Antitumor Effect of Epigallocatechin Gallate and Vincristine in Mice with L5178Y Lymphoma
Abstract
:1. Introduction
2. Results
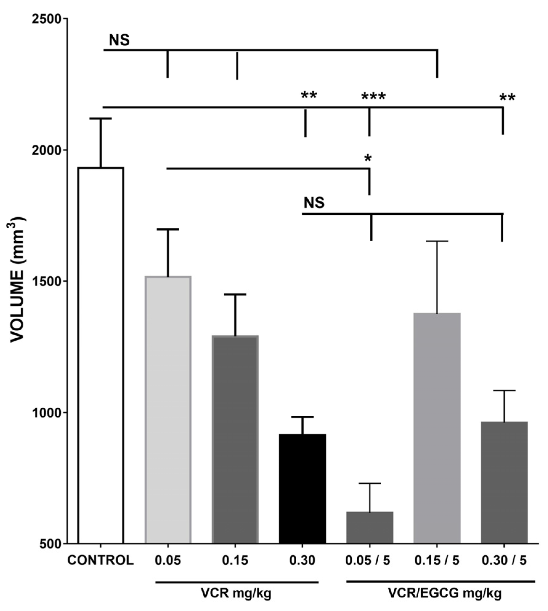
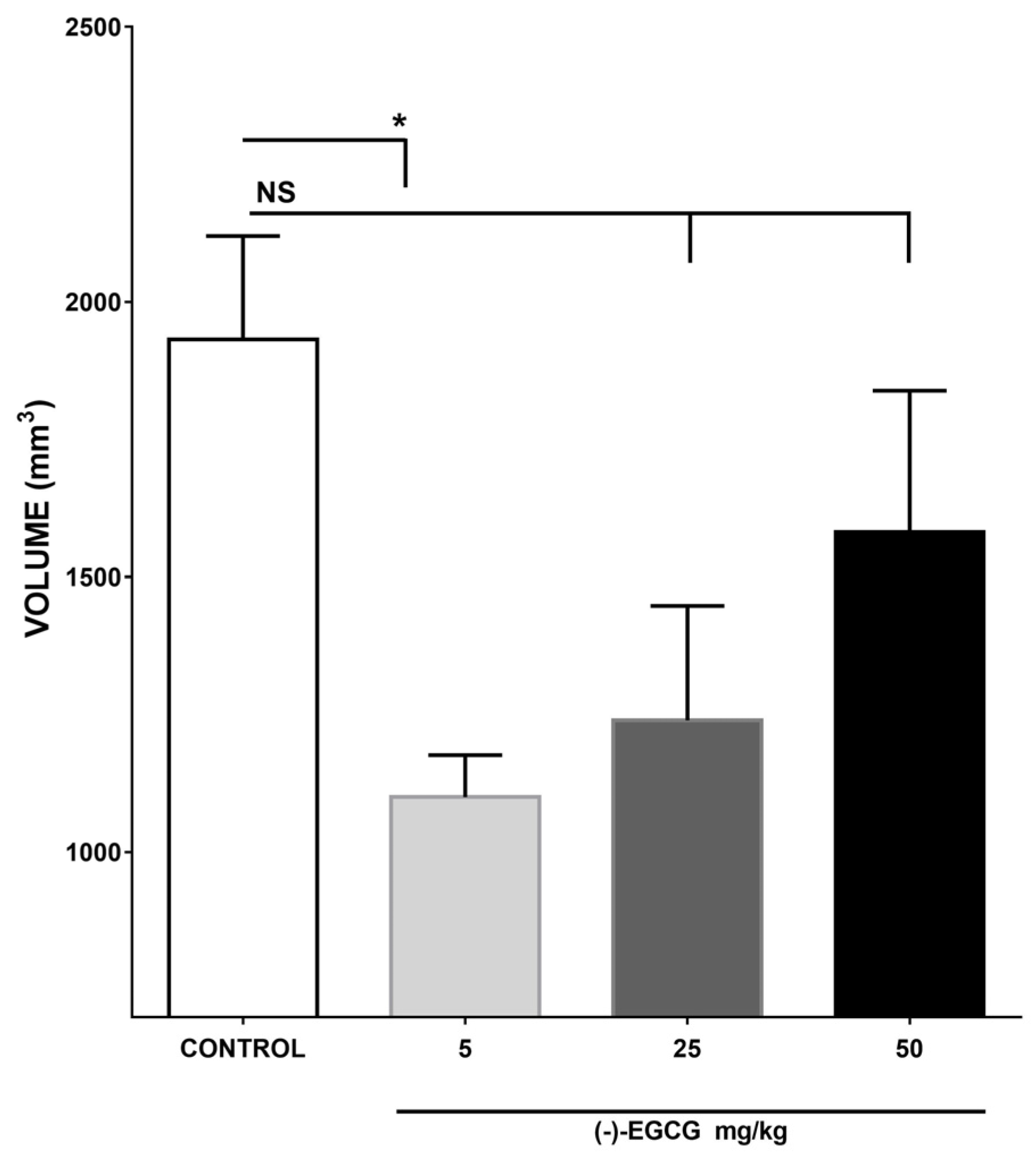
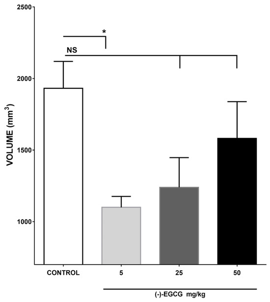
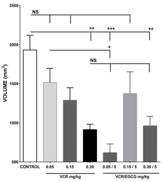
2.1. Effect of Different Treatments on Tumor Growth Inhibition
- (1)
- The control group presented rapid tumor growth, the left lower extremity where the tumor was inoculated showed a claw shape and was edematous. The appearance of the individuals in this group was of rough, bristly, sparse, and dirty fur: they presented isolated ulcers of up to half a centimeter, areas with scabs and red-dark skin, alopecia areas mainly in the ventral/dorsal caudal area, the perianal was dirty, the animals were stressed, they attacked each other, injuring their caudal extremity.
- (2)
- Regarding the group with VCR, tumor growth, pain in the area of application of the medication, the left hind extremity without mobility, a red caudal area, hirsute hair and alopecia areas were observed. They also showed stress and aggression in the group.
- (3)
- In both the group with EGCG and the group with the combination of EGCG and VCR, a decrease in tumor growth was observed, the individuals supported the limb where the tumor was located, they controlled the movement better, the hair showed a smooth appearance, they had no ulcerations; the skin had a pinkish hue and they did not present alopecia; However, there were injuries due to aggression among them. Figure 2.
2.1.1. Effect of (–)-EGCG on the Inhibition of Tumor Growth
