Enhancing Urban Wastewater Treatment through Isolated Chlorella Strain-Based Phytoremediation in Centrate Stream: An Analysis of Algae Morpho-Physiology and Nutrients Removal Efficiency
Abstract
1. Introduction
2. Results
2.1. Isolation and Selection of an Autochthonous Microalgal Strain from Centrate Stream
2.2. Preliminary Growth Tests of Chlorella Isolate in Centrate Stream and Modified BG11 Medium
Growth Kinetics and PSII Maximum Quantum Yield
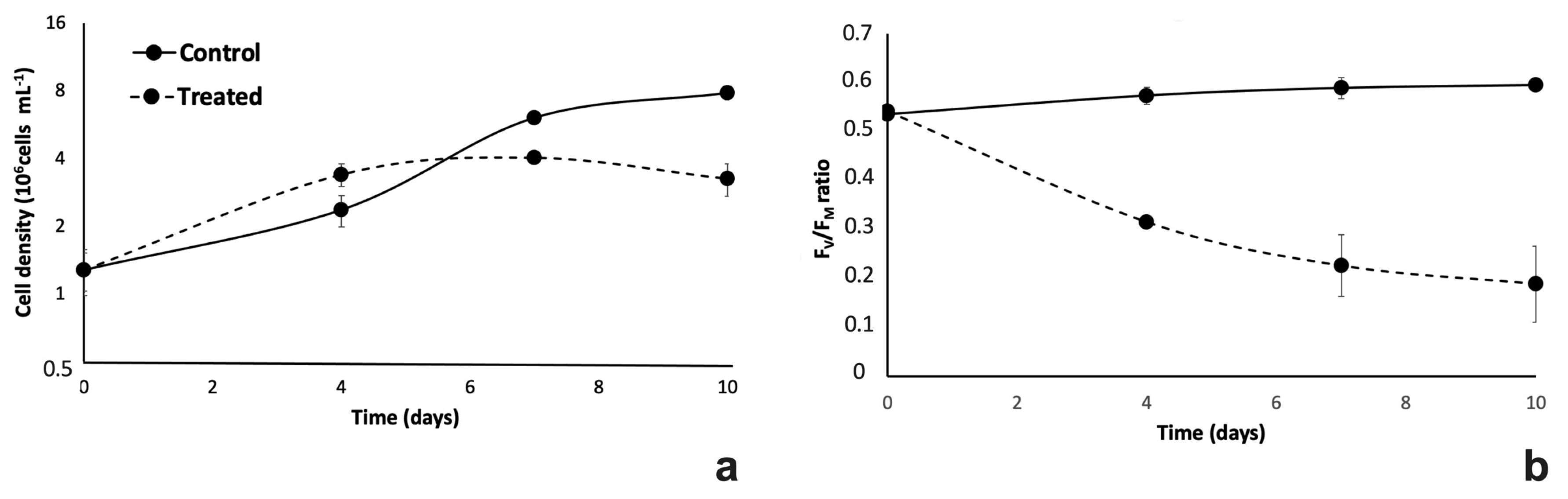
2.3. Phytoremediation Experiment in Diluted Centrate Stream
2.3.1. Algal Growth Aspects
2.3.2. Morphological Analyses
2.3.3. PSII Maximum Quantum Yield and Photosynthetic Pigment Content
2.3.4. Nutrient Removal from Diluted Centrate Stream
3. Discussion
4. Materials and Methods
4.1. Wastewater Collection and Characterization
4.2. Isolation and Selection of Autochthonous Microalgae
4.3. Experimental Set Up
4.4. Growth Evaluations
4.5. PSII Maximum Quantum Yield Measurements
4.6. Extraction and Quantification of Photosynthetic Pigments
4.7. Light and Fluorescence Microscopy
4.8. Transmission Electron Microscopy (TEM) and X-ray Microanalysis
4.9. Nitrogen and Phosphorus Removal Efficiency
4.10. Statistical Data Treatments
5. Conclusions
Supplementary Materials
Author Contributions
Funding
Institutional Review Board Statement
Informed Consent Statement
Data Availability Statement
Acknowledgments
Conflicts of Interest
References
- Schwarzenbach, R.P.; Egli, T.; Hofstetter, T.B.; von Gunten, U.; Wehrli, B. Global Water Pollution and Human Health. Annu. Rev. Environ. Resour. 2010, 35, 109–136. [Google Scholar] [CrossRef]
- Burek, P.; Satoh, Y.; Fischer, G.; Kahil, T.; Nava Jimenez, L.; Scherzer, A.; Tramberend, S.; Wada, Y.; Eisner, S.; Flörke, M.; et al. Water Futures and Solution; Fast Track and Initiative. Final Report, ADA Project Number 2725-00/2014; IIASA: Laxenburg, Austria, 2016; Available online: https://pure.iiasa.ac.at/id/eprint/13008/1/WP-16-006.pdf (accessed on 28 December 2022).
