Physiochemical Responses and Ecological Adaptations of Peach to Low-Temperature Stress: Assessing the Cold Resistance of Local Peach Varieties from Gansu, China
Abstract
:1. Introduction
2. Material and Methods
2.1. Plant Materials
2.2. Physiochemical Analyses
2.3. Anatomical Structure Analyses
2.4. Statistical Analysis
3. Results
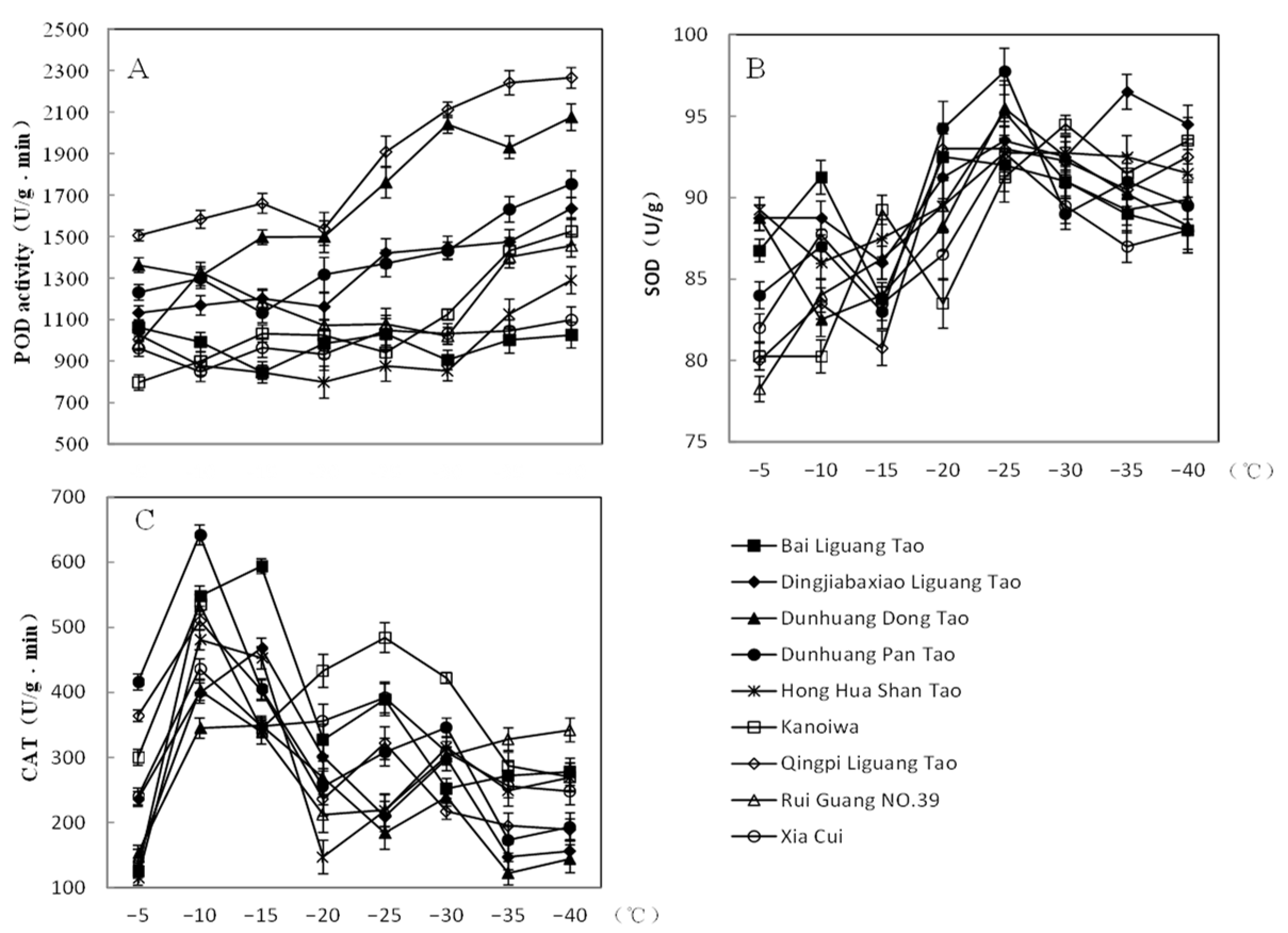
3.1. Changes in Physiological and Biochemical Indices at Different LTs
3.2. LT50 of Nine Peach Resources
3.3. The Correlation Analysis of Physiological and Biochemical Indices with LT50
3.4. Relationship between Annual Branch Structure and Cold Resistance
3.5. Evaluating Cold Resistance of Peach Resources Using Mean Membership Function and Clustering Analysis
4. Discussion
4.1. Relationship between Physiological and Biochemical Indices and Cold Resistance of Peach
4.2. Relationship between Branch Anatomical Structure and Cold Resistance of Peach
4.3. Evaluation of Cold Resistance of Gansu Local Peach Resources using Membership Function
5. Conclusions
Author Contributions
Funding
Data Availability Statement
Conflicts of Interest
References
- Parker, J. Cold resistance in woody plants. Bot. Rev. 1963, 29, 123–201. [Google Scholar] [CrossRef]
- Miura, K.; Furumoto, T. Cold signaling and cold response in plants. Int. J. Mol. Sci. 2013, 14, 5312–5337. [Google Scholar] [CrossRef] [PubMed]
- Guy, C.L. Freezing tolerance of plants: Current understanding and selected emerging concepts. Can. J. Bot. 2003, 81, 1216–1223. [Google Scholar] [CrossRef]
- Ristic, Z.; Ashworth, E.N. Response of xylem ray parenchyma cells of supercooling wood tissues to freezing stress—Microscopic study. Int. J. Plant Sci. 1995, 156, 784–792. [Google Scholar] [CrossRef]
- Lesmes-Vesga, R.A.; Cano, L.M.; Ritenour, M.A.; Sarkhosh, A.; Chaparro, J.X.; Rossi, L. Rootstocks for Commercial Peach Production in the Southeastern United States: Current Research, Challenges, and Opportunities. Horticulturae 2022, 8, 602. [Google Scholar] [CrossRef]
- Strimbeck, G.R.; Schaberg, P.G.; Fossdal, C.G.; Schröder, W.P.; Kjellsen, T.D. Extreme low temperature tolerance in woody plants. Front. Plant Sci. 2015, 6, 884. [Google Scholar] [CrossRef] [PubMed]
- Gusta, L.V.; Wisniewski, M. Understanding plant cold hardiness: An opinion. Physiol. Plantarum. 2013, 147, 4–14. [Google Scholar] [CrossRef] [PubMed]
- Wisniewski, M.; Bassett, C.; Gusta, L.V. An overview of cold hardiness in Woody plants: Seeing the forest through the trees. Hortscience. 2003, 38, 952–959. [Google Scholar] [CrossRef]
- Mittler, R. Oxidative stress, antioxidants and stress tolerance. Trends Plant Sci. 2002, 7, 405–410. [Google Scholar] [CrossRef]
- Azzarello, E.; Mugnai, S.; Pandolfi, C.; Masi, E.; Marone, E.; Mancuso, S. Comparing image (fractal analysis) and electrochemical (impedance spectroscopy and electrolyte leakage) techniques for the assessment of the freezing tolerance in olive. Trees 2009, 23, 159. [Google Scholar] [CrossRef]
- Salehi Sardoei, A.; Sharifani, M.M.; Khoshhal Sarmast, M.; Ghasemnejad, M. Screening Citrus Cultivars for Freezing Tolerance by Reliable Methods. Int. J. Hortic. Sci. Technol. 2024, 11, 25–34. [Google Scholar]