2.1.2. The Effect of Vincristine, and Its Combination with EGCG in the Inhibition of Tumor Growth
2.2. Effect of EGCG, VCR, and Their Concomitant Administration on Survival
2.3. Effect of EGCG, VCR, and VCR/EGCG on the Determination of p53, Cyclin D1 and Bcl2 in Murine Lymphoma
3. Discussion
4. Materials and Methods
4.1. Determination of Tumor Volume and Survival with (–)-EGCG, VCR, and Their Combination
4.2. Determination of Proteins by Immunohistochemistry in L5178Y Tumor with (–)-EGCG, VCR and Their Combination
4.3. Statistical Analysis
5. Conclusions
Author Contributions
Funding
Data Availability Statement
Conflicts of Interest
References
- Garraway, L.A.; Lander, E.S. Lessons from the Cancer Genome. Cell 2013, 153, 17–37. [Google Scholar] [CrossRef] [PubMed]
- Triarico, S.; Romano, A.; Attinà, G.; Capozza, M.A.; Maurizi, P.; Mastrangelo, S.; Ruggiero, A. Vincristine-Induced Peripheral Neuropathy (VIPN) in Pediatric Tumors: Mechanisms, Risk Factors, Strategies of Prevention and Treatment. Int. J. Mol. Sci. 2021, 22, 4112. [Google Scholar] [CrossRef] [PubMed]
- Awosika, A.O.; Below, J.; Das, J.M. Vincristine. In StatPearls; StatPearls Publishing: Treasure Island, FL, USA, 2023. Available online: https://www.ncbi.nlm.nih.gov/books/NBK537122/ (accessed on 12 September 2022).
- FAO Intergovernmental Group on tea World tea production and trade Currente and future development Kaison Chang—Secretary. A subsidiary body of the Organization of the United Nations (FAO). Committee on Commodity problems (CCP) Rome. 2015. Available online: https://www.fao.org/3/i4480e/i4480e.pdf (accessed on 2 August 2023).
