Biochar with Inorganic Nitrogen Fertilizer Reduces Direct Greenhouse Gas Emission Flux from Soil
Abstract
1. Introduction
2. Materials and Methods
2.1. Experimental Site
2.2. Soil Physicochemical Properties
2.3. Experimental Design
2.4. Gas Sampling and Flux Calculation
2.5. Calculation of Cumulative Soil GHG Emissions
2.6. Global Warming Potential (GWP)
2.7. Soil Temperature and Moisture Measurements
2.8. Statistical Analysis
3. Results
3.1. Soil CO2 Emission Flux
3.2. Soil N2O Emission Flux
3.3. Soil CH4 Emission Flux
4. Discussion
4.1. CO2 Emission
4.2. N2O Emission
4.3. CH4 Emission
4.4. Global Warming Potential (GWP)
4.5. Soil Moisture and Temperature
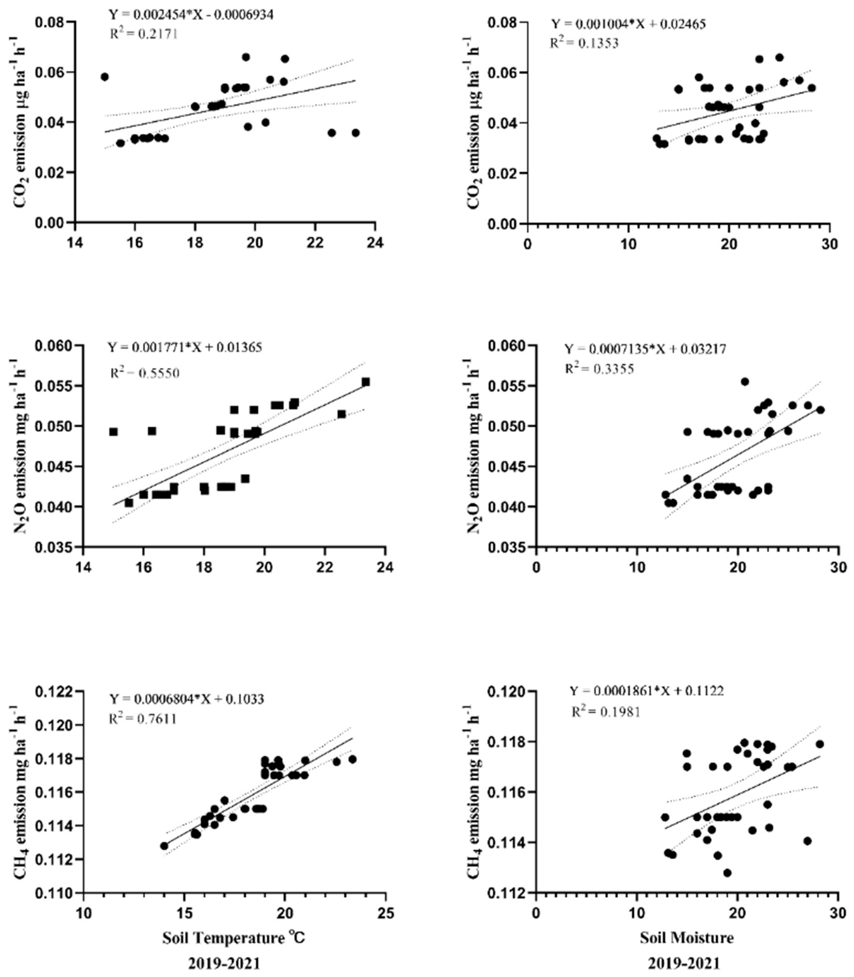
4.6. Correlation between Soil Moisture, Temperature, and CO2 and N2O Emissions
5. Conclusions
Author Contributions
Funding
Institutional Review Board Statement
Informed Consent Statement
Data Availability Statement
Conflicts of Interest
References
- Wang, X. Managing Land Carrying Capacity: Key to Achieving Sustainable Production Systems for Food Security. Land 2022, 11, 484. [Google Scholar] [CrossRef]
- Martinho, V.J.P.D. Direct and indirect energy consumption in farming: Impacts from fertilizer use. Energy 2021, 236, 121504. [Google Scholar] [CrossRef]
- Yu, Y.; Hu, Y.; Gu, B.; Reis, S.; Yang, L. Reforming smallholder farms to mitigate agricultural pollution. Environ. Sci. Pollut. Res. 2021, 29, 13869–13880. [Google Scholar] [CrossRef]
- Ghafoor, I.; Habib-Ur-Rahman, M.; Ali, M.; Afzal, M.; Ahmed, W.; Gaiser, T.; Ghaffar, A. Slow-release nitrogen fertilizers enhance growth, yield, NUE in wheat crop and reduce nitrogen losses under an arid environment. Environ. Sci. Pollut. Res. 2021, 28, 43528–43543. [Google Scholar] [CrossRef]
- Akhtar, K.; Wang, W.; Ren, G.; Khan, A.; Enguang, N.; Khan, A.; Feng, Y.; Yang, G.; Wang, H. Straw mulching with inorganic nitrogen fertilizer reduces soil CO2 and N2O emissions and improves wheat yield. Sci. Total Environ. 2020, 741, 140488. [Google Scholar] [CrossRef]
- Huang, Q.; Zhang, G.; Ma, J.; Song, K.; Zhu, X.; Shen, W.; Xu, H. Dynamic interactions of nitrogen fertilizer and straw application on greenhouse gas emissions and sequestration of soil carbon and nitrogen: A 13-year field study. Agric. Ecosyst. Environ. 2021, 325, 107753. [Google Scholar] [CrossRef]
- Islam, S.M.; Gaihre, Y.K.; Islam, R.; Ahmed, N.; Akter, M.; Singh, U.; Sander, B.O. Mitigating greenhouse gas emissions from irrigated rice cultivation through improved fertilizer and water management. J. Environ. Manag. 2022, 307, 114520. [Google Scholar] [CrossRef]
- Han, Z.; Lin, H.; Xu, P.; Li, Z.; Wang, J.; Zou, J. Impact of organic fertilizer substitution and biochar amendment on net greenhouse gas budget in a tea plantation. Agric. Ecosyst. Environ. 2021, 326, 107779. [Google Scholar] [CrossRef]
- Lamb, W.F.; Grubb, M.; Diluiso, F.; Minx, J.C. Countries with sustained greenhouse gas emissions reductions: An analysis of trends and progress by sector. Clim. Policy 2021, 22, 1–17. [Google Scholar] [CrossRef]
- Bruinsma, J. World Agriculture: Towards 2015/2030: An FAO Perspective; Routledge: Abingdon, UK, 2017. [Google Scholar]
- Tsujimoto, S.; Takagi, T.; Osada, T.; Ogino, A. Greenhouse gas reduction and improved sustainability of animal husbandry using amino acids in swine, poultry feeds. Anim. Sci. J. 2013, 84, 409–415. [Google Scholar] [CrossRef]