- Jing, J.; Liu, M.; Yin, B.; Liang, B.; Li, Z.; Zhang, X.; Xu, J.; Zhou, S. Effects of 10 Dwarfing Interstocks on Cold Resistance of ‘Tianhong 2′ Apple. Horticulturae 2023, 9, 827. [Google Scholar] [CrossRef]
- Wang, Z.; Wang, Y.; Wu, D.; Hui, M.; Han, X.; Xue, T.; Yao, F.; Gao, F.; Cao, X.; Li, H. Identification and regionalization of cold resistance of wine grape germplasms (V. vinifera). Agriculture 2021, 11, 1117. [Google Scholar] [CrossRef]
- Kwon, J.H.; Nam, E.Y.; Yun, S.K.; Kim, S.J.; Yu, D.J.; Lee, H.J. Comparative carbohydrate metabolism in the shoots of a cold-hardy and a cold-sensitive peach (Prunus persica) cultivar during cold acclimation and deacclimation. Hortic. Environ. Biotechnol. 2022, 63, 39–53. [Google Scholar] [CrossRef]
- Velikova, V.; Yordanov, I.; Edreva, A. Oxidative stress and some antioxidant systems in acid rain-treated bean plants: Protective role of exogenous polyamines. Plant Sci. 2000, 151, 59–66. [Google Scholar] [CrossRef]
- Jalili, I.; Ebadi, A.; Askari, M.A.; KalatehJari, S.; Aazami, M.A. Foliar application of putrescine, salicylic acid, and ascorbic acid mitigates frost stress damage in Vitis vinifera cv. ‘Giziluzum’. BMC Plant Biol. 2023, 23, 135. [Google Scholar] [CrossRef]
- Jan, N.; Andrabi, K.I. Cold resistance in plants: A mystery unresolved. Electron. J. Biotechnol. 2009, 12, 14–15. [Google Scholar] [CrossRef]
- Xu, G.; Li, L.; Zhou, J.; Lyu, D.; Zhao, D.; Qin, S. Comparison of transcriptome and metabolome analysis revealed differences in cold resistant metabolic pathways in different apple cultivars under low temperature stress. Hortic. Plant J. 2023, 9, 183–198. [Google Scholar] [CrossRef]
- Wang, K.; Bai, Z.Y.; Liang, Q.Y.; Liu, Q.L.; Zhang, L.; Pan, Y.Z.; Liu, G.L.; Jiang, B.B.; Zhang, F.; Jia, Y. Transcriptome analysis of chrysanthemum (Dendranthema grandiflorum) in response to low temperature stress. BMC Genom. 2018, 19, 319. [Google Scholar] [CrossRef]
- Urbanek, H.; Kuzniak-Gebarowska, E.; Herka, K. Elicitation of defence responses in bean leaves by Botrytis cinerea polygalacturonase. Acta Physiol. Plant. 1991, 13, 43–50. [Google Scholar]
- Tsyupka, V.; Smykov, A.; Grebennikova, O.; Chelebieva, E.; Ibadullaeva, E.; Bulavin, I.; Vodiasova, E. The molecular response to low-temperature stress in peach cultivars with different cold tolerance. In Proceedings of the 13th International Multiconference “Bioinformatics of Genome Regulation and Structure/Systems Biology (BGRS/SB-2022)”, Novosibirsk, Russia, 4–8 July 2022; p. 644. [Google Scholar]
- Ding, A.; Bao, F.; Ding, A.; Zhang, Q. Cold Hardiness of Prunus Mume ‘Xiang Ruibai’and Its Parents Based on Biological Indexes and Physical Parameters. Forests 2022, 13, 2163. [Google Scholar] [CrossRef]
- Bano, C.; Amist, N.; Singh, N.B. Morphological and Anatomical Modifications of Plants for Environmental Stresses. In Molecular plant abiotic stress: Biology and biotechnology; Wiley: Hoboken, NJ, USA, 2019; pp. 29–44. [Google Scholar]
