Disentangling the Heterosis in Biomass Production and Radiation Use Efficiency in Maize: A Phytomer-Based 3D Modelling Approach
Abstract
1. Introduction
2. Materials and Methods
2.1. Experimental Setup and Environmental Condition
2.2. 3D Digitalization and Canopy Reconstruction by Assembling Phytomers
2.3. Morphological Parameters for an Individual Leaf in Maize
2.4. Measurement and Parameterization of Photosynthetic Light Response Curve
2.5. The PAR Distribution and Sunlit Leaf Area in the Three-dimensional Maize Canopy
2.6. Calculation of Above-Ground Biomass, Accumulated PAR Interception, and RUE
2.7. Contribution of Canopy Structure and Photosynthetic Traits to Heterosis in Yield and RUE
2.8. Statistical Analysis
3. Results
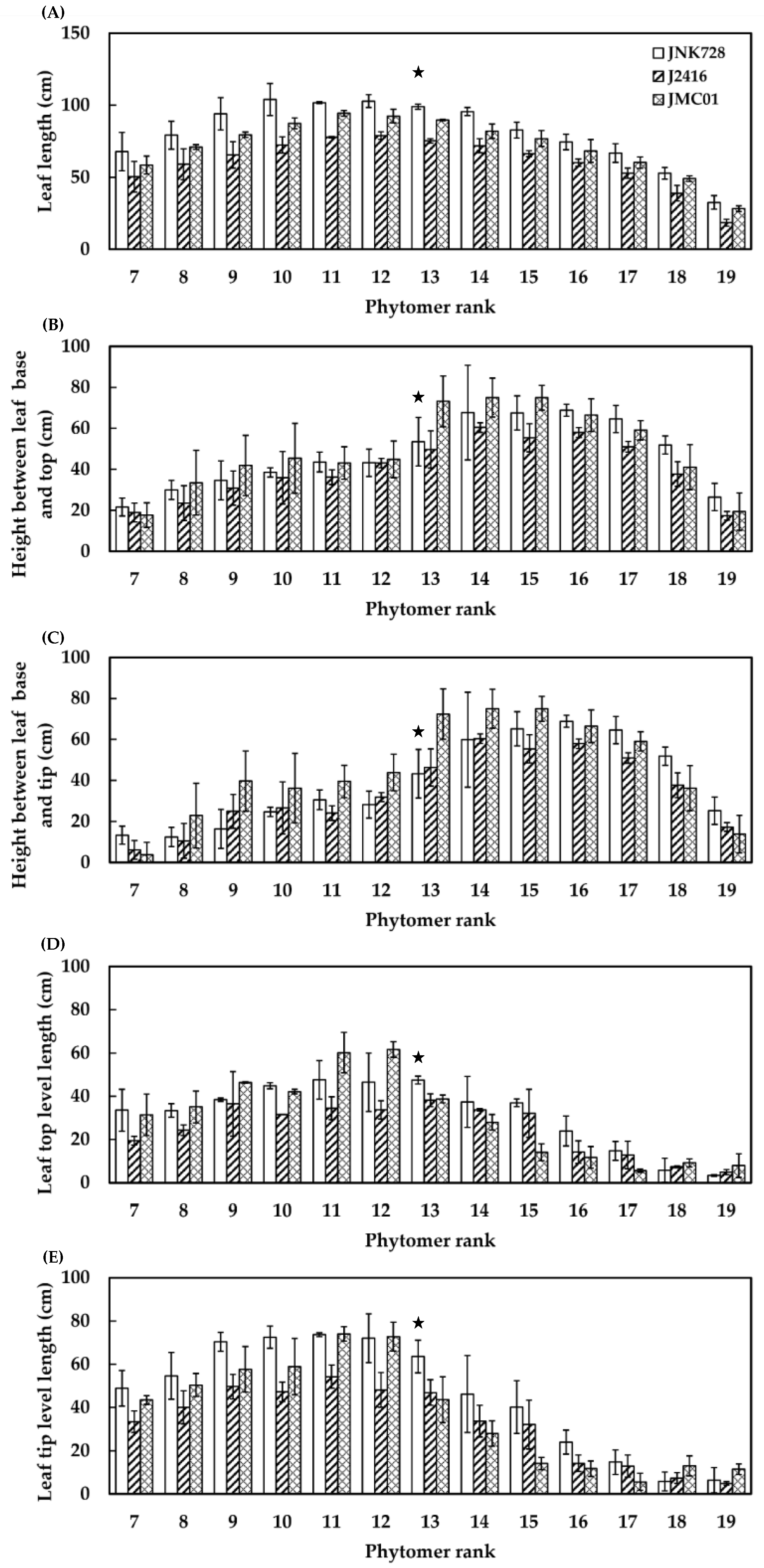
3.1. Morphological Traits
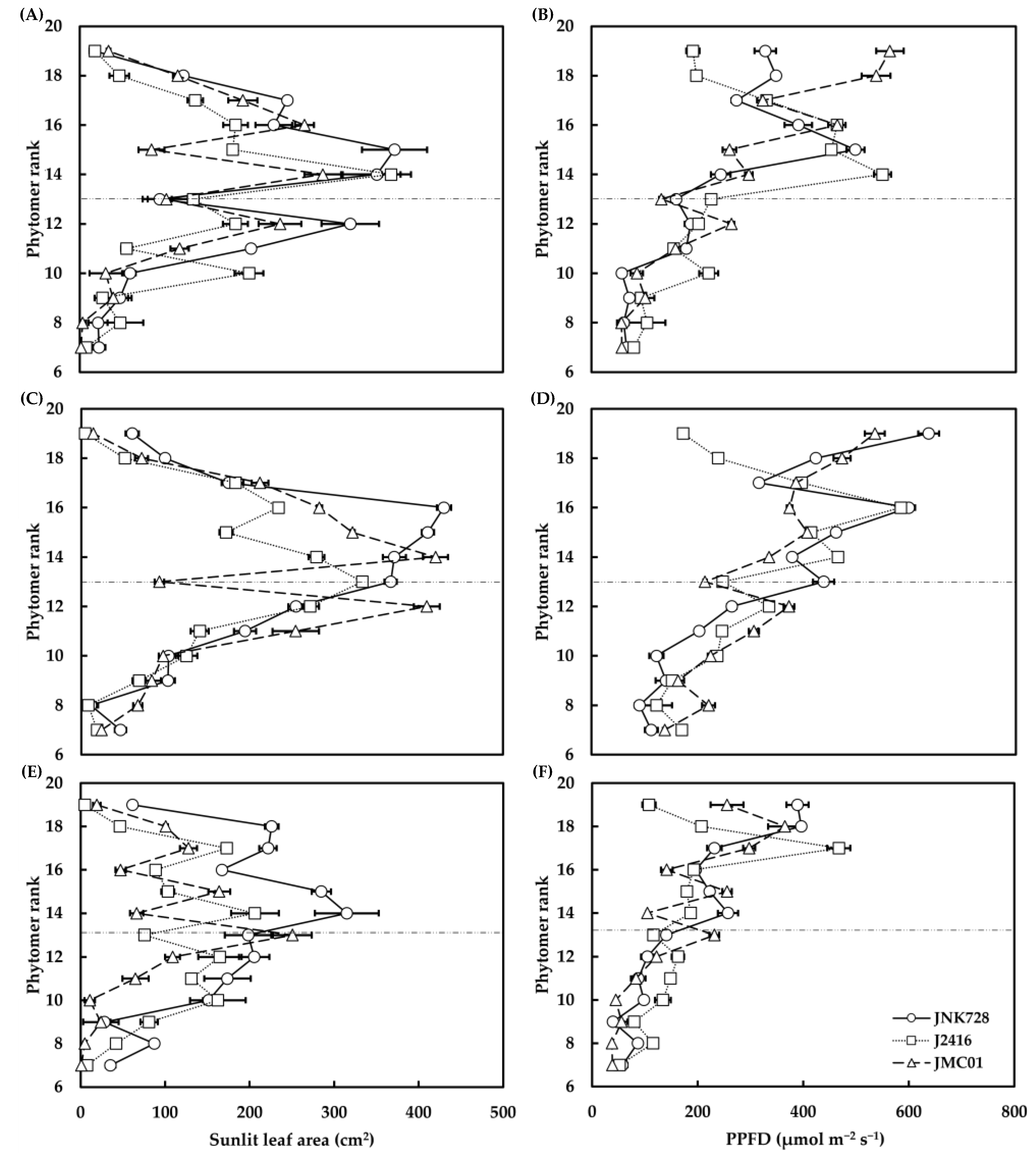
3.2. Sunlit Leaf Area and Incident Photosynthetic Active Radiation Intensity
3.3. PAR Interception over Growth Season
3.4. Leaf Photosynthetic Capacity
3.5. Contribution of Canopy Structure and Photosynthetic Capacity to Heterosis in Yield and Radiation Use Efficiency
4. Discussion
4.1. The Heterosis in Structural and Photosynthetic Traits at Different Levels
4.2. The Capability of Three-Dimensional-Phytomer-Based Canopy Photosynthesis Model in Simulating Light Capture and Photosynthetic Production
4.3. Implications for Breeding for Higher Yield and Photosynthetic Efficiency
4.4. Potential Limitations
5. Conclusions
Author Contributions
Funding
Acknowledgments
Conflicts of Interest
References
- Springer, N.M.; Stupar, R.M. Allelic variation and heterosis in maize: How do two halves make more than a whole? Genome Res. 2007, 17, 264–275. [Google Scholar] [CrossRef] [PubMed]
- Greaves, I.K.; Gonzalez-Bayon, R.; Wang, L.; Zhu, A.; Liu, P.C.; Groszmann, M.; Peacock, W.J.; Dennis, E.S. Epigenetic Changes in Hybrids. Plant Physiol. 2015, 168, 1197–1205. [Google Scholar] [CrossRef] [PubMed]
- Meena, R.K.; Reddy, K.S.; Gautam, R.; Maddela, S.; Reddy, A.R.; Gudipalli, P. Improved photosynthetic characteristics correlated with enhanced biomass in a heterotic F(1) hybrid of maize (Zea mays L.). Photosyn. Res. 2021, 147, 253–267. [Google Scholar] [CrossRef]
