Identification and Characterization of a Novel Microalgal Strain from the Antofagasta Coast Tetraselmis marina AC16-MESO (Chlorophyta) for Biotechnological Applications
Abstract
1. Introduction
2. Results
2.1. Morphological Characterization of the Strain AC16-MESO
2.2. Analysis of 18S Ribosomal DNA and the ITS1-5.8-ITS2 Region
2.3. ITS-2 Secondary Structure
2.4. Phylogenetic Analysis
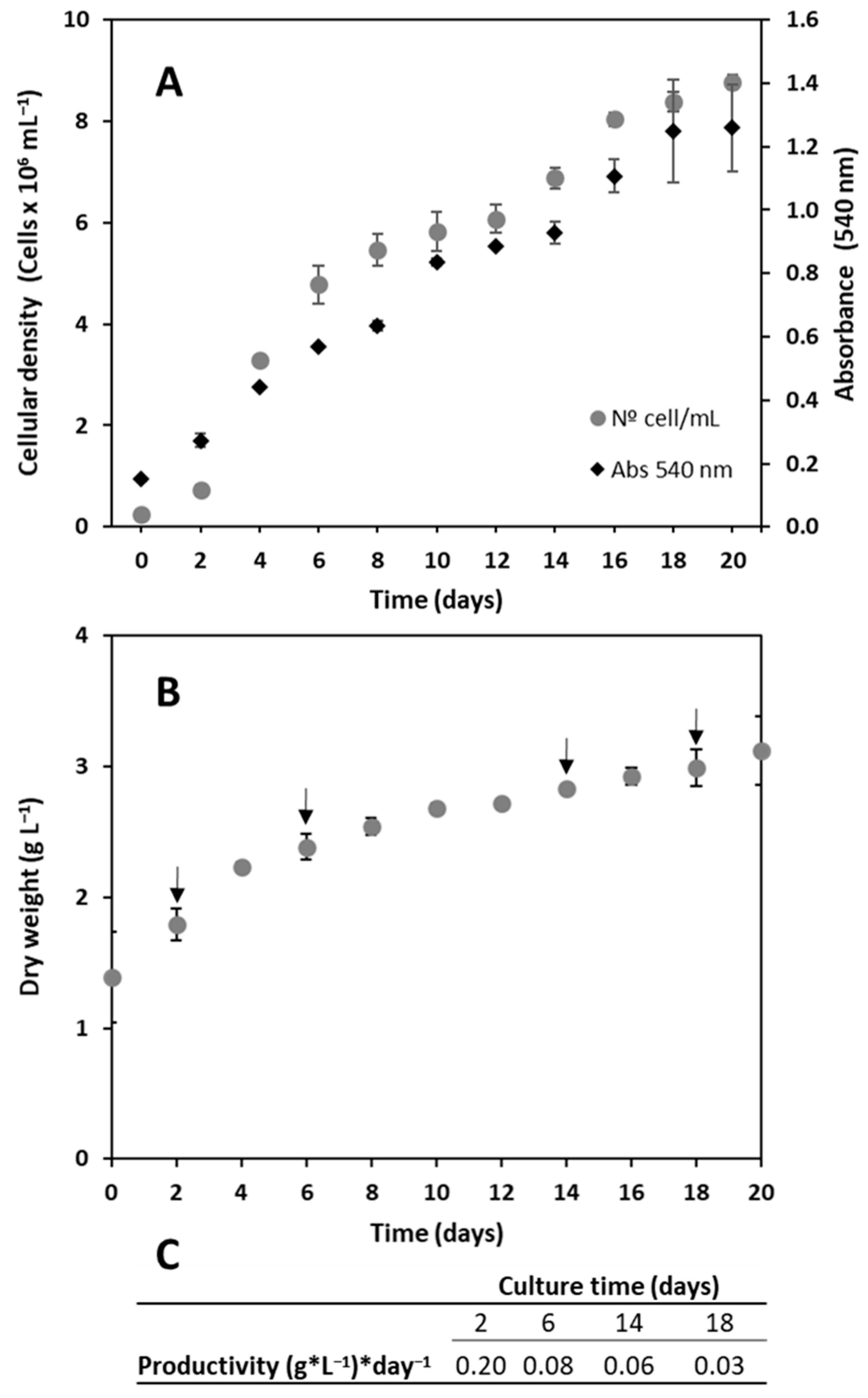
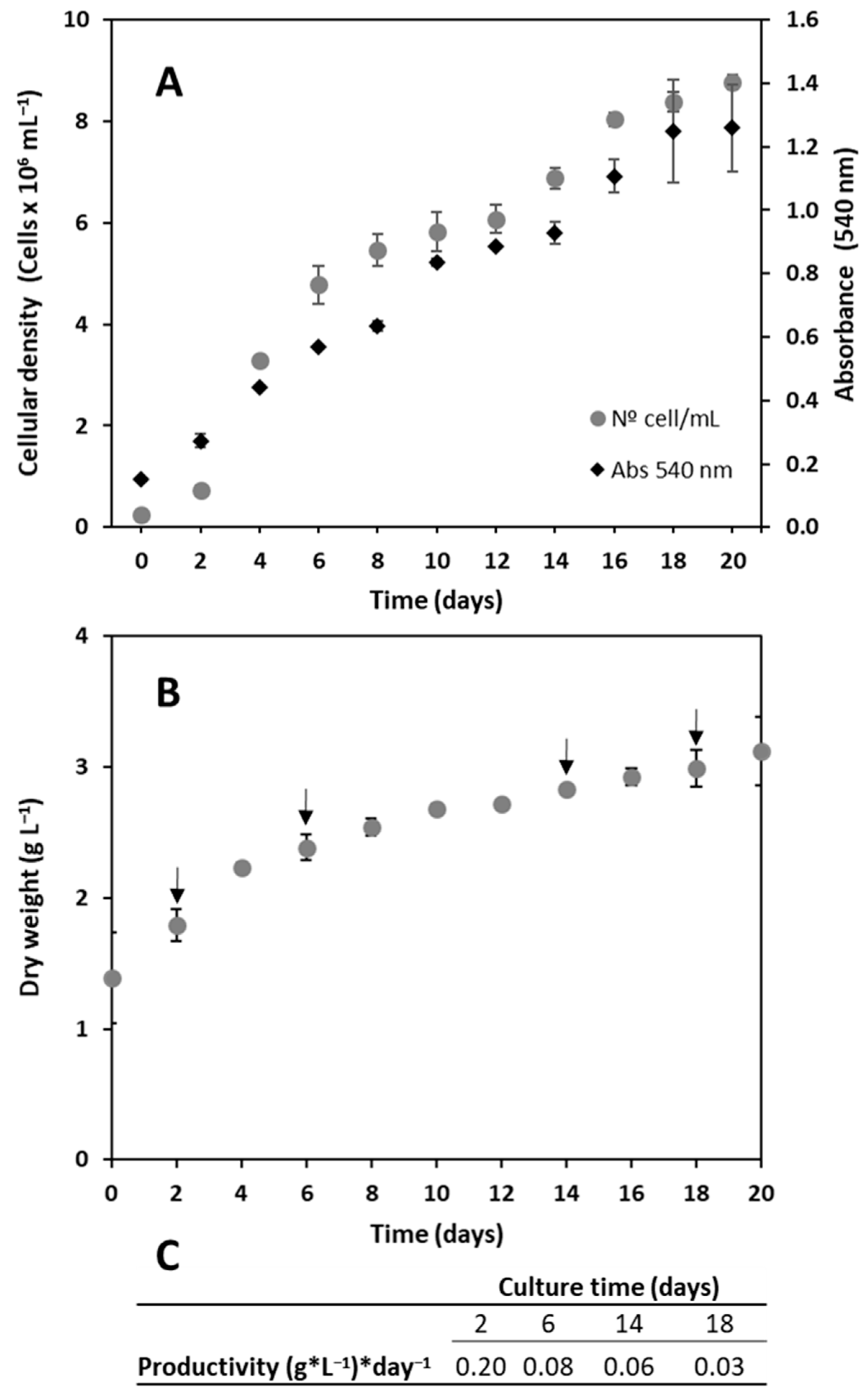
2.5. Growth Characteristics in f/2 Medium
2.6. Biochemical Characteristic
2.7. Salinity Tolerance
2.8. Neutral Lipid Content Measured by Nile Red
3. Discussion
4. Materials and Methods
4.1. Isolation and Culture of the Microalga
4.2. Optical and Electronic Microscopy
- Bright-field and epifluorescence microscopy
- Scanning electron microscopy
4.3. PCR Amplification, Sequencing, and Identification of the Microalgal Strain
- DNA extraction and amplification
- Sequencing and identification
4.4. Phylogenetic Analysis
4.5. ITS-2 Secondary Structure
4.6. Growth Characteristics in f/2 Medium
4.7. Proximate Analysis, Analysis of Pigments, and Fatty Acid Composition
4.8. Salinity Tolerance Assays
4.9. Photosynthetic activity
4.10. Determination of the Lipid Content in Stressful Salinity Situations
4.11. Statistical Analysis
5. Conclusions
Author Contributions
Funding
Data Availability Statement
Conflicts of Interest
References
- Burlew, J.S. Algal culture from laboratory to pilot plant. In AIBS Bulletin, 5th ed.; Muller, H.J., Ed.; Carnegie Institution for Science: Washington, DC, USA, 1953; Volume 3, p. 11. [Google Scholar] [CrossRef]
- Khan, M.I.; Shin, J.H.; Kim, J.D. The promising future of microalgae: Current status, challenges, and optimization of a sustainable and renewable industry for biofuels, feed, and other products. Microb. Cell. Fact. 2018, 17, 36. [Google Scholar] [CrossRef]
- Barkia, I.; Saari, N.; Manning, S.R. Microalgae for High-Value Products Towards Human Health and Nutrition. Mar. Drugs 2019, 17, 304. [Google Scholar] [CrossRef] [PubMed]
- Sathasivam, R.; Radhakrishnan, R.; Hashem, A.; Abd Allah, E.F. Microalgae metabolites: A rich source for food and medicine. Saudi J. Biol. Sci. 2019, 26, 709–722. [Google Scholar] [CrossRef]
- Miao, X.L.; Wu, Q.Y. Biodiesel production from heterotrophic microalgal oil. Bioresour. Technol. 2005, 97, 841–846. [Google Scholar] [CrossRef] [PubMed]
- Xu, H.; Miao, X.; Wu, Q. High quality biodiesel production from microalgal Chlorella protothecoides by heterotrophic growth in fermenters. J. Biotechnol. 2006, 126, 449–507. [Google Scholar] [CrossRef]
- Lum, K.K.; Kim, J.; Lei, X.G. Dual potential of microalgae as a sustainable biofuel feedstock and animal feed. J. Anim. Sci. Biotechnol. 2013, 4, 53. [Google Scholar] [CrossRef]
