Morphological Structure and Physiological and Biochemical Responses to Drought Stress of Iris japonica
Abstract
:1. Introduction
2. Material and Methods
2.1. Plant Materials
2.2. Experimental Design
2.2.1. Processing of Materials
2.2.2. Collection of Materials
- (1)
- For morphological indicators, the plant growth status was observed, including measurements of the following traits: leaf length, leaf width, leaf weight ratio, aboveground stem weight ratio, rhizobia weight ratio, root to weight ratio, and root to shoot ratio after 63 d of drought. The determination of the anatomical structure of the leaves, aboveground stems, and roots was also conducted.
- (2)
- For physiological indicators, every 9 days, soil samples were collected to determine soil water content. Plant leaves were collected for determination of leaf cell membrane permeability and proline, soluble protein, reducing sugar, ascorbic acid (AsA), and glutathione (GSH) contents. Whole plant material was collected for determination of tissue water content. Leaves, shoots, and roots of plants were collected for determination of soluble sugar content. Roots of plants were collected for determination of root activity. After 63 d of drought, the leaves of the plants were collected for the determination of photosynthetic pigment, hydrogen peroxide, and malondialdehyde (MDA) contents and peroxidase (POD), superoxide dismutase (SOD), glutathione reductase (GR), ascorbate peroxidase (APX), monodehydroascorbate reductase (MDHAR), and ascorbic acid oxidase (AAO) activities.
2.3. Assay Methods
2.3.1. Determination of Morphological Indicators
2.3.2. Determination of Plant Tissue Water Content and Soil Water Content
2.3.3. Determination of Proline Content
2.3.4. Determination of Cell Membrane Permeability
2.3.5. Determination of Soluble Protein, Hydrogen Peroxide, and Antioxidants
2.3.6. Determination of Antioxidant Enzymes and Antioxidants
2.3.7. Determination of AAO Activity
2.3.8. Determination of Photosynthetic Pigments
2.3.9. Determination of Root Vigor
2.3.10. Determination of Soluble Sugars and Reducing Sugars
2.4. Data Analysis and Mapping
3. Results
3.1. Soil Water Content at Different Drought Levels
3.2. Effect of Drought on Morphology
3.2.1. Impact of Drought on External Morphological Characteristics
3.2.2. Effects of Drought on Internal Leaf Anatomy
3.3. Effects of Water Content of Tissues under Different Drought Conditions