- Wisniewski, M.; Fuller, M.; Glenn, D.; Gusta, L.; Duman, J.; Griffith, M. Extrinsic ice nucleation in plants: What are the factors and can they be manipulated. In Plant Cold Hardiness: Gene Regulation and Genetic Engineering; Kluwer Academic/Plenum Publishing: New York, NY, USA, 2002. [Google Scholar]
- Zhang, J.; Wu, X.; Niu, R.; Liu, Y.; Liu, N.; Xu, W.; Wang, Y. Cold-resistance evaluation in 25 wild grape species. Vitis 2012, 51, 153–160. [Google Scholar]
- Wang, Z.-L.; Wu, D.; Hui, M.; Wang, Y.; Han, X.; Yao, F.; Cao, X.; Li, Y.-H.; Li, H.; Wang, H. Screening of cold hardiness-related indexes and establishment of a comprehensive evaluation method for grapevines (V. vinifera). Front. Plant Sci. 2022, 13, 1014330. [Google Scholar] [CrossRef] [PubMed]
- Shen, Y.; Li, X.; Xiong, R.; Ni, Y.; Tian, S.; Li, B. Effect of peach trichome removal on post-harvest brown rot and on the fruit surface microbiome. Int. J. Food Microbiol. 2023, 402, 110299. [Google Scholar] [CrossRef] [PubMed]
- Saqib, S.; Zaman, W.; Ayaz, A.; Habib, S.; Bahadur, S.; Hussain, S.; Muhammad, S.; Ullah, F. Postharvest disease inhibition in fruit by synthesis and characterization of chitosan iron oxide nanoparticles. Biocatal. Agric. Biotechnol. 2020, 28, 101729. [Google Scholar] [CrossRef]
- Wang, F. Development Thoughts for Peach Seed Industry during the 14th Five-Year Plan Period in Gansu Province. Cold Drought Agric. Sci. 2022, 1, 111–114. [Google Scholar]
- Byrne, D.H. Trends in Fruit Breeding. Handb. Plant Breed. 2012, 8, 3–36. [Google Scholar]
- Kwon, J.H.; Jun, J.H.; Nam, E.Y.; Chung, K.H.; Hong, S.S.; Yoon, I.K.; Yun, S.K.; Kwack, Y.B. Profiling diversity and comparison of Eastern and Western cultivars of based on phenotypic traits. Euphytica 2015, 206, 401–415. [Google Scholar] [CrossRef]
- Li, H.; Gao, Z.; Wang, S.; Wang, H. Extreme temperature variation of Hexi Corridor in recent 60 years. Arid Land Geogr. 2015, 38, 1–9. [Google Scholar]
- Dhindsa, R.S.; Plumb-Dhindsa, P.; Thorpe, T.A. Leaf Senescence: Correlated with Increased Levels of Membrane Permeability and Lipid Peroxidation, and Decreased Levels of Superoxide Dismutase and Catalase. J. Exp. Bot. 1981, 32, 93–101. [Google Scholar] [CrossRef]
- Bates, L.S.; Waldren, R.P.; Teare, I.D. Rapid determination of free proline for water-stress studies. Plant Soil 1973, 39, 205–207. [Google Scholar] [CrossRef]
- Bradford, M.M. A rapid and sensitive method for the quantitation of microgram quantities of protein utilizing the principle of protein-dye binding. Anal. Biochem. 1976, 72, 248–254. [Google Scholar] [CrossRef] [PubMed]
- Buysse, J.; Merckx, R. An Improved Colorimetric Method to Quantify Sugar Content of Plant Tissue. J. Exp. Bot. 1993, 44, 1627–1629. [Google Scholar] [CrossRef]
- Yun, S.K.; Bae, H.; Chung, K.H.; Yoon, I.K.; Nam, E.Y.; Kwon, J.H.; Jun, J.H. Sugar, starch, and proline in peach trees exposed to freezing temperatures during dehardening. Agr. Sci. 2014, 5, 913–921. [Google Scholar] [CrossRef]
- Coming Biotechnology Company Home Page of SOD, POD, CAT Activity Kit. Available online: http://www.cominbio.com/index.html (accessed on 1 May 2020).