- Sonwani, S.; Saxena, P. Introduction to Greenhouse Gases: Sources, Sinks and Mitigation. In Greenhouse Gases: Sources, Sinks and Mitigation; Springer: Berlin/Heidelberg, Germany, 2022; pp. 1–7. [Google Scholar]
- Doyeni, M.O.; Stulpinaite, U.; Baksinskaite, A.; Suproniene, S.; Tilvikiene, V. Greenhouse gas emissions in agricultural cultivated soils using animal waste-based digestates for crop fertilization. J. Agric. Sci. 2021, 159, 23–30. [Google Scholar] [CrossRef]
- Kumar, A.; Mishra, S.; Pandey, R.; Yu, Z.G.; Kumar, M.; Khoo, K.S.; Thakur, T.K.; Show, P.L. Microplastics in terrestrial ecosystems: Un-ignorable impacts on soil characterises, nutrient storage and its cycling. TrAC Trends Anal. Chem. 2023, 158, 116869. [Google Scholar] [CrossRef]
- Raza, S.; Jiang, Y.; Elrys, A.S.; Tao, J.; Liu, Z.; Li, Z.; Chen, Z.; Zhou, J. Dicyandiamide efficacy of inhibiting nitrification and carbon dioxide emission from calcareous soil depends on temperature and moisture contents. Arch. Agron. Soil Sci. 2021, 68, 1413–1429. [Google Scholar] [CrossRef]
- Sereni, L.; Guenet, B.; Blasi, C.; Crouzet, O.; Lata, J.-C.; Lamy, I. To what extend can soil moisture and soil contamination stresses affect greenhouse gas emissions? An attempt to calibrate a nitrification/denitrification model. Biogeosci. Discuss. 2021, 1–27. [Google Scholar]
- Goyal, R.; Kahlon, M.S. Soil physico-chemical properties and water productivity of maize as affected by biochar application under different irrigation regimes in northwest India. Commun. Soil Sci. Plant Anal. 2022, 53, 1068–1084. [Google Scholar] [CrossRef]
- Wu, L.; Zheng, H.; Wang, X. Effects of soil amendments on fractions and stability of soil organic matter in saline-alkaline paddy. J. Environ. Manag. 2021, 294, 112993. [Google Scholar] [CrossRef]
- Huang, Y.; Tao, B.; Xiaochen, Z.; Yang, Y.; Liang, L.; Wang, L.; Jacinthe, P.-A.; Tian, H.; Wen, R. Conservation tillage increases corn and soybean water produc-tivity across the Ohio River Basin. Agric Water Manag. 2021, 254, 106962. [Google Scholar] [CrossRef]
- Liu, Q.; Li, Y.; Liu, S.; Gao, W.; Shen, J.; Zhang, G.; Xu, H.; Zhu, Z.; Ge, T.; Wu, J. Anaerobic primed CO2 and CH4 in paddy soil are driven by Fe reduction and stimulated by biochar. Sci. Total Environ. 2022, 808, 151911. [Google Scholar] [CrossRef]
- Li, X.; Wang, R.; Shao, C.; Li, D.; Bai, S.; Hou, N.; Zhao, X. Biochar and Hydrochar from Agricultural Residues for Soil Conditioning: Life Cycle Assessment and Microbially Mediated C and N Cycles. ACS Sustain. Chem. Eng. 2022, 10, 3574–3583. [Google Scholar] [CrossRef]
- Ayaz, M.; Feizien, D.; Tilvikien, V.; Akhtar, K.; Stulpinait, U. Biochar Role in the Sustainability of Agriculture and Environment. Sustainability 2021, 13, 1330. [Google Scholar] [CrossRef]
- An, N.; Zhang, L.; Liu, Y.; Shen, S.; Li, N.; Wu, Z.; Yang, J.; Han, W.; Han, X. Biochar application with reduced chemical fertilizers improves soil pore structure and rice productivity. Chemosphere 2022, 298, 134304. [Google Scholar] [CrossRef]
- Shi, Y.; Liu, X.; Zhang, Q.; Li, G.; Wang, P. Biochar rather than organic fertilizer mitigated the global warming potential in a sa-line-alkali farmland. Soil Tillage Res. 2022, 219, 105337. [Google Scholar] [CrossRef]
- Babu, S.; Singh, R.; Yadav, D.; Rathore, S.S.; Raj, R.; Avasthe, R.; Yadav, S.; Das, A.; Yadav, V.; Yadav, B.; et al. Nanofertilizers for agricultural and environmental sustainability. Chemosphere 2021, 292, 133451. [Google Scholar] [CrossRef]