- Mehta, H.; Sarkar, K.R. Heterosis for leaf photosynthesis, grain yield and yield components in maize. Euphytica 1992, 61, 161–168. [Google Scholar] [CrossRef]
- Li, D.; Zhou, Z.; Lu, X.; Jiang, Y.; Li, G.; Li, J.; Wang, H.; Chen, S.; Li, X.; Würschum, T.; et al. Genetic Dissection of Hybrid Performance and Heterosis for Yield-Related Traits in Maize. Front. Plant Sci. 2021, 12, 774478. [Google Scholar] [CrossRef] [PubMed]
- Sinclair, T.R.; Muchow, R.C. Radiation Use Efficiency. In Advances in Agronomy, 1st ed.; Sparks, D.L., Ed.; Academic Press: New York, NY, USA, 1999; Volume 65, pp. 215–265. [Google Scholar]
- Liu, W.; Tollenaar, M. Response of Yield Heterosis to Increasing Plant Density in Maize. Crop Sci. 2009, 49, 1807–1816. [Google Scholar] [CrossRef]
- Gimenez, K.; Blanc, P.; Argillier, O.; Pierre, J.B.; Le Gouis, J.; Paux, E. Dissecting Bread Wheat Heterosis through the Integration of Agronomic and Physiological Traits. Biology 2021, 10, 907. [Google Scholar] [CrossRef]
- Toler, J.E.; Murdock, E.C.; Stapleton, G.S.; Wallace, S.U. Corn Leaf Orientation Effects on Light Interception, Intraspecific Competition, and Grain Yields. J. Agric. Sci. 1999, 12, 396–399. [Google Scholar] [CrossRef]
- Girardin, P. Leaf azimuth in maize canopies. Eur. J. Agron. 1992, 1, 91–97. [Google Scholar] [CrossRef]
- Curin, F.; Severini, A.D.; González, F.G.; Otegui, M.E. Water and radiation use efficiencies in maize: Breeding effects on single-cross Argentine hybrids released between 1980 and 2012. Field Crops Res. 2020, 246, 107683. [Google Scholar] [CrossRef]
- Monteith, J.L.; Moss, C.J. Climate and the Efficiency of Crop Production in Britain [and Discussion]. Philos. Trans. R. Soc. Lond. B Biol. Sci. 1977, 281, 277–294. [Google Scholar] [CrossRef]
- Tian, J.; Wang, C.; Xia, J.; Wu, L.; Xu, G.; Wu, W.; Li, D.; Qin, W.; Han, X.; Chen, Q.; et al. Teosinte ligule allele narrows plant architecture and enhances high-density maize yields. Science 2019, 365, 658–664. [Google Scholar] [CrossRef] [PubMed]
- Wu, A.; Hammer, G.L.; Doherty, A.; von Caemmerer, S.; Farquhar, G.D. Quantifying impacts of enhancing photosynthesis on crop yield. Nat. Plants 2019, 5, 380–388. [Google Scholar] [CrossRef] [PubMed]