- Henze, M.; Comeau, I. Chapter 3: Wastewater characterization. In Biological Wastewater Treatment: Principles, Modelling and Design; Henze, M., van Loosdrecht, M.C.M., Ekama, G.A., Brdjanovic, D., Eds.; IWA Publishing: London, UK, 2008; pp. 33–52. [Google Scholar]
- Arora, N.; Jaiswala, K.K.; Kumara, V.; Vlaskinc, M.S.; Nandad, M.; Pruthie, V.; Chauhan, P.K. Small-scale phyco-mitigation of raw urban wastewater integrated with biodiesel production and its utilization for aquaculture. Bioresour. Technol. 2020, 297, 122489. [Google Scholar] [CrossRef] [PubMed]
- Ekame, G.A.; Marais, G.R.; Siebritz, I.P.; Pitman, A.R.; Keay, G.F.P.; Buchan, L.; Gerber, A.; Smollen, M. Theory, Design and Operation of Nutrient Removal Activated Sludge Process; University of Cape Town, City-Council of Johannesburg and the National Institute for Water Research of the CSIR: Pretoria, South Africa, 1984; pp. 21–27. [Google Scholar]
- Beccari, M. Rimozione di Azoto e Fosforo dai Liquami; Hoepli, U.: Milano, Italy, 1993. [Google Scholar]
- Guldhe, A.; Kumari, S.; Ramanna, L.; Ramsundar, P.; Singh, P.; Rawat, I.; Bux, F. Prospects, recent advancements and challenges of different wastewater streams for microalgal cultivation. J. Environ. Manag. 2017, 203, 299–315. [Google Scholar] [CrossRef]
- Europe Directives 91/271/EC. Available online: https://www.legislation.gov.uk/eudr/1991/271/contents (accessed on 28 December 2022).
- Europe Directives 98/15/EEC. Available online: https://www.legislation.gov.uk/eudr/1998/15 (accessed on 28 December 2022).
- Kanter, D.R.; Chodos, O.; Nordland, O.; Rutigliano, M.; Winiwarter, W. Gaps and opportunities in nitrogen pollution policies around the world. Nat. Sustain. 2020, 3, 956–963. [Google Scholar] [CrossRef]
- Yang, A.L.; Raghuram, N.; Kumar Adhya, T.; Porter, S.D.; Panda, A.N.; Kaushik, H.; Jayaweera, A.; Premalal Nissanka, S.; Reza Anik, A.; Shifa, S.; et al. Policies to combat nitrogen pollution in South Asia: Gaps and opportunities. Environ. Sci. Lett. 2022, 17, 025007. [Google Scholar] [CrossRef]
- United States Environmental Protection Agency (US-EPA)—National Pollutant Discharge Elimination System (NPDES). Available online: https://www.epa.gov/npdes (accessed on 16 February 2023).