- Ahmad, S.; Ahmad, M.; Fawzy Ramadan, M.; Sultana, S.; Papini, A.; Ullah, F.; Saqib, S.; Ayaz, A.; Ahmed Bazai, M.; Zaman, W. Palynological Study of Fossil Plants from Miocene Murree Formation of Pakistan: Clues to Investigate Palaeoclimate and Palaeoenvironment. Agronomy 2023, 13, 269. [Google Scholar] [CrossRef]
- Usma, A.; Ahmad, M.; Zafar, M.; Sultana, S.; Ullah, F.; Saqib, S.; Ayaz, A.; Zaman, W. Palynological Study of Weed Flora from Potohar Plateau. Agronomy 2022, 12, 2500. [Google Scholar] [CrossRef]
- Mirzai-Asl, A. Measuring cold rsistance in wheat by laboratory tests. J. Water Soil Sci. Isfahan Univ. Technol. 2002, 6, 177–187. [Google Scholar]
- Karami, F.; Gholami, M.; Ershadi, A.; Mardeh, A.S.S. Evaluation of winter cold tolerance and critical temperature (LT50) estimation in 21 strawberry cultivars. Iran. J. Hortic. Sci. 2018, 49, 79–91. [Google Scholar]
- Zhang, R.; Liu, B.; Xin, G.; Zhang, X.; Li, J.; Wang, Y. Evaluation of cold tolerance of seven walnut varieties. Cryoletters 2022, 43, 74–82. [Google Scholar] [CrossRef]
- Rajashekar, C.; Gusta, L.; Burke, M. Membrane structural transitions: Probable relation to frost damage in hardy herbaceous species. In Low Temperature Stress in Crop Plants; Academic Press: Cambridge, MA, USA, 1979; pp. 255–274. [Google Scholar]
- Wang, X.; Fang, W.; Liu, Y.; Zhao, P.; Mao, D.; Wang, X. Assessment of the cold resistance of fifty-eight peach accessions. J. Northwest Forest. Univ. 2018, 33, 138–144. [Google Scholar]
- Yu, D.J.; Hwang, J.Y.; Chung, S.W.; Oh, H.D.; Yun, S.K.; Lee, H.J. Changes in cold hardiness and carbohydrate content in peach (Prunus persica) trunk bark and wood tissues during cold acclimation and deacclimation. Sci. Hortic. 2017, 219, 45–52. [Google Scholar] [CrossRef]
- Achard, P.; Gong, F.; Cheminant, S.; Alioua, M.; Hedden, P.; Genschik, P. The cold-inducible CBF1 factor-dependent signaling pathway modulates the accumulation of the growth-repressing DELLA proteins via its effect on gibberellin metabolism. Plant Cell 2008, 20, 2117–2129. [Google Scholar] [CrossRef] [PubMed]
- Gilmour, S.J.; Fowler, S.G.; Thomashow, M.F. Arabidopsis transcriptional activators CBF1, CBF2, and CBF3 have matching functional activities. Plant Mol. Biol. 2004, 54, 767–781. [Google Scholar] [CrossRef] [PubMed]
- Tabaei-Aghdaei, S.R.; Pearce, R.S.; Harrison, P. Sugars regulate cold-induced gene expression and freezing-tolerance in barley cell cultures. J. Exp. Bot. 2003, 54, 1565–1575. [Google Scholar] [CrossRef] [PubMed]
- Yuanyuan, M.; Yali, Z.; Jiang, L.; Hongbo, S. Roles of plant soluble sugars and their responses to plant cold stress. Afr. J. Biotechnol. 2009, 8, 1684–5315. [Google Scholar]
- Livingston, D.P.; Henson, C.A. Apoplastic sugars, fructans, fructan exohydrolase, and invertase in winter oat, Responses to second-phase cold hardening. Plant Physiol. 1998, 116, 403–408. [Google Scholar] [CrossRef]
- Shahryar, N.; Maali-Amiri, R. Metabolic acclimation of tetraploid and hexaploid wheats by cold stress-induced carbohydrate accumulation. J. Plant Physiol. 2016, 204, 44–53. [Google Scholar] [CrossRef]
- Niu, R.; Zhao, X.; Wang, C.; Wang, F. Transcriptome profiling of Prunus persica branches reveals candidate genes potentially involved in freezing tolerance. Sci. Hortic. 2020, 259, 108775. [Google Scholar] [CrossRef]
- Shao, H.-B.; Guo, Q.-J.; Chu, L.-Y.; Zhao, X.-N.; Su, Z.-L.; Hu, Y.-C.; Cheng, J.-F. Understanding molecular mechanism of higher plant plasticity under abiotic stress. Colloids Surf. B Biointerfaces 2007, 54, 37–45. [Google Scholar] [CrossRef]