- Bušić, A.; Kundas, S.; Morzak, G.; Belskaya, H.; Marđetko, N.; Ivančić Šantek, M.; Komes, D.; Novak, S.; Šantek, B. Recent Trends in Biodiesel and Biogas Production. Food Technol. Biotechnol. 2018, 56, 152–173. [Google Scholar] [CrossRef] [PubMed]
- Mureed, K.; Kanwal, S.; Hussain, A.; Noureen, S.; Hussain, S.; Ahmad, S.; Ahmad, M.; Waqas, R. Biodiesel production from algae grown on food industry wastewater. Environ. Monit. Assess. 2018, 190, 271. [Google Scholar] [CrossRef]
- López-Ruiz, J.; García García, R.; Soledad, M.; Almeda, F. Marine microalgae culture: Chaetoceros gracilis with zeolitic product ZESTEC-56 and a commercial fertilizer as a nutrient. Aquacult. Eng. 1996, 14, 367–372. [Google Scholar] [CrossRef]
- Chiaiese, P.; Corrado, G.; Colla, G.; Kyriacou, M.C.; Rouphael, Y. Renewable Sources of Plant Biostimulation: Microalgae as a Sustainable Means to Improve Crop Performance. Front. Plant Sci. 2018, 9, 1782. [Google Scholar] [CrossRef]
- Abdel-Raouf, N.; Al-Homaidan, A.A.; Ibraheem, I.B.M. Microalgae and wastewater treatment. Saudi J. Biol. Sci. 2012, 19, 257–275. [Google Scholar] [CrossRef] [PubMed]
- Molazadeh, M.; Ahmadzadeh, H.; Pourianfar, H.R.; Lyon, S.; Rampelotto, P.H. The Use of microalgae for coupling wastewater treatment with CO2 Biofixation. Front. Bioeng. Biotechnol. 2019, 7, 42. [Google Scholar] [CrossRef]
- Stirk, W.; Staden, J.V. Removal of heavy metals from solution using dried brown seaweed material. Bot. Mar. 2000, 43, 467–473. [Google Scholar] [CrossRef]
- Olofsson, M.; Lindehoff, E.; Frick, B.; Svensson, F.; Legrand, C. Baltic Sea microalgae transform cement flue gas into valuable biomass. Algal Res. 2015, 11, 227–233. [Google Scholar] [CrossRef]
- Kumar, K.S.; Dahms, H.U.; Won, E.J.; Lee, J.S.; Shin, K.H. Microalgae—A promising tool for heavy metal remediation. Ecotox. Environ. Safe. 2015, 113, 329–352. [Google Scholar] [CrossRef] [PubMed]
- Cameron, H.; Mata, M.T.; Riquelme, C. The effect of heavy metals on the viability of Tetraselmis marina AC16-MESO and an evaluation of the potential use of this microalga in bioremediation. PeerJ 2018, 6, e5295. [Google Scholar] [CrossRef]
- Arora, M.; Anil, A.C.; Leliaert, F.; Delany, J.; MesBahi, E. Tetraselmis indica (Chlorodendrophyceae, Chlorophyta), a new species isolated from salt pans in Goa, India. Eur. J. Phycol. 2013, 48, 61–78. [Google Scholar] [CrossRef]
- Fon-Sing, S.; Borowitzka, M.A. Isolation and screening of euryhaline Tetraselmis spp. suitable for large-scale outdoor culture in hypersaline media for biofuels. J. Appl. Phycol. 2016, 28, 1–14. [Google Scholar] [CrossRef]
- Pate, R.; Klise, G.; Wu, B. Resource demand implications for US algae biofuels production scale-up. Appl. Energ. 2011, 88, 3377–3388. [Google Scholar] [CrossRef]
- Yang, J.; Xu, M.; Zhang, X.; Hu, Q.; Sommerfeld, M.; Chen, Y. Life-cycle analysis on biodiesel production from microalgae: Water footprint and nutrients balance. Bioresour. Technol. 2011, 102, 159–165. [Google Scholar] [CrossRef]