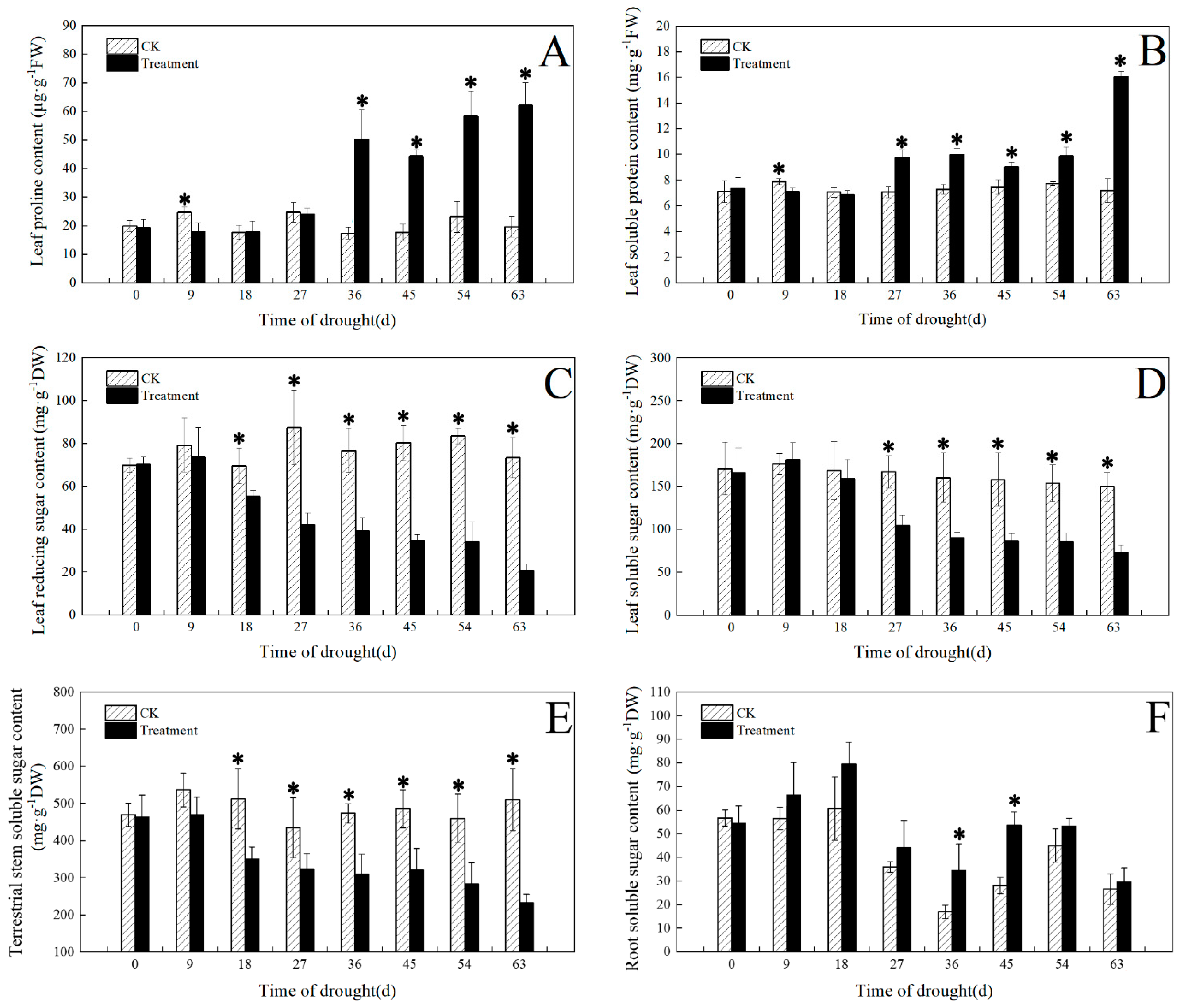
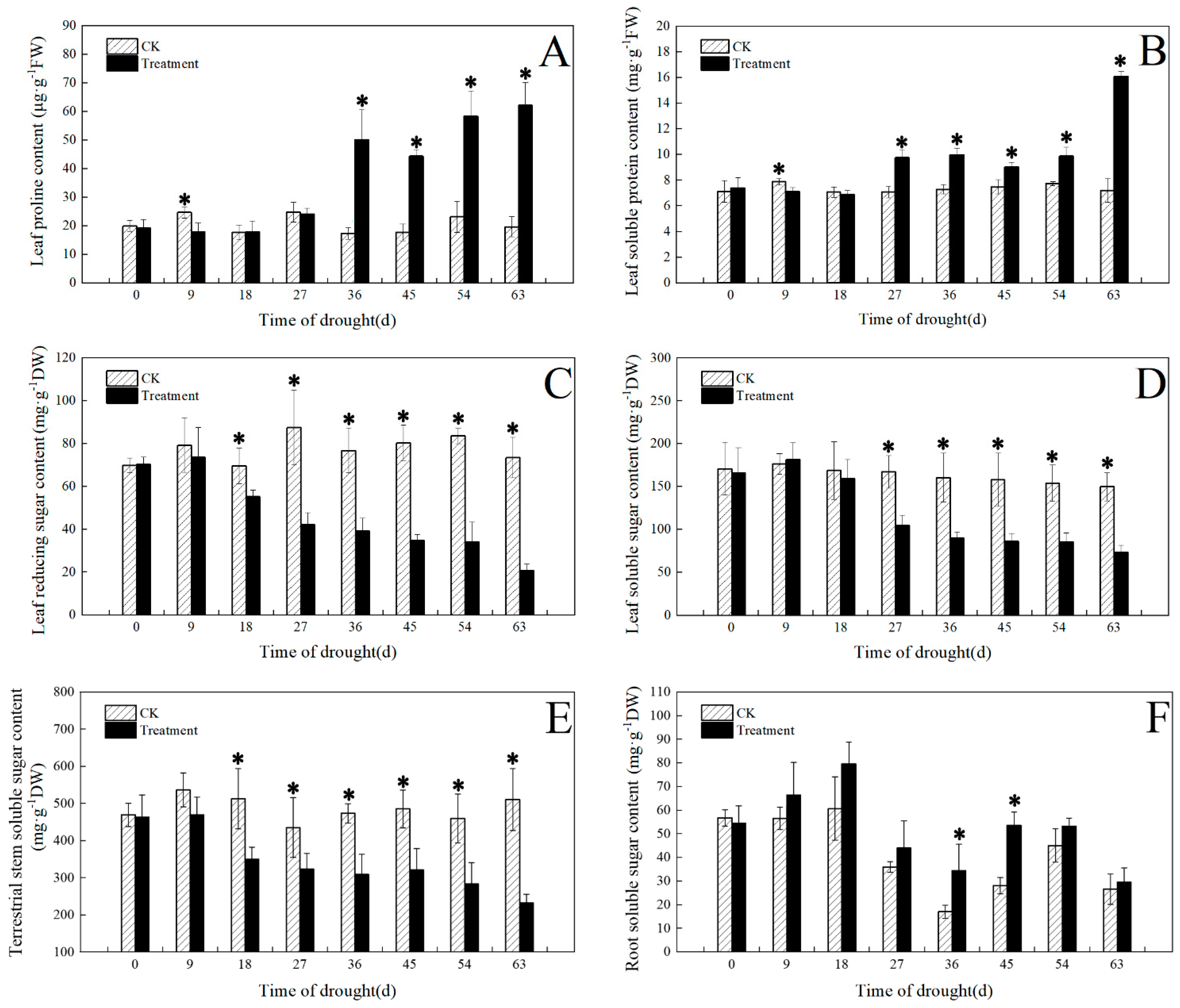
3.4. Effect of Drought on Osmotic Adjustment Substances
3.5. Effect of Drought on Photosynthetic Pigments
3.6. Effect of Drought on Oxidation System and Membrane Lipid Peroxidation Products
3.7. Effect of Drought on Root Activity
4. Discussion
4.1. Morphological and Anatomical Characteristics of Plants under Drought Conditions
4.2. Response of Tissue Water Content to Drought
4.3. Response of Osmotic Adjustment Substances to Drought
4.4. Effect of Drought Stress on Plant Biochemical Indicators
4.5. Dynamic Changes in Root Vigor
5. Conclusions
Author Contributions
Funding
Institutional Review Board Statement
Informed Consent Statement
Data Availability Statement
Conflicts of Interest
References
- Yang, M.-X.; Mou, Y.-L.; Meng, Y.-R.; Liu, S.; Peng, C.-H.; Zhou, X.-L. Modeling the effects of precipitation and temperature patterns on agricultural drought in China from 1949 to 2015. Sci. Total Environ. 2020, 711, 135139. [Google Scholar] [CrossRef] [PubMed]
- Camaille, M.; Fabre, N.; Clément, C.; Ait Barka, E. Advances in wheat physiology in response to drought and the role of plant growth promoting rhizobacteria to trigger drought tolerance. Microorganisms 2021, 9, 687. [Google Scholar] [CrossRef] [PubMed]
- Haupt-Herting, S.; Fock, H.P. Exchange of oxygen and its role in energy dissipation during drought stress in tomato plants. Physiol. Plant. 2000, 110, 489–495. [Google Scholar] [CrossRef]
- Kumar, M.; Patel, M.P.; Kumar, N.; Bajpai, A.B.; Siddique, K.H. Metabolomics and molecular approaches reveal drought stress tolerance in plants. Int. J. Mol. Sci. 2021, 22, 9108. [Google Scholar] [CrossRef] [PubMed]
- Wang, J.-J.; Lin, W.-H.; Zhao, Y.-T.; Meng, C.; Ma, A.-W.; Xue, L.-H.; Kuang, Y.; Tian, P. Physiological and biochemical responses of Festuca sinensis seedlings to temperature and soil moisture stress. Funct. Plant Biol. 2017, 44, 1007–1015. [Google Scholar] [CrossRef]
- Torres, R.O.; Natividad, M.A.; Quintana, M.R.; Henry, A. Ratooning as a management strategy for lodged or drought-damaged rice crops. Crop Sci. 2020, 60, 367–380. [Google Scholar]
- Kebbas, S.; Lutts, S.; Aid, F. Effect of drought stress on the photosynthesis of Acacia tortilis subsp. raddiana at the young seedling stage. Photosynthetica 2015, 53, 288–298. [Google Scholar] [CrossRef]