- Du, G.-J.; Zhang, Z.; Wen, X.-D.; Yu, C.; Calway, T.; Yuan, C.-S.; Wang, C.-Z. Epigallocatechin Gallate (EGCG) Is the Most Effective Cancer Chemopreventive Polyphenol in Green Tea. Nutrients 2012, 4, 1679–1691. [Google Scholar] [CrossRef]
- Wei, R.; Penso, N.E.C.; Hackman, R.M.; Wang, Y.; Mackenzie, G.G. Epigallocatechin-3-Gallate (EGCG) Suppresses Pancreatic Cancer Cell Growth, Invasion, and Migration partly through the Inhibition of Akt Pathway and Epithelial–Mesenchymal Transition: Enhanced Efficacy When Combined with Gemcitabine. Nutrients 2019, 11, 1856. [Google Scholar] [CrossRef]
- Gu, J.J.; Qiao, K.S.; Sun, P.; Chen, P.; Li, Q. Study of EGCG induced apoptosis in lung cancer cells by inhibiting PI3K/Akt signaling pathway. Eur. Rev. Med. Pharmacol. Sci. 2018, 22, 4557–4563. [Google Scholar]
- Thangapazham, R.L.; Singh, A.K.; Sharma, A.; Warren, J.; Gaddipati, J.P.; Maheshwari, R.K. Green tea polyphenols and its constituent epigallocatechin gallate inhibits proliferation of human breast cancer cells in vitro and in vivo. Cancer Lett. 2007, 245, 232–241. [Google Scholar] [CrossRef]
- Braicu, C.; Gherman, C.D.; Irimie, A.; Berindan-Neagoe, I. Epigallocatechin-3-Gallate (EGCG) inhibits cell proliferation and migratory behaviour of triple negative breast cancer cells. J. Nanosci. Nanotechnol. 2013, 13, 632–637. [Google Scholar] [CrossRef]
- Bimonte, S.; Albino, V.; Piccirillo, M.; Nasto, A.; Molino, C.; Palaia, R.; Cascella, M. Epigallocatechin-3-gallate in the prevention and treatment of hepatocellular carcinoma: Experimental findings and translational perspectives. Drug Des Devel Ther. 2019, 12, 611–621. [Google Scholar] [CrossRef]
- Qin, J.; Fu, M.; Wang, J.; Huang, F.; Liu, H.; Huangfu, M.; Yu, D.; Liu, H.; Li, X.; Guan, X.; et al. PTEN/AKT/mTOR signaling mediates anticancer effects of epigallocatechin-3-gallate in ovarian cancer. Oncol. Rep. 2020, 43, 1885–1896. [Google Scholar] [CrossRef]
- Isbrucker, R.A.; Edwards, J.A.; Wolz, E.; Davidovich, A.; Bausch, J. Safety studies on epigallocatechin gallate (EGCG) preparations. Part 2: Dermal, acute and short-term toxicity studies. Food Chem. Toxicol. 2006, 44, 636–650. [Google Scholar] [CrossRef]
- EFSA Panel on Food Additives and Nutrient Sources added to Food (ANS); Younes, M.; Aggett, P.; Aguilar, F.; Crebelli, R.; Dusemund, B.; Filipič, M.; Frutos, M.J.; Galtier, P.; Gott, D.; et al. Scientific opinion on the safety of green tea catechins. EFSA J. 2018, 16, e05239. [Google Scholar] [CrossRef]
- Rady, I.; Mohamed, H.; Rady, M.; Siddiqui, I.A.; Mukhtar, H. Cancer preventive and therapeutic effects of EGCG, the major polyphenol in green tea. Egypt J. Basic. Appl. Sci. 2018, 5, 1–23. [Google Scholar] [CrossRef]
- Almatroodi, S.A.; Almatroudi, A.; Khan, A.A.V.; Alhumaydhi, F.A.; Alsahli, M.A.; Rahmani, A.H. Potential Therapeutic Targets of Epigallocatechin Gallate (EGCG), the Most Abundant Catechin in Green Tea, and Its Role in the Therapy of Various Types of Cancer. Molecules 2020, 25, 3146. [Google Scholar] [CrossRef]
- Chen, B.H.; Hsieh, C.H.; Tsai, S.Y.; Wang, C.Y.; Wang, C.C. Anticancer effects of epigallocatechin-3-gallate nanoemulsion in lung cancer cells through activation of the AMP-activated protein kinase signaling pathway. Sci. Rep. 2020, 10, 5163. [Google Scholar] [CrossRef]