- Resurreccion, E.P.; Colosi, L.M.; White, M.A.; Clarens, A.F. Comparison of algae cultivation methods for bioenergy production using a combined life cycle assessment and life cycle costing approach. Bioresour. Technol. 2012, 126, 298–306. [Google Scholar] [CrossRef]
- Azma, M.; Mohamed, M.S.; Mohamad, R.; Rahim, R.A.; Ariff, A.B. Improvement of medium composition for heterotrophic cultivation of green microalgae, Tetraselmis suecica, using response surface methodology. Biochem. Eng. J. 2011, 53, 187–195. [Google Scholar] [CrossRef]
- Hemaiswarya, S.; Raja, R.; Kumar, R.R.; Ganesan, V.; Anbazhagan, C. Microalgae: A sustainable feed source for aquaculture. World J. Microb. Biot. 2011, 27, 1737–1746. [Google Scholar] [CrossRef]
- González, M.A.; Aguayo, P.A.; Inostroza, I.D.L.; Castro, P.A.; Fuentes, G.A.; Gómez, P.I. Ultrastructural and molecular characterization of Tetraselmis strains (Chlorodendrophyceae, Chlorophyta) isolated from Chile. Gayana Bot. 2015, 72, 47–57. [Google Scholar] [CrossRef]
- Montero, M.F.; Aristizábal, M.; Reina, G.G. Isolation of high-lipid content strains of the marine microalga Tetraselmis suecica for biodiesel production by flow cytometry and single-cell sorting. J. Appl. Phycol. 2011, 23, 1053–1057. [Google Scholar] [CrossRef][Green Version]
- Yao, C.H.; Ai, J.N.; Cao, X.P.; Xue, S. Salinity manipulation as an effective method for enhanced starch production in the marine microalga Tetraselmis subcordiformis. Bioresour. Technol. 2013, 146, 663–671. [Google Scholar] [CrossRef]
- Carballo-Cárdenas, E.C.; Tuan, P.M.; Janssen, M.; Wijffels, R.H. Vitamin E (alpha-tocopherol) production by the marine microalgae Dunaliella tertiolecta and Tetraselmis suecica in batch cultivation. Biolmol. Eng. 2003, 20, 139–147. [Google Scholar] [CrossRef] [PubMed]
- Michels, M.H.A.; Vaskoska, M.; Vermuë, M.H.; Wijffels, R.H. Growth of Tetraselmis suecica in a tubular photobioreactor on wastewater from a fish farm. Water Res. 2014, 65, 290–296. [Google Scholar] [CrossRef] [PubMed]
- Andreotti, V.; Solimeno, A.; Chindris, A.; Marazzi, F.; García, J. Growth of Tetraselmis suecica and Dunaliella tertiolecta in aquaculture wastewater: Numerical simulation with the BIO_ALGAE model. Water Air Soil Pollut. 2019, 230, 60. [Google Scholar] [CrossRef]
- Andreotti, V.; Solimeno, A.; Rossi, S.; Ficara, E.; Marazzi, F.; Mezzanotte, V.; Garcia, J. Bioremediation of aquaculture wastewater with the microalgae Tetraselmis suecica: Semi-continuous experiments, simulation and photo-respirometric tests. Sci. Total Environ. 2020, 738, 139859. [Google Scholar] [CrossRef]
- Salim, S.; Bosma, R.; Vermuë, M.H.; Wijffels, R.H. Harvesting of microalgae by bio-flocculation. J. Appl. Phycol. 2011, 23, 849–855. [Google Scholar] [CrossRef] [PubMed]