- Jiang, S.; Tang, Y.; Fan, R.; Bai, S.; Wang, X.; Huang, Y.; Li, W.; Ji, W. Response of Carex breviculmis to phosphorus deficiency and drought stress. Front. Plant Sci. 2023, 14, 1203924. [Google Scholar] [CrossRef]
- Wang, Y.-J.; Shi, X.-P.; Zhong, Z.-C. Clonal diversity and genetic differentiation in rhizomatous herb, Iris japonica (Iridaceae) populations on Jinyun Mountain, southwest China. Sains Malays. 2012, 41, 149–154. [Google Scholar]
- Li, D.-Q.; Shao, L.-M.; Xu, T.; Wang, X.-B.; Zhang, R.-L.; Zhang, K.-j.; Xia, Y.-P.; Zhang, J.-P. Hybrid RNA sequencing strategy for the dynamic transcriptomes of winter dormancy in an evergreen herbaceous perennial, Iris japonica. Front. Genet. 2022, 13, 841957. [Google Scholar] [CrossRef]
- Yu, X.-F.; Feng, Y.; Yue, L.-J. Distribution, collection and evaluation of iris species in southwest CHINA. Acta Sci. Pol.-Hortorum Cultus 2021, 20, 29–44. [Google Scholar] [CrossRef]
- Woo, N.S.; Badger, M.R.; Pogson, B.J. A rapid, non-invasive procedure for quantitative assessment of drought survival using chlorophyll fluorescence. Plant Methods 2008, 4, 27. [Google Scholar]
- Zhang, F.; Yu, J.-L.; Johnston, C.R.; Wang, Y.-Q.; Zhu, K.; Lu, F.; Zhang, Z.-P.; Zou, J.-Q. Seed priming with polyethylene glycol induces physiological changes in sorghum (Sorghum bicolor L. Moench) seedlings under suboptimal soil moisture environments. PLoS ONE 2015, 10, e0140620. [Google Scholar]
- Liu, X.-Q.; Chen, A.-P.; Wang, Y.-X.; Jin, G.-L.; Zhang, Y.-H.; Gu, L.-L.; Li, C.-J.; Shao, X.-Q.; Wang, K. Physiological and transcriptomic insights into adaptive responses of Seriphidium transiliense seedlings to drought stress. Environ. Exp. Bot. 2022, 194, 104736. [Google Scholar] [CrossRef]
- Wang, H.; Jin, J. Photosynthetic rate, chlorophyll fluorescence parameters, and lipid peroxidation of maize leaves as affected by zinc deficiency. Photosynthetica 2005, 43, 591–596. [Google Scholar]
- Wu, X.; Yuan, J.; Luo, A.; Chen, Y.; Fan, Y. Drought stress and re-watering increase secondary metabolites and enzyme activity in dendrobium moniliforme. Ind. Crops Prod. 2016, 94, 385–393. [Google Scholar]
- Tan, S.; Xie, J.-H.; Wang, W.; Shi, S.-Y. Effects of exogenous plant hormones on sugar accumulation and related enzyme activities during the development of longan (Dimocarpus Longan Lour.) fruits. J. Hortic. Sci. Biotechnol. 2019, 94, 790–797. [Google Scholar]
- Liu, C.; Wang, Q.; Jin, Y.; Pan, K.; Wang, Y. Photoprotective and antioxidative mechanisms against oxidative damage in Fargesia rufa subjected to drought and salinity. Funct. Plant Biol. 2017, 44, 302–311. [Google Scholar]