- Mennaa, F.Z.; Arbib, Z.; Perales, J.A. Urban wastewater treatment by seven species of microalgae and an algal bloom: Biomass production, N and P removal kinetics and harvestability. Water Res. 2015, 83, 42–51. [Google Scholar] [CrossRef]
- Ma, B.; Wang, S.; Cao, S.; Miao, Y.; Jia, F.; Du, R.; Peng, Y. Biological nitrogen removal from sewage via anammox: Recent advances. Bioresour. Technol. 2016, 200, 981–990. [Google Scholar] [CrossRef]
- Schaum, C. Phosphorus: Polluter and Resource of the Future. Removal and Recovery from Wastewater; Integrated Environmental Technology Series; Schaum, C., Ed.; IWA publishing: London, UK, 2018. [Google Scholar]
- Li, Y.; Zhou, W.; Hu, B.; Min, M.; Chen, P.; Ruan, R.R. Integration of algae cultivation as biodiesel production feedstock with municipal wastewater treatment: Strains screening and significance evaluation of environmental factors. Bioresour. Technol. 2011, 102, 10861–10867. [Google Scholar] [CrossRef]
- Caporgno, M.P.; Taleb, A.; Olkiewicz, M.; Font, J.; Pruvost, J.; Legrand, J.; Bengoa, C. Microalgae cultivation in urban wastewater: Nutrient removal and biomass production for biodiesel and methane. Algal Res. 2015, 10, 232–239. [Google Scholar] [CrossRef]
- AlMomani, F.A.; Örmeci, B. Performance of Chlorella vulgaris, Neochloris oleoabundans, and mixed indigenous microalgae for treatment of primary effluent, secondary effluent and centrate. Ecol. Eng. 2016, 95, 280–289. [Google Scholar] [CrossRef]
- Peralta, E.; Jerez, C.G.; Figueroa, F.L. Centrate grown Chlorella fusca (Chlorophyta): Potential for biomass production and centrate bioremediation. Algal Res. 2019, 39, 101458. [Google Scholar] [CrossRef]
- Shahid, A.; Malik, S.; Zhu, H.; Xu, J.; Nawaz, M.Z.; Nawaz, S.; Alam, M.A.; Mehmood, M.A. Cultivating microalgae in wastewater for biomass production, pollutant removal, and atmospheric carbon mitigation; A review. Sci. Total Environ. 2020, 704, 135303. [Google Scholar] [CrossRef] [PubMed]
- Pulz, O.; Gross, W. Valuable products from biotechnology of microalgae. Appl. Microbiol. Biotechnol. 2004, 65, 635–648. [Google Scholar] [CrossRef] [PubMed]
- Levine, R.B.; Costanza-Robinson, M.S.; Spatafora, G.A. Neochloris oleoabundans grown on anaerobically digested dairy manure for concomitant nutrient removal and biodiesel feedstock production. Biomass Bioenergy 2011, 35, 40–49. [Google Scholar] [CrossRef]
- Baldisserotto, C.; Giovanardi, M.; Ferroni, L.; Pancaldi, S. Growth, morphology and photosynthetic responses of Neochloris oleoabundans during cultivation in a mixotrophic brackish medium and subsequent starvation. Acta Physiol. Plant 2014, 36, 461–472. [Google Scholar] [CrossRef]
- Kim, P.; Otim, O. Optimizing a municipal wastewater-based Chlorella vulgaris photobioreactor for sequestering athmospheric CO2. Bull. South. Calif. Acad. Sci. 2019, 118, 42–57. Available online: https://meridian.allenpress.com/scasbulletin/article/118/1/42/473885 (accessed on 16 February 2023).
- Pasqualino, J.C.; Meneses, M.; Castells, F. Life Cycle Assessment of Urban Wastewater Reclamation and Reuse Alternatives. J. Ind. Ecol. 2011, 15, 49–63. [Google Scholar] [CrossRef]
- Kube, M.; Jefferson, B.; Fan, L.; Roddick, F. The impact of wastewater characteristics, algal species selection and immobilisation on simultaneous nitrogen and phosphorus removal. Algal Res. 2018, 31, 478–488. [Google Scholar] [CrossRef]
- Haripriya, U.; Gopinath, K.P.; Arun, J.; Govarthanan, M. Bioremediation of organic pollutants: A mini review on current and critical strategies for wastewater treatment. Arch. Microbiol. 2022, 204, 286. [Google Scholar] [CrossRef]