- Stewart, D.W.; Costa, C.; Dwyer, L.M.; Smith, D.L.; Hamilton, R.I.; Ma, B.L. Canopy Structure, Light Interception, and Photosynthesis in Maize. Agron. J. 2003, 95, 1465–1474. [Google Scholar] [CrossRef]
- Huang, S.; Gao, Y.; Li, Y.; Xu, L.; Tao, H.; Wang, P. Influence of plant architecture on maize physiology and yield in the Heilonggang River valley. Crop J. 2017, 5, 52–62. [Google Scholar] [CrossRef]
- Tian, P.; Liu, J.; Zhao, Y.; Huang, Y.; Lian, Y.; Wang, Y.; Ye, Y. Nitrogen rates and plant density interactions enhance radiation interception, yield, and nitrogen use efficiencies of maize. Front. Plant Sci. 2022, 13, 974714. [Google Scholar] [CrossRef]
- Yang, H.S.; Dobermann, A.; Lindquist, J.L.; Walters, D.T.; Arkebauer, T.J.; Cassman, K.G. Hybrid-maize—A maize simulation model that combines two crop modeling approaches. Field Crops Res. 2004, 87, 131–154. [Google Scholar] [CrossRef]
- Wang, Y.; Wen, W.; Wu, S.; Wang, C.; Yu, Z.; Guo, X.; Zhao, C. Maize Plant Phenotyping: Comparing 3D Laser Scanning, Multi-View Stereo Reconstruction, and 3D Digitizing Estimates. Remote Sens. 2019, 11, 63. [Google Scholar] [CrossRef]
- Perez, R.P.A.; Fournier, C.; Cabrera-Bosquet, L.; Artzet, S.; Pradal, C.; Brichet, N.; Chen, T.W.; Chapuis, R.; Welcker, C.; Tardieu, F. Changes in the vertical distribution of leaf area enhanced light interception efficiency in maize over generations of selection. Plant Cell Environ. 2019, 42, 2105–2119. [Google Scholar] [CrossRef]
- Zheng, B.; Shi, L.; Ma, Y.; Deng, Q.; Li, B.; Guo, Y. Comparison of architecture among different cultivars of hybrid rice using a spatial light model based on 3-D digitising. Funct. Plant Biol. 2008, 35, 900–910. [Google Scholar] [CrossRef]
- Vos, J.; Evers, J.B.; Buck-Sorlin, G.H.; Andrieu, B.; Chelle, M.; de Visser, P.H. Functional-structural plant modelling: A new versatile tool in crop science. J. Exp. Bot. 2010, 61, 2101–2115. [Google Scholar] [CrossRef] [PubMed]
- Burgess, A.J.; Retkute, R.; Herman, T.; Murchie, E.H. Exploring Relationships between Canopy Architecture, Light Distribution, and Photosynthesis in Contrasting Rice Genotypes Using 3D Canopy Reconstruction. Front. Plant Sci. 2017, 8, 734. [Google Scholar] [CrossRef] [PubMed]