- Xu, C.X. Research progress on the mechanism of improving plant cold hardiness. Acta Ecol. Sin. 2012, 32, 7966–7980. [Google Scholar]
- Raza, A.; Charagh, S.; Abbas, S.; Hassan, M.U.; Saeed, F.; Haider, S.; Sharif, R.; Anand, A.; Corpas, F.J.; Jin, W. Assessment of proline function in higher plants under extreme temperatures. Plant Biol. 2023, 25, 379–395. [Google Scholar] [CrossRef] [PubMed]
- Wang, Q.; Cheng, T.R.; Yu, X.N.; da Silva, J.A.T.; Byrne, D.H. Physiological and biochemical responses of six herbaceous peony cultivars to cold stress. S. Afr. J. Bot. 2014, 94, 140–148. [Google Scholar] [CrossRef]
- Zhao, H.; Yin, S.; Tian, C.; Sun, Q. Evaluation of cold resistance of different varieties and rootstocks of cherry. Shandong Agric. Sci. 2019, 51, 37–40. [Google Scholar]
- Zhang, B.; Yang, L.; Li, Y. Physiological and biochemical characteristics related to cold resistance in sugarcane. Sugar. Tech. 2015, 17, 49–58. [Google Scholar] [CrossRef]
- Devireddy, A.R.; Tschaplinski, T.J.; Tuskan, G.A.; Muchero, W.; Chen, J.-G. Role of reactive oxygen species and hormones in plant responses to temperature changes. Int. J. Mol. Sci. 2021, 22, 8843. [Google Scholar] [CrossRef] [PubMed]
- Asadi-Sanam, S.; Pirdashti, H.; Hashempour, A.; Zavareh, M.; Nematzadeh, G.A.; Yaghoubian, Y. The physiological and biochemical responses of eastern purple coneflower to freezing stress. Russ. J. Plant Physiol. 2015, 62, 515–523. [Google Scholar] [CrossRef]
- Wang, Y.X.; Hu, Y.; Chen, B.H.; Zhu, Y.F.; Mohammed, M.D.; Sofkova, S. Physiological mechanisms of resistance to cold stress associated with 10 elite apple rootstocks. J. Integr. Agric. 2018, 17, 857–866. [Google Scholar] [CrossRef]
- Fan, J.; Wang, J.; Liu, X.; Zhao, C.; Zhou, C.; Saba, T.; Wu, J.; Hui, W.; Gong, W. Responses of antioxidant enzyme activity to different fertilizer and soil moisture conditions in relation to cold resistance in Zanthoxylum armatum. Hortic. Sci. Technol. 2022, 40, 261–272. [Google Scholar] [CrossRef]
- Li, F.; Wu, B.; Qin, X.; Yan, L.; Lai, J. Preliminary evaluation on cold resistance of cacao germplasm resources and physiological response under low temperature stress. Hortic. Sci. Technol. 2019, 40, 2135–2141. [Google Scholar]
- Nie, S.; Mo, S.; Gao, T.; Yan, B.; Shen, P.; Kashif, M.; Zhang, Z.; Li, J.; Jiang, C. Coupling effects of nitrate reduction and sulfur oxidation in a subtropical marine mangrove ecosystem with Spartina alterniflora invasion. Sci. Total Environ. 2023, 862, 160930. [Google Scholar] [CrossRef]
- Xue, Y.; Bai, X.; Zhao, C.; Tan, Q.; Li, Y.; Luo, G.; Wu, L.; Chen, F.; Li, C.; Ran, C. Spring photosynthetic phenology of Chinese vegetation in response to climate change and its impact on net primary productivity. Agric. For. Meteorol. 2023, 342, 109734. [Google Scholar] [CrossRef]
- Chang, F.; Zhang, L.; Dong, Q.; Luan, H.; Jia, P.; Qi, G.; Guo, S.; Zhang, X. The Anatomical Structure Character of Raspberry Stems is a Key Factor Affecting its Cold Resistance. Flora 2023, 298, 152196. [Google Scholar] [CrossRef]
- Wang, Z.; Zhang, L.; Chang, R.; Liu, G.; Han, J.; Chen, H. Study on the relationship between tissue structure and cold resistance of peach branches. Hebei Agric. Sci. 2014, 18, 29–33. [Google Scholar]
- Tian, J.; Wang, H.; Gao, Y.; Zhang, Z. Assessment of freezing tolerance of juglans germplasms by using annual dormant branches. Acta Hortic. Sin. 2013, 40, 1051–1060. [Google Scholar]