- Bimonte, S.; Cascella, M.; Barbieri, A.; Arra, C.; Cuomo, A. Current shreds of evidence on the anticancer role of EGCG in triple negative breast cancer: An update of the current state of knowledge. Infect. Agents Cancer 2020, 15, 2. [Google Scholar] [CrossRef]
- Bland, J.M.; Altman, D.G. The log-rank test. BMJ 2004, 328, 1073. [Google Scholar] [CrossRef]
- Molina, A.M.; Ortega, P.E.; Ochoa, S.C. Estudios de supervivencia. Método de Kaplan-Meier. Evid. Pediatr. 2022, 18, 20. [Google Scholar]
- Almaguer, V.G.; Resendiz, E.E.; Galnares, N.M.L.; Montejano, A.B.V.; Becerril, F.M.A.; Imbert, P.H.; Molina, T.E.M.; Balderas, D.C.; Bautista, A.M.; Montejano, R.J.R. Antitumor activity in lymphoma 5178Y in mice, acute toxicity and phytochemical of Decatropis bicolor Zucc. Radlk Pharmacol. 2019, 3, 224–235. [Google Scholar]
- Jackson, D.V., Jr.; Bender, R.A. Cytotoxic thresholds of vincristine in a murine and a human leukemia cell line in vitro. Cancer Res. 1979, 11, 4346–4349. [Google Scholar]
- Bender, R.A.; Nichols, A.P.; Norton, L.; Simon, R.M. Lack of therapeutic synergism between vincristine and methotrexate in L1210 murine leukemia in vivo. Cancer Treat. Rep. 1978, 62, 997–1003. [Google Scholar]
- Brunton, L.L.; Chabner, B.A.; Knollmann, B.C.; Brunton, L.L.; Chabner, B.A.; Knollmann, B.C. Las Bases Farmacológicas de la terapéutica; Fármacos citotóxicos Sección VIII Tratamiento farmacológico de las enfermedades neoplásicas III, Productos naturales Vincristina; Goodman & Gilman, 2nd ed.; Chabner, B.A., Bertino, J., Cleary, J., Ortiz, T.V., Lane, A., Supko, J.G., Ryan, D., Eds.; Mc-Graw Hill: New York, NY, USA, 2012. [Google Scholar]
- Silva, A.; Wang, Q.; Wang, M.; Ravula, S.K.; Glass, J.D. Evidence of direct axonal toxicity in vincristine neuropathy. J. Peripheral Nerve Syst. 2006, 11, 211–216. [Google Scholar] [CrossRef] [PubMed]
- Wei, R.; Mao, L.; Xu, P.; Zheng, X.; Hackman, R.M.; Mackenzie, G.G.; Wang, Y. Suppressing glucose metabolism with epigallocatechin-3-gallate (EGCG) reduces breast cancer cell growth in preclinical models. Food Funct. 2018, 9, 5682–5696. [Google Scholar] [CrossRef] [PubMed]
- Zhang, L.; Chen, W.; Tu, G.; Chen, X.; Lu, Y.; Wu, L.; Zheng, D. Enhanced Chemotherapeutic Efficacy of PLGA-Encapsulated Epigallocatechin Gallate (EGCG) Against Human Lung Cancer. Int. J. Nanomed. 2020, 15, 4417–4429. [Google Scholar] [CrossRef]
- Somers-Edgar, T.J.; Scandlyn, M.J.; Stuart, E.C.; Le Nedelec, M.J.; Valentine, S.P.; Rosengren, R.J. The combination of epigallocatechin gallate and curcumin suppresses ERa-breast cancer cell growth in vitro and in vivo. Int. J. Cancer 2008, 122, 1966–1971. [Google Scholar] [CrossRef] [PubMed]
- Della Via, F.I.; Shiraishi, R.N.; Santos, I.; Ferro, K.P.; Salazar-Terreros, M.J.; Franchi Junior, G.C.; Rego, E.M.; Saad, S.T.O.; Torello, C.O. Epigallocatechin-3-gallate induces apoptosis and differentiation in leukemia by targeting reactive oxygen species and PIN1. Sci. Rep. 2021, 11, 9103. [Google Scholar] [CrossRef] [PubMed]
- Zhu, K.; Wang, W. Green tea polyphenol EGCG suppresses osteosarcoma cell growth through upregulating miR-1. Tumor Biol. 2016, 37, 4373–4382. [Google Scholar] [CrossRef] [PubMed]