- Das, P.; Thaher, M.I.; Hakim, M.A.; Al-Jabri, H.M.; Alghasal, G.S. A comparative study of the growth of Tetraselmis sp. in large scale fixed depth and decreasing depth raceway ponds. Bioresour. Technol. 2016, 216, 114–120. [Google Scholar] [CrossRef]
- Guiry, M.D.; Guiry, G.M. AlgaeBase. In World-Wide Electronic Publication; National University of Ireland: Galway, Ireland; Available online: https://www.algaebase.org (accessed on 15 June 2023).
- Imamoglu, E.; Demirel, Z.; Conk Dalay, M. Process optimization and modeling for the cultivation of Nannochloropsis sp. and Tetraselmis striata via response surface methodology. J. Phycol. 2015, 51, 442–453. [Google Scholar] [CrossRef]
- Mclachlan, J.; Parke, M. Platymonas impellucida sp. nov. from Puerto Rico. J. Mar. Biol. Assoc. UK 1967, 47, 723–733. [Google Scholar] [CrossRef]
- Norris, R.E.; Hori, T.; Chihara, M. Revision of the genus Tetraselmis (Class Prasinophyceae). Bot. Mag. 1980, 93, 317–339. [Google Scholar] [CrossRef]
- Sym, S.D.; Pienaar, R.N. Progress in Phycological Research, 9th ed.; Biopress Ltd.: Bristol, UK, 1993; pp. 281–377. [Google Scholar]
- Proskauer, J. On Prasinocladus. Am. J Bot. 1950, 37, 59–66. [Google Scholar] [CrossRef]
- Graham, L.E.; Wilcox, L.W. Algae, 2nd ed.; Cummings, B., Ed.; Prentice-Hall Inc.: Upper Saddle River, NJ, USA, 2006. [Google Scholar]
- John, D.M.; Whitton, B.A.; Brook, A.J. The freshwater algal flora of the british isles. In An Identification Guide to Freshwater and Terrestrial Algae, 2nd ed.; Cambridge University Press: London, UK, 2011. [Google Scholar]
- Parke, M.; Manton, I. Preliminary observations on the fine structure of Prasinocladus marinus. J. Mar. Biol. Assoc. UK 1965, 45, 525–536. [Google Scholar] [CrossRef]
- Provasoli, L.; Yamasu, T.; Manton, I. Experiments on the resynthesis of symbiosis in Convoluta roscoffensis with different flagellate cultures. J. Mar. Biol. Assoc. UK 1968, 48, 465–479. [Google Scholar] [CrossRef]
- Serodio, J.; Silva, R.; Ezequiel, J.; Calado, R. Photobiology of the symbiotic acoel flatworm Symsagittifera roscoffensis: Algal symbiont photoacclimation and host photobehaviour. J. Mar. Biol. Assoc. UK 2011, 91, 163–171. [Google Scholar] [CrossRef]
- Lee, H.J.; Hur, S.B. Genetic relationships among multiple strains of the genus Tetraselmis based on partial 18S rDNA sequences. Algae 2009, 24, 205–212. [Google Scholar] [CrossRef]
- Catalán, A. Aislación y Cultivo de Microalgas. Bachelor’s Thesis, Instituto de Oceanología, Universidad de Valparaíso, Valparaíso, Chile, 1996. [Google Scholar]
- Decho, A.W. Microbial biofilms in intertidal systems: An overview. Cont. Shelf Res. 2000, 20, 1257–1273. [Google Scholar] [CrossRef]
- Castilla, J.C.; Manríquez, P.H.; Delgado, A.; Ortiz, V.; Jara, M.E.; Varas, M. Rocky Intertidal Zonation Pattern in Antofagasta, Chile: Invasive Species and Shellfish Gathering. PLoS ONE 2014, 9, e110301. [Google Scholar] [CrossRef] [PubMed]