- Xu, G.; He, M.; Zhao, D.; Lyu, D.; Qin, S. Physiological and Structural Changes in Apple Tree Branches of Different Varieties during Dormancy. Horticulturae 2023, 9, 947. [Google Scholar] [CrossRef]
- Ou, H.; Wang, X.-C.; Wang, Z.-L.; Xu, C.-Z.; Wang, X.-J.; Lin, M.-J. Changes of Physiological Indexes and Comprehensive Evaluation of Cold Resistance of Almond during Natural Overwintering. Xinjiang Agric. Sci. 2017, 54, 1785. [Google Scholar]
- Ke, J.H.; Wang, J.X.; Wu, S.L.; Zhou, K.H.; Dai, B.Q.; Xue, S.Y.; Wang, Y. Study on low temperature physiology and evaluation of cold resistance of different peony varieties. Appl. Ecol. Environ. Res. 2023, 21, 993. [Google Scholar] [CrossRef]





| No. | Variety | Type | Source |
|---|---|---|---|
| 1 | Bai Liguang Tao | Nectarine | Jiuquan, Gansu |
| 2 | Dingjiabaxiao Liguang Tao | Nectarine | Jiuquan, Gansu |
| 3 | Dunhuang Dong Tao | Peach | Dunhuang, Gansu |
| 4 | Dunhuang Pan Tao | Flat Peach | Dunhuang, Gansu |
| 5 | Hong Hua Shan Tao | Root Stock | Gansu |
| 6 | Kanoiwa | Peach | Japan |
| 7 | Qingpi Liguang Tao | Nectarine | Yumen, Gansu |
| 8 | Rui Guang No. 39 | Nectarine | Beijing |
| 9 | Xia Cui | Peach | Jiangsu |
| No. | Resource | Type | Source |
|---|---|---|---|
| C1 | Hong Hua Shan Tao | Root Stock | Gansu |
| C2 | Jin Hui | Nectarine | Henan |
| C3 | Jin Xiu | Peach | Shanghai |
| C4 | Kanoiwa | Peach | Japan |
| C5 | Longmi No. 9 | Peach | Gansu |
| C6 | Longyoutao No. 1 | Nectarine | Gansu |
| C7 | Rui Guang No. 39 | Nectarine | Beijing |
| C8 | Xia Cui | Peach | Jiangsu |
| No. | Germplasm | Peach Type | Source |
|---|---|---|---|
| T1 | Bai Liguang Tao | Nectarine | Dunhuang |
| T2 | Da Liguang Tao | Nectarine | Jiayuguan |
| T3 | Daqingpi Liguang Tao | Nectarine | Jiuquan |
| T4 | Dingjiaba Liguang Tao | Nectarine | Jiuquan |
| T5 | Dingjiabaxiao Liguang Tao | Nectarine | Jiuquan |
| T6 | Dunhuang Dong Tao | Peach | Dunhuang |
| T7 | Dunhuang Pan Tao | Flat Peach | Dunhuang |
| T8 | Dunhuang Liguang Tao | Nectarine | Dunhuang |
| T9 | Dunhuang Routao | Nectarine | Dunhuang |
| T10 | Dunhuang Youshui Tao | Nectarine | Yumen |
| T11 | Jindaqingpi Liguang Tao | Nectarine | Jiuquan |
| T12 | Liguangbolicui | Nectarine | Dunhuang |
| T13 | Linze Zi Tao | Peach | Zhangye |
| T14 | Qingpi Liguang Tao | Nectarine | Jiuquan |
| T15 | Shangyuanzao Liguang | Nectarine | Dunhuang |
| T16 | Sunyu No. 1 | Nectarine | Jiuquan |
| T17 | Suzhou Liguang Tao | Nectarine | Jiuquan |
| T18 | Wangjianguo No. 2 | Nectarine | Jiuquan |
| T19 | Wangjianguo No. 3 | Nectarine | Dunhuang |
| T20 | Wanshupingding Tao | Nectarine | Jiuquan |
| Variety | Logistics Equation | LT50/°C | R2 | Sequence of Cold Resistance |
|---|---|---|---|---|
| Hong Hua Shan Tao | Y = 100/(1 + 3.93e−0.0485x) | −28.13 | 0.85 | 1 |
| Qingpi Liguang Tao | Y = 100/(1 + 3.79e−0.0515x) | −25.87 | 0.87 | 2 |
| Dingjiabaxiao Liguang Tao | Y = 100/(1 + 2.79e−0.0401x) | −25.63 | 0.82 | 3 |
| Dunhuang Dong Tao | Y = 100/(1 + 4.09e−0.0634x) | −24.11 | 0.86 | 4 |
| Dunhuang Pan Tao | Y = 100/(1 + 4.58e−0.0632x) | −24.08 | 0.86 | 5 |
| Xia Cui | Y = 100/(1 + 4.02e−0.0621x) | −22.39 | 0.93 | 6 |
| Rui Guang No. 39 | Y = 100/(1 + 4.22e−0.0651x) | −22.11 | 0.79 | 7 |
| Bai Liguang Tao | Y = 100/(1 + 3.34e−0.0547x) | −21.86 | 0.81 | 8 |
| Kanoiwa | Y = 100/(1 + 3.35e−0.0561x) | −20.55 | 0.85 | 9 |
| Indices | X1 | X2 | X3 | X4 | X5 | X6 | X7 | X8 | LT50 |
|---|---|---|---|---|---|---|---|---|---|
| X1 | 1 | ||||||||
| X2 | 0.870 ** | 1 | |||||||
| X3 | −0.882 ** | 0.855 ** | 1 | ||||||
| X4 | −0.788 ** | −0.698 * | −0.754 ** | 1 | |||||