- Lee, W.J.; Cheng, T.C.; Yen, Y.; Fang, C.L.; Liao, Y.C.; Kuo, C.C.; Tu, S.H.; Lin, L.C.; Chang, H.W.; Chen, L.C.; et al. Tea Polyphenol Epigallocatechin-3-Gallate Inhibits Cell Proliferation in a Patient-Derived Triple-Negative Breast Cancer Xenograft Mouse Model Via Inhibition of Proline-Dehydrogenase-Induced Effects. J. Food Drug Anal. 2021, 29, 1. [Google Scholar] [CrossRef]
- Stearns, M.E.; Amatangelo, M.D.; Varma, D.; Sell, C.; Goodyear, S.M. Combination therapy with epigallocatechin-3-gallate and doxorubicin in human prostate tumor modeling studies: Inhibition of metastatic tumor growth in severe combined immunodeficiency mice. Am. J. Pathol. 2010, 177, 3169–3179. [Google Scholar] [CrossRef]
- Luo, K.; Lung, W.C.; Luo, X.; Huang, W. EGCG inhibited bladder cancer T24 and 5637 cell proliferation and migration PI3K/AKT pathway. Oncotarget 2018, 9, 12261–12272. [Google Scholar] [CrossRef]
- Chen, L.; Guo, X.; Hu, Y.; Li, L.; Liang, G.; Zhang, G. Epigallocatechin-3-gallate sensitizes multidrug- resistant oral carcinoma xenografts to vincristine sulfate. FEBS Open Bio. 2020, 107, 1403–1413. [Google Scholar] [CrossRef]
- Zhou, D.H.; Wang, X.; Yang, M.; Shi, X.; Huang, W.; Feng, Q. Combination of Low Concentration of Epigallocatechin Gallate (EGCG) and Curcumin Strongly Suppresses the Growth of Non-Small Cell Lung Cancer in vitro and in vivo through Causing Cell Cycle Arrest. Int. J. Mol. Sci. 2013, 14, 12023–12036. [Google Scholar] [CrossRef]
- D’Archivio, M.; Santangelo, C.; Scazzocchio, B.; Varì, R.; Filesi, C.; Masella, R.; Giovannini, C. Modulatory Effects of Polyphenols on Apoptosis Induction: Relevance for Cancer Prevention. Int. J. Mol. Sci. 2008, 9, 213–228. [Google Scholar] [CrossRef]
- Ramachandran, B.; Jayavelu, S.; Murhekar, K.; Rajkumar, T. Repeated dose studies with pure Epigallocatechin-3-gallate demonstrated dose and route dependant hepatotoxicity with associated dyslipidemia. Toxicol. Rep. 2016, 3, 336–345. [Google Scholar] [CrossRef]
- Zhang, G.; Wang, Y.; Zhang, Y.; Wan, X.; Li, J.; Liu, K.; Wang, F.; Liu, K.; Liu, Q.; Yang, C.; et al. Anti-cancer activities of tea epigallocatechin-3-gallate in breast cancer patients under radiotherapy. Curr. Mol. Med. 2012, 12, 163–176. [Google Scholar] [CrossRef] [PubMed]
- Mohan, L. Plant-Based Drugs as an Adjuvant to Cancer Chemotherapy; IntechOpen: London, UK, 2021. [Google Scholar] [CrossRef]
- Wang, X.; Jiang, P.; Wang, P.; Yang, C.S.; Wang, X.; Feng, Q. EGCG Enhances Cisplatin Sensitivity by Regulating Expression of the Copper and Cisplatin Influx Transporter CTR1 in Ovary Cancer. PLoS ONE 2015, 10, e0125402. [Google Scholar] [CrossRef]
- Mark, E.S.; Min, W. Synergistic Effects of the Green Tea Extract Epigallocatechin-3-gallate and Taxane in Eradication of Malignant Human Prostate Tumors. Transl. Oncol. 2011, 4, 147–156. [Google Scholar] [CrossRef]
- Wu, H.; Xin, Y.; Xu, C.; Xiao, Y. Capecitabine combined with epigallocatechin-3-gallate inhibits angiogenesis and tumor growth in nude mice with gastric cancer xenografts. Exp. Ther. Med. 2012, 3, 650–654. [Google Scholar] [CrossRef] [PubMed]
- Wang, L.; Li, P.; Feng, K. EGCG adjuvant chemotherapy: Current status and future perspectives. Eur. J. Med. Chem. 2023, 15, 115197. [Google Scholar] [CrossRef]