- Arrigoni, O.; Dipierro, S.; Borraccino, G. Ascorbate free radical reductase, a key enzyme of the ascorbic acid system. FEBS Lett. 1981, 125, 242–244. [Google Scholar] [CrossRef]
- Griffith, O.W. Determination of glutathione and glutathione disulfide using glutathione reductase and 2-vinylpyridine. Anal. Biochem. 1980, 106, 207–212. [Google Scholar] [CrossRef] [PubMed]
- Rowland, L.; Oliveira, R.S.; Bittencourt, P.R.; Giles, A.L.; Coughlin, I.; Costa, P.d.B.; Domingues, T.; Ferreira, L.V.; Vasconcelos, S.S.; Junior, J.A. Plant traits controlling growth change in response to a drier climate. New Phytol. 2021, 229, 1363–1374. [Google Scholar] [PubMed]
- Chen, X.; Zhu, Y.; Ding, Y.; Pan, R.; Shen, W.; Yu, X.; Xiong, F. The relationship between characteristics of root morphology and grain filling in wheat under drought stress. PeerJ 2021, 9, e12015. [Google Scholar] [CrossRef] [PubMed]
- Boumenjel, A.; Papadopoulos, A.; Ammari, Y. Growth response of Moringa oleifera (Lam) to water stress and to arid bioclimatic conditions. Agrofor. Syst. 2021, 95, 823–833. [Google Scholar]
- Tiwari, R.K.; Lal, M.K.; Kumar, R.; Chourasia, K.N.; Naga, K.C.; Kumar, D.; Das, S.K.; Zinta, G. Mechanistic insights on melatonin-mediated drought stress mitigation in plants. Physiol. Plant. 2021, 172, 1212–1226. [Google Scholar] [CrossRef] [PubMed]
- Wilmowicz, E.; Kućko, A.; Alché, J.D.D.; Czeszewska-Rosiak, G.; Florkiewicz, A.B.; Kapusta, M.; Karwaszewski, J. Remodeling of cell wall components in root nodules and flower abscission zone under drought in yellow lupine. Int. J. Mol. Sci. 2022, 23, 1680. [Google Scholar] [CrossRef]
- Han, J.; Lei, Z.; Zhang, Y.; Yi, X.; Zhang, W.; Zhang, Y. Drought-introduced variability of mesophyll conductance in Gossypium and its relationship with leaf anatomy. Physiol. Plant. 2019, 166, 873–887. [Google Scholar] [CrossRef]
- Liu, J.; Liu, Q.; Ma, D.; Yuan, Y.; Yao, J.; Zhang, W.; Su, H.; Su, Y.; Gu, J.; Zhang, D. Simultaneously achieving thermal insulation and rapid water transport in sugarcane stems for efficient solar steam generation. J. Mater. Chem. A 2019, 7, 9034–9039. [Google Scholar]
- Wahab, A.; Abdi, G.; Saleem, M.H.; Ali, B.; Ullah, S.; Shah, W.; Mumtaz, S.; Yasin, G.; Muresan, C.C.; Marc, R.A. Plants’ physio-biochemical and phyto-hormonal responses to alleviate the adverse effects of drought stress: A comprehensive review. Plants 2022, 11, 1620. [Google Scholar] [CrossRef]