- Wang, J.; Qin, L.; Cheng, J.; Shang, C.; Li, B.; Dang, Y.; He, H. Suitable chemical fertilizer reduction mitigates the water footprint of maize production: Evidence from Northeast China. Environ. Sci. Pollut. Res. 2021, 29, 22589–22601. [Google Scholar] [CrossRef]
- Klusáčková, M. Approximated EU Greenhouse Gas Inventory; Flemish Institute for Technological Research: Mol, Belgium, 2021. [Google Scholar]
- Nguyen, M.K.; Lin, C.; Hoang, H.G.; Sanderson, P.; Dang, B.T.; Bui, X.T.; Nguyen, N.S.H.; Vo, D.-V.N.; Tran, H.T. Evaluate the role of biochar during the organic waste composting process: A critical review. Chemosphere 2022, 299, 134488. [Google Scholar] [CrossRef]
- Ji, B.; Chen, J.; Li, W.; Mei, J.; Yang, Y.; Chang, J. Greenhouse gas emissions from constructed wetlands are mitigated by biochar substrates and distinctly affected by tidal flow and intermittent aeration modes. Environ. Pollut. 2020, 271, 116328. [Google Scholar] [CrossRef]
- He, Y.; Zhou, X.; Jiang, L.; Li, M.; Du, Z.; Zhou, G.; Shao, J.; Wang, X.; Xu, Z.; Bai, S.H.; et al. Effects of biochar application on soil greenhouse gas fluxes: A meta-analysis. GCB Bioenergy 2016, 9, 743–755. [Google Scholar] [CrossRef]
- Lai, L.; Ismail, M.R.; Yusof, M.M.; Ismail, R. Rice straw biochar and different urea rates on rice yield and CH4 and CO2 gases emissions. Chil. J. Agric. Res. 2021, 81, 448–455. [Google Scholar] [CrossRef]
- Buneviciene, K.; Drapanauskaite, D.; Mazeika, R.; Tilvikiene, V.; Baltrusaitis, J. Granulated biofuel ash as a sustainable source of plant nutrients. Waste Manag. Res. J. Sustain. Circ. Econ. 2020, 39, 806–817. [Google Scholar] [CrossRef]
- Ayaz, M.; Feizien, D.; Feiza, V.; Tilvikien, V.; Baltr, E. The Impact of Swine Manure Biochar on the Physical Properties and Microbial Activity of Loamy Soils. Plants 2022, 11, 1729. [Google Scholar] [CrossRef]
- Egene, C.E.; Sigurnjak, I.; Regelink, I.C.; Schoumans, O.F.; Adani, F.; Michels, E.; Sleutel, S.; Tack, F.M.G.; Meers, E. Solid fraction of separated digestate as soil improver: Implications for soil fertility and carbon sequestration. J. Soils Sediments 2021, 21, 678–688. [Google Scholar] [CrossRef]
- Nikitin, B. A Method for humus determination. Agrokhimiia 1999, 91–93. [Google Scholar]
- Razzaghi, F.; Arthur, E.; Moosavi, A.A. Evaluating models to estimate cation exchange capacity of calcareous soils. Geoderma 2021, 400, 115221. [Google Scholar] [CrossRef]
- Prasad, M.; Tzortzakis, N. Critical review of chemical properties of biochar as a component of growing media. Acta Hortic. 2021, 115–124. [Google Scholar] [CrossRef]
- Egnér, H.; Riehm, H.; Domingo, W.R. Untersuchungen über die chemische Bodenanalyse als Grundlage für die Beurteilung des Nährstoffzustandes der Böden. II. Chem. Extraktionsmethoden Phosphor Kaliumbestimmung K. Lantbr. Ann. 1960, 26, 199–215. [Google Scholar]
- Zhang, J.; Li, Y.; Chang, S.X.; Qin, H.; Fu, S.; Jiang, P. Understory management and fertilization affected soil greenhouse gas emissions and labile organic carbon pools in a Chinese chestnut plantation. For. Ecol. Manag. 2015, 337, 126–134. [Google Scholar] [CrossRef]
- Kanerva, T.; Regina, K.; Rämö, K.; Ojanperä, K.; Manninen, S. Fluxes of N2O, CH4 and CO2 in a meadow ecosystem exposed to elevated ozone and carbon dioxide for three years. Environ. Pollut. 2007, 145, 818–828. [Google Scholar] [CrossRef]
- Zhai, L.-M.; Liu, H.-B.; Zhang, J.-Z.; Huang, J.; Wang, B.-R. Long-Term Application of Organic Manure and Mineral Fertilizer on N2O and CO2 Emissions in a Red Soil from Cultivated Maize-Wheat Rotation in China. Agric. Sci. China 2011, 10, 1748–1757. [Google Scholar] [CrossRef]