- Singh, D.V.; Kumar Upadhyay, A.; Singh, R.; Singh, D.P. Persistent organic pollutants: Sources, impacts, and their remediation by microalgae. In Environmental Biotechnology; Bhat, E.A., Dervash, M.A., Hakeem, K.R., Masoodi, K.Z., Eds.; Apple Academic Press: New York, NY, USA, 2022. [Google Scholar] [CrossRef]
- El-Sayed Touliabah, H.; El-Sheekh, M.; Ismail, M.M.; El-Kassas, H. A review of microalgae- and cyanobacteria-based biodegradation of organic pollutants. Molecules 2022, 27, 1141. [Google Scholar] [CrossRef]
- Alprol, A.E.; Haneash, A.M.M.; Ashour, M.; Abualnaja, K.M.; Alhashmialameer, D.; Mansour, A.T.; Sharawy, Z.Z.; Abu-Saied, M.A.; Abomohra, A.E.-F. Potential application of Arthrospira platensis lipid-free biomass in bioremediation of organic dye from industrial textile effluents and its influence on marine rotifer (Brachionus plicatilis). Materials 2021, 14, 4446. [Google Scholar] [CrossRef]
- Malik, S.; Shahid, A.; Betenbaugh, M.J.; Liu, C.-G.; Aamer Mehmood, M. A novel wastewater-derived cascading algal biorefinery route for complete valorization of the biomass to biodiesel and added-value bioproducts. Energy Convers. Manag. 2022, 256, 115360. [Google Scholar] [CrossRef]
- Kumar, N.; Banerjee, C.; Chang, J.-S.; Shukla, P. Valorization of wastewater through microalgae as a prospect for generation of biofuel and high-value products. J. Clean. Prod. 2022, 362, 132114. [Google Scholar] [CrossRef]
- Nayak, M.; Karemore, A.; Sen, R. Performance evaluation of microalgae for concomitant wastewater bioremediation, CO2 biofixation and lipid biosynthesis for biodiesel application. Algal Res. 2016, 16, 216–223. [Google Scholar] [CrossRef]
- Wang, L.; Min, M.; Li, Y.; Chen, P.; Chen, Y.; Liu, Y.; Wang, Y.; Ruan, R. Cultivation of Green Algae Chlorella sp. in Different Wastewaters from Municipal Wastewater Treatment Plant. Appl. Biochem. Biotechnol. 2010, 162, 1174–1186. [Google Scholar] [CrossRef]
- Baldisserotto, C.; Demaria, S.; Accoto, O.; Marchesini, R.; Zanella, M.; Benetti, L.; Avolio, F.; Maglie, M.; Ferroni, L.; Pancaldi, S. Removal of Nitrogen and Phosphorus from Thickening Effluent of an Urban Wastewater Treatment Plant by an Isolated Green Microalga. Plants 2020, 9, 1802. [Google Scholar] [CrossRef] [PubMed]
- Min, M.; Wang, L.; Li, Y.; Mohr, M.J.; Hu, B.; Zhou, W.; Chen, P.; Ruan, R. Cultivating Chlorella sp. in a pilot-scale photobioreactor using centrate wastewater for microalgae production and wastewater nutrient removal. Appl. Biochem. Biotechnol. 2011, 165, 123–137. [Google Scholar] [CrossRef] [PubMed]
- Xin, L.; Hong-Ying, H.; Jia, Y. Lipid accumulation and nutrient removal properties of a newly isolated freshwater microalga, Scenedesmus sp. LX1, growing in secondary effluent. New Biotechnol. 2010, 27, 59–63. [Google Scholar] [CrossRef]
- Zhou, W.; Li, Y.; Min, M.; Hu, B.; Chen, P.; Ruan, R. Local bioprospecting for high-lipid producing microalgal strains to be grown on concentrated municipal wastewater for biofuel production. Bioresour. Technol. 2011, 102, 6909–6919. [Google Scholar] [CrossRef]
- Djelal, H.; Tahrani, L.; Fathallah, S.; Cabrol, A.; Mansour, H.B. Treatment process and toxicities assessment of wastewater issued from anaerobic digestion of household wastes. Environ. Sci. Pollut. Res. 2014, 21, 2437–2447. [Google Scholar] [CrossRef]
- Morales-Amaral, M.M.; Gómez-Serrano, C.; Acién, F.G.; Fernández-Sevilla, J.M.; Molina-Grima, E. Production of microalgae using centrate from anaerobic digestion as the nutrient source. Algal Res. 2015, 9, 297–305. [Google Scholar] [CrossRef]