- Luo, Y.-Z.; Liu, H.; Yan, G.; Li, G.; Turner, N.C. Roots of lucerne seedlings are more resilient to a water deficit than leaves or stems. Agronomy 2019, 9, 123. [Google Scholar]
- Li, D.-Q.; Zhang, J.; Zhang, J.-P.; Li, K.; Xia, Y.-P. Green period characteristics and foliar cold tolerance in 12 Iris species and cultivars in the Yangtze Delta, China. HortTechnology 2017, 27, 399–407. [Google Scholar] [CrossRef]
- Luo, Y.-Z.; Li, G.; Yan, G.; Liu, H.; Turner, N.C. Morphological features and biomass partitioning of lucerne plants (Medicago sativa L.) subjected to water stress. Agronomy 2020, 10, 322. [Google Scholar] [CrossRef]
- Wei, Y.; Li, J.; Sun, F.; Wu, J.; Zhao, L. Leakage-proof phase change composites supported by biomass carbon aerogels from succulents. Green Chem. 2018, 20, 1858–1865. [Google Scholar] [CrossRef]
- Cui, Y.-N.; Li, X.-T.; Yuan, J.-Z.; Wang, F.-Z.; Guo, H.; Xia, Z.-R.; Wang, S.-M.; Ma, Q. Chloride is beneficial for growth of the xerophyte Pugionium cornutum by enhancing osmotic adjustment capacity under salt and drought stresses. J. Exp. Bot. 2020, 71, 4215–4231. [Google Scholar] [CrossRef] [PubMed]
- Guo, Y.; Yu, H.; Yang, M.; Kong, D.; Zhang, Y. Effect of drought stress on lipid peroxidation, osmotic adjustment and antioxidant enzyme activity of leaves and roots of Lycium ruthenicum Murr. seedling. Russ. J. Plant Physiol. 2018, 65, 244–250. [Google Scholar] [CrossRef]
- Dien, D.C.; Mochizuki, T.; Yamakawa, T. Effect of various drought stresses and subsequent recovery on proline, total soluble sugar and starch metabolisms in Rice (Oryza sativa L.) varieties. Plant Prod. Sci. 2019, 22, 530–545. [Google Scholar] [CrossRef]
- Shi, H.; Wang, B.; Yang, P.; Li, Y.; Miao, F. Differences in sugar accumulation and mobilization between sequential and non-sequential senescence wheat cultivars under natural and drought conditions. PLoS ONE 2016, 11, e0166155. [Google Scholar] [CrossRef]
- Shahba, M.; Abbas, M.; Samak, M. Response to salinity in black calla lily plant under Mediterranean conditions. Agron. J. 2022, 114, 1200–1208. [Google Scholar] [CrossRef]
- Slama, I.; Messedi, D.; Ghnaya, T.; Savoure, A.; Abdelly, C. Effects of water deficit on growth and proline metabolism in Sesuvium portulacastrum. Environ. Exp. Bot. 2006, 56, 231–238. [Google Scholar] [CrossRef]
