality of selected greenhouse vegetables—A review. Eur. J. Hortic. Sci. 2018, 83, 319–328. [Google Scholar] [CrossRef]
- Arias, R.; Lee, T.C.; Logendra, L.; Janes, H. Correlation of lycopene measured by HPLC with the L*, a*, b* color readings of a hydroponic tomato and the relationship of maturity with color and lycopene content. J. Agric. Food Chem. 2000, 48, 1697–1702. [Google Scholar] [CrossRef]
- Akbudak, B.; Bolkan, H.; Cohen, N. Determination of physicochemical characteristics in different products of tomato varieties. Int. J. Food Sci. Nutr. 2009, 60, 126–138. [Google Scholar] [CrossRef]
- Cheng, M.; Wang, H.; Fan, J.; Xiang, Y.; Tang, Z.; Pei, S.; Zeng, H.; Zhang, C.; Dai, Y.; Li, Z.; et al. Effects of nitrogen supply on tomato yield, water use efficiency and fruit quality: A global meta-analysis Sci. Hortic. 2021, 290, 110553. [Google Scholar] [CrossRef]
- Massantini, R.; Radicetti, E.; Frangipane, M.T.; Campiglia, E. Quality of Tomato (Solanum lycopersicum L.) Changes under Different Cover Crops, Soil Tillage and Nitrogen Fertilization Management. Agriculture 2021, 11, 106. [Google Scholar] [CrossRef]
- Giovanelli, G.; Lavelli, V.; Peri, C.; Nobili, S. Variation in antioxidant components of tomato during vine and post-harvest ripening. J. Sci. Food Agric. 1999, 79, 1583–1588. [Google Scholar] [CrossRef]
- Gautier, H.; Diakou-Verdin, V.; Benard, C.; Reich, M.; Buret, M.; Bourgaud, F.; Poessel, J.L.; Caris-Veyrat, C.; Genard, M. How does tomato quality (sugar, acid, and nutritional quality) vary with ripening stage, temperature, and irradiance? J. Agric. Food Chem. 2008, 56, 1241–1250. [Google Scholar] [CrossRef]
- Rhoads, F.M.; Olson, S.M.; Hochmuth, G.J.; Hanlon, E.A. Yield and Petiole-sap Nitrate Levels of Tomato with N Rates Applied Preplant or Fertigated. Soil Crop Sci. Soc. Fla. Proc. 1996, 55, 9–12. [Google Scholar]
- Hochmuth, G.; Cordasco, K. A Summary of N, P, and K Research with Tomato in Florida. 2000. Available online: https://edis.ifas.ufl.edu/pdf/CV/CV23600.pdf (accessed on 12 December 2022).
- Sainju, U.M.; Singh, B.P.; Whitehead, W.F. Comparison of the effects of cover crops and nitrogen fertilization on tomato yield, root growth, and soil properties. Sci. Hortic. 2001, 91, 201–214. [Google Scholar] [CrossRef]
- Liu, Z.H.; Jiang, L.H.; Li, X.L.; Hardter, R.; Zhang, W.J.; Zhang, Y.L.; Zheng, D.F. Effect of N and K fertilizers on yield and quality of greenhouse vegetable crops. Pedosphere 2008, 18, 496–502. [Google Scholar] [CrossRef]
- Yang, X.; Lu, Y.; Ding, Y.; Yin, X.; Raza, S.; Tong, Y. Optimising nitrogen fertilisation: A key to improving nitrogen-use efficiency and minimising nitrate leaching losses in an intensive wheat/maize rotation (2008–2014). Field Crop Res. 2017, 206, 1–10. [Google Scholar] [CrossRef]
- Liang, H.; Hu, K.; Batchelor, W.; Qin, W.; Li, B. Developing a water and nitrogen management model for greenhouse vegetable production in China: Sensitivity analysis and evaluation. Ecol. Model. 2018, 367, 24–33. [Google Scholar] [CrossRef]
- Frías-Moreno, M.N.; Espino-Díaz, M.; Dávila-Aviña, J.; González-Aguilar, G.A.; Ayala-Zavala, J.F.; Molina-Corral, F.J.; Olivas-Orozco, G.I. Preharvest nitrogen application affects quality and antioxidant status of two tomato cultivars. Bragantia 2020, 79, 134–144. [Google Scholar] [CrossRef]