- Reddin, C.J.; O’Connor, N.E.; Harrod, C. Living to the range limit: Consumer isotopic variation increases with environmental stress. PeerJ 2016, 4, e2034. [Google Scholar] [CrossRef]
- Calderón, C.; Valdés, J. Contenido de metales en sedimentos y organismos bentónicos de la bahía San Jorge, Antofagasta, Chile. Rev. Biol. Mar. Oceanog. 2012, 47, 121–133. [Google Scholar] [CrossRef]
- Waern, M. Rocky-shore algae in the Öregrund Archipelago. Acta Phytogeogr. Suec. 1952, 30, 1–298. [Google Scholar]
- Boraso de Zaixso, A. Chlorophyta marinas de la Argentina, 2nd ed.; Editorial Universitaria de la Patagonia (EDUPA): Comodoro Rivadavia, Chubut, Argentina, 2004; Volume 3, pp. 95–119. [Google Scholar]
- Rodriguez, S.R.; Riquelme, C.; Campos, E.O.; Chavez, P.; Brandan, E.; Inestrosa, N.C. Behavioral responses of Concholepas concholepas (Bruguiere, 1789) larvae to natural and artificial settlement cues and microbial films. Biol. Bull. 1995, 189, 272–279. [Google Scholar] [CrossRef]
- Algas Marinas Bentónicas. Available online: http://web.archive.org/web/20090614234834/http://atlas.ambiente.gov.ar:80/tematicas/mt_02/macroalgas.htm (accessed on 18 July 2023).
- Boraso de Zaixso, A.L. Elementos para el Estudio de las Macroalgas de Argentina, 1st ed.; Editorial Universitaria de la Patagonia (EDUPA): Comodoro Rivadavia, Chubut, Argentina, 2013; pp. 27–30. [Google Scholar]
- Mathieson, A.C.; Hehre, E.J. A synopsis of New Hampshire seaweeds. Rhodora 1986, 88, 1–139. Available online: https://www.jstor.org/stable/23313018 (accessed on 15 June 2023).
- Hori, T.; Norris, R.E.; Chihara, M. Studies on the ultrastructure and taxonomy of the genus Tetraselmis (Prasinophyceae) II. Subgenus Prasinocladia. Bot. Mag. 1983, 96, 385–392. [Google Scholar] [CrossRef]
- Seaweeds of California. Available online: https://ucjeps.berkeley.edu/seaweedflora/pages/californiaseaweeds.html (accessed on 18 July 2023).
- Aguilar Rosas, R.; Aguilar Rosas, L.E.; González Yajimovich, O.E. Nuevos registros y algunas notas para la flora algal marina de la costa occidental del estado de Baja California, México. Polibotánica 1999, 10, 111–121. Available online: https://www.redalyc.org/pdf/621/62101007.pdf (accessed on 15 June 2023).
- Pedroche, F.F.; Silva, P.C.; Aguilar-Rosas, L.E.; Dreckmann, K.M.; Aguilar-Rosas, R. Catálogo de las Algas Marinas Bentónicas del Pacífico de México. I. Chlorophycota, 1st ed.; Gutiérrez-Espinoza, R.A., Ed.; Departamento de Editorial Universitaria, Universidad Autónoma de Baja California: Mexicali, BC, Mexico, 2005; p. 17. [Google Scholar]
- Fernández, C.; Miyares, M.P. Initial Colonization of the Chthamalus-Patella Zone. Bot. Mar. 1989, 32, 339–343. [Google Scholar] [CrossRef]
- Checklist of Baltic Sea Phytoplankton Species. Available online: http://archive.iwlearn.net/helcom.fi/stc/files/Publications/Proceedings/bsep95.pdf (accessed on 18 July 2023).