- Chang, L.; Wang, L.; Peng, C.; Tong, Z.; Wang, D.; Ding, G.; Xiao, J.; Guo, A.; Wang, X. The chloroplast proteome response to drought stress in cassava leaves. Plant Physiol. Biochem. 2019, 142, 351–362. [Google Scholar] [CrossRef]
- Zivcak, M.; Brestic, M.; Balatova, Z.; Drevenakova, P.; Olsovska, K.; Kalaji, H.M.; Yang, X.; Allakhverdiev, S.I. Photosynthetic electron transport and specific photoprotective responses in wheat leaves under drought stress. Photosynth. Res. 2013, 117, 529–546. [Google Scholar] [CrossRef]
- Balaguer, L.; Pugnaire, F.I.; Martínez-Ferri, E.; Armas, C.; Valladares, F.; Manrique, E. Ecophysiological significance of chlorophyll loss and reduced photochemical efficiency under extreme aridity in Stipa tenacissima L. Plant Soil. 2002, 240, 343–352. [Google Scholar] [CrossRef]
- Jiang, W.; Chen, L.; Han, Y.; Cao, B.; Song, L. Effects of elevated temperature and drought stress on fruit coloration in the jujube variety ‘Lingwuchangzao’ (Ziziphus jujube cv. Lingwuchangzao). Sci. Hortic. 2020, 274, 109667. [Google Scholar] [CrossRef]
- Wang, H.; Zhang, D.-Y.; Fernández-Lorenzo, J.L.; Shen, H.-L.; Yang, L. Reactive oxygen species, nitric oxide and plant cell death associated with caspase-like protease activity during somatic embryogenesis in Fraxinus mandshurica. J. For. Res. 2022, 33, 1005–1017. [Google Scholar] [CrossRef]
- Chen, J.; Zhao, X.; Zhang, Y.; Li, Y.; Luo, Y.; Ning, Z.; Wang, R.; Wang, P.; Cong, A. Effects of drought and rehydration on the physiological responses of Artemisia halodendron. Water 2019, 11, 793. [Google Scholar] [CrossRef]
- Wang, F.-Z.; Wang, Q.-B.; Kwon, S.-Y.; Kwak, S.-S.; Su, W.-A. Enhanced drought tolerance of transgenic rice plants expressing a pea manganese superoxide dismutase. J. Plant Physiol. 2005, 162, 465–472. [Google Scholar] [CrossRef] [PubMed]
- Cui, G.; Zhao, X.; Liu, S.; Sun, F.; Zhang, C.; Xi, Y. Beneficial effects of melatonin in overcoming drought stress in wheat seedlings. Plant Physiol. Biochem. 2017, 118, 138–149. [Google Scholar] [CrossRef]
- He, J.-D.; Zou, Y.-N.; Wu, Q.-S.; Kuča, K. Mycorrhizas enhance drought tolerance of trifoliate orange by enhancing activities and gene expression of antioxidant enzymes. Sci. Hortic. 2020, 262, 108745. [Google Scholar] [CrossRef]
- Laing, W.A.; Wright, M.A.; Cooney, J.; Bulley, S.M. The missing step of the L-galactose pathway of ascorbate biosynthesis in plants, an L-galactose guanyltransferase, increases leaf ascorbate content. Proc. Natl. Acad. Sci. USA 2007, 104, 9534–9539. [Google Scholar] [CrossRef]