- Gaillard, M.; Miao, C.; Schnable, J.C.; Benes, B. Voxel carving-based 3D reconstruction of sorghum identifies genetic determinants of light interception efficiency. Plant Direct 2020, 4, e00255. [Google Scholar] [CrossRef]
- Kim, J.H.; Lee, J.W.; Ahn, T.I.; Shin, J.H.; Park, K.S.; Son, J.E. Sweet Pepper (Capsicum annuum L.) Canopy Photosynthesis Modeling Using 3D Plant Architecture and Light Ray-Tracing. Front. Plant Sci. 2016, 7, 1321. [Google Scholar] [CrossRef]
- Liu, F.; Song, Q.; Zhao, J.; Mao, L.; Bu, H.; Hu, Y.; Zhu, X.G. Canopy occupation volume as an indicator of canopy photosynthetic capacity. New Phytol. 2021, 232, 941–956. [Google Scholar] [CrossRef]
- Wen, W.; Wang, Y.; Wu, S.; Liu, K.; Gu, S.; Guo, X. 3D phytomer-based geometric modelling method for plants-the case of maize. AoB Plants 2021, 13, plab055. [Google Scholar] [CrossRef]
- Zhu, J.; van der Werf, W.; Anten, N.P.; Vos, J.; Evers, J.B. The contribution of phenotypic plasticity to complementary light capture in plant mixtures. New Phytol. 2015, 207, 1213–1222. [Google Scholar] [CrossRef] [PubMed]
- Zhang, N.; van Westreenen, A.; Evers, J.B.; Anten, N.P.R.; Marcelis, L.F.M. Quantifying the contribution of bent shoots to plant photosynthesis and biomass production of flower shoots in rose (Rosa hybrida) using a functional–structural plant model. Ann. Bot. 2019, 126, 587–599. [Google Scholar] [CrossRef]
- Li, S.; van der Werf, W.; Zhu, J.; Guo, Y.; Li, B.; Ma, Y.; Evers, J.B. Estimating the contribution of plant traits to light partitioning in simultaneous maize/soybean intercropping. J. Exp. Bot. 2021, 72, 3630–3646. [Google Scholar] [CrossRef]
- Wen, W.; Guo, X.; Zhao, C.; Xiao, B.; Wang, Y. Research on Maize Plant Type Parameter Extraction by Using Three Dimensional Digitizing Data (In Chinese with English abstract). Sci. Agric. Sin. 2018, 51, 1034–1044. [Google Scholar] [CrossRef]
- Wen, W.; Guo, X.; Lu, X.; Wang, Y.; Zhao, D.; Liao, W. Three-dimensional Template Resource Library Construction of Maize Organs (In Chinese with English abstract). Trans. CSAM 2016, 47, 7. [Google Scholar] [CrossRef]
- Ye, Z.P.; Suggett, D.J.; Robakowski, P.; Kang, H.J. A mechanistic model for the photosynthesis-light response based on the photosynthetic electron transport of photosystem II in C3 and C4 species. New Phytol. 2013, 199, 110–120. [Google Scholar] [CrossRef] [PubMed]