- Massjuk, N.P.; Lilitska, G.G. Chlorophyta. In Algae of Ukraine: Diversity, Nomenclature, Taxonomy, Ecology and Geography, 3rd ed.; Tsarenko, P.M., Wasser, S.P., Nevo, E., Eds.; A. R. A. Gantner Verlag K. G.: Ruggell, Liechtenstein, 2011; Volume 3, pp. 14–17. [Google Scholar]
- Scholz, B.; Liebezeit, G. Screening for competition effects and allelochemicals in benthic marine diatoms and cyanobacteria isolated from an intertidal flat (southern North Sea). Phycologia 2012, 51, 432–450. [Google Scholar] [CrossRef]
- Hansen, F.C.; Witte, H.J.; Passarge, J. Grazing in the heterotrophic dinoflagellate Oxyrrhis marina: Size selectivity and preference for calcified Emiliania huxleyi cells. Aquat. Microb. Ecol. 1996, 10, 307–313. [Google Scholar] [CrossRef]
- Broady, P.A.; Flint, E.A.; Nelson, W.A.; Cassie Cooper, V.; De Winton, M.D.; Novis, P.M. Phylum Chlorophyta and Charophyta: Green algae. In New Zealand Inventory of Biodiversity; Gordon, D.P., Ed.; Canterbury University Press: Christchurch, New Zealand, 2012; Volume 3. [Google Scholar]
- Cadoret, J.P.; Garnier, M.; Saint-Jean, B. Microalgae, functional genomics and biotechnology. In Advances in Botanical Research; Piganeau, G., Ed.; Academic Press Inc.: San Diego, CA, USA, 2012; Volume 64. [Google Scholar]
- Pereira, H.; Páramo, J.; Silva, J.; Marques, A.; Barros, A.; Mauricio, D.; Santos, T.; Schulze, P.; Barros, R.; Gouveia, L.; et al. Scale-up and large-scale production of Tetraselmis sp. CTP4 (Chlorophyta) for CO2 mitigation: From an agar plate to 100-m3 industrial photobioreactors. Sci. Rep. 2018, 8, 5112. [Google Scholar] [CrossRef] [PubMed]
- Minhas, A.K.; Hodgson, P.; Barrow, C.J.; Sashidhar, B.; Adholeya, A. The isolation and identification of new microalgal strains producing oil and carotenoid simultaneously with biofuel potential. Bioresour. Technol. 2016, 211, 556–565. [Google Scholar] [CrossRef] [PubMed]
- Khatoon, H.; Haris, H.; Rahman, N.A.; Zakaria, M.N.; Begum, H.; Mian, S. Growth, Proximate Composition and Pigment Production of Tetraselmis chuii Cultured with Aquaculture Wastewater. J. Ocean Univ. China 2018, 17, 641–646. [Google Scholar] [CrossRef]
- Batista, A.P.; Niccolai, A.; Bursic, I.; Sousa, I.; Raymundo, A.; Rodolfi, L.; Biondi, N.; Tredici, M.R. Microalgae as Functional Ingredients in Savory Food Products: Application to Wheat Crackers. Foods 2019, 8, 611. [Google Scholar] [CrossRef]
- Nakano, T.; Wiegertjes, G. Properties of Carotenoids in Fish Fitness: A Review. Mar. Drugs 2020, 18, 568. [Google Scholar] [CrossRef]
- Ohse, S.; Bianchini Derner, R.; Ávila Ozório, R.; Gordo Corrêa, R.; Badiale Furlong, E.; Roberto Cunha, P.C. Lipid content and fatty acid profiles in ten species of microalgae. Idesia 2015, 33, 93–101. [Google Scholar] [CrossRef]
- Singh, G.; Patidar, S.K. Microalgae harvesting techniques: A review. J. Environ. Manag. 2018, 217, 499–508. [Google Scholar] [CrossRef]
- Pugkaew, W.; Meetam, M.; Yokthongwattana, K.; Leeratsuwan, N.; Pokethitiyook, P. Effects of salinity changes on growth, photosynthetic activity, biochemical composition, and lipid productivity of marine microalga Tetraselmis suecica. J. Appl. Phycol. 2018, 31, 969–979. [Google Scholar] [CrossRef]
- Bartley, M.; Boeing, W.; Corcoran, A.; Holguin, F.; Schaub, T. Effects of salinity on growth and lipid accumulation of biofuel microalga Nannochloropsis salina and invading organisms. Biomass Bioenerg. 2013, 54, 83–88. [Google Scholar] [CrossRef]
- Shetty, P.; Gitau, M.M.; Maróti, G. Salinity Stress Responses and Adaptation Mechanisms in Eukaryotic Green Microalgae. Cells 2019, 8, 1657. [Google Scholar] [CrossRef]
- Goncalves, E.C.; Wilkie, A.C.; Kirst, M.; Rathinasabapathi, B. Metabolic regulation of triacylglycerol accumulation in the green algae: Identification of potential targets for engineering to improve oil yield. Plant Biotechnol. J. 2016, 14, 1649–1660. [Google Scholar] [CrossRef]