- Karpinska, B.; Zhang, K.; Rasool, B.; Pastok, D.; Morris, J.; Verrall, S.R.; Hedley, P.E.; Hancock, R.D.; Foyer, C.H. The redox state of the apoplast influences the acclimation of photosynthesis and leaf metabolism to changing irradiance. Plant Cell Environ. 2018, 41, 1083–1097. [Google Scholar] [CrossRef]
- Yang, H.; Zhang, C.; Wu, W.; Li, W.; Wei, Y.; Dong, S. Physiological responses of blackberry cultivar ‘Ningzhi 1’to drought stress. Russ. J. Plant Physiol. 2015, 62, 472–479. [Google Scholar] [CrossRef]
- Luo, Y.; Li, W.-M.; Wang, W. Trehalose: Protector of antioxidant enzymes or reactive oxygen species scavenger under heat stress? Environ. Exp. Bot. 2008, 63, 378–384. [Google Scholar] [CrossRef]
- Liao, G.; Chen, L.; He, Y.; Li, X.; Lv, Z.; Yi, S.; Zhong, M.; Huang, C.; Jia, D.; Qu, X. Three metabolic pathways are responsible for the accumulation and maintenance of high AsA content in kiwifruit (Actinidia eriantha). BMC Genom. 2021, 22, 13. [Google Scholar] [CrossRef] [PubMed]
- Bo, W.; Fu, B.; Qin, G.; Xing, G.; Wang, Y. Evaluation of drought resistance in Iris germanica L. based on subordination function and principal component analysis. Emir. J. Food Agric. 2017, 29, 770–778. [Google Scholar] [CrossRef]










| Growth Indices | Control (ck) | Treatment |
|---|---|---|
| Leaf length (cm) | 38.70 ± 1.09 a | 32.13 ± 0.85 b |
| Leaf width (cm) | 2.53 ± 0.13 a | 2.30 ± 0.14 a |
| Leaf mass ratio | 0.73 ± 0.01 a | 0.66 ± 0.05 b |
| Aboveground stem mass ratio | 0.11 ± 0.01 b | 0.18 ± 0.02 a |
| Rhizome mass ratio | 0.06 ± 0.01 b | 0.08 ± 0.02 a |
| Root mass ratio | 0.10 ± 0.01 a | 0.08 ± 0.01 b |
| Root to shoot ratio | 0.19 ± 0.01 a | 0.19 ± 0.04 a |
| Organizational Structure of Vascular Bundles of Aboveground Stems in Cross-Section | Control (CK) | Treatment |
|---|---|---|
| Number of vascular bundles | 9.67 ± 1.15 b | 14.00 ± 1.00 a |
| Vascular bundle diameter (μm) | 221.32 ± 45.56 a | 144.78 ± 25.30 b |
| Photosynthetic Pigment | Control (ck) | Treatment |
|---|---|---|
| Chlorophyll a content (mg·g−1 fresh weight (FW)) | 0.67 ± 0.08 a | 0.42 ± 0.03 b |
| Chlorophyll b content (mg·g−1 FW) | 0.28 ± 0.02 a | 0.19 ± 0.01 b |
| Carotenoid content (mg·g−1 FW) | 0.17 ± 0.03 a | 0.10 ± 0.01 b |
| Chlorophyll (a + b) content (mg·g−1 FW) | 0.95 ± 0.10 a | 0.61 ± 0.04 b |
| Chlorophyll a/b | 2.33 ± 0.11 a | 2.17 ± 0.02 b |