- Ledda, C.; Romero Villegas, G.I.; Adani, F.; Acién Fernández, F.G.; Molina Grima, E. Utilization of centrate from wastewater treatment for the outdoor production of Nannochloropsis gaditana biomass at pilot-scale. Algal Res. 2015, 12, 17–25. [Google Scholar] [CrossRef]
- Sepúlveda, C.; Acién, F.G.; Gómez, C.; Jiménez-Ruíz, N.; Riquelme, C.; Molina-Grima, E. Utilization of centrate for the production of the marine microalgae Nannochloropsis gaditana. Algal Res. 2015, 9, 107–116. [Google Scholar] [CrossRef]
- Futughe, A.; Purchase, D.; Jones, H. Phytoremediation using native plants. In Phytoremediation; Concepts and strategies in plant, sciences; Shmaefsky, B.R., Ed.; Springer Nature: Cham, Switzerland, 2020; pp. 285–327. [Google Scholar] [CrossRef]
- Levine, A.D.; Asano, T. Recovering sustainable water from wastewater. Environ. Sci. Technol. 2004, 38, 201A–208A. [Google Scholar] [CrossRef]
- Fox, L.J.; Struik, P.C.; Appleton, B.L.; Rule, J.H. Nitrogen Phytoremediation by Water Hyacinth (Eichhornia crassipes (Mart.) Solms). Water Air Soil Pollut. 2008, 194, 199–207. [Google Scholar] [CrossRef]
- Maity, J.P.; Bundschuh, J.; Chen, C.-Y.; Bhattacharya, P. Microalgae for third generation biofuel production, mitigation of greenhouse gas emissions and wastewater treatment: Present and future perspectives—A mini review. Energy 2014, 78, 104–113. [Google Scholar] [CrossRef]
- Zhang, T.-Y.; Wu, Y.-H.; Zhu, S.-F.; Li, F.-M.; Hu, H.-Y. Isolation and heterotrophic cultivation of mixotrophic microalgae strains for domestic wastewater treatment and lipid production under dark condition. Bioresour. Technol. 2013, 149, 586–589. [Google Scholar] [CrossRef]
- Rajivgandhi, G.; Ramachandran, G.; Kanisha Chelliah, C.; Maruthupandy, M.; Quero, F.; Vijayalakshmi, S.; Al-Mekhlafi, F.; Wadaan, M.A.; Ranjitha, J.; Li, W.-J. Green microalgal strain Chlorella vulgaris isolated from industrial wastewater with remediation capacity. Environ. Technol. Innov. 2022, 28, 102597. [Google Scholar] [CrossRef]
- Otim, F.N.; Chen, I.-R.; Otim, O. Indirect assessment of biomass accumulation in a wastewater-based Chlorella vulgaris photobioreactor by pH variation. Sci. Rep. 2021, 11, 19445. [Google Scholar] [CrossRef]
- Nwoba, E.G.; Mickan, B.S.; Moheimani, N.R. Chlorella sp. growth under batch and fed-batch conditions with effluent recycling when treating the effluent of food waste anaerobic digestate. J. Appl. Phycol. 2019, 31, 3545–3556. [Google Scholar] [CrossRef]
- Ahmad, N.; Mounsef, J.R.; Tayeh, J.A.; Lteif, R. Bioremediation of Ni, Al and Pb by the living cells of a resistant strain of microalga. Water Sci. Technol. 2020, 82, 851–860. [Google Scholar] [CrossRef] [PubMed]
- Leong, Y.K.; Chang, J.-S. Bioremediation of heavy metals using microalgae: Recent advances and mechanisms. Bioresour. Technol. 2020, 303, 122886. [Google Scholar] [CrossRef] [PubMed]
- Daneshvar, E.; Santhosh, C.; Antikainen, E.; Bhatnagar, A. Microalgal growth and nitrate removal efficiency in different cultivation conditions: Effect of macro and micronutrients and salinity. J. Environ. Chem. Eng. 2018, 6, 1848–1854. [Google Scholar] [CrossRef]
- Kumar, K.S.; Dahms, H.U.; Won, E.J.; Lee, J.S.; Shin, K.H. Microalgae–A promising tool for heavy metal remediation. EcoToxicol. Environ. Saf. 2015, 113, 329–352. [Google Scholar] [CrossRef]
- Napan, K.; Teng, L.; Quinn, J.C.; Wood, B.D. Impact of heavy metals from flue gas integration with microalgae production. Algal Res. 2015, 8, 83–88. [Google Scholar] [CrossRef]
- Solymosi, K.; Bertrand, M. Soil metals, chloroplasts, and secure crop production: A review. Agron. Sustain. Dev. 2012, 32, 245–272. [Google Scholar] [CrossRef]