- Araújo, M.D.; de Souza, H.A.; Signor, D.; Muniz, L.C.; Costa, J.B.; de Souza, I.M.; Ribeiro Reis, V.R.; Pereira Brasil, E.; Pompeu, R.E.C.C. Integrated production systems in a Plinthosol: Greenhouse gas emissions and soil quality. Aust. J. Crop Sci. 2022, 16, 184–191. [Google Scholar] [CrossRef]
- Shaaban, M.; Khalid, M.S.; Hu, R.; Zhou, M. Effects of water regimes on soil N2O, CH4 and CO2 emissions following addition of dicyandiamide and N fertilizer. Environ. Res. 2022, 212, 113544. [Google Scholar] [CrossRef]
- Liao, C.-S.; Xie, Z.-H.; Jien, S.-H. Decomposition and Nutrient Releasing of Biochar Compound Materials in Soil with Different Textures. Processes 2021, 9, 1521. [Google Scholar] [CrossRef]
- Ferry, Y.; Herman, M.; Tarigan, E.B.; Pranowo, D. Improvements of soil quality and cocoa productivity with agricultural waste biochar. IOP Conf. Ser. Earth Environ. Sci. 2022, 974, 012045. [Google Scholar] [CrossRef]
- Neogi, S.; Sharma, V.; Khan, N.; Chaurasia, D.; Ahmad, A.; Chauhan, S.; Singh, A.; You, S.; Pandey, A.; Bhargava, P.C. Sustainable biochar: A facile strategy for soil and environmental restoration, energy generation, mitigation of global climate change and circular bioeconomy. Chemosphere 2022, 293, 133474. [Google Scholar] [CrossRef]
- Lu, T.; Wang, X.; Du, Z.; Wu, L. Impacts of continuous biochar application on major carbon fractions in soil profile of North China Plain’s cropland: In comparison with straw incorporation. Agric. Ecosyst. Environ. 2021, 315, 107445. [Google Scholar] [CrossRef]
- Zhang, S.; Fang, Y.; Luo, Y.; Li, Y.; Ge, T.; Wang, Y.; Wang, H.; Yu, B.; Song, X.; Chen, J.; et al. Linking soil carbon availability, microbial community composition and enzyme activities to organic carbon mineralization of a bamboo forest soil amended with pyrogenic and fresh organic matter. Sci. Total Environ. 2021, 801, 149717. [Google Scholar] [CrossRef]
- Ahirwal, J.; Kumari, S.; Singh, A.K.; Kumar, A.; Maiti, S.K. Changes in soil properties and carbon fluxes following afforestation and agriculture in tropical forest. Ecol. Indic. 2021, 123, 107354. [Google Scholar] [CrossRef]
- Shakoor, A.; Arif, M.S.; Shahzad, S.M.; Farooq, T.H.; Ashraf, F.; Altaf, M.M.; Ahmed, W.; Tufail, M.A.; Ashraf, M. Does biochar accelerate the mitigation of greenhouse gaseous emissions from agricultural soil?—A global meta-analysis. Environ. Res. 2021, 202, 111789. [Google Scholar] [CrossRef]
- Lehmann, J.; Cowie, A.; Masiello, C.A.; Kammann, C.; Woolf, D.; Amonette, J.E.; Cayuela, M.L.; Camps-Arbestain, M.; Whitman, T. Biochar in climate change mitigation. Nat. Geosci. 2021, 14, 883–892. [Google Scholar] [CrossRef]
- Bolan, N.; Hoang, S.A.; Beiyuan, J.; Gupta, S.; Hou, D.; Karakoti, A.; Joseph, S.; Jung, S.; Kim, K.-H.; Kirkham, M.; et al. Multifunctional applications of biochar beyond carbon storage. Int. Mater. Rev. 2021, 67, 150–200. [Google Scholar] [CrossRef]
- Grau-Andrés, R.; Pingree, M.R.; Öquist, M.G.; Wardle, D.A.; Nilsson, M.-C.; Gundale, M.J. Biochar increases tree biomass in a managed boreal forest, but does not alter N2O, CH4, and CO2 emissions. GCB Bioenergy 2021, 13, 1329–1342. [Google Scholar] [CrossRef]
- Alskaf, K.; Mooney, S.J.; Sparkes, D.L.; Wilson, P.; Sjögersten, S. Short-term impacts of different tillage practices and plant residue retention on soil physical properties and greenhouse gas emissions. Soil Till. Res. 2021, 206, 104803. [Google Scholar] [CrossRef]