- Parisi, M.; Pentangelo, A.; D’Onofrio, B.; Villari, G.; Giordano, I. Effects of Different Levels of Nitrogen Fertilization on Yield and Fruit Quality in Processing Tomato. Acta Hortic. 2004, 700, 129–132. [Google Scholar] [CrossRef]
- Elia, A.; Conversa, G. Agronomic and physiological responses of a tomato crop to nitrogen input. Eur. J. Agron. 2012, 40, 64–74. [Google Scholar] [CrossRef]
- Ozores-Hampton, M.; Simonne, E.; Roka, F.; Morgan, K.; Sargent, S.; Snodgrass, C.; McAvoy, E. Nitrogen rates effects on the yield, nutritional status, fruit quality, and profitability of tomato grown in the spring with subsurface irrigation. HortScience 2012, 47, 1129–1133. [Google Scholar] [CrossRef]
- Li, H.; Liu, H.; Gong, X.; Li, S.; Pang, J.; Chen, Z.; Sun, J. Optimizing irrigation and nitrogen management strategy to trade off yield, crop water productivity, nitrogen use efficiency and fruit quality of greenhouse grown tomato Agric. Water Manag. 2021, 245, 106570. [Google Scholar] [CrossRef]
- Gent, M. Yield of greenhouse tomato in response to supplemental nitrogen and potassium. Acta Hortic. 2004, 633, 341–348. [Google Scholar] [CrossRef]
- Albornoz, F. Crop responses to nitrogen overfertilization: A review. Sci. Hortic. 2016, 205, 79–83. [Google Scholar] [CrossRef]
- Duong, V.T.T.; Dinh, T.T.; Huong, T.T.L. Effect of temperature on physiological activities of tomato cv. ‘savior’ during postharvest ripening. Vietnam. J. Agric. Sci 2016, 14, 1075–1081. [Google Scholar]
- Dorais, M.; Ehret, D.L.; Papadopoulos, A.P. Tomato (Solanum lycopersicum) health components: From the seed to the consumer. Phytochem. Rev. 2008, 7, 231–250. [Google Scholar] [CrossRef]
- Saltveit, M. Tomatoes. In Fruit Ripening and Fruit Quality; Heuvelink, E., Ed.; CABI Publishing: Wallingford, UK, 2005; pp. 145–170. [Google Scholar] [CrossRef]
- Huff, A. Sugar regulation of plastid interconversions in epicarp of citrus fruit. Plant Physiol. 1984, 76, 307–312. [Google Scholar] [CrossRef] [PubMed]
- Van Doorn, W.G. Plant programmed cell death and the point of no return. Trends Plant Sci. 2005, 10, 478–483. [Google Scholar] [CrossRef]
- Pieper, J.R.; Barrett, D.M. Effects of organic and conventional production systems on quality and nutritional parameters of processing tomatoes. J. Sci. Food Agric. 2009, 89, 177–194. [Google Scholar] [CrossRef]
- Toor, R.K.; Savage, G.P. Changes in major antioxidant components of tomatoes during post-harvest storage. Food Chem. 2006, 99, 724–727. [Google Scholar] [CrossRef]
- Farneti, B.; Zhang, W.; Witkowska, I.; Woltering, E.J. Effect of home-refrigerator storage temperature on tomato quality. Acta Hortic. 2010, 877, 1191–1196. [Google Scholar] [CrossRef]
- Vieira, I.S.; Vasconcelos, E.P.; Monteiro, A.A. Nitrate accumulation, yield and leaf quality of turnip greens in response to nitrogen fertilisation. Nutr. Cycl. Agroecosyst. 1998, 51, 249–258. [Google Scholar] [CrossRef]
- Daugaard, H.; Grauslund, J. Fruit colour and correlations with orchard factors and post-harvest characteristics in apple cv. Mutsu. J. Hortic. Sci. Biotechnol. 1999, 74, 283–287. [Google Scholar] [CrossRef]
- Chassy, A.W.; Bui, L.; Renaud, E.N.C.; Van Horn, M.; Mitchell, A.E. Three-year comparison of the content of antioxidant microconstituents and several quality characteristics in organic and conventionally managed tomatoes and bell peppers. J. Agri. Food Chem. 2006, 54, 8244–8252. [Google Scholar] [CrossRef]