- Gu, S.; Wen, W.; Xu, T.; Lu, X.; Yu, Z.; Guo, X.; Zhao, C. Use of 3D modeling to refine predictions of canopy light utilization: A comparative study on canopy photosynthesis models with different dimensions. Front. Plant Sci. 2022, 13, 735981. [Google Scholar] [CrossRef]
- Sinclair, T.R.; Horie, T. Leaf Nitrogen, Photosynthesis, and Crop Radiation Use Efficiency: A Review. Crop Sci. 1989, 29, 90–98. [Google Scholar] [CrossRef]
- Goudriaan, J.; Laar, H.H. Modelling Potential Crop Growth Processes: Textbook with Exercises, 1st ed.; Springer: Dordrecht, The Netherlands, 1994; Volume 2, pp. 29–33. [Google Scholar]
- Tollenaar, M.; Ahmadzadeh, A.; Lee, E.A. Physiological Basis of Heterosis for Grain Yield in Maize. Crop Sci. 2004, 44, 2086–2094. [Google Scholar] [CrossRef]
- Wang, Z.; Ma, B.L.; Yu, X.; Gao, J.; Sun, J.; Su, Z.; Yu, S. Physiological Basis of Heterosis for Nitrogen Use Efficiency of Maize. Sci. Rep. 2019, 9, 18708. [Google Scholar] [CrossRef] [PubMed]
- Munaro, E.M.; Eyhérabide, G.H.; D’Andrea, K.E.; Cirilo, A.G.; Otegui, M.E. Heterosis×environment interaction in maize: What drives heterosis for grain yield? Field Crops Res. 2011, 124, 441–449. [Google Scholar] [CrossRef]
- Pavlíková, E.; Rood, S.B. Cellular basis of heterosis for leaf area in maize. Can. J. Plant Sci. 1987, 67, 99–104. [Google Scholar] [CrossRef]
- Guo, M.; Rupe, M.A.; Dieter, J.A.; Zou, J.; Spielbauer, D.; Duncan, K.E.; Howard, R.J.; Hou, Z.; Simmons, C.R. Cell Number Regulator1 affects plant and organ size in maize: Implications for crop yield enhancement and heterosis. Plant Cell 2010, 22, 1057–1073. [Google Scholar] [CrossRef]
- Ahmadzadeh, A.; Lee, E.A.; Tollenaar, M. Heterosis for Leaf CO2 Exchange Rate during the Grain-Filling Period in Maize. Crop Sci. 2004, 44, 2095–2100. [Google Scholar] [CrossRef]
- Ko, D.K.; Rohozinski, D.; Song, Q.; Taylor, S.H.; Juenger, T.E.; Harmon, F.G.; Chen, Z.J. Temporal Shift of Circadian-Mediated Gene Expression and Carbon Fixation Contributes to Biomass Heterosis in Maize Hybrids. PLoS Genet. 2016, 12, e1006197. [Google Scholar] [CrossRef]