- Gorelova, O.; Baulina, O.; Ismagulova, T.; Kokabi, K.; Lobakova, E.; Selyakh, I.; Semenova, L.; Chivkunova, O.; Karpova, O.; Scherbakov, P.; et al. Stress-induced changes in the ultrastructure of the photosynthetic apparatus of green microalgae. Protoplasma 2019, 256, 261–277. [Google Scholar] [CrossRef]
- Arzac, M.I.; Fernández-Marin, B.; García-Plazaola, J.I. More than just lipid balls: Quantitative analysis of plastoglobuli attributes and their stress-related responses. Planta 2022, 255, 62. [Google Scholar] [CrossRef]
- Cirulis, J.T.; Scott, J.A.; Ross, G.M. Management of oxidative stress by microalgae. Can. J. Physiol. Pharmacol. 2013, 91, 15–21. [Google Scholar] [CrossRef]
- Ameri, M.; Baron-Sola, A.; Khavari-Nejad, R.A.; Soltani, N.; Najafi, F.; Bagheri, A.; Martinez, F.; Hernández, L.E. Aluminium triggers oxidative stress and antioxidant response in the microalgae Scenedesmus sp. J. Plant Physiol. 2020, 246–247, 153114. [Google Scholar] [CrossRef]
- Saçan, M.T.; Oztay, F.; Bolkent, S. Exposure of Dunaliella tertiolecta to Lead and Aluminum: Toxicity and Effects on Ultrastructure. Biol. Trace Elem. Res. 2007, 120, 264–272. [Google Scholar] [CrossRef] [PubMed]
- Wei, H.; Gao, B.; Ren, J.; Li, A.; Yang, H. Coagulation/flocculation in dewatering of sludge: A review. Water Res. 2018, 143, 608–631. [Google Scholar] [CrossRef] [PubMed]
- Nunes, B.W.; Hedlund, K.F.; Oliveira, M.A.; Carissimi, E. Ecotoxicological Analysis of Acrylamide Using a Microalga as an Indicator Organism. Water Environ. Res. 2018, 90, 442–451. [Google Scholar] [CrossRef] [PubMed]
- Costa, R.; Pereira, J.L.; Gomes, J.; Gonçalves, F.; Hunkeler, D.; Rasteiro, M.G. The effects of acrylamide polyelectrolytes on aquatic organisms: Relating toxicity to chain architecture. Chemosphere 2014, 112, 177–184. [Google Scholar] [CrossRef] [PubMed]
- Shi, T.Q.; Wang, L.-R.; Zhang, Z.-X.; Sun, X.-M.; Huang, H. Stresses as First-Line Tools for Enhancing Lipid and Carotenoid Production in Microalgae. Front. Bioeng. Biotechnol. 2020, 8, 610. [Google Scholar] [CrossRef]
- Osundeko, O.; Dean, A.P.; Davies, H.; Pittman, J.K. Acclimation of Microalgae to Wastewater Environments Involves Increased Oxidative Stress Tolerance Activity. Plant Cell Physiol. 2014, 55, 1848–1857. [Google Scholar] [CrossRef]
- Giovanardi, M.; Baldisserotto, C.; Ferroni, L.; Longoni, P.; Cella, R.; Pancaldi, S. Growth and lipid synthesis promotion in mixotrophic Neochloris oleoabundans (Chlorophyta) cultivated with glucose. Protoplasma 2014, 251, 115–125. [Google Scholar] [CrossRef]
- Baldisserotto, C.; Popovich, C.; Giovanardi, M.; Sabia, A.; Ferroni, L.; Constela, D.; Leonardi, P.I.; Pancaldi, S. Photosynthetic aspects and lipid profiles in the mixotrophic alga Neochloris oleoabundans as useful parameters for biodiesel production. Algal Res. 2016, 16, 255–265. [Google Scholar] [CrossRef]
- Beuckels, A.; Smolders, E.; Muylaert, K. Nitrogen availability influences phosphorus removal in microalgae-based wastewater treatment. Water Res. 2015, 77, 98–106. [Google Scholar] [CrossRef]
- Degaldillo-Mirquez, L.; Lopes, F.; Taidi, B.; Pareau, D. Nitrogen and phosphate removal from wastewater with a mixed microalgae and bacteria culture. Biotechnol. Rep. 2016, 11, 18–26. [Google Scholar] [CrossRef]
- Solovchenko, A.E.; Verschoor, A.M.; Jablonowski, N.D.; Nedbal, L. Phosphorus from wastewater to crops: An alternative path involving microalgae. Biotechnol. Adv. 2016, 34, 550–564. [Google Scholar] [CrossRef] [PubMed]