- Solovchenko, A.E.; Avertcheva, O.V.; Merzlyak, M.N. Elevated sunlight promotes ripening-associated pigment changes in apple fruit. Postharvest Biol. Technol. 2006, 40, 183–189. [Google Scholar] [CrossRef]
- Zhou, R.; Yu, X.; Li, X.; Mendanha Dos Santos, T.; Rosenqvist, E.; Ottosen, C.O. Combined high light and heat stress induced complex response in tomato with better leaf cooling after heat priming. Plant Physiol. Biochem. 2020, 151, 1–9. [Google Scholar] [CrossRef]
- Wang, C.; Gu, F.; Chen, J.; Yang, H.; Jiang, J.; Du, T.; Zhang, J. Assessing the response of yield and comprehensive fruit quality of tomato grown in greenhouse to deficit irrigation and nitrogen application strategies. Agric. Water Manag. 2015, 161, 9–19. [Google Scholar] [CrossRef]
- San Martín-Hernández, C.; Gómez-Merino, F.C.; Saucedo-Veloz, C.; Quintana-Obregón, E.A.; Muy-Rangel, M.D.; Trejo-Téllez, L.I. Nitrogen and potassium supplied by phenological stages affect the carotenoid and nutritive content of the tomato fruit. Not. Bot. Horti Agrobot. 2021, 49, 12320. [Google Scholar] [CrossRef]
- Kuscu, H.; Turhan, A.; Ozmen, N.; Aydinol, P.; Demir, A.O. Optimizing levels of water and nitrogen applied through drip irrigation for yield, and water productivity of processing tomato (Lycopersicon esculentum Mill.). Hortic. Environ. Biotechnol. 2014, 55, 103–114. [Google Scholar] [CrossRef]
- Hui, Y.; Hongxia, C.; Xinmei, H.; Lijie, G.; Hongzheng, L.; Xuanyi, W. Evaluation of tomato fruit quality response to water and nitrogen management under alternate partial root-zone irrigation. Int. J. Agric. Biol. 2017, 10, 85–94. [Google Scholar] [CrossRef]
- Souri, M.K.; Rashidi, M.; Kianmehr, M.H. Effects of manure-based urea pellets on growth, yield, and nitrate content in coriander, garden cress, and parsley plants. J. Plant Nutr. 2018, 41, 1405–1413. [Google Scholar] [CrossRef]
- Souri, M.K.; Hatamian, M. Aminochelates in plant nutrition; A review. J. Plant Nutr. 2019, 42, 67–78. [Google Scholar] [CrossRef]
- Pandurangaiah, S.; Sadashiva, A.T.; Shivashankar, K.S.; Sudhakar Rao, D.V.; Ravishankar, K.V. Carotenoid Content in Cherry Tomatoes Correlated to the Color Space Values L*, a*, b*: A Non-destructive Method of Estimation. J. Hortic. Sci. 2020, 15, 27–34. [Google Scholar] [CrossRef]
- Kaur, D.; Sharma, R.; Wani, A.A.; Gill, B.S.; Sogi, D.S. Physicochemical changes in seven tomato (lycopersicon esculentum) cultivars during ripening. Int. J. Food Prop. 2006, 9, 747–757. [Google Scholar] [CrossRef]
- Cox, S.E.; Stushnoff, C.; Sampson, D.A. Relationship of fruit color and light exposure to lycopene content and antioxidant properties of tomato Can. J. Plant. Sci. 2003, 83, 913–919. [Google Scholar] [CrossRef]
- Fraser, P.D.; Truesdale, M.R.; Bird, C.R.; Schuch, W.; Bramley, P.M. Carotenoid Biosynthesis During Tomato Fruit Development. Plant Physiol. 1994, 105, 405–413. [Google Scholar] [CrossRef] [PubMed]
- Thompson, K.A.; Marshall, M.R.; Sims, C.A.; Wei, C.I.; Sargent, S.A.; Scott, J.W. Cultivar, Maturity and Heat Treatment on Lycopene Content in Tomatoes. J. Food Sci. 2000, 65, 791–795. [Google Scholar] [CrossRef]
- Page, A.L.; Miller, R.H.; Keeny, D.R. Methods of Soil Analysis, Part 2. Chemical and Microbiological Properties, 2nd ed.; American Society of Agronomy, Inc., Soil Science Society of America, Inc.: Madison, WI, USA, 1982. [Google Scholar] [CrossRef]
- ISO 14235:1998; Soil Quality 5 Determination of Organic Carbon by Sulfochromic Oxidation. ISO: Geneva, Switzerland, 1998.