- Li, Z.; Zhu, A.; Song, Q.; Chen, H.Y.; Harmon, F.G.; Chen, Z.J. Temporal Regulation of the Metabolome and Proteome in Photosynthetic and Photorespiratory Pathways Contributes to Maize Heterosis. Plant Cell 2020, 32, 3706–3722. [Google Scholar] [CrossRef] [PubMed]
- Long, S.P.; Zhu, X.G.; Naidu, S.L.; Ort, D.R. Can improvement in photosynthesis increase crop yields? Plant Cell Environ. 2006, 29, 315–330. [Google Scholar] [CrossRef]
- Liu, G.; Yang, Y.; Liu, W.; Guo, X.; Xie, R.; Ming, B.; Xue, J.; Zhang, G.; Li, R.; Wang, K.; et al. Optimized canopy structure improves maize grain yield and resource use efficiency. Food Energy Secur. 2022, 11, e375. [Google Scholar] [CrossRef]
- Li, R.; Zhang, G.; Liu, G.; Wang, K.; Xie, R.; Hou, P.; Ming, B.; Wang, Z.; Li, S. Improving the yield potential in maize by constructing the ideal plant type and optimizing the maize canopy structure. Food Energy Secur. 2021, 10, e312. [Google Scholar] [CrossRef]
- Ma, D.L.; Xie, R.Z.; Niu, X.K.; Li, S.K.; Long, H.L.; Liu, Y.E. Changes in the morphological traits of maize genotypes in China between the 1950s and 2000s. Eur. J. Agron. 2014, 58, 1–10. [Google Scholar] [CrossRef]
- Maddonni, G.A.; Otegui, M.E. Intra-specific competition in maize: Contribution of extreme plant hierarchies to grain yield, grain yield components and kernel composition. Field Crops Res. 2006, 97, 155–166. [Google Scholar] [CrossRef]
- Wen, W.; Guo, X.; Li, B.; Wang, C.; Wang, Y.; Yu, Z.; Wu, S.; Fan, J.; Gu, S.; Lu, X. Estimating canopy gap fraction and diffuse light interception in 3D maize canopy using hierarchical hemispheres. Agric. For. Meteorol. 2019, 276–277, 107594. [Google Scholar] [CrossRef]
- Tollenaar, M. Dissection of physiological processes underlying grain yield in maize by examining genetic improvement and heterosis. Maydica 2006, 51, 399–408. [Google Scholar]
- Tian, F.; Bradbury, P.J.; Brown, P.J.; Hung, H.; Sun, Q.; Flint-Garcia, S.; Rocheford, T.R.; McMullen, M.D.; Holland, J.B.; Buckler, E.S. Genome-wide association study of leaf architecture in the maize nested association mapping population. Nat. Genet. 2011, 43, 159–162. [Google Scholar] [CrossRef]