- Solovchenko, A.E.; Ismagulova, T.T.; Lukyanov, A.A.; Vasilieva, S.G.; Konyukhov, I.V.; Pogosyan, S.I.; Lobakova, E.S.; Gorelova, O.A. Luxury phosphorus uptake in microalgae. J. Appl. Phycol. 2019, 31, 2755–2770. [Google Scholar] [CrossRef]
- Ettl, H.; Gärtner, G. Syllabus der Boden-, Luft-, und Flechtenalgen; Gustav Fischer Verlag: Stuttgart, Germany, 1995. [Google Scholar]
- Ikeda, T.; Takeda, H. Species-specific differences of pyrenoids in Chlorella (Chlorophyta). J. Phycol. 1995, 31, 813–818. [Google Scholar] [CrossRef]
- Gartner, G.; Uzunov, B.; Ingolic, E.; Kofler, W.; Gacheva, G.; Pilarski, P.; Zagorchev, L.; Odjakova, M.; Stonyeva, M. Microscopic investigations (LM, TEM and SEM) and identification of Chlorella isolate R-06/2 from extreme habitat in Bulgaria with strong biological activity and resistance to environmental stress factors. Biotechnol. Biotechnol. Equip. 2015, 29, 536–540. [Google Scholar] [CrossRef]
- Baldisserotto, C.; Gentili, V.; Rizzo, R.; Di Donna, C.; Ardondi, L.; Maietti, A.; Pancaldi, S. Characterization of Neochloris oleoabundans under different cultivation modes and first results on bioactivity of its extracts against HCoV-229E virus. Plants 2023, 12, 26. [Google Scholar] [CrossRef]
- Ferroni, L.; Baldisserotto, C.; Giovanardi, M.; Pantaleoni, L.; Morosinotto, T.; Pancaldi, S. Revised assignment of room-temperature chlorophyll fluorescence emission bands in single living cells of Chlamydomonas reinhardtii. J. Bioenergy Biomembr. 2011, 43, 163–173. [Google Scholar] [CrossRef]
- Kalaji, M.; Schansker, G.; Richard, J.; Ladle, J.; Goltsev, V.; Bosa, K.; Allakhverdiev, S.I.; Brestic, M.; Bussotti, F.; Calatayud, A.; et al. Frequently asked questions about in vivo chlorophyll fluorescence: Practical issues. Photosynth. Res. 2014, 122, 121–158. [Google Scholar] [CrossRef]
- Lichtenthaler, H.K.; Buschmann, C.; Knapp, M. How to correctly determine the different chlorophyll fluorescence parameters and the chlorophyll fluorescence decrease ratio R Fd of leaves with the PAM fluorometer. Photosynthetica 2005, 43, 379–393. [Google Scholar] [CrossRef]
- Ferroni, L.; Baldisserotto, C.; Zennaro, V.; Soldani, C.; Fasulo, M.P.; Pancaldi, S. Acclimation to darkness in the marine chlorophyte Koliella antarctica cultured under low salinity: Hypotheses on its origin in the polar environment. Eur. J. Phycol. 2007, 42, 91–104. [Google Scholar] [CrossRef]
- Wellburn, A.R. The spectral determination of chlorophyll-a and chlorophyll-b, as well as total carotenoids, using various solvents with spectrophotometers of different resolution. J. Plant Physiol. 1994, 144, 307–313. [Google Scholar] [CrossRef]
- Bower, C.E.; Holm-Hansen, T. A salicylate–hypochlorite method for determining ammonia in seawater. Can. J. Fish. Aquat. Sci. 1980, 37, 794–798. [Google Scholar] [CrossRef]
- Ansari, F.A.; Singh, P.; Guldhe, A.; Bux, F. Microalgal cultivation using aquaculture wastewater: Integrated biomass generation and nutrient remediation. Algal Res. 2017, 21, 169–177. [Google Scholar] [CrossRef]









| Parameter | Unit | Analytical Method | Summertime | Wintertime |
|---|---|---|---|---|
| Total nitrogen | mg N/L | UNI EN 12260: 2004 | 132.6 | 338.7 |
| Ammonium | mg NH4+-N/L | APAT CNR IRSA 4030 A1 Man 29 2003 | 191.0 | 508.9 |
| Nitrate | mg NO3−-N/L | APAT CNR IRSA 4020 Man 29 2003 | <0.5 | 2.3 |
| Nitrite | mg NO2−-N/L | APAT CNR IRSA 4050 Man 29 2003 | <0.04 | <0.04 |
| Total phosphorus | mg P/L | UNI EN ISO 15587-2: 2002 ISO 17294-2: 2016+ UNI EN | 3.3 | 119.3 |
| COD | mg O2/L | ISO 15705 par 10.2: 2002 | 606 | 452 |