| X5 | −0.736 ** | 0.873 ** | 0.877 ** | −0.974 ** | 1 | ||||
| X6 | −0.335 | −0.420 | −0.587 | 0.240 | −0.581 | 1 | |||
| X7 | −0.235 | 0.302 | 0.543 | −0.231 | 0.520 | 0.754 | 1 | ||
| X8 | −0.510 * | 0.324 | 0.453 | −0.440 | 0.232 | 0.432 | 0.550 | 1 | |
| LT50 | 0.894 ** | −0.874 ** | −0.721 ** | 0.742 ** | −0.863 ** | −0.369 | −0.323 | −0.529 * | 1 |
| Resource No. | Cortical (μm) | Xylem (μm) | Phloem (μm) | Cork Layer (μm) | Radius (μm) | XR (%) | CR (%) | CLR (%) | X/C |
|---|---|---|---|---|---|---|---|---|---|
| Bai Liguang Tao | 154.39 ± 6.42 b | 494.24 ± 7.03 b | 276.01 ± 4.73 bc | 10.53 ± 0.95 e | 1470.92 ± 102.65 c | 33.60 ± 4.65 b | 10.50 ± 1.02 bc | 0.72 ± 0.11 e | 3.20 ± 0.27 c |
| Dingjiabaxiao Liguang Tao | 150.45 ± 13.08 b | 392.27 ± 9.74 c | 269.34 ± 21.91 bc | 26.40 ± 4.75 b | 1335.03 ± 112.44 c | 29.38 ± 3.22 bc | 11.27 ± 0.88 b | 1.98 ± 0.26 b | 2.61 ± 0.34 cd |
| Dunhuang Dong Tao | 118.96 ± 16.12 c | 554.60 ± 24.1 b | 217.25 ± 28.00 bc | 14.95 ± 4.80 d | 1383.34 ± 98.78 c | 40.09 ± 4.18 a | 8.60 ± 0.76 c | 1.08 ± 0.08 de | 4.66 ± 0.52 b |
| Dunhuang Pan Tao | 236.90 ± 27.48 a | 352.83 ± 14.33 bc | 367.16 ± 25.15 b | 21.25 ± 7.32 c | 1640.31 ± 133.45 b | 21.51 ± 3.66 d | 14.44 ± 1.23 b | 1.30 ± 0.12 cd | 1.49 ± 0.11 e |
| Hong Hua Shan Tao | 84.18 ± 7.29 e | 800.77 ± 31.88 a | 223.49 ± 16.56 | 70.97 ± 6.81 a | 1788.46 ± 133.29 a | 44.77 ± 4.72 a | 4.71 ± 0.52 d | 3.97 ± 0.43 a | 9.51 ± 1.26 a |
| Kanoiwa | 164.14 ± 17.65 b | 489.03 ± 14.48 b | 519.45 ± 73.61 a | 26.76 ± 9.11 b | 1840.74 ± 141.62 a | 26.57 ± 2.86 c | 8.92 ± 0.87 c | 1.45 ± 0.25 c | 2.98 ± 0.27 c |
| Qingpi Liguang Tao | 262.10 ± 6.50 a | 331.09 ± 3.29 cd | 362.71 ± 12.23 b | 25.79 ± 1.86 b | 1600.73 ± 125.65 b | 20.68 ± 2.34 d | 16.37 ± 1.42 a | 1.61 ± 0.21 bc | 1.26 ± 0.08 e |
| Rui Guang No. 39 | 133.50 ± 12.84 bc | 284.48 ± 7.07 d | 222.74 ± 3.91 bc | 16.01 ± 2.93 d | 1145.83 ± 89.56 d | 24.83 ± 3.05 cd | 11.65 ± 1.65 b | 1.40 ± 0.14 c | 2.13 ± 0.43 d |
| Xia Cui | 240.89 ± 9.09 a | 509.47 ± 21.54 b | 212.25 ± 11.21 bc | 28.81 ± 4.37 b | 1786.84 ± 110.43 a | 28.51 ± 1.97 bc | 13.48 ± 1.77 | 1.61 ± 0.15 bc | 2.11 ± 0.29 d |
| mean | 171.72 | 467.64 | 296.71 | 26.83 | 1554.69 | 29.99 | 11.10 | 1.68 | 3.33 |
| Indices | X1 | X2 | X3 | X4 | X5 | X6 | X7 | X8 | X9 | LT50 |
|---|---|---|---|---|---|---|---|---|---|---|
| X1 | 1 | |||||||||
| X2 | −0.400 * | 1 | ||||||||
| X3 | 0.470 * | −0.140 | 1 | |||||||
| X4 | −0.140 | 0.483 * | 0.024 | 1 | ||||||
| X5 | 0.404 * | 0.493 ** | 0.425 * | 0.552 ** | 1 | |||||
| X6 | −0.639 ** | 0.887 ** | −0.347 | 0.209 | 0.048 | 1 | ||||
| X7 | 0.842 ** | −0.706 ** | 0.315 | −0.414 * | −0.121 | −0.726 ** | 1 | |||
| X8 | −0.166 | 0.414 * | −0.102 | 0.909 ** | 0.411 * | 0.209 | −0.386 * | 1 | ||
| X9 | −0.712 ** | 0.842 ** | −0.300 | 0.631 ** | 0.200 | 0.824 ** | −0.845 ** | 0.562 ** | 1 | |
| LT50 | 0.340 | −0.694 ** | 0.269 | −0.741 ** | −0.134 | −0.678 * | 0.657 * | −0.822 ** | −0.814 ** | 1 |
| Variety | ELI | MDA | Pro | SP | SS | CLR | X/C | Mean Membership Function Value | Cold Resistance Level |
|---|---|---|---|---|---|---|---|---|---|
| Dingjiaba Liguang Tao | 1.00 | 1.00 | 0.69 | 0.55 | 0.44 | 0.33 | 0.25 | 0.61 | HR |
| Qingpi Liguang Tao | 0.92 | 0.92 | 0.93 | 0.52 | 0.06 | 0.00 | 0.28 | 0.52 | R |
| Hong Hua Shan Tao | 0.49 | 0.00 | 0.13 | 0.28 | 0.70 | 1.00 | 1.00 | 0.51 | R |
| Dingjiabaxiao Liguang Tao | 0.60 | 0.86 | 0.25 | 0.83 | 0.45 | 0.16 | 0.39 | 0.51 | R |
| Dunhuang Pan Tao | 0.91 | 0.63 | 0.49 | 0.63 | 0.68 | 0.03 | 0.18 | 0.51 | R |