- Li, Z.; Zhang, Q.; Qiao, Y.; Du, K.; Li, Z.; Tian, C.; Zhu, N.; Leng, P.; Yue, Z.; Cheng, H.; et al. Influence of straw mulch and no-tillage on soil respiration, its components and economic benefit in a Chinese wheat–maize cropping system. Glob. Ecol. Conserv. 2022, 34, e02013. [Google Scholar] [CrossRef]
- Reicosky, D. Tillage-induced CO2 emission from soil. Nutr. Cycl. Agroecosyst. 1997, 49, 273–285. [Google Scholar] [CrossRef]
- Kumar, A.; Bhattacharya, T.; Mukherjee, S.; Sarkar, B. A perspective on biochar for repairing damages in the soil–plant system caused by climate change-driven extreme weather events. Biochar 2022, 4, 22. [Google Scholar] [CrossRef]
- Abagandura, G.O.; Bansal, S.; Karsteter, A.; Kumar, S. Soil greenhouse gas emissions, organic carbon and crop yield following pinewood biochar and biochar–manure applications at eroded and depositional landscape positions: A field trial in South Dakota, USA. Soil Use Manag. 2022, 38, 487–502. [Google Scholar] [CrossRef]
- Zhang, L.; Zhang, W.; Cui, Z.; Hu, Y.; Schmidhalter, U.; Chen, X. Environmental, human health, and ecosystem economic perfor-mance of long-term optimizing nitrogen management for wheat production. J. Clean. Prod. 2021, 311, 127620. [Google Scholar] [CrossRef]
- Jamali, M.; Soufizadeh, S.; Yeganeh, B.; Emam, Y. A comparative study of irrigation techniques for energy flow and greenhouse gas (GHG) emissions in wheat agroecosystems under contrasting environments in south of Iran. Renew. Sustain. Energy Rev. 2021, 139, 110704. [Google Scholar] [CrossRef]
- Han, Z.; Wang, J.; Xu, P.; Li, Z.; Liu, S.; Zou, J. Differential responses of soil nitrogen-oxide emissions to organic substitution for synthetic fertilizer and biochar amendment in a subtropical tea plantation. GCB Bioenergy 2021, 13, 1260–1274. [Google Scholar] [CrossRef]
- Novoa, R.S.A.; Tejeda, H.R. Evaluation of the N2O emissions from N in plant residues as affected by environmental and man-agement factors. Nutr. Cycl. Agroecosyst. 2006, 75, 29–46. [Google Scholar] [CrossRef]
- Kim, G.W.; Kim, P.J.; Khan, M.I.; Lee, S.-J. Effect of Rice Planting on Nitrous Oxide (N2O) Emission under Different Levels of Nitrogen Fertilization. Agronomy 2021, 11, 217. [Google Scholar] [CrossRef]
- Ma, R.; Yu, K.; Xiao, S.; Liu, S.; Ciais, P.; Zou, J. Data-driven estimates of fertilizer-induced soil NH3, NO and N2O emissions from croplands in China and their climate change impacts. Glob. Chang. Biol. 2022, 28, 1008–1022. [Google Scholar] [CrossRef]
- Garcia-Ruiz, R.; Baggs, E.M. N2O emission from soil following combined application of fertiliser-N and ground weed residues. Plant Soil. 2007, 299, 263–274. [Google Scholar] [CrossRef]
- Nelissen, V.; Saha, B.K.; Ruysschaert, G.; Boeckx, P. Effect of different biochar and fertilizer types on N2O and NO emissions. Soil Biol. Biochem. 2014, 70, 244–255. [Google Scholar] [CrossRef]
- Van Zwieten, L.; Kimber, S.; Morris, S.; Downie, A.; Berger, E.; Rust, J.; Scheer, C. Influence of biochars on flux of N2O and CO2 from Ferrosol. Soil Res. 2010, 48, 555–568. [Google Scholar] [CrossRef]
- Montes, F.; Meinen, R.; Dell, C.; Rotz, A.; Hristov, A.N.; Oh, J.; Waghorn, G.; Gerber, P.J.; Henderson, B.; Makkar, H.P.S.; et al. SPECIAL TOPICS—Mitigation of methane and nitrous oxide emissions from animal operations: II. A review of manure management mitigation options. J. Anim. Sci. 2013, 91, 5070–5094. [Google Scholar] [CrossRef]