- Zhu, L.D.; Li, Z.H.; Hiltunen, E. Strategies for Lipid Production Improvement in Microalgae as a Biodiesel Feedstock. BioMed Res. Int. 2016, 2016, 8792548. [Google Scholar] [CrossRef] [PubMed]
- Poh, Z.L.; Kadir, W.N.A.; Lam, M.K.; Uemura, Y.; Suparmaniam, U.; Lim, J.W.; Show, P.L.; Lee, K.T. The effect of stress environment towards lipid accumulation in microalgae after harvesting. Renew. Energ. 2020, 154, 1083–1091. [Google Scholar] [CrossRef]
- Duan, X.; Ren, G.Y.; Liu, L.L.; Zhu, W.X. Salt-induced osmotic stress for lipid overproduction in batch culture of Chlorella vulgaris. Afr. J. Biotechnol. 2012, 11, 7072–7078. [Google Scholar] [CrossRef]
- Gour, R.S.; Garlapati, V.K.; Kant, A. Effect of Salinity Stress on Lipid Accumulation in Scenedesmus sp. and Chlorella sp.: Feasibility of Stepwise Culturing. Curr. Microbiol. 2020, 77, 779–785. [Google Scholar] [CrossRef]
- De Carvalho Silvello, M.A.; Severo Gonçalves, I.; Patrícia Held Azambuja, S.; Silva Costa, S.; Garcia Pereira Silva, P.; Oliveira Santos, L.; Goldbeck, R. Microalgae-based carbohydrates: A green innovative source of bioenergy. Bioresour. Technol. 2022, 344 Pt B, 126304. [Google Scholar] [CrossRef]
- Gouda, M.; Tadda, M.A.; Zhao, Y.; Farmanullah, F.; Chu, B.; Li, X.; He, Y. Microalgae Bioactive Carbohydrates as a Novel Sustainable and Eco-Friendly Source of Prebiotics: Emerging Health Functionality and Recent Technologies for Extraction and Detection. Front. Nutr. 2022, 15, 806692. [Google Scholar] [CrossRef]
- Huarachi-Olivera, R.; Mata, M.T.; Valdés, J.; Riquelme, C. Biosorption of Zn (II) from Seawater Solution by the Microalgal Biomass of Tetraselmis marina AC16-MESO. Int. J. Mol. Sci. 2021, 22, 12799. [Google Scholar] [CrossRef]
- Guillard, R.; Ryther, J. Studies of marine planktonic diatoms. I. Cyclotella nana Hustedt and Detonula confervacea Cleve. Can. J. Microbiol. 1962, 8, 229–239. [Google Scholar] [CrossRef] [PubMed]
- Huo, S.; Shang, C.; Wang, Z.; Zhou, W.; Cui, F.; Zhu, F.; Dong, R. Outdoor Growth Characterization of an Unknown Microalga Screened from Contaminated Chlorella Culture. BioMed Res. Int. 2017, 2017, 5681617. [Google Scholar] [CrossRef]
- Tsai, H.P.; Chuang, L.T.; Chen, C.N. Production of long chain omega-3 fatty acids and carotenoids in tropical areas by a new heat-tolerant microalga Tetraselmis sp. DS3. Food Chem. 2016, 192, 682–690. [Google Scholar] [CrossRef]
- Edgar, R.C. MUSCLE: Multiple sequence alignment with high accuracy and high throughput. Nucleic Acids Res. 2004, 32, 1792–1797. [Google Scholar] [CrossRef] [PubMed]
- Tamura, K.; Nei, M. Estimation of the number of nucleotide substitutions in the control region of mitochondrial dna in humans and chimpanzees. Mol. Biol. Evol. 1993, 10, 512–526. [Google Scholar] [CrossRef]
- Kearse, M.; Moir, R.; Wilson, A.; Stones-Havas, S.; Cheung, M.; Sturrock, S.; Buxton, S.; Cooper, A.; Markowitz, S.; Duran, C.; et al. Geneious Basic: An Integrated and Extendable Desktop Software Platform for the Organization and Analysis of Sequence Data. Bioinformatics 2012, 28, 1647–1649. [Google Scholar] [CrossRef] [PubMed]
- Darriba, D.; Taboada, G.L.; Doallo, R.; Posada, D. jModelTest 2: More models, new heuristics and parallel computing. Nat. Methods 2012, 9, 772. [Google Scholar] [CrossRef]
- Zuker, M. Mfold web server for nucleic acid folding and hybridization prediction. Nucleic Acids Res. 2003, 31, 3406–3415. [Google Scholar] [CrossRef]
- Herbert, D.; Phipps, P.J.; Strange, R.E. Chapter III chemical analysis of microbial cells. In Methods in Microbiology, 5th ed.; Norris, J.R., Ribbons, D.W., Eds.; Academic Press: London, UK, 1971; Volume 5, pp. 209–344. [Google Scholar]
- Kochert, G. Sexual pheromones in algae and fungi. Ann. Rev. Plant. Physiol. 1978, 29, 461–486. [Google Scholar] [CrossRef]
- Mackinney, J. Absorption of light by chlorophyll solutions. J. Biol. Chem. 1941, 140, 315–322. [Google Scholar] [CrossRef]