| Dunhuang Youshui Tao | 0.26 | 0.46 | 0.80 | 1.00 | 0.46 | 0.17 | 0.39 | 0.51 | R |
| Shangyuanzao Liguang | 0.62 | 0.89 | 0.69 | 0.60 | 0.37 | 0.16 | 0.15 | 0.50 | R |
| Jindaqingpi Liguang Tao | 0.63 | 0.63 | 0.55 | 0.64 | 0.70 | 0.09 | 0.14 | 0.48 | MR |
| Sunyu No. 1 | 0.35 | 0.49 | 0.57 | 0.73 | 0.13 | 0.34 | 0.56 | 0.45 | MR |
| Linze Zitao | 0.35 | 0.54 | 1.00 | 0.83 | 0.25 | 0.01 | 0.19 | 0.45 | MR |
| Dunhuang Liguang Tao | 0.57 | 0.91 | 0.22 | 0.71 | 0.22 | 0.39 | 0.13 | 0.45 | MR |
| Wangjianguo No. 3 | 0.44 | 0.84 | 0.47 | 0.76 | 0.22 | 0.29 | 0.06 | 0.44 | MR |
| Da Liguang Tao | 0.36 | 0.84 | 0.49 | 0.35 | 0.65 | 0.27 | 0.02 | 0.43 | MR |
| Suzhou Liguang Tao | 0.06 | 0.64 | 0.73 | 0.94 | 0.39 | 0.13 | 0.10 | 0.43 | MR |
| Dunhuang Routao | 0.57 | 0.72 | 0.51 | 0.32 | 0.44 | 0.06 | 0.33 | 0.42 | MR |
| Daqingpi Liguang Tao | 0.25 | 0.71 | 0.52 | 0.54 | 0.41 | 0.18 | 0.23 | 0.41 | MR |
| Bai Liguang Tao | 0.02 | 0.76 | 0.68 | 0.65 | 0.49 | 0.23 | 0.00 | 0.41 | MR |
| Dunhuang Dong Tao Longmi No. 9 | 0.16 0.88 | 0.36 0.33 | 0.72 0.07 | 0.63 0.22 | 0.42 0.80 | 0.41 0.18 | 0.11 0.14 | 0.40 0.38 | MR LR |
| Wanshupingding Tao | 0.48 | 0.06 | 0.56 | 0.51 | 0.59 | 0.08 | 0.24 | 0.36 | LR |
| Jin Xiu | 0.59 | 0.52 | 0.21 | 0.36 | 0.37 | 0.15 | 0.17 | 0.34 | LR |
| Longyoutao No. 1 | 0.30 | 0.39 | 0.19 | 0.07 | 1.00 | 0.23 | 0.08 | 0.32 | LR |
| Liguangbolicui | 0.47 | 0.32 | 0.34 | 0.41 | 0.22 | 0.17 | 0.27 | 0.31 | LR |
| Wangjianguo No. 2 | 0.55 | 0.73 | 0.09 | 0.49 | 0.07 | 0.15 | 0.11 | 0.31 | LR |
| Kanoiwa | 0.00 | 0.54 | 0.51 | 0.21 | 0.42 | 0.21 | 0.23 | 0.30 | LR |
| Jin Hui | 0.64 | 0.32 | 0.00 | 0.09 | 0.41 | 0.06 | 0.16 | 0.24 | S |
| Rui Guang No. 39 | 0.18 | 0.44 | 0.10 | 0.06 | 0.19 | 0.11 | 0.21 | 0.18 | S |
| Xia Cui | 0.35 | 0.42 | 0.01 | 0.00 | 0.00 | 0.10 | 0.28 | 0.17 | S |
Disclaimer/Publisher’s Note: The statements, opinions and data contained in all publications are solely those of the individual author(s) and contributor(s) and not of MDPI and/or the editor(s). MDPI and/or the editor(s) disclaim responsibility for any injury to people or property resulting from any ideas, methods, instructions or products referred to in the content. |
© 2023 by the authors. Licensee MDPI, Basel, Switzerland. This article is an open access article distributed under the terms and conditions of the Creative Commons Attribution (CC BY) license (https://creativecommons.org/licenses/by/4.0/).
Share and Cite
Niu, R.; Zhao, X.; Wang, C.; Wang, F. Physiochemical Responses and Ecological Adaptations of Peach to Low-Temperature Stress: Assessing the Cold Resistance of Local Peach Varieties from Gansu, China. Plants 2023, 12, 4183. https://doi.org/10.3390/plants12244183
Niu R, Zhao X, Wang C, Wang F. Physiochemical Responses and Ecological Adaptations of Peach to Low-Temperature Stress: Assessing the Cold Resistance of Local Peach Varieties from Gansu, China. Plants. 2023; 12(24):4183. https://doi.org/10.3390/plants12244183
Chicago/Turabian StyleNiu, Ruxuan, Xiumei Zhao, Chenbing Wang, and Falin Wang. 2023. "Physiochemical Responses and Ecological Adaptations of Peach to Low-Temperature Stress: Assessing the Cold Resistance of Local Peach Varieties from Gansu, China" Plants 12, no. 24: 4183. https://doi.org/10.3390/plants12244183
APA StyleNiu, R., Zhao, X., Wang, C., & Wang, F. (2023). Physiochemical Responses and Ecological Adaptations of Peach to Low-Temperature Stress: Assessing the Cold Resistance of Local Peach Varieties from Gansu, China. Plants, 12(24), 4183. https://doi.org/10.3390/plants12244183