- Rood, S.B.; Buzzell, R.I.; MacDonald, M.D. Influence of Temperature on Heterosis for Maize Seedling Growth. Crop Sci. 1988, 28, 283–286. [Google Scholar] [CrossRef]
- Liu, W.; Tollenaar, M. Physiological Mechanisms Underlying Heterosis for Shade Tolerance in Maize. Crop Sci. 2009, 49, 1817–1826. [Google Scholar] [CrossRef]
- Araus, J.L.; Sánchez, C.; Cabrera-Bosquet, L. Is heterosis in maize mediated through better water use? New Phytol. 2010, 187, 392–406. [Google Scholar] [CrossRef] [PubMed]









| Scenarios | 3D Canopy Structure | Leaf Photosynthetic Capacity |
|---|---|---|
| JNK728 | JNK728 | JNK728 |
| J2416 | J2416 | J2416 |
| JMC01 | JMC01 | JMC01 |
| A1 | J2416 | JNK728 |
| A2 | JMC01 | JNK728 |
| B1 | JNK728 | J2416 |
| B2 | JNK728 | JMC01 |
| Index | JNK728 | J2416 | JMC01 |
|---|---|---|---|
| Plant height (cm) | 266.37 ± 5.81 a | 187.50 ± 3.43 c | 251.68 ± 7.68 b |
| Phytomer number | 19 | 19 | 19 |
| Rank of ear | 13 | 13 | 12 |
| Ear height (cm) | 106.85 ± 6.32 a | 74.29 ± 0.69 b | 67.42 ± 7.08 b |
| Ear length (cm) | 34.57 ± 2.96 a | 22.64 ± 2.24 b | 33.42 ± 0.63 a |
| Leaf inclination angle (°) | 66.7 ± 1.9 a | 66.3 ± 1.6 a | 65.3 ± 4.1 a |
| Leaf area (m2) | 0.72 ± 0.06 a | 0.46 ± 0.06 c | 0.58 ± 0.04 b |
| Photosynthetic leaf area (m2) | 0.23 ± 0.011 a | 0.16 ± 0.008 b | 0.16 ± 0.009 b |
| Cultivars | Total Intercepted PAR (MJ m−2) | |||||||
|---|---|---|---|---|---|---|---|---|
| 2021 | 2022 | |||||||
| Upper | Middle | Lower | SUM | Upper | Middle | Lower | SUM | |
| JNK728 | 139.60 aA | 108.94 bC | 116.70 aB | 365.24 a | 186.61 bA | 165.08 aB | 166.21 aB | 517.90 a |
| J2416 | 93.25 cB | 97.86 cB | 113.51 aA | 304.62 c | 134.45 cB | 130.57 cB | 144.29 bA | 409.32 c |
| JMC01 | 124.13 bA | 114.10 aB | 93.97 bC | 332.20 b | 195.33 aA | 141.91 bB | 111.32 cC | 448.56 b |
| C | 112.16 * | 79.46 * | 204.64 * | 116.90 * | ||||
| P | 48.45 * | - | 173.76 * | - | ||||
| C × P | 85.85 * | - | 116.63 * | - | ||||
| Cultivars | α | Amax (µmol m−2 s−1) | Rd (µmol m−2 s−1) | SPAD | ||||||||
|---|---|---|---|---|---|---|---|---|---|---|---|---|
| Upper leaf | Ear Leaf | Lower Leaf | Upper Leaf | Ear Leaf | Lower Leaf | Upper Leaf | Ear Leaf | Lower Leaf | Upper Leaf | Ear Leaf | Lower Leaf | |