| Enzyme Activity Indices | Control (ck) | Treatment |
|---|---|---|
| Leaf POD activity (U·g−1 min−1 fresh weight (FW)) | 24.31 ± 1.87 b | 129.45 ± 4.86 a |
| Leaf SOD activity (U·g−1 h−1 FW) | 409.74 ± 67.61 b | 783.11 ± 17.27 a |
| Leaf APX activity (U·g−1 min−1 FW) | 53.22 ± 1.84 a | 37.84 ± 3.86 b |
| Leaf GR activity (U·g−1 min−1 FW) | 12.95 ± 1.34 a | 7.82 ± 1.01 b |
| Leaf MDHAR activity (U·g−1 min−1 FW) | 20.71 ± 1.70 a | 16.18 ± 0.93 b |
| Leaf AAO activity (U·g−1 min−1 FW) | 4.27 ± 0.70 b | 11.49 ± 1.34 a |
| Leaf MDA activity (mmol·g−1 FW) | 6.29 ± 0.54 b | 9.07 ± 0.40 a |
| Leaf hydrogen peroxide content (mmol·g−1 FW) | 1413.16 ± 51.53 b | 3464.13 ± 131.64 a |
Disclaimer/Publisher’s Note: The statements, opinions and data contained in all publications are solely those of the individual author(s) and contributor(s) and not of MDPI and/or the editor(s). MDPI and/or the editor(s) disclaim responsibility for any injury to people or property resulting from any ideas, methods, instructions or products referred to in the content. |
© 2023 by the authors. Licensee MDPI, Basel, Switzerland. This article is an open access article distributed under the terms and conditions of the Creative Commons Attribution (CC BY) license (https://creativecommons.org/licenses/by/4.0/).
Share and Cite
Yu, X.; Liu, Y.; Cao, P.; Zeng, X.; Xu, B.; Luo, F.; Yang, X.; Wang, X.; Wang, X.; Xiao, X.; et al. Morphological Structure and Physiological and Biochemical Responses to Drought Stress of Iris japonica. Plants 2023, 12, 3729. https://doi.org/10.3390/plants12213729
Yu X, Liu Y, Cao P, Zeng X, Xu B, Luo F, Yang X, Wang X, Wang X, Xiao X, et al. Morphological Structure and Physiological and Biochemical Responses to Drought Stress of Iris japonica. Plants. 2023; 12(21):3729. https://doi.org/10.3390/plants12213729
Chicago/Turabian StyleYu, Xiaofang, Yujia Liu, Panpan Cao, Xiaoxuan Zeng, Bin Xu, Fuwen Luo, Xuan Yang, Xiantong Wang, Xiaoyu Wang, Xue Xiao, and et al. 2023. "Morphological Structure and Physiological and Biochemical Responses to Drought Stress of Iris japonica" Plants 12, no. 21: 3729. https://doi.org/10.3390/plants12213729
APA StyleYu, X., Liu, Y., Cao, P., Zeng, X., Xu, B., Luo, F., Yang, X., Wang, X., Wang, X., Xiao, X., Yang, L., & Lei, T. (2023). Morphological Structure and Physiological and Biochemical Responses to Drought Stress of Iris japonica. Plants, 12(21), 3729. https://doi.org/10.3390/plants12213729