- Helgason, B.L.; Janzen, H.H.; Chantigny, M.H.; Drury, C.F.; Ellert, B.H.; Gregorich, E.G.; Lemke, L.R.; Pattey, E.; Rochette, P.; Wagner-Riddle, C. Toward improved coefficients for pre-dicting direct N2O emissions from soil in Canadian agroecosystems. Nutr. Cycl. Agroecosyst. 2005, 72, 87–99. [Google Scholar] [CrossRef]
- González-Cencerrado, A.; Ranz, J.P.; Jiménez, M.T.L.-F.; Gajardo, B.R. Assessing the environmental benefit of a new fertilizer based on activated biochar applied to cereal crops. Sci. Total Environ. 2019, 711, 134668. [Google Scholar] [CrossRef]
- Dawar, K.; Fahad, S.; Jahangir, M.M.R.; Munir, I.; Alam, S.S.; Alam Khan, S.; Mian, I.A.; Datta, R.; Saud, S.; Banout, J.; et al. Biochar and urease inhibitor mitigate NH3 and N2O emissions and improve wheat yield in a urea fertilized alkaline soil. Sci. Rep. 2021, 11, 17413. [Google Scholar] [CrossRef]
- Smith, K.A.; Conen, F. Impacts of land management on fluxes of trace greenhouse gases. Soil Use Manag. 2004, 20, 255–263. [Google Scholar] [CrossRef]
- Shcherbak, I.; Millar, N.; Robertson, G.P. Global metaanalysis of the nonlinear response of soil nitrous oxide (N2O) emissions to fertilizer nitrogen. Proc. Natl. Acad. Sci. USA 2014, 111, 9199–9204. [Google Scholar] [CrossRef]
- Sonoki, T.; Furukawa, T.; Jindo, K.; Suto, K.; Aoyama, M.; Sánchez-Monedero, M.Á. Influence of biochar addition on methane me-tabolism during thermophilic phase of composting. J. Basic Microbiol. 2013, 53, 617–621. [Google Scholar] [CrossRef]
- Kammann, C.; Ippolito, J.; Hagemann, N.; Borchard, N.; Cayuela, M.L.; Estavillo, J.M.; Fuertes-Mendizabal, T.; Jeffery, S.; Kern, J.; Novak, J.; et al. Biochar as a tool to reduce the agricultural greenhouse-gas burden–knowns, unknowns and future research needs. J. Environ. Eng. Landsc. Manag. 2017, 25, 114–139. [Google Scholar] [CrossRef]
- Jeffery, S.; Verheijen, F.G.; Kammann, C.; Abalos, D. Biochar effects on methane emissions from soils: A meta-analysis. Soil Biol. Biochem. 2016, 101, 251–258. [Google Scholar] [CrossRef]
- Yu, L.; Tang, J.; Zhang, R.; Wu, Q.; Gong, M. Effects of biochar application on soil methane emission at different soil moisture levels. Biol. Fertil. Soils 2013, 49, 119–128. [Google Scholar] [CrossRef]
- Lin, X.W.; Xie, Z.B.; Zheng, J.Y.; Liu, Q.; Bei, Q.C.; Zhu, J.G. Effects of biochar application on greenhouse gas emissions, carbon seques-tration and crop growth in coastal saline soil. Eur. J. Soil Sci. 2015, 66, 329–338. [Google Scholar] [CrossRef]
- Feng, Y.; Xu, Y.; Yu, Y.; Xie, Z.; Lin, X. Mechanisms of biochar decreasing methane emission from Chinese paddy soils. Soil Biol. Biochem. 2011, 46, 80–88. [Google Scholar] [CrossRef]
- Xie, Z.; Xu, Y.; Liu, G.; Liu, Q.; Zhu, J.; Tu, C.; Amonette, J.E.; Cadisch, G.; Yong, J.W.H.; Hu, S. Impact of biochar application on nitrogen nutrition of rice, greenhouse-gas emissions and soil organic carbon dynamics in two paddy soils of China. Plant Soil 2013, 370, 527–540. [Google Scholar] [CrossRef]
- IPCC CWT. Climate Change 2007: Synthesis Report. Contribution of Working Groups I, II and III to the Fourth Assessment Report of the Intergovernmental Panel on Climate Change; IPCC: Geneva, Switzerland, 2007; p. 104. [Google Scholar]
- Mukherjee, A.; Lal, R. Biochar Impacts on Soil Physical Properties and Greenhouse Gas Emissions. Agronomy 2013, 3, 313–339. [Google Scholar] [CrossRef]