| JNK728 | 0.057 aB | 0.064 aB | 0.074 aA | 31.48 aA | 30.54 aA | 29.48 aB | 2.88 aA | 2.64 aA | 2.34 aA | 68.9 aA | 67.9 aA | 63.7 aB |
| J2416 | 0.049 bB | 0.060 aA | 0.068 aA | 28.86 bA | 29.43 bA | 26.06 bB | 2.45 aA | 2.17 bA | 2.24 aA | 60.5 bA | 57.3 bA | 56.1 bA |
| JMC01 | 0.042 cC | 0.057 aB | 0.063 aA | 28.54 bA | 27.95 cA | 25.59 bB | 2.20 bA | 2.24 bA | 1.98 aA | 52.1 cA | 54.2 bA | 54.5 bA |
| C | 15.187 * | 60.693 * | 9.3 * | 52.19 * | ||||||||
| P | 46.508 * | 45.948 * | 4.156 * | 1.701 | ||||||||
| C × P | 0.798 | 2.785 | 0.891 | 1.890 | ||||||||
Disclaimer/Publisher’s Note: The statements, opinions and data contained in all publications are solely those of the individual author(s) and contributor(s) and not of MDPI and/or the editor(s). MDPI and/or the editor(s) disclaim responsibility for any injury to people or property resulting from any ideas, methods, instructions or products referred to in the content. |
© 2023 by the authors. Licensee MDPI, Basel, Switzerland. This article is an open access article distributed under the terms and conditions of the Creative Commons Attribution (CC BY) license (https://creativecommons.org/licenses/by/4.0/).
Share and Cite
Liu, X.; Gu, S.; Wen, W.; Lu, X.; Jin, Y.; Zhang, Y.; Guo, X. Disentangling the Heterosis in Biomass Production and Radiation Use Efficiency in Maize: A Phytomer-Based 3D Modelling Approach. Plants 2023, 12, 1229. https://doi.org/10.3390/plants12061229
Liu X, Gu S, Wen W, Lu X, Jin Y, Zhang Y, Guo X. Disentangling the Heterosis in Biomass Production and Radiation Use Efficiency in Maize: A Phytomer-Based 3D Modelling Approach. Plants. 2023; 12(6):1229. https://doi.org/10.3390/plants12061229
Chicago/Turabian StyleLiu, Xiang, Shenghao Gu, Weiliang Wen, Xianju Lu, Yu Jin, Yongjiang Zhang, and Xinyu Guo. 2023. "Disentangling the Heterosis in Biomass Production and Radiation Use Efficiency in Maize: A Phytomer-Based 3D Modelling Approach" Plants 12, no. 6: 1229. https://doi.org/10.3390/plants12061229
APA StyleLiu, X., Gu, S., Wen, W., Lu, X., Jin, Y., Zhang, Y., & Guo, X. (2023). Disentangling the Heterosis in Biomass Production and Radiation Use Efficiency in Maize: A Phytomer-Based 3D Modelling Approach. Plants, 12(6), 1229. https://doi.org/10.3390/plants12061229