- ISO 11261:1995; Soil Quality. Determination of Total Nitrogen—Modified Kjeldahl Method. International Organization for Standardization: Geneva, Switzerland, 1995.
- ISO 14263:1994; Soil Quality-Determination of Phosphorus-Spectrometric Determination of Phosphorus Soluble in Sodium Hydrogen Carbonate Solution. ISO: Geneva, Switzerland, 1994.
- ISO 11260:1994; Soil Quality Determination of Effective Cation Exchange Capacity and Base Saturation Level Using 1 Barium Chloride Solution. ISO: Geneva, Switzerland, 1994.
- ISO 14870:2001; Soil Quality. Extraction of Trace Elements by Buffered DTPA Solution. International Organization for Standardization: Geneva, Switzerland, 2001.
- USDA. Usda-Tomato-Ripeness-Color-Chart. 1975. Available online: https://ucanr.edu/repository/view.cfm?article=83755%20&groupid=9 (accessed on 15 December 2022).
- Czepa, A.; Hofmann, T. Quantitative studies and sensory analyses on the influence of cultivar, spatial tissue distribution, and industrial processing on the bitter off-taste of carrots (Daucus carota L.) and carrot products. J. Agric. Food Chem. 2004, 52, 4508–4514. [Google Scholar] [CrossRef]
- Brandt, K. Variation among and within clones in formation of roots and shoots during micropropagation of Campanula isophyla. Plant Cell Tissue Organ Cult. 1994, 39, 63–68. [Google Scholar] [CrossRef]






| Breaker to Red Stage | ||||||
|---|---|---|---|---|---|---|
| Factors | On the Plants | Postharvest Conditions | Flowering to Breaker Stage | Flowering to Red Stage | Transplantation to Breaker Stage | Transplantation to Red Stage |
| Nitrogen input | ||||||
| low | 3.9 ±1.1 ab | 6.0 ± 1.8 | 42.4 ± 1.8 | 46.4 ± 0.7 | 66.7 ± 1.5 | 70.7 ± 0.5 |
| standard | 4.0 ± 1.3 a | 6.5 ± 1.5 | 43.1 ± 0.7 | 47.1 ± 1.7 | 67.6 ± 0.4 | 71.6 ± 1.5 |
| high | 3.7 ± 1.0 b | 6.9 ± 1.7 ns | 41.2 ± 0.8 ns | 44.9 ± 0.8 ns | 66.1 ± 0.5 ns | 69.8 ± 0.5 ns |
| Year | ||||||
| Year 1 | 3.0 ± 0.7 b | 49.3 ± 1.3 a | 52.4 ± 0.3 a | 69.3 ± 2.3 a | 72.4 ± 0.3 a | |
| Year 2 | 4.3 ± 1.1 a | 38.4 ± 2.3 b | 42.8 ± 1.4 b | 65.4 ± 2.3 b | 69.8 ± 1.4 b | |
| ANOVA p-values | ||||||
| Nitrogen input (N) | 0.032 | 0.457 | 0.210 | 0.151 | 0.210 | 0.151 |
| Year (Y) | ≤0.001 | ≤0.001 | ≤0.001 | ≤0.001 | ≤0.001 | |
| Days (D) | ≤0.001 | |||||
| N × Y | 0.412 | 0.675 | 0.551 | 0.675 | 0.551 | |
| Abiotic Conditions in the Greenhouse | ||||||
|---|---|---|---|---|---|---|
| Year | Month | T (°C) (min/max) | RH% (min/max) | VPD (kPa) | Soil T (°C) (Morning/Afternoon) | μmol m−2 s−1 (Afternoon) |
| Year 1 | April | 12.4/27.9 | 24/72.4 | 1.22 | 18/23.4 | 1.35 × 103 |
| May | 13.9/31.2 | 24/68.2 | 1.47 | 20.5/23.9 | 1.29 × 103 | |
| June | 19.2/34.6 | 24/60.5 | 2.04 | 23.5/26.3 | 1.62 × 103 | |
| July | 21.5/36.5 | 24/49.5 | 2.53 | 25.6/29.5 | - | |
| Year 2 | May | 14.8/32.2 | 24.3/64.5 | 1.61 | 20.2/25.6 | 1.74 × 103 |