- Xu, H.; Cai, A.; Wu, D.; Liang, G.; Xiao, J.; Xu, M.; Colinet, G.; Zhang, W. Effects of biochar application on crop productivity, soil carbon sequestration, and global warming potential controlled by biochar C: N ratio and soil pH: A global meta-analysis. Soil Tillage Res. 2021, 213, 105125. [Google Scholar] [CrossRef]
- Giwa, A.S.; Xu, H.; Chang, F.; Wu, J.; Li, Y.; Ali, N.; Ding, S.; Wang, K. Effect of biochar on reactor performance and methane generation during the anaerobic digestion of food waste treatment at long-run operations. J. Environ. Chem. Eng. 2019, 7, 103067. [Google Scholar] [CrossRef]
- Parmar, A.; Nema, P.K.; Agarwal, T. Biochar production from agro-food industry residues: A sustainable approach for soil and environmental management. Curr. Sci. 2014, 107, 1673–1682. [Google Scholar]
- Tao, Z.; Li, C.; Li, J.; Ding, Z.; Xu, J.; Sun, X.; Zhou, P.; Zhao, M. Tillage and straw mulching impacts on grain yield and water use efficiency of spring maize in Northern Huang–Huai–Hai Valley. Crop J. 2015, 3, 445–450. [Google Scholar] [CrossRef]
- Zhang, D.; Pan, G.; Wu, G.; Kibue, G.W.; Li, L.; Zhang, X.; Zheng, J.; Zheng, J.; Cheng, K.; Joseph, S.; et al. Biochar helps enhance maize productivity and reduce greenhouse gas emissions under balanced fertilization in a rainfed low fertility inceptisol. Chemosphere 2016, 142, 106–113. [Google Scholar] [CrossRef]
- Khan, R.; Abbas, A.; Farooque, A.A.; Abbas, F.; Wang, X. Mitigation of Greenhouse Gas Emissions from Agricultural Fields through Bioresource Management. Sustainability 2022, 14, 5666. [Google Scholar] [CrossRef]
- Schaufler, G.; Kitzler, B.; Schindlbacher, A.; Skiba, U.; Sutton, M.A.; Zechmeister-Boltenstern, S. Greenhouse gas emissions from European soils under different land use: Effects of soil moisture and temperature. Eur. J. Soil Sci. 2010, 61, 683–696. [Google Scholar] [CrossRef]
- Sänger, A.; Geisseler, D.; Ludwig, B. Effects of moisture and temperature on greenhouse gas emissions and C and N leaching losses in soil treated with biogas slurry. Biol. Fertil. Soils 2011, 47, 249–259. [Google Scholar] [CrossRef]
- Yuan, H.; Lu, T.; Wang, Y.; Huang, H.; Chen, Y. Influence of pyrolysis temperature and holding time on properties of biochar derived from medicinal herb (radix isatidis) residue and its effect on soil CO2 emission. J. Anal. Appl. Pyrolysis 2014, 110, 277–284. [Google Scholar] [CrossRef]
- Chen, C.; Chen, D.; Lam, S.K. Simulation of Nitrous Oxide Emission and Mineralized Nitrogen under Different Straw Retention Conditions Using a Denitrification-Decomposition Model. CLEAN Soil Air Water 2014, 43, 577–583. [Google Scholar] [CrossRef]






| Soil | ||||||||
|---|---|---|---|---|---|---|---|---|
| Depth (cm) | pH | Total N (%) | P2O5 (mg/kg) | K2O (mg/kg) | Organic carbon (%) | Mineral nitrogen (mg/kg) | NH4-N (mg/kg) | NO3-N+N2O-N (mg/kg) | 
| 0–10 | 6.8 | 0.14 | 13.90 | 228.22 | 1.02 | - | - | - | 
| 0–20 | 6.9 | 0.14 | 24.03 | 230.11 | 0.98 | - | - | - | 
| 0–60 | - | - | - | - | 11.21 | 1.21 | 10 | |
| Soil Chemical Changes | ||||||||
| Before sowing | 6.8 | 0.14 | 142 | 230.17 | 1.03 | 6.78 | 1.25 | 9.39 | 
| After harvesting | 6.9 | 0.13 | 254 | 232.08 | 0.99 | 9.20 | 2.09 | 7.11 | 
| Difference | −0.1 | 0.01 | −112 | −1.91 | 0.04 | −2.42 | −0.84 | −1.58 | 
| Biochar | ||||||||
| - | pH | Ash content (%) | Moisture wt. (%) | Volatile wt. (%) | Residual mass (char formed) wt. (%) | Total Mg (g/kg) | Organic C (%) | |
| 9.1 | 32.21 | 2.52 | 56.73 | 40.75 | 10.50 | 62.33 | ||
| Treatment | Cumulative CO2 | Cumulative N2O | Cumulative CH4 | 