- Vayssade, L.F.; Laurens, J.B.; Jean, C.A. Expression of p53-family members and associated target molecules in breast cancer cell lines in response to vincristine treatment. Biochem. Pharmacol. 2002, 63, 1609–1617. [Google Scholar] [CrossRef]
- Zhou, C.; Zhu, Y.; Lu, B.; Zhao, W.; Zhao, X. Survivin expression modulates the sensitivity of A549 lung cancer cells resistance to vincristine. Oncol. Lett. 2018, 16, 5466–5472. [Google Scholar] [CrossRef]
- Jin, L.; Li, C.; Xu, Y.; Wang, L.; Liu, J.; Wang, D.; Hong, C.; Jiang, Z.; Ma, Y.; Chen, Q.; et al. Epigallocatechin gallate promotes p53 accumulation and activity via the inhibition of MDM2-mediated p53 ubiquitination in human lung cancer cells. Oncol. Rep. 2013, 29, 1983–1990. [Google Scholar] [CrossRef] [PubMed]
- Zhao, J.; Blayney, A.; Liu, X.V.; Gandy, L.V.; Jin, W.V.; Yan, L.; Ha, J.H.; Canning, A.J.; Connelly, M.; Yang, C.; et al. EGCG binds intrinsically disordered N-terminal domain of p53 and disrupts p53-MDM2 interaction. Nat. Commun. 2021, 12, 986. [Google Scholar] [CrossRef] [PubMed]
- Wang, H.; Guo, M.; Wei, H.; Chen, Y. Targeting p53 pathways: Mechanisms, structures, and advances in therapy. Sig Transduct. Target. Ther. 2023, 8, 92. [Google Scholar] [CrossRef]
- Musgrove, E.A.; Caldon, C.E.; Barraclough, J.; Stone, A.; Sutherland, R.L. Cyclin D as a therapeutic target in cancer. Nat. Rev. Cancer 2011, 7, 558–572. [Google Scholar] [CrossRef]
- Bhatia, N.; Agarwal, C.; Agarwal, R. Differential Responses of Skin Can-cer-Chemopreventive Agents Silibinin, Quercetin, and Epigallocatechin 3-Gallate on Mi-togenic Signaling and Cell Cycle Regulators in Human Epidermoid Carcinoma A431 Cells. Nutr. Cancer 2001, 39, 292–299. [Google Scholar] [CrossRef]
- Dutta, A. p21 in cancer: Intricate networks and multiple activities. Nat. Rev. Cancer 2009, 9, 400–414. [Google Scholar] [CrossRef]
- Tu, Y.; Cheng, S.; Zhang, S.; Sun, H.; Xu, Z. Vincristine induces cell cycle arrest and apoptosis in SH-SY5Y human neuroblastoma cells. Int. J. Mol. Med. 2013, 31, 113–119. [Google Scholar] [CrossRef]
- Zhang, X.; Min, K.W.; Wimalasena, J.; Baek, S.J. Cyclin D1 degradation and p21 induction contribute to growth inhibition of colorectal cancer cells induced by epigallocatechin-3-gallate. J. Cancer Res. Clin. Oncol. 2012, 138, 2051–2060. [Google Scholar] [CrossRef]
- Wei, H.; Wang, H.; Wang, G.; Qu, L.; Jiang, L.; Dai, S.; Chen, X.; Zhang, Y.; Chen, Z.; Li, Y. Structures of p53/BCL-2 complex suggest a mechanism for p53 to antagonize BCL-2 activity. Nat. Commun. 2023, 14, 4300. [Google Scholar] [CrossRef]
- Srivastava, R.K.; Srivastava, A.R.; Korsmeyer, S.J.; Nesterova, M.; Cho, C.Y.S.; Longo, D.L. Involvement of microtubules in the regulation of Bcl2 phosphorylation and apoptosis through cyclic AMP-dependent protein kinase. Mol. Cell Biol. 1998, 18, 3509–3517. [Google Scholar] [CrossRef]
- Wang, J.; Xie, Y.; Feng, Y.; Zhang, L.; Huang, X.; Shen, X.; Luo, X. Epigallocatechin gallate induces apoptosis in B lymphoma cells via caspase-dependent pathway and Bcl-2 family protein modulation. Int. J. Oncol. 2015, 46, 1507–1515. [Google Scholar] [CrossRef]