- Davies, D.H. Carotenoids. In Chemistry and Biochemistry of Plant Pigments, 2nd ed.; Goodwin, T.W., Ed.; Academic Press: Cambridge, MA, USA, 1976; Volume 5. [Google Scholar]
- Rodríguez-Ruiz, J.; Belarbi, E.H.; Sanchez, J.L.G.; Alonso, D.L. Rapid simultaneous lipid extraction and transesterification for fatty acid analyses. Biotechnol. Technol. 1998, 12, 689–691. [Google Scholar] [CrossRef]
- Schreiber, U. Pulse-amplitude-modulation (PAM) fluorometry and saturation pulse method: An overview. In Chlorophyll a Fluorescence, 1st ed.; Papageorgiou, G.C., Govindjee, Eds.; Springer: Dordrecht, The Netherlands, 2004; Volume 19, pp. 279–319. [Google Scholar]
- Chen, W.; Zhang, C.; Song, L.; Sommerfeld, M.; Hu, Q. A high throughput Nile red method for quantitative measurement of neutral lipids in microalgae. J. Microbiol. Meth. 2009, 77, 41–47. [Google Scholar] [CrossRef] [PubMed]









| Tetraselmis sp. AC16-MESO | ||||||||||||||
|---|---|---|---|---|---|---|---|---|---|---|---|---|---|---|
| C16 | 16:1n7 | 16:2n4 | 16:3n4 | 18:1n9 | 18:1n7 | 18:2n6 | 18:3n3 | 18:4n3 | 20:1n9 | 20:4n6 | 20:5n3 | Others | FA, % d.wt | |
| %FA with respect to the total | 22.5 ± 0.89 | 1.2 ± 0.03 | 4.7 ± 0.71 | 0.7 ± 0.05 | 8.8 ± 0.23 | 1.8 ± 0.73 | 11.2 ± 2.00 | 9.1 ± 1.37 | 7.9 ± 0.86 | 2.7 ± 1.47 | 2.1 ± 0.13 | 6.1 ± 0.84 | 25.1 ± 4.26 | 4.2 ± 0.28 |
| Salinity (°%) | |||||||||||
|---|---|---|---|---|---|---|---|---|---|---|---|
| Time (hrs.) | Control | 0.6 | 1.25 | 2.5 | 5 | 15 | 30 | 45 | 60 | 90 | 120 |
| 72 | 0.71 ± 0.01 | 0.66 ± 0.01 | 0.65 ± 0.01 | 0.69 ± 0.01 | 0.70 ± 0.00 | 0.70 ± 0.01 | 0.63 ± 0.03 | 0.59 ± 0.02 | 0.58 ± 0.01 | 0.54 ± 0.02 | 0.16 ± 0.05 |
| 96 | 0.67 ± 0.01 | 0.48 ± 0.08 | 0.51 ± 0.02 | 0.66 ± 0.00 | 0.62 ± 0.06 | 0.66 ± 0.03 | 0.55 ± 0.05 | 0.52 ± 0.03 | 0.49 ± 0.03 | 0.51 ± 0.01 | 0.08 ± 0.03 |
| 120 | 0.59 ± 0.03 | 0.40 ± 0.16 | 0.49 ± 0.01 | 0.47 ± 0.01 | 0.55 ± 0.06 | 0.57 ± 0.03 | 0.54 ± 0.04 | 0.52 ± 0.01 | 0.46 ± 0.02 | 0.50 ± 0.01 | 0.05 ± 0.02 |
| 168 | 0.49 ± 0.04 | 0.31 ± 0.07 | 0.36 ± 0.03 | 0.48 ± 0.01 | 0.45 ± 0.02 | 0.52 ± 0.05 | 0.39 ± 0.05 | 0.38 ± 0.08 | 0.30 ± 0.02 | 0.30 ± 0.01 | 0.04 ± 0.01 |
Disclaimer/Publisher’s Note: The statements, opinions and data contained in all publications are solely those of the individual author(s) and contributor(s) and not of MDPI and/or the editor(s). MDPI and/or the editor(s) disclaim responsibility for any injury to people or property resulting from any ideas, methods, instructions or products referred to in the content. |
© 2023 by the authors. Licensee MDPI, Basel, Switzerland. This article is an open access article distributed under the terms and conditions of the Creative Commons Attribution (CC BY) license (https://creativecommons.org/licenses/by/4.0/).
Share and Cite
Mata, M.T.; Cameron, H.; Avalos, V.; Riquelme, C. Identification and Characterization of a Novel Microalgal Strain from the Antofagasta Coast Tetraselmis marina AC16-MESO (Chlorophyta) for Biotechnological Applications. Plants 2023, 12, 3372. https://doi.org/10.3390/plants12193372
Mata MT, Cameron H, Avalos V, Riquelme C. Identification and Characterization of a Novel Microalgal Strain from the Antofagasta Coast Tetraselmis marina AC16-MESO (Chlorophyta) for Biotechnological Applications. Plants. 2023; 12(19):3372. https://doi.org/10.3390/plants12193372
Chicago/Turabian StyleMata, Maria Teresa, Henry Cameron, Vladimir Avalos, and Carlos Riquelme. 2023. "Identification and Characterization of a Novel Microalgal Strain from the Antofagasta Coast Tetraselmis marina AC16-MESO (Chlorophyta) for Biotechnological Applications" Plants 12, no. 19: 3372. https://doi.org/10.3390/plants12193372
APA StyleMata, M. T., Cameron, H., Avalos, V., & Riquelme, C. (2023). Identification and Characterization of a Novel Microalgal Strain from the Antofagasta Coast Tetraselmis marina AC16-MESO (Chlorophyta) for Biotechnological Applications. Plants, 12(19), 3372. https://doi.org/10.3390/plants12193372