|---|---|---|---|
| 2020 | |||
| Control | 13262 ± 81.71a | 10.09 ± 0.17a | 20.18 ± 0.20ab | 
| N1 | 12393 ± 79.03ab | 9.66 ± 0.19ab | 19.78 ± 0.17ab | 
| N2 | 12487 ± 110.1ab | 9.66 ± 0.15ab | 21.13 ± 0.21a | 
| B | 13685 ± 99.21a | 9.66 ± 0.17ab | 20.68 ± 0.13ab | 
| N1B | 13972 ± 83.52a | 9.93 ± 0.19ab | 20.77 ± 0.18ab | 
| N2B | 12385 ± 91.33ab | 10.04 ± 0.15a | 21.20 ± 0.19a | 
| 2021 | |||
| Control | 8374 ± 91.01a | 7.05 ± 0.11a | 14.26 ± 0.20a | 
| N1 | 8093 ± 91.26a | 7.96 ± 0.11a | 14.18 ± 0.18a | 
| N2 | 8264 ± 83.21a | 7.84 ± 0.13a | 14.08 ± 0.20a | 
| B | 6907 ± 74.32b | 6.64 ± 0.12b | 13.06 ± 0.16b | 
| N1B | 6716 ± 63.41b | 7.00 ± 0.14a | 13.05 ± 0.15b | 
| N2B | 6833 ± 78.51b | 6.97 ± 0.12a | 14.16 ± 0.19a | 
| Treatment | GWP of CO2 | GWP of CH4 | GWP of N2O | Cumulative GWP | 
|---|---|---|---|---|
| 2020 | ||||
| Control | 60.59 ± 0.117a | 2.95 ± 0.05a | 15.85 ± 0.15a | 79.39 ± 0.112a | 
| N1 | 61.68 ± 0.132a | 2.96 ± 0.06a | 15.56 ± 0.19a | 80.20 ± 0.132a | 
| N2 | 60.38 ± 0.126a | 2.94 ± 0.04a | 15.44 ± 0.12ab | 78.76 ± 0.144ab | 
| B | 62.09 ± 0.137a | 2.94 ± 0.05a | 15.79 ± 0.20a | 80.82 ± 0.141a | 
| N1B | 62.66 ± 0.118a | 2.95 ± 0.02a | 15.67 ± 0.14 a | 81.28 ± 0.152a | 
| N2B | 59.58 ± 0.127a | 2.96 ± 0.07a | 15.73 ± 0.17a | 78.27 ± 0.143ab | 
| 2021 | ||||
| Control | 60.81 ± 0.281a | 2.82 ± 0.09a | 16.29 ± 0.27ab | 79.92 ± 0.138a | 
| N1 | 59.76 ± 0.256ab | 2.79 ± 0.08a | 16.60 ± 0.14a | 79.15 ± 0.163a | 
| N2 | 60.77 ± 0.242ab | 2.81 ± 0.07a | 17.46 ± 0.21a | 81.04 ± 0.140a | 
| B | 37.17 ± 0.271b | 2.70 ± 0.09b | 13.08 ± 0.17b | 52.95 ± 0.145b | 
| N1B | 39.33 ± 0.229b | 2.74 ± 0.02ab | 15.29 ± 0.19a | 57.36 ± 0.134b | 
| N2B | 37.70 ± 0.217b | 2.75 ± 0.10ab | 15.11 ± 0.21a | 55.53 ± 0.122b | 
| Disclaimer/Publisher’s Note: The statements, opinions and data contained in all publications are solely those of the individual author(s) and contributor(s) and not of MDPI and/or the editor(s). MDPI and/or the editor(s) disclaim responsibility for any injury to people or property resulting from any ideas, methods, instructions or products referred to in the content. | 
© 2023 by the authors. Licensee MDPI, Basel, Switzerland. This article is an open access article distributed under the terms and conditions of the Creative Commons Attribution (CC BY) license (https://creativecommons.org/licenses/by/4.0/).
Share and Cite
Ayaz, M.; Feizienė, D.; Tilvikienė, V.; Feiza, V.; Baltrėnaitė-Gedienė, E.; Ullah, S. Biochar with Inorganic Nitrogen Fertilizer Reduces Direct Greenhouse Gas Emission Flux from Soil. Plants 2023, 12, 1002. https://doi.org/10.3390/plants12051002
Ayaz M, Feizienė D, Tilvikienė V, Feiza V, Baltrėnaitė-Gedienė E, Ullah S. Biochar with Inorganic Nitrogen Fertilizer Reduces Direct Greenhouse Gas Emission Flux from Soil. Plants. 2023; 12(5):1002. https://doi.org/10.3390/plants12051002
Chicago/Turabian StyleAyaz, Muhammad, Dalia Feizienė, Vita Tilvikienė, Virginijus Feiza, Edita Baltrėnaitė-Gedienė, and Sana Ullah. 2023. "Biochar with Inorganic Nitrogen Fertilizer Reduces Direct Greenhouse Gas Emission Flux from Soil" Plants 12, no. 5: 1002. https://doi.org/10.3390/plants12051002
APA StyleAyaz, M., Feizienė, D., Tilvikienė, V., Feiza, V., Baltrėnaitė-Gedienė, E., & Ullah, S. (2023). Biochar with Inorganic Nitrogen Fertilizer Reduces Direct Greenhouse Gas Emission Flux from Soil. Plants, 12(5), 1002. https://doi.org/10.3390/plants12051002
 
        








 
       