| BOD-5 | mg O2/L | APHA Standard Methods for the Examination of Water and Wastewatered 23rd 2017 5210 | 110 | 210 |
| Total suspended solid | mg/L | APAT CNR IRSA 2090 B Man 29 2003 | 132 | 114 |
| Al | mg/L | UNI EN ISO 15587-2: 2002 + UNI EN ISO 17294-2: 2016 | 0.41 | 0.45 |
| Cr | mg/L | UNI EN ISO 15587-2: 2002+ UNI EN ISO 17294-2: 2016 | <0.02 | <0.02 |
| Cr (VI) | mg/L | APAT CNR IRSA 3150 C Man 29 2003 | <0.02 | 0.07 |
| Cu | mg/L | UNI EN ISO 1187-2_2002 + UNI EN ISO 17294-2: 2016 | <0.005 | 0.016 |
| Hg | mg/L | UNI EN ISO 1187-2_2002 + UNI EN ISO 17294-2: 2016 | <0.0002 | <0.001 |
| Pb | mg/L | UNI EN ISO 1187-2_2002 + UNI EN ISO 17294-2: 2016 | <0.005 | <0.005 |
| Ni | mg/L | UNI EN ISO 1187-2_2002 + UNI EN ISO 17294-2: 2016 | 0.03 | <0.01 |
| Zn | mg/L | UNI EN ISO 15587-2: 2002 + UNI EN ISO 17294-2: 2016 | <0.01 | 0.03 |
| Ammonium | Nitrate | Phosphate |
|---|---|---|
| mg NH4+-N/L | mg NO3−-N/L | mg PO43−-P/L |
| 197.2 | 0.31 | 25.9 |
| Diluted Effluent | Substrate Composition (%) | Ammonium (mg NH4+-N/L) | Nitrate (mg NO3−-N/L) | Phosphates (mg PO43−-P/L) |
|---|---|---|---|---|
| 50% | 50% effluent + 50% freshwater | 98.6 | 0.63 | 12.95 |
| 60% | 60% effluent + 40% freshwater | 121 | 0.61 | 17.1 |
| 70% | 70% effluent + 30% freshwater | 146.8 | 0.49 | 19.77 |
| 80% | 80% effluent + 20% freshwater | 170.6 | 0.39 | 22.44 |
Disclaimer/Publisher’s Note: The statements, opinions and data contained in all publications are solely those of the individual author(s) and contributor(s) and not of MDPI and/or the editor(s). MDPI and/or the editor(s) disclaim responsibility for any injury to people or property resulting from any ideas, methods, instructions or products referred to in the content. |
© 2023 by the authors. Licensee MDPI, Basel, Switzerland. This article is an open access article distributed under the terms and conditions of the Creative Commons Attribution (CC BY) license (https://creativecommons.org/licenses/by/4.0/).
Share and Cite
Baldisserotto, C.; Demaria, S.; Arcidiacono, M.; Benà, E.; Giacò, P.; Marchesini, R.; Ferroni, L.; Benetti, L.; Zanella, M.; Benini, A.; et al. Enhancing Urban Wastewater Treatment through Isolated Chlorella Strain-Based Phytoremediation in Centrate Stream: An Analysis of Algae Morpho-Physiology and Nutrients Removal Efficiency. Plants 2023, 12, 1027. https://doi.org/10.3390/plants12051027
Baldisserotto C, Demaria S, Arcidiacono M, Benà E, Giacò P, Marchesini R, Ferroni L, Benetti L, Zanella M, Benini A, et al. Enhancing Urban Wastewater Treatment through Isolated Chlorella Strain-Based Phytoremediation in Centrate Stream: An Analysis of Algae Morpho-Physiology and Nutrients Removal Efficiency. Plants. 2023; 12(5):1027. https://doi.org/10.3390/plants12051027
Chicago/Turabian StyleBaldisserotto, Costanza, Sara Demaria, Michela Arcidiacono, Elisa Benà, Pierluigi Giacò, Roberta Marchesini, Lorenzo Ferroni, Linda Benetti, Marcello Zanella, Alessio Benini, and et al. 2023. "Enhancing Urban Wastewater Treatment through Isolated Chlorella Strain-Based Phytoremediation in Centrate Stream: An Analysis of Algae Morpho-Physiology and Nutrients Removal Efficiency" Plants 12, no. 5: 1027. https://doi.org/10.3390/plants12051027
APA StyleBaldisserotto, C., Demaria, S., Arcidiacono, M., Benà, E., Giacò, P., Marchesini, R., Ferroni, L., Benetti, L., Zanella, M., Benini, A., & Pancaldi, S. (2023). Enhancing Urban Wastewater Treatment through Isolated Chlorella Strain-Based Phytoremediation in Centrate Stream: An Analysis of Algae Morpho-Physiology and Nutrients Removal Efficiency. Plants, 12(5), 1027. https://doi.org/10.3390/plants12051027