| June | 19.1/37 | 24/59.3 | 2.21 | 23.9/27.6 | 1.74 × 103 | |
| July | 21.2/38.6 | 24/60 | 2.44 | 25.2/29 | 1.65 × 103 | |
| Colour Indices (L*, a*, b*) | |||
|---|---|---|---|
| Factors | |||
| Nitrogen input | L* | a* | b* |
| low | 38.44 ± 1.99 | 30.36 ± 4.07 b | 21.23 ± 2.32 |
| standard | 38.47 ± 1.65 | 30.82 ± 4.14 b | 21.27 ± 2.12 |
| high | 38.69 ± 1.61 ns | 31.88 ± 4.20 a | 21.54 ± 2.03 ns |
| Year | |||
| Year 1 | 37.91 ± 1.63 b | 28.51 ± 2.80 b | 21.11 (±1.95) b |
| Year 2 | 39.51 ± 1.50 a | 34.97 ± 2.66 a | 21.72 (±2.42) a |
| ANOVA p-values | |||
| Nitrogen input (N) | 0.490 | ≤0.001 | 0.317 |
| Year (Y) | ≤0.001 | ≤0.001 | 0.001 |
| N × Y | 0.272 | 0.650 | 0.835 |
| Texture | pH | E.C. | Org. Matter | CaCO3 | Nitrogen | P-Olsen | Exchangeable Cations | DTPA Extractable Micronutrients | |||||
|---|---|---|---|---|---|---|---|---|---|---|---|---|---|
| K | Mg | Ca | Zn | Mn | Fe | Cu | |||||||
| μS/cm | g kg−1 | % | g kg−1 | mg kg−1 | cmol kg−1 | mg kg−1 | |||||||
| SCL | 7.75 | 489 | 17.1 | 29.05 | 1.05 | 10.5 | 0.88 | 1.10 | 10.51 | 2.76 | 6.75 | 5.9 | 3.47 |
Disclaimer/Publisher’s Note: The statements, opinions and data contained in all publications are solely those of the individual author(s) and contributor(s) and not of MDPI and/or the editor(s). MDPI and/or the editor(s) disclaim responsibility for any injury to people or property resulting from any ideas, methods, instructions or products referred to in the content. |
© 2023 by the authors. Licensee MDPI, Basel, Switzerland. This article is an open access article distributed under the terms and conditions of the Creative Commons Attribution (CC BY) license (https://creativecommons.org/licenses/by/4.0/).
Share and Cite
Chormova, D.; Kavvadias, V.; Okello, E.; Shiel, R.; Brandt, K. Nitrogen Application Can Be Reduced without Affecting Carotenoid Content, Maturation, Shelf Life and Yield of Greenhouse Tomatoes. Plants 2023, 12, 1553. https://doi.org/10.3390/plants12071553
Chormova D, Kavvadias V, Okello E, Shiel R, Brandt K. Nitrogen Application Can Be Reduced without Affecting Carotenoid Content, Maturation, Shelf Life and Yield of Greenhouse Tomatoes. Plants. 2023; 12(7):1553. https://doi.org/10.3390/plants12071553
Chicago/Turabian StyleChormova, Dimitra, Victor Kavvadias, Edward Okello, Robert Shiel, and Kirsten Brandt. 2023. "Nitrogen Application Can Be Reduced without Affecting Carotenoid Content, Maturation, Shelf Life and Yield of Greenhouse Tomatoes" Plants 12, no. 7: 1553. https://doi.org/10.3390/plants12071553
APA StyleChormova, D., Kavvadias, V., Okello, E., Shiel, R., & Brandt, K. (2023). Nitrogen Application Can Be Reduced without Affecting Carotenoid Content, Maturation, Shelf Life and Yield of Greenhouse Tomatoes. Plants, 12(7), 1553. https://doi.org/10.3390/plants12071553