- Olotu, F.A.; Agoni, C.; Adeniji, E.; Abdullahi, M.; Soliman, M.E. Probing Gallate-Mediated Selectivity and High-Affinity Binding of Epigallocatechin Gallate: AWay-Forward in the Design of Selective Inhibitors for Anti-apoptotic Bcl-2 Proteins. Appl. Biochem. Biotechnol. 2019, 187, 1061–1080. [Google Scholar] [CrossRef]
- Chen, J. The Cell-Cycle Arrest and Apoptotic Functions of p53 in Tumor Initiation and Progression. Cold Spring Harb. Perspect. Med. 2016, 6, a026104. [Google Scholar] [CrossRef]
- Orozco, B.A.; Peregrina, S.J.; Velázquez, M.S. Modelo de linfoma murino L5178Y en fase sólida. Rev. De Cienc. De La Salud 2017, 4–10, 23–53. [Google Scholar]
- Miranda, R.N.; Briggs, R.C.; Kinney, M.C.; Veno, P.A.; Hammer, R.D.; Cousar, J.B. Immunohistochemical detection of cyclin D1 using optimized conditions is highly specific for mantle cell lymphoma and hairy cell leukemia. Mod. Pathol. 2000, 13, 1308–1314. [Google Scholar] [CrossRef] [PubMed]
- Rodriguez, C.J.D.; Fuchs, E.; Perez, C.C. Evidence of Tau Hyperphosphorylation and Dystrophic Microglia in the Common Marmoset. Front. Aging Neurosci. 2016, 8, 315. Available online: https://www.frontiersin.org/articles/10.3389/fnagi.2016.00315 (accessed on 28 July 2023). [CrossRef]









Disclaimer/Publisher’s Note: The statements, opinions and data contained in all publications are solely those of the individual author(s) and contributor(s) and not of MDPI and/or the editor(s). MDPI and/or the editor(s) disclaim responsibility for any injury to people or property resulting from any ideas, methods, instructions or products referred to in the content. |
© 2023 by the authors. Licensee MDPI, Basel, Switzerland. This article is an open access article distributed under the terms and conditions of the Creative Commons Attribution (CC BY) license (https://creativecommons.org/licenses/by/4.0/).
Share and Cite
Almaguer, G.; Almaguer-Vargas, G.; Molina-Trinidad, E.M.; Becerril-Flores, M.A.; Montejano, B.; Madrigal-Santillan, E.; Hernández-Ceruelos, A.; Figueroa-Gutiérrez, A.H.; Montejano, E.; Montejano-Rodríguez, J.R. Antitumor Effect of Epigallocatechin Gallate and Vincristine in Mice with L5178Y Lymphoma. Plants 2023, 12, 3757. https://doi.org/10.3390/plants12213757
Almaguer G, Almaguer-Vargas G, Molina-Trinidad EM, Becerril-Flores MA, Montejano B, Madrigal-Santillan E, Hernández-Ceruelos A, Figueroa-Gutiérrez AH, Montejano E, Montejano-Rodríguez JR. Antitumor Effect of Epigallocatechin Gallate and Vincristine in Mice with L5178Y Lymphoma. Plants. 2023; 12(21):3757. https://doi.org/10.3390/plants12213757
Chicago/Turabian StyleAlmaguer, Georgina, Gustavo Almaguer-Vargas, Eva María Molina-Trinidad, Marco Antonio Becerril-Flores, Brenda Montejano, Eduardo Madrigal-Santillan, Alejandra Hernández-Ceruelos, Ana Hilda Figueroa-Gutiérrez, Ethoan Montejano, and José Ramón Montejano-Rodríguez. 2023. "Antitumor Effect of Epigallocatechin Gallate and Vincristine in Mice with L5178Y Lymphoma" Plants 12, no. 21: 3757. https://doi.org/10.3390/plants12213757
APA StyleAlmaguer, G., Almaguer-Vargas, G., Molina-Trinidad, E. M., Becerril-Flores, M. A., Montejano, B., Madrigal-Santillan, E., Hernández-Ceruelos, A., Figueroa-Gutiérrez, A. H., Montejano, E., & Montejano-Rodríguez, J. R. (2023). Antitumor Effect of Epigallocatechin Gallate and Vincristine in Mice with L5178Y Lymphoma. Plants, 12(21), 3757. https://doi.org/10.3390/plants12213757